Multi-Physics Mesoscale Substructure Analysis on Stress Wave Measurement within CFST-PZT Coupling Models for Interface Debonding Detection
Abstract
:1. Introduction
1.1. Problem Statement
1.2. Literature Review on PZT Based Defect Detection for Engineering Structures
1.3. Aim of This Study
2. Control Equations for Multi-Physics Stress Wave Propagation of a Substructure of CFST-PZT Coupling Systems
2.1. Control Equations for Stress Wave Propagation
2.2. Control Equations of PZT Material in Solid and Static Electricity
2.3. Boundary Conditions Setting for a Substructure of the CFST-PZT Coupling Models
3. Multi-Physics Mesoscale Modeling for a Substructure of Coupling CFST-PZT Systems
3.1. Multi-Physics Mesoscale Substructure Coupling Model
3.2. Material Properties of the Mesoscale Substructure Model
3.3. Meshing of the Mesoscale Coupling Substructure
4. Aggregate Effect on Steady Output Voltage Signal of the Embedded PZT Sensor of the Substructure without Debonding under Sinusoidal Signal
4.1. Effect of the Size of a Single Circular Aggregate
4.2. Effect of the Lateral Position of a Single Circular Aggregate
4.3. Effect of the Longitudinal Position of a Single Circular Aggregate
4.4. Effect of Circular Aggregates Distribution of the Substructure
5. Wavelet Packet Energy of the Embedded PZT Sensor Measurement Considering Debonding under Sweep Frequency Excitation Signal
5.1. Effect of Interface Debonding Defect Compared with a Single Circular Aggregate Size
5.2. Effect of Circular Aggregate Lateral Position Compared with Interface Debonding Defect
5.3. Effect of Circular Aggregate Longitudinal Position Compared with Interface Debonding Defect
5.4. Effect of Aggregates Distribution of Mesoscale Substructures Compared with Interface Debonding Defect
5.5. Effect of Interface Debonding Defect Length When the Aggregates Distribution of Mesoscale Substructures Is Considered
6. Concluding Remarks
- (1)
- The steady output voltage amplitudes of the embedded PZT sensor of the mesoscale substructure coupling models showed that the size, lateral and longitudinal positions of a single aggregate and the aggregates distributions differently affected the response of embedded PZT sensor of the mesoscale substructures without the interface debonding defect under continuous sinusoidal excitation signal. The effect of the size, lateral position of a single aggregate and the aggregates distributions on the response of embedded PZT sensor of the mesoscale substructure without interface debonding was limited, but the aggregate longitudinal position had the most obvious influence.
- (2)
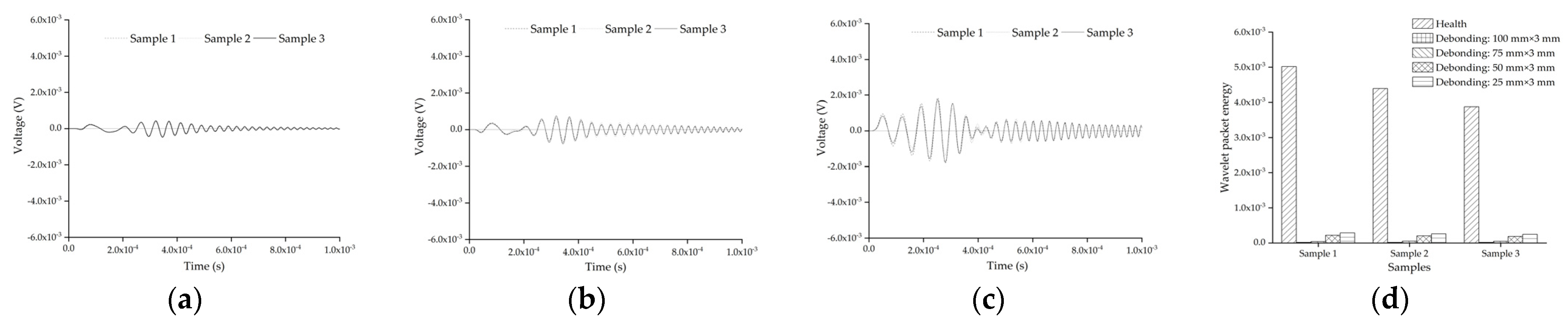
- The effect of the size and position of a single aggregate and the distribution of aggregates on the response of the embedded PZT sensor of the mesoscale substructure coupling models with interface debonding defect was comparatively limited when compared with that of the mesoscale substructures without the interface debonding defect under sweep frequency excitation signal. The existence of interface debonding defect led to an obvious decrease in the output voltage amplitude of the embedded PZT sensor no matter what size and position of the single aggregate and distribution of aggregates were considered.
- (3)
- The wavelet packet energy of the embedded PZT sensors is also dominantly affected by the interface debonding defect rather than the mesoscale structure of the concrete core of the substructure coupling models with different single aggregate sizes, positions and aggregates distribution. Additionally, the length of the interface debonding defect had an obvious effect on the wavelet packet energy of the embedded PZT sensor in the mesoscale substructure coupling models and its wavelet packet energy of the models with the interface debonding defect was always much lower than that of the healthy substructure.
Author Contributions
Funding
Institutional Review Board Statement
Informed Consent Statement
Data Availability Statement
Conflicts of Interest
References
- Chen, H.B.; Nie, X.; Gan, S.Y.; Zhao, Y.D.; Qiu, H.H. Interfacial imperfection detection for steel-concrete composite structures using NDT techniques: A state-of-the-art review. Eng. Struct. 2021, 245, 112778. [Google Scholar] [CrossRef]
- Trivedi, S.; Misra, S. Valuating changes in fundamental cross-sectional mode of vibrations using a modified time domain for impact echo data. NDT E Int. 2012, 49, 10–17. [Google Scholar]
- Ebrahimi-Zadeh, J.; Dehmollaian, M.; Mohammadpour-Aghdam, K. Electromagnetic time-reversal imaging of pinholes in pipes. IEEE Trans. Antennas Propag. 2016, 64, 1356–1363. [Google Scholar] [CrossRef]
- O’Grady, M.; Lechowska, A.A.; Harte, A.M. Quantification of heat losses through building envelope thermal bridges influenced by wind velocity using the outdoor infrared thermography technique. Appl. Energy 2017, 208, 1038–1052. [Google Scholar] [CrossRef] [Green Version]
- Abbas, M.; Shafiee, M. Structural health monitoring (SHM) and determination of surface defects in large metallic structures using ultrasonic guided waves. Sensors 2018, 18, 3958. [Google Scholar] [CrossRef] [Green Version]
- Liu, Z.; Chen, X.; Wu, P.; Cheng, X. Investigation on micro-structure of self-compacting concrete modified by recycled grinded tire rubber based on X-ray computed tomography technology. J. Clean. Prod. 2021, 290, 125838. [Google Scholar] [CrossRef]
- Chen, H.B.; Xu, B.; Mo, Y.L.; Zhou, T.M. Behavior of meso-scale heterogeneous concrete under uniaxial tensile and compressive loadings. Constr. Build. Mater. 2018, 178, 418–431. [Google Scholar] [CrossRef]
- Chen, H.B.; Xu, B.; Wang, J.; Zhou, T.M.; Nie, X.; Mo, Y.L. Parametric analysis on compressive strain rate effect of concrete using mesoscale modeling approach. Constr. Build. Mater. 2020, 246, 118375. [Google Scholar] [CrossRef]
- Ollivier, J.P.; Maso, J.C.; Bourdette, B. Interfacial transition zone in concrete. Adv. Cem. Based Mater. 1995, 2, 30–38. [Google Scholar] [CrossRef]
- Chen, H.B.; Zhou, M.; Gan, S.Y.; Nie, X.; Xu, B.; Mo, Y.L. Review of wave method-based non-destructive testing for steel-concrete composite structures: Multiscale simulation and multi-physics coupling analysis. Constr. Build. Mater. 2021, 302, 123832. [Google Scholar] [CrossRef]
- Schlangen, E.; Garbocai, E.J. Fracture simulation of concrete using lattice models: Computational aspects. Eng. Fract. Mech. 1997, 57, 319–322. [Google Scholar] [CrossRef]
- Bazant, Z.P.; Tabbara, M.R.; Kazemi, M.T. Random particle models for fracture of aggregate or fiber composites. Cem. Concr. Compos. 1990, 116, 1686–1705. [Google Scholar]
- Mohamed, A.R.; Hansen, W. Micromechanical modeling of crack-aggregate interaction in concrete materials. J. Eng. Mech. 1999, 21, 349–359. [Google Scholar]
- Liu, G.T.; Wang, Z.G. Numerical simulation study of fracture of concrete materials using random aggregate model. J. Tsinghua Univ. 1996, 36, 84–89. [Google Scholar]
- Peng, Y.J.; Li, B.K.; Liu, B. Numerical simulation of meso-level mechanical properties of roller compacted concrete. J. Hydraul. Eng.-ASCE 2001, 32, 19–22. [Google Scholar]
- Broughton, J.; Abraham, F.F.; Bernstein, N. Concurrent coupling of length scales: Methodology and application. Phys. Rev. B. 1999, 60, 2391–2403. [Google Scholar] [CrossRef]
- Rudd, R.E.; Broughton, J.Q. Concurrent coupling of length scales in solid state systems. Phys. Status Solidi B-Basic Solid State Phys. 2000, 217, 251–291. [Google Scholar] [CrossRef]
- Lu, X.Z.; Lin, X.C.; Ye, L.P. Multiscale finite element modeling and its application in structural analysis. J. Huazhong Univ. Sci. Technol. 2008, 25, 76–80. [Google Scholar]
- Gex, D.; Berthelot, Y.H.; Lynch, C.S. Low frequency bending piezoelectric actuator with integrated ultrasonic NDE functionality. NDT&E Int. 2005, 38, 627–633. [Google Scholar]
- Tawie, R.; Lee, H.K.; Park, S.H. Non-destructive evaluation of concrete quality using PZT transducers. Smart Mater. Struct. 2010, 6, 851–866. [Google Scholar] [CrossRef]
- Ai, D.; Zhu, H.; Luo, H. Sensitivity of embedded active PZT sensor for concrete structural impact damage detection. Constr. Build. Mater. 2016, 111, 348–357. [Google Scholar] [CrossRef]
- Voutetaki, M.E.; Papadopoulos, N.A.; Angeli, G.M.; Providakis, C.P. Investigation of a new experimental method for damage assessment of RC beams failing in shear using piezoelectric transducers. Eng. Struct. 2016, 114, 226–240. [Google Scholar] [CrossRef]
- Ma, X.; Bian, K.; Lu, J.Y.; Xiong, K. Experimental research on detection for interface debond of CFRP T-joints under tensile load. Compos. Struct. 2016, 158, 359–368. [Google Scholar] [CrossRef]
- Xu, B.; Li, B.; Song, G. Active debonding detection for large rectangular CFSTs based on wavelet packet energy spectrum with piezoceramics. J. Struct. Eng. 2012, 139, 1435–1443. [Google Scholar] [CrossRef]
- Yan, S.; Lin, J.Y.; Zhang, B.W. Feasibility Research on Interface Debonding Detection in Concrete Filled Steel Tubular Columns Using PZT-Based Guided Waves. In Proceedings of the 16th Biennial International Conference on Engineering, Science, Construction, and Operations in Challeng-ing Environments (Earth & Space), Cleveland, OH, USA, 9–12 April 2018. [Google Scholar]
- Perera, R.; Sun, R.; Sevillano, E.; Ruiz, A. A Multi-Objective Electromechanical Impedance Technique to Identify Debonding in RC Beams Flexural Strengthened with FRP. In Proceedings of the 10th International Conference on Structural Dynamics, Rome, Italy, 10–13 September 2017. [Google Scholar]
- Sun, R.; Sevillano, E.; Perera, R. Identification of intermediate debonding damage in FRP-strengthened RC beams based on a multi-objective updating approach and PZT sensors. Compos. Pt. B-Eng. 2017, 109, 248–258. [Google Scholar] [CrossRef]
- Li, L.F.; Xia, Y.; Chen, G.M. Experimental and numerical studies of debonding monitoring of FRP shear-strengthened beams using EMI technique. J. Aerosp. Eng. 2018, 31, 04018048. [Google Scholar] [CrossRef]
- Xu, B.; Chen, H.B.; Xia, S. Numerical study on the mechanism of active interfacial debonding detection for rectangular CFSTs based on wavelet packet analysis with piezoceramics. Mech. Syst. Signal Process. 2017, 86, 108–121. [Google Scholar] [CrossRef]
- Xu, B.; Chen, H.B.; Xia, S. Wave propagation simulation and its wavelet package analysis for debonding detection of circular CFST members. Smart Mater. Struct. 2017, 19, 181–194. [Google Scholar] [CrossRef]
- Xu, B.; Chen, H.B.; Mo, Y.L.; Chen, X.M. Multi-physical field guided wave simulation for circular concrete-filled steel tubes coupled with piezoelectric patches considering debonding defects. Int. J. Solids Struct. 2017, 122, 25–32. [Google Scholar] [CrossRef]
- Xu, B.; Luan, L.L.; Chen, H.B.; Ge, H.B. Numerical study on interface debonding detection mechanisms with 2D spectral element method for concrete-filled steel tube using embedded PZT sensor. Smart Mater. Struct. 2018, 27, 125008. [Google Scholar] [CrossRef]
- Xu, B.; Luan, L.L.; Chen, H.B.; Wang, J.; Zheng, W.T. Experimental study on active interface debonding detection for rectangular concrete-filled steel tubes with surface wave measurement. Sensors 2019, 19, 3248. [Google Scholar] [CrossRef] [Green Version]
- Xu, B.; Luan, L.L.; Chen, H.B.; Wang, H.D. Local wave propagation analysis in concrete-filled steel tube with spectral element method using absorbing layers—Part I: Approach and validation. Mech. Syst. Signal Process. 2020, 140, 106644. [Google Scholar] [CrossRef]
- Chen, H.B.; Xu, B.; Zhou, T.M.; Mo, Y.L. Debonding detection for rectangular CFST using surface wave measurement: Test and multi-physical fields numerical simulation. Mech. Syst. Signal Process. 2019, 117, 238–254. [Google Scholar] [CrossRef]
- Xu, B.; Chen, H.B.; Mo, Y.L.; Zhou, T.M. Dominance of debonding defect of CFST on PZT sensor response considering the meso-scale structure of concrete with multi-scale simulation. Mech. Syst. Signal Process. 2018, 107, 515–528. [Google Scholar] [CrossRef]
- Wang, J.; Xu, B.; Chen, H.B.; Ge, H.B.; Wang, C. Mesoscale numerical analysis and test on the effect of debonding defect of rectangular CFSTs on wave propagation with a homogenization method. Mech. Syst. Signal Process. 2022, 163, 108135. [Google Scholar] [CrossRef]
- Mo, X.P. Simulation and analysis of acoustics transducers using the ANSYS software. Tech. Acoust. 2007, 26, 1279–1289. [Google Scholar]
- Wang, D.S.; Song, H.Y.; Zhu, H.P. Numerical and experimental studies on damage detection of a concrete beam based on PZT admittances and correlation coefficient. Constr. Build. Mater. 2013, 49, 564–574. [Google Scholar] [CrossRef]
- COMSOL Inc. 2015. Available online: http://cn.comsol.com/model/two-port-piezoelectric-saw-device-19155 (accessed on 3 June 2020).



















| No. | Aggregate Size (mm) | Lateral Position (mm) | Longitudinal Position (mm) |
|---|---|---|---|
| 1 | 60 | −30 | −20 |
| 2 | 50 | −15 | 0 |
| 3 | 40 | 0 | 20 |
| 4 | 30 | / | / |
| 5 | 20 | / | / |
| Material | Elastic Modulus (GPa) | Poisson’s Ratio | Density (kg/m3) |
|---|---|---|---|
| Steel | 200 | 0.33 | 7850 |
| Aggregate | 55.5 | 0.16 | 2700 |
| Mortar | 26 | 0.22 | 2400 |
| Frequency | Number of Elements |
|---|---|
| 10 kHz | 1376 |
| 20 kHz | 1417 |
| 30 kHz | 1860 |
Publisher’s Note: MDPI stays neutral with regard to jurisdictional claims in published maps and institutional affiliations. |
© 2022 by the authors. Licensee MDPI, Basel, Switzerland. This article is an open access article distributed under the terms and conditions of the Creative Commons Attribution (CC BY) license (https://creativecommons.org/licenses/by/4.0/).
Share and Cite
Wang, J.; Xu, B.; Chen, H.; Ge, H.; Zhou, T. Multi-Physics Mesoscale Substructure Analysis on Stress Wave Measurement within CFST-PZT Coupling Models for Interface Debonding Detection. Sensors 2022, 22, 1039. https://doi.org/10.3390/s22031039
Wang J, Xu B, Chen H, Ge H, Zhou T. Multi-Physics Mesoscale Substructure Analysis on Stress Wave Measurement within CFST-PZT Coupling Models for Interface Debonding Detection. Sensors. 2022; 22(3):1039. https://doi.org/10.3390/s22031039
Chicago/Turabian StyleWang, Jiang, Bin Xu, Hongbing Chen, Hanbin Ge, and Tianmin Zhou. 2022. "Multi-Physics Mesoscale Substructure Analysis on Stress Wave Measurement within CFST-PZT Coupling Models for Interface Debonding Detection" Sensors 22, no. 3: 1039. https://doi.org/10.3390/s22031039
APA StyleWang, J., Xu, B., Chen, H., Ge, H., & Zhou, T. (2022). Multi-Physics Mesoscale Substructure Analysis on Stress Wave Measurement within CFST-PZT Coupling Models for Interface Debonding Detection. Sensors, 22(3), 1039. https://doi.org/10.3390/s22031039

