Next Article in Journal
LC Passive Wireless Sensor System Based on Two Switches for Detection of Triple Parameters
Next Article in Special Issue
Three-Dimensional Engine-Based Geometric Model Optimization Algorithm for BIM Visualization with Augmented Reality
Previous Article in Journal
Weed Classification from Natural Corn Field-Multi-Plant Images Based on Shallow and Deep Learning
Previous Article in Special Issue
Recognizing and Counting Freehand Exercises Using Ubiquitous Cellular Signals
 
 
Font Type:
Arial Georgia Verdana
Font Size:
Aa Aa Aa
Line Spacing:
Column Width:
Background:
Article

Compound Context-Aware Bayesian Inference Scheme for Smart IoT Environment

1
Advanced Technology Research Center, Department of Computer Science and Engineering, Korea University of Technology and Education, Cheonan 330-708, Korea
2
Future Convergence Engineering, Department of Computer Science and Engineering, Korea University of Technology and Education, Cheonan 330-708, Korea
*
Author to whom correspondence should be addressed.
Sensors 2022, 22(8), 3022; https://doi.org/10.3390/s22083022
Submission received: 28 February 2022 / Revised: 5 April 2022 / Accepted: 12 April 2022 / Published: 14 April 2022

Abstract

:
The objective of smart cities is to improve the quality of life for citizens by using Information and Communication Technology (ICT). The smart IoT environment consists of multiple sensor devices that continuously produce a large amount of data. In the IoT system, accurate inference from multi-sensor data is imperative to make a correct decision. Sensor data are often imprecise, resulting in low-quality inference results and wrong decisions. Correspondingly, single-context data are insufficient for making an accurate decision. In this paper, a novel compound context-aware scheme is proposed based on Bayesian inference to achieve accurate fusion and inference from the sensory data. In the proposed scheme, multi-sensor data are fused based on the relation and contexts of sensor data whether they are dependent or not on each other. Extensive computer simulations show that the proposed technique significantly improves the inference accuracy when it is compared to the other two representative Bayesian inference techniques.

1. Introduction

The rapidly growing world population is becoming a relevant issue to solve the problems of efficiency and quality of life for people [1,2]. Smart cities use the latest technologies to improve citizens’ economic growth and lifestyles. The key features of smart cities include: smart governance, smart monitoring, smart citizens, smart services, smart economy, smart technology, smart mobility, smart living, smart environments, and smart parking [3,4,5]. IoT systems and Information and Communication Technology (ICT) play a vital role to increase intelligence for making better decisions based on the sensor data environments [6]. It is based on the paradigm of sensing, reasoning, inferencing, and acting by exploiting the sensory data [7,8,9].
The smart city comprises different types of sensor devices which often produce diverse data. In such a situation, it is necessary to fuse the heterogeneous data obtained from various sensors deployed in the target place. However, it is challenging to accurately infer and make a correct decision based on the multi-sensor data. Furthermore, data from a single source (sensor) are usually insufficient for making the correct decision. Additionally, noisy data may result in wrong inferences about the environment [10]. Thus, noise in the sensor data needs to be filtered out before the data are forwarded to the inference system. We adopted the Kalman filter (KF) which is the most commonly used technique to reduce the noise and uncertainty in data [11].
Context awareness allows accurate inference by properly interpreting the context information extracted from the sensor data in an integrated fashion, either passively or actively [12,13]. The IoT system of smart cities also needs compound context awareness to achieve accurate decisions since only one context may lead to a wrong inference. For example, high body temperature in an ordinary situation indicates illness, but it is normal during strenuous exercise. Hence, two contexts, temperature and location, may be needed to distinguish illness from exercise. The techniques used for multi-sensor data fusion and inference are mainly categorized as artificial-intelligence-based, evidence-based, and probability-based [14,15,16]. Bayesian inference (BI) is a probability-based fusion technique that obtains the correlation between the multi-source data. In the literature, various data fusion and inferencing techniques have been proposed [17,18,19,20,21]; however, they are mostly based on a single context. The appropriate manipulation of compound contexts for accurate inference is still a big challenge, which is the motivation of our research and proposed scheme.
In this paper, a compound context-aware Bayesian inference (CCBI) scheme is presented which allows accurate inference and decision making based on multiple-context data sharing of the smart cities environment. Multi-sensor data are operated in two phases; in the first phase, KF is applied to filter each sensor datum and reduce the error. In the second phase, BI is applied on filtered data to exploit the statistical correlation between the sensor data based on the multiple contexts and fuses them. Altogether, in the CCBI, the heterogeneous data from multiple sensor devices are fused based on context sharing and relation to perform an accurate decision on them. Computer simulation reveals that the CCBI shows considerably better performance than the other two schemes, Bayesian Data Fusion [22] and Bayesian Network Data Fusion (BNDF) [23], in terms of inference accuracy. The following are the main contributions of the proposed scheme:
  • While various multi-sensor data fusion schemes with BI have been proposed, they are mostly based on a single context. We proposed a generic approach for improving reasoning and inference accuracy by sharing and utilizing multiple compound contexts.
  • Since the events in the real situation might be correlated with each other, the inference operation is further specified in two modes to best match the given condition between the contexts of sensor data: (i) Bayesian inference with dependent contexts and (ii) Bayesian inference with independent contexts.
  • A novel belief function of the BI system is developed which effectively represents the conditional dependency between a specific state and contextual information. The proposed modeling approach is general so that it can be adopted for any inference problem handling heterogeneous data.
The organization of the paper is: the work related to multi-sensor data fusion for WSN and smart cities is summarized in Section 2. In Section 3, the proposed CCBI scheme is discussed. Simulation setup and results analysis are explained in Section 4, and the conclusion is discussed in Section 5.

2. Related Work

The issue of sensor data fusion in smart IoT environments has been recognized by several researchers. In [24], a platform named iSapiens was proposed to apply the edge computing model concerning a distributed network in an urban environment. It was an IoT-based application platform to develop agents for receiving data from the smart environment and situation. In [25], a deep learning-based scheme was presented where a convolution neural network (CNN) was incorporated with long short-term memory (LSTM) architectures to be used for traffic flow predictions in smart cities. Spatial data were classified with a CNN, though temporal data were classified with LSTM. In [26], an adaptive distributed Bayesian was proposed to detect outliers in the sensor data.
In [27], the authors presented a scheme for data fusion using reinforcement learning to improve fusion accuracy. Ref. [28] presented a deep-learning-based method for fused multi-source heterogeneous data. Correspondingly, several issues with multi-source heterogeneous data fusion were discussed in this paper. A Bayesian-based model [29] was proposed for data fusion that measures temperature, fuses data from smart buildings, extracts knowledge with some sensor measurements, and then predicts spatial temperature distribution for further estimation. The Bayesian information and knowledge fusion model is presented in [30], to maximize the posterior probability. In Equation (1) [30], the Bayesian approach for information fusion is formulated.
p ( Θ | D 1 , D 2 , | M 1 , M 2 ) = p D 1 | Θ , M 1 p D 2 | Θ , M 2   P p Θ | M 1 p Θ | M 2 p D 1 , D 2 | M 1 , M 2
A fuzzy-neural-network-based technique was presented in [31] to extract the important features and knowledge from the data. Ref. [32] proposes three filtering approaches to fuse sensor data: Pre-Filtering, Post-Filtering, and Pre-Post-Filtering. It filtered and combined sensor data using a modified Bayesian fusion algorithm to deal with ambiguity and contradiction problems in the data. Dempster–Shafer theory is the generalization of the Bayesian theory which is used to fuse and transform conflicting information into a decision-making result [33,34].

3. The Proposed Scheme

In this section, we present the proposed CCBI scheme for heterogeneous data fusion and make accurate decisions on them. It increases the inference accuracy based on compound context awareness and sharing.

3.1. Design Goal

The design purpose of the proposed scheme is to efficiently fuse the heterogeneous sensor data for accurate inference. The data generated in WSN are usually massive and noisy. Hence, a method to efficiently filter the errors in the sensor data is needed before the fusion. With centralized filterings, such as a base station (BS), the network tends to become congested. So, we consider that each sensor node can accommodate the KF operation for filtering the sensing data to reduce error and noise before transmitting it to the fusion node. The BI operation is deployed at the central node to fuse heterogeneous sensor data. The structure of the CCBI scheme is shown in Figure 1.

3.2. Operation

3.2.1. Distributed Filtering

The data of each sensors are processed using KF [15,35] to omit the noise before being sent to the BS for inference, as shown in Figure 2a,b. KF is mainly based on the prediction operation which constructs the matrix of the underlying state vectors and updates it according to the sensor measurement. Consider the following model of the linear dynamic system. Table 1 explains all the notations used in the KF.
x ^ k = A k x ^ k 1 + B k u k + G k
z k = H k x ^ k + v k
x ˙ ^ k = A k x ^ k 1 + B u k
P ˙ ^ k = A k P k 1 A T + Q
As shown in Equations (2)–(5), the estimation x ˙ ^ k and covariance of error P ˙ ^ k are integrated with the sensor measurement z k and covariance R k to get the updated estimate and error covariance matrix. Figure 2a,b explains the relation among the approximation and cleaned data, and Figure 3 shows the procedure of KF.
K k = P ˙ ^ k H T H P ˙ ^ k H T + R 1
x ^ k = x ˙ ^ k + K k z k H k x ˙ ^ k
P k = ( 1 K k H ) P ˙ ^ k

3.2.2. Bayesian Inference

The proposed scheme has two modes of operation: inference with dependent contexts and independent contexts, respectively. These two modes properly deal with heterogeneous data based on the relation between the contexts and data.
  • Bayesian Inference with Dependent Contexts
This mode is applied when the events or measurements of the environment are dependent on each other. Here, the probability of an event or outcome is predicted based on the occurrence of the related events. Making a decision based on multi-sensor data and context information is regarded as inference with the given condition. For example, turning an air conditioner on and off according to the existence of people or fire detection based on multiple context data are such inference operations. Similarly, in the healthcare application, a variety of sensor nodes record the patient’s physical context such as blood pressure and sugar, etc. [10]. When the threshold of a context is exceeded, the medical center is notified immediately. In critical applications, including the healthcare system, accurate and reliable inference is very important, and single-sensor data may not be sufficient for that [36,37]. Therefore, BI using heterogeneous data is required. In this mode, the posterior probability is computed according to the Bayesian rules to make the decision based on the compound contexts. Table 2 lists the notation used in the proposed CCBI model.
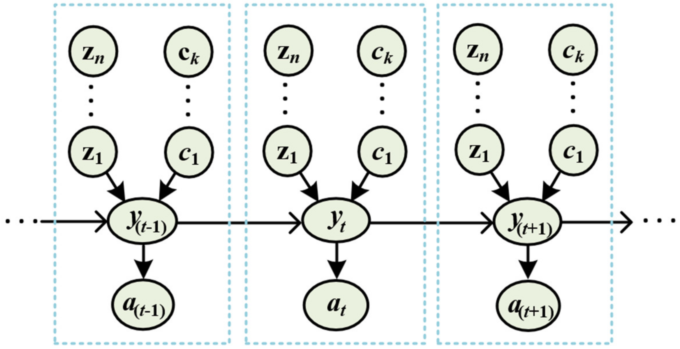
Figure 4 shows the data flow of the proposed CCBI with the change in the state of the system. Here, z t = ( z t 1 , z t 2 ,   , z t n ) is the set of data generated by n sensors, and c t = ( c t 1 , c t 2 ,   , c t k ) is a set of k context data at state t. The probability distribution, p z t | c t , represents how the contextual information affects the sensor reading and final event, a t . The state takes a certain probability value, which is expressed by the state transition model, p a t | z t , c t , y t , and leads to a final decision. The belief of the BI system, B e l a t , under a specific state, a t , and contextual information, c t , is defined as
B e l a t = p a t | z n , c t , y t ,
The equation of Bayes fusion [38] is adopted for deriving the belief. Particularly, Equation (9) can be expressed as follows. Let us define p a t as the probability of the occurrence of an event, a t , and p a t , z t , c t , y t as the joint probability of the occurrence of all events. Then, the conditional probability of the occurrence of a t given that the environment or State_ y t has already occurred can be related as p a t , z t , c t , y t = p a t | z t , c t , y t   p z t , c t , y t
p a t | z t , c k , y t = p a t , z t , c t , y t   p z t , c t , y t
The following belief represents the conditional dependence between a t and z t , c t , y t , and the above relation can also be written as follows in Equation (11):
p a t | z t , c t , y t = p z t | c t , y t , a t   p c t , y t , a t   p z t , c t , y t
By applying the chain rule, p c t , y t , a t and p z t , c t , y t can be further separated as p c t , y t , a t = p c t | y t , a t p y t , a t ,   and   p y t , a t = p y t | a t p a t , then
p c t , y t , a t = p c t | y t , a t p y t | a t p a t
In a similar fashion, p z t , c t , y t can be formulated as p z t , c t , y t = p z t | c t , y t p c t , y t   and   p c t , y t = p c t | y t p y t , then
p z t , c t , y t = p z t | c t , y t p c t | y t p y t
Substituting Equations (12) and (13) into Equation (11), we obtain the following equation:
p a t | z n , c k , y t = p z n | c t , y t , a t   p c t | y t , a t p y t | a t p a t p z t | c t , y t p c t | y t p y t
By substituting Equation (14), Equation (9) becomes
B e l a t = p z n | c t , y t , a t   p c t | y t , a t p y t | a t p a t p z t | c t , y t p c t | y t p y t
The data service module produces the meta-information on the system to extract the information relevant to the target application such as updating the alarm threshold or reconfiguring the sensory infrastructure.
  • Bayesian Inference with Independent Contexts
This case is applied when the events or measurements of the sensor are not dependent on each other. After performing the KF operation, individual sensors send data to the central node, where the data are inferred based on the posterior and prior probability, and the measurement of the highest probability is considered as the final value. Let us denote d n i ,   d c i , and d p i as the new predicted dataset, current dataset, and previous dataset with sensor-i, respectively i = 1 , 2 , 3 n . Note that the sensor data are individually filtered by KF, and the probability of the result, x , is computed based on the latest set of data p x | d n 1 d n 2   in the node applying the CCBI. Using the rules of CCBI, the following relationship can be obtained with two sensor nodes as in [39]:
B e l x j = p x | d n 1 d n 2 = p x | d c 1 d c 2 d p 1 d p 2 = p d c 1 d c 2 | x , d p 1 d p 2 p x | d p 1 d p 2 p d c 1 d c 2 | d p 1 d p 2
Since the sensor readings are independent, we obtain the following:
B e l x j = p d c 1 | x , d p 1 p d c 2 | x , d p 2 p x | d p 1 d p 2 p d c 1 d c 2 | d p 1 d p 2
By applying the chain rule, Equation (16) is rewritten as
B e l x j = p d c 1 | x , d p 1 p d c 2 | x , d p 2 p x | d p 1 d p 2 p d c 1 d c 2 | d p 1 d p 2
      = p x | d n 1 p x | d n 2 p x | d p 1 d p 2 p x | d p 1 p x | d p 2
Equation (13) can be expanded for the case of three sensors as given below:
p x | d n 1 d n 2 d n 3     = p x | d n 1 p x | d n 2 p x | d n 3 p x | d p 1 d p 2 d p 3 ) p x | d p 1 p x | d p 2 p x | d p 3 × N 3
N 3 = i = 1 3 p x i
Here, N 3 denotes the normalization value for three sensor nodes. With m sensors, the model can be generalized as
p x | d n 1 , , d n m = i = 1 m p x | d n m p ( x | i = 1 m d p m ) i = 1 m p x | d p m × N n
N m = i = 1 m p x i

4. Performance Evaluation

In this section, we present the simulation environment as well as performance analysis of the obtained results.

4.1. Simulation Environment

The simulation environment is set up on a computer with Intel-Core i7 processor and 16 GB RAM running Matlab R2018a at LINK lab, koreatech university, South Korea. The performance of the CCBI is compared with the two representative BI schemes: Bayesian Data Fusion (BDF) [22] and Bayesian Network Data Fusion (BNDF) [23].
Bayesian Data Fusion (BDF): This is the simplest model of data fusion based on Bayes’ rule combining different knowledge. P x | z is the inference distribution of the unknown state x using specific sensor measurement z . It is represented as
P x | z = α P x P ( z | x )
The BDF model is further extended by BNDF to improve the inference accuracy as follows.
Bayesian Network Data Fusion (BNDF): This merges some properties of the surrounding environment, e , with the data for achieving more accurate inference as below [23]:
P x | z , e = α P x P ( z | x , e )
Note that the BNDF scheme is extended in the proposed CCBI scheme by adding different factors and states of the environment to improve the inference accuracy, as explained in the previous section.
The fire detection system is adopted to evaluate the efficiency of the BI schemes as a realistic test case. In fire detection, the key contexts are air temperature, smoke concentration, the wavelength of the flame radiation, humidity, and carbon monoxide (CO). The data used in the simulation are generated randomly for each of the five different contexts. In the simulation, gaussian noisy data of high variation are injected, and then erroneous data are omitted by applying KF [40]. The filtered data from different sensors are then sent to the CCBI engine to make a final decision based on the context information. Four performance indicators are measured in the simulation: sensitivity (precision), specificity (recall), accuracy, and F1-score [41]. The results of three schemes are computed and tested using three statistical measurements, sensitivity, specificity, and F1-score (F-measure), as shown in Equations (24)–(27). In the following equations, we used TP (true positive), FP (false positive), TN (true negative), and FN (false negative).
S e n s i t i v i t y   precision       = T P T P + F N
s p e c i f i c i t y   recall = T N F P + T N
A c c u r a c y = T P + T N   T P + F P + T N + F N
F 1 = 2 s p e c i f i c i t y × s e n s i t i v i t y s p e c i f i c i t y + s e n s i t i v i t y

4.2. Simulation Result

Figure 5 shows the probability of fire detection with each respective context datum. As observed from the figure, at iteration 18, the detection probability with air temperature, smoke, flame, CO, and humidity is around 0.66, 0.61, 0.42, 0.44, and 0.4, respectively. When the fire erupts, the values of the contexts will start to increase, such as at iteration 10. However, the fire eruption can be confirmed between iterations 40 and 70 because the probability values of all the contexts are high enough in that range. Notice that making a decision based on only one context might not allow dependable results. For example, high temperatures without smoke may not indicate fire in the real situation. Therefore, the proposed scheme utilizes all the five-context data to efficiently resolve this issue and increase the decision accuracy.
Figure 6 shows the evaluation of the error rate in the sensor data before and after the KF. In the sensor data, errors occur due to noises and variations. To test the effectiveness of the proposed scheme, noisy data of high variation are injected in the simulation. Before the BI process, the sensor data, which are a mixture of the data and noise, are filtered by KF. It measures the noise variance in the data to filter out the errors, as briefly explained in Equations (4)–(8) in Section 3.2. As shown in the figure, the error rate after KF is much smaller than before KF. In addition, note that the error rate fluctuates significantly, while KF makes it quite stable and low.
Figure 7 shows the ROC (receiver operating characteristic) curve for three schemes, BDF, BNDF, and CCBI. Here, the curve is plotted with TP rate (= T P / T P + F N ) on the y-axis against the FP rate (= F P / F P + T N ) on the x-axis; it compares the TP and FP rate of three schemes. The upper-left corner indicates a 100% TP rate. Therefore, the closer to this corner, the higher the overall accuracy is. Hence, the proposed scheme shows better performance than the other two schemes, BDF and BNDF.
Figure 8 shows four performance measurements: the recall, precision, accuracy, and F1-score of the three schemes. The CCBI consistently shows better results than BDF and BNDF based on four performance measurements: recall, precision, accuracy, and F1-score. This better performance is because the decision-making strategy of the proposed scheme is based on multiple contexts.

5. Conclusions

In this paper, a novel, context-aware scheme of multi-sensor data inference was proposed for a smart IoT environment. It employed KF and BI to efficiently deal with the uncertainty and inconsistency issues with sensory data. To enable early warnings of fire, the characteristics of temperature, smoke concentration, and carbon monoxide sensor data in the initial stage of fire were analyzed in this study, and a BI was chosen to achieve the fusion of data. Here, the data were inferred considering the relation between the contexts. The simulation results show that the proposed scheme considerably outperformed the existing BI schemes in terms of decision accuracy, with a realistic test case of fire detection.
In the future, the performance of the proposed method will be further extended and improved by employing the Dempster–Shafer theory, which calculates the reliability of each state based on data extracted from various sources. The proposed scheme will also be extended using feature extraction and selection in the high-dimensional data to improve inference and decision accuracy. Moreover, it is also our goal to build a wireless sensor network (WSN) based on Deep Reinforcement Learning to test the algorithm in a realistic fire scenario and apply it to the Internet of Things (IoT) in smart cities.

Author Contributions

Conceptualization, I.U. and Y.-H.H.; methodology, I.U.; software, J.-B.K.; validation, J.-B.K. and Y.-H.H.; formal analysis, I.U.; investigation, Y.-H.H.; resources, I.U.; data curation, I.U. and J.-B.K.; writing—original draft preparation, I.U.; writing—review and editing, I.U. and J.-B.K.; visualization, J.-B.K.; supervision, Y.-H.H.; project administration, I.U. and Y.-H.H.; funding acquisition, Y.-H.H. All authors have read and agreed to the published version of the manuscript.

Funding

This research was supported by two Basic Science Research Programs through the National Re-search Foundation of Korea (NRF) funded by the Ministry of Education (No. NRF-2020R1I1A3065610 and NRF-2018R1A6A1A03025526).

Institutional Review Board Statement

Not applicable.

Informed Consent Statement

Not applicable.

Data Availability Statement

Not applicable.

Acknowledgments

The authors would like to thank all fundings and the support of the reviewers for their insightful comments.

Conflicts of Interest

The authors declare no conflict of interest.

References

  1. O’Dwyer, E.; Pan, I.; Acha, S.; Shah, N. Smart energy systems for sustainable smart cities: Current developments, trends and future directions. Appl. Energy 2019, 237, 581–597. [Google Scholar] [CrossRef] [Green Version]
  2. Liu, Y.; Yang, C.; Jiang, L.; Xie, S.; Zhang, Y. Intelligent Edge Computing for IoT-Based Energy Management in Smart Cities. IEEE Netw. 2019, 33, 111–117. [Google Scholar] [CrossRef]
  3. Caragliu, A.; Del Bo, C.F. Smart innovative cities: The impact of Smart City policies on urban innovation. Technol. Forecast. Soc. Chang. 2018, 142, 373–383. [Google Scholar] [CrossRef]
  4. Khan, T.S.; Khan, N.U.; Juneio, H.F. Smart City Paradigm: Importance, Characteristics, and Implicatios. In Proceedings of the 2020 Advances in Science and Engineering Technology International Conferences (ASET), Dubai, United Arab Emirates, 4 February–9 April 2020; pp. 1–6. [Google Scholar] [CrossRef]
  5. Humayun, M.; Alsaqer, M.S.; Jhanjhi, N. Energy Optimization for Smart Cities Using IoT. Appl. Artif. Intell. 2022, 1–17. [Google Scholar] [CrossRef]
  6. Mehta, S.; Bhushan, B.; Kumar, R. Machine Learning Approaches for Smart City Applications: Emergence, Challenges and Opportunities. In Recent Advances in Internet of Things and Machine Learning; Springer: Berlin/Heidelberg, Germany, 2022; pp. 147–163. [Google Scholar]
  7. Zanella, A.; Bui, N.; Castellani, A.; Vangelista, L.; Zorzi, M. Internet of Things for Smart Cities. IEEE Internet Things J. 2014, 1, 22–32. [Google Scholar] [CrossRef]
  8. Lombardi, M.; Pascale, F.; Santaniello, D. Internet of Things: A General Overview between Architectures, Protocols and Applications. Information 2021, 12, 87. [Google Scholar] [CrossRef]
  9. Priya Dharshini, K.; Gopalakrishnan, D.; Shankar, C.; Ramya, R. A Survey on IoT Applications in Smart Cities. In Immersive Technology in Smart Cities; Springer: Berlin/Heidelberg, Germany, 2022; pp. 179–204. [Google Scholar]
  10. Khaleghi, B.; Khamis, A.; Karray, F.O.; Razavi, S.N. Multisensor data fusion: A review of the state-of-the-art. Inf. Fusion 2013, 14, 28–44. [Google Scholar] [CrossRef]
  11. Shivashankarappa, N.; Adiga, S.; Avinash, R.A.; Janardhan, H.R. Kalman filter based multiple sensor data fusion in systems with time delayed state. In Proceedings of the 2016 3rd International Conference on Signal Processing and Integrated Networks (SPIN), Noida, India, 11–12 February 2016; Institute of Electrical and Electronics Engineers (IEEE): Piscataway, NJ, USA, 2016; pp. 375–382. [Google Scholar]
  12. Perera, C.; Zaslavsky, A.B.; Christen, P.; Georgakopoulos, D. Context Aware Computing for The Internet of Things: A Survey. IEEE Commun. Surv. Tutor. 2013, 16, 414–454. [Google Scholar] [CrossRef] [Green Version]
  13. Clarizia, F.; Colace, F.; Lombardi, M.; Pascale, F.; Santaniello, D. A Multilevel Graph Approach for Road Accidents Data Interpretation. In Proceedings of the 10th International Symposium, CSS 2018, Amalfi, Italy, 29–31 October 2018; Springer: Berlin/Heidelberg, Germany, 2018; pp. 303–316. [Google Scholar]
  14. Alam, F.; Mehmood, R.; Katib, I.; Albogami, N.N.; Albeshri, A. Data Fusion and IoT for Smart Ubiquitous Environments: A Survey. IEEE Access 2017, 5, 9533–9554. [Google Scholar] [CrossRef]
  15. Durrant-Whyte, H.; Henderson, T.C. Multisensor Data Fusion. In Springer Handbook of Robotics; Springer: Berlin/Heidelberg, Germany, 2016; pp. 867–896. [Google Scholar]
  16. Gravina, R.; Alinia, P.; Ghasemzadeh, H.; Fortino, G. Multi-sensor fusion in body sensor networks: State-of-the-art and research challenges. Inf. Fusion 2017, 35, 68–80. [Google Scholar] [CrossRef]
  17. De Paola, A.; Ferraro, P.; Gaglio, S.; Re, G.L.; Das, S. An Adaptive Bayesian System for Context-Aware Data Fusion in Smart Environments. IEEE Trans. Mob. Comput. 2016, 16, 1502–1515. [Google Scholar] [CrossRef]
  18. Ullah, I.; Youn, H.Y. Intelligent Data Fusion for Smart IoT Environment: A Survey. Wirel. Pers. Commun. 2020, 114, 409–430. [Google Scholar] [CrossRef]
  19. Ullah, I.; Youn, J.; Han, Y.-H. Multisensor Data Fusion Based on Modified Belief Entropy in Dempster–Shafer Theory for Smart Environment. IEEE Access 2021, 9, 37813–37822. [Google Scholar] [CrossRef]
  20. Lau, B.P.L.; Marakkalage, S.H.; Zhou, Y.; Hassan, N.U.; Yuen, C.; Zhang, M.; Tan, U.-X. A survey of data fusion in smart city applications. Inf. Fusion 2019, 52, 357–374. [Google Scholar] [CrossRef]
  21. El-Din, D.M.; Hassanien, A.E.; Hassanien, E.E. Information Integrity for Multi-sensors Data Fusion in Smart Mobility. In Toward Social Internet of Things (SIoT): Enabling Technologies, Architectures and Applications; Springer: Berlin/Heidelberg, Germany, 2019; pp. 99–121. [Google Scholar]
  22. Klein, L.A.; Klein, L.A. Sensor and Data Fusion: A Tool for Information Assessment and Decision Making; SPIE Press: Bellingham, WA, USA, 2004; Volume 324. [Google Scholar]
  23. Junghans, M.; Jentschel, H.-J. Qualification of traffic data by Bayesian network data fusion. In Proceedings of the 2007 10th International Conference on Information Fusion, Quebec, QC, Canada, 9–12 July 2007; pp. 1–7. [Google Scholar]
  24. Cicirelli, F.; Guerrieri, A.; Spezzano, G.; Vinci, A. An edge-based platform for dynamic Smart City applications. Future Gener. Comput. Syst. 2017, 76, 106–118. [Google Scholar] [CrossRef]
  25. Khan, S.; Nazir, S.; García-Magariño, I.; Hussain, A. Deep learning-based urban big data fusion in smart cities: Towards traffic monitoring and flow-preserving fusion. Comput. Electr. Eng. 2020, 89, 106906. [Google Scholar] [CrossRef]
  26. De Paola, A.; Gaglio, S.; Re, G.L.; Milazzo, F.; Ortolani, M. Adaptive Distributed Outlier Detection for WSNs. IEEE Trans. Cybern. 2014, 45, 902–913. [Google Scholar] [CrossRef]
  27. Zhou, T.; Chen, M.; Yang, C.; Nie, Z. Data fusion using Bayesian theory and reinforcement learning method. Sci. China Inf. Sci. 2020, 63, 1–3. [Google Scholar] [CrossRef]
  28. Zhang, L.; Xie, Y.; Xidao, L.; Zhang, X. Multi-source heterogeneous data fusion. In Proceedings of the 2018 International Conference on Artificial Intelligence and Big Data (ICAIBD), Chengdu, China, 26–28 May 2018; IEEE: Piscataway, NJ, USA, 2018; pp. 47–51. [Google Scholar]
  29. Chen, X.; Li, X. Virtual temperature measurement for smart buildings via Bayesian model fusion. In Proceedings of the 2016 IEEE International Symposium on Circuits and Systems (ISCAS), Montreal, QC, Canada, 22–25 May 2016; IEEE: Piscataway, NJ, USA; pp. 950–953. [Google Scholar]
  30. Datcu, M.; Seidel, K. Bayesian Methods: Applications in Information Aggregation and Image Data Mining. Int. Arch. Photogramm. Remote Sens. 1999, 32, 68–73. [Google Scholar]
  31. Gao, J.-P.; Xu, C.-B.; Zhang, L.; Zheng, J.-L.; Shu, H.; Yuan, X. A Method of Information Fusion Based on Fuzzy Neural Network and Its Application. ITM Web Conf. 2017, 11, 1015. [Google Scholar] [CrossRef] [Green Version]
  32. Abdulhafiz, W.A.; Khamis, A. Bayesian approach to multisensor data fusion with Pre- and Post-Filtering. In Proceedings of the 2013 10th IEEE International Conference on Networking, Sensing and Control (ICNSC), Evry, France, 10–12 April 2013; IEEE: Piscataway, NJ, USA, 2013; pp. 373–378. [Google Scholar]
  33. Ullah, I.; Youn, H.Y.; Han, Y.-H. Integration of Type-2 Fuzzy Logic and Dempster–Shafer Theory for Accurate Inference of IoT-Based Health-Care System. Future Gener. Comput. Syst. 2021, 124, 369–380. [Google Scholar] [CrossRef]
  34. Ullah, I.; Lim, H.-K.; Han, Y.-H. Feature Correlation-based Data Fusion using Dempster-Shafer Evidence Theory for WSN. In Proceedings of the 2021 International Conference on Information and Communication Technology Convergence (ICTC), Jeju Island, Korea, 20–22 October 2021; IEEE: Piscataway, NJ, USA, 2021; pp. 1208–1212. [Google Scholar]
  35. Kalman, R.E.; Bucy, R.S. New Results in Linear Filtering and Prediction Theory. J. Basic Eng. 1961, 83, 95–108. [Google Scholar] [CrossRef]
  36. Baloch, Z.; Shaikh, F.K.; Unar, M.A. A Context-Aware Data Fusion Approach for Health-IoT. Int. J. Inf. Technol. 2018, 10, 241–245. [Google Scholar] [CrossRef]
  37. Coroama, V.; Bohn, J.; Mattern, F. Living in a smart environment implications for the coming ubiquitous information society. In Proceedings of the 2004 IEEE International Conference on Systems, Man and Cybernetics (IEEE Cat. No.04CH37583), The Hague, The Netherlands, 10–13 October 2005; IEEE: Piscataway, NJ, USA, 2005; Volume 6, pp. 5633–5638. [Google Scholar]
  38. Raol, J.R. Multi-Sensor Data Fusion with MATLAB®; CRC Press: Boca Raton, FL, USA, 2009; ISBN 1-4398-0005-7. [Google Scholar]
  39. Challa, S.; Koks, D. Bayesian and Dempster-Shafer fusion. Sadhana 2004, 29, 145–174. [Google Scholar] [CrossRef]
  40. Add White Gaussian Noise to Signal—MATLAB Awgn. Available online: https://www.mathworks.com/help/comm/ref/awgn.html (accessed on 27 February 2022).
  41. Chicco, D.; Jurman, G. The advantages of the Matthews correlation coefficient (MCC) over F1 score and accuracy in binary classification evaluation. BMC Genom. 2020, 21, 1–13. [Google Scholar] [CrossRef] [Green Version]
Figure 1. The two-phase operation of the proposed CCBI scheme.
Figure 1. The two-phase operation of the proposed CCBI scheme.
Sensors 22 03022 g001
Figure 2. (a) The intersection of the covariance of data. (b) The gaussian PDFs of the estimation and measurement.
Figure 2. (a) The intersection of the covariance of data. (b) The gaussian PDFs of the estimation and measurement.
Sensors 22 03022 g002
Figure 3. The operation procedure of KF.
Figure 3. The operation procedure of KF.
Sensors 22 03022 g003
Figure 4. The data flow of the proposed CCBI.
Figure 4. The data flow of the proposed CCBI.
Sensors 22 03022 g004
Figure 5. The detection probability of fire is based on the respective context.
Figure 5. The detection probability of fire is based on the respective context.
Sensors 22 03022 g005
Figure 6. The comparison of error rates before and after KF.
Figure 6. The comparison of error rates before and after KF.
Sensors 22 03022 g006
Figure 7. The result of TP and FP for three schemes.
Figure 7. The result of TP and FP for three schemes.
Sensors 22 03022 g007
Figure 8. The comparison of the schemes on the four metrics.
Figure 8. The comparison of the schemes on the four metrics.
Sensors 22 03022 g008
Table 1. The notations used in KF.
Table 1. The notations used in KF.
x ^ k The state of the process
A k The system state matrix
B k The Input matrix
u k The control vector
G k The process noise or gain
z k The measurement obtained by sensors
H k The Observation (model) matrix
v k Noise measurement or error
x ˙ ^ k The estimation of the predicted state
P ˙ ^ k Covariance of error
R k Covariance
K k The Kalman gain
Table 2. The notations used in the CCBI model.
Table 2. The notations used in the CCBI model.
z t Denotes the sensory measurement at state t
c t Represents the contextual information at state t
y t Denotes the environment at state t
a t Represents the target alarm value at state t
p . Denotes the probability function on the measurement
B e l . Represents the belief of the occurrence
Publisher’s Note: MDPI stays neutral with regard to jurisdictional claims in published maps and institutional affiliations.

Share and Cite

MDPI and ACS Style

Ullah, I.; Kim, J.-B.; Han, Y.-H. Compound Context-Aware Bayesian Inference Scheme for Smart IoT Environment. Sensors 2022, 22, 3022. https://doi.org/10.3390/s22083022

AMA Style

Ullah I, Kim J-B, Han Y-H. Compound Context-Aware Bayesian Inference Scheme for Smart IoT Environment. Sensors. 2022; 22(8):3022. https://doi.org/10.3390/s22083022

Chicago/Turabian Style

Ullah, Ihsan, Ju-Bong Kim, and Youn-Hee Han. 2022. "Compound Context-Aware Bayesian Inference Scheme for Smart IoT Environment" Sensors 22, no. 8: 3022. https://doi.org/10.3390/s22083022

APA Style

Ullah, I., Kim, J.-B., & Han, Y.-H. (2022). Compound Context-Aware Bayesian Inference Scheme for Smart IoT Environment. Sensors, 22(8), 3022. https://doi.org/10.3390/s22083022

Note that from the first issue of 2016, this journal uses article numbers instead of page numbers. See further details here.

Article Metrics

Back to TopTop