Longitudinal and Lateral Control Strategies for Automatic Lane Change to Avoid Collision in Vehicle High-Speed Driving
Abstract
1. Introduction
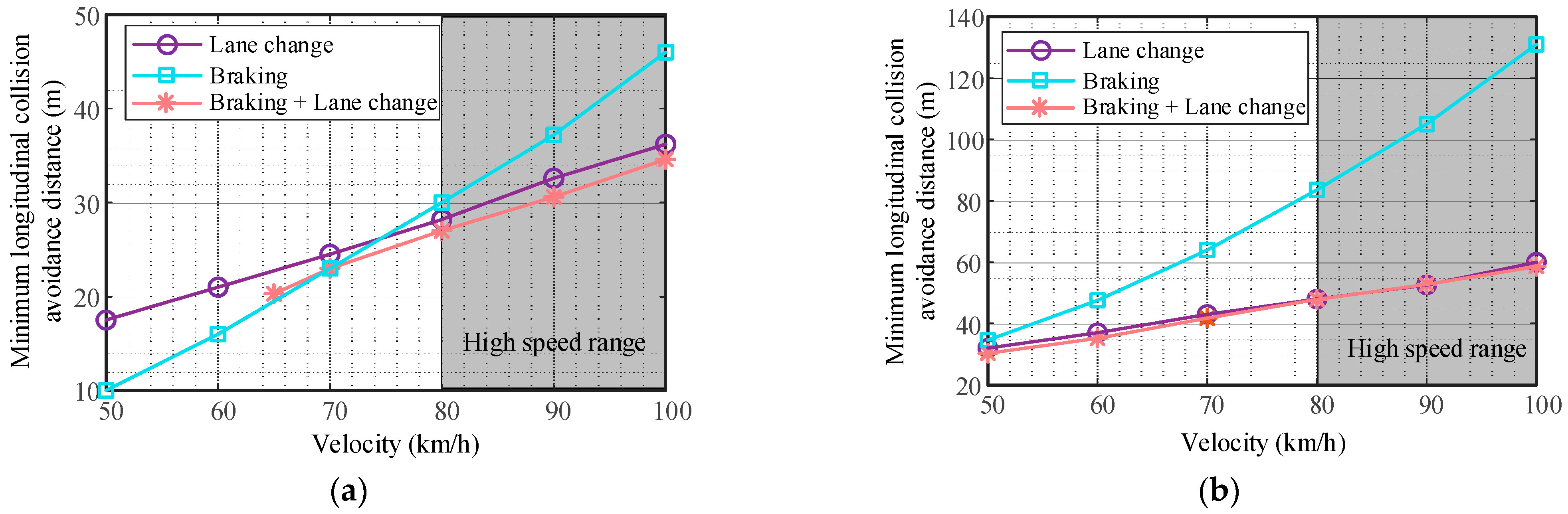
2. Comparison of Lane Changing and Automatic Emergency Braking Collision Avoidance
3. Reference Path Planning for Lane Change Collision Avoidance
4. Horizontal Tracking Control Strategy Based on Multiobjective Optimization
4.1. MPC Controller Design
4.2. Controller Tuning
5. Longitudinal Velocity Tracking Control Strategy
5.1. Longitudinal Acceleration Decision and Driving Mode Arbitration
5.2. Vehicle Inverse Longitudinal Dynamics Model
6. Simulation
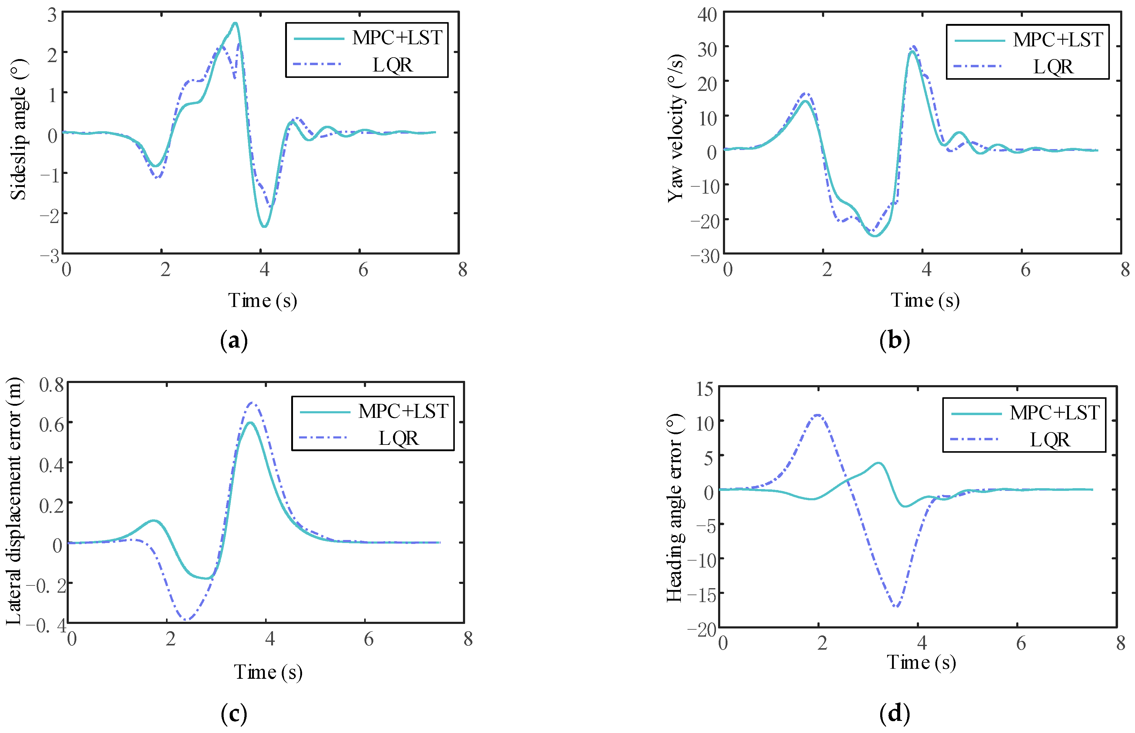
6.1. Double Lane Change Condition
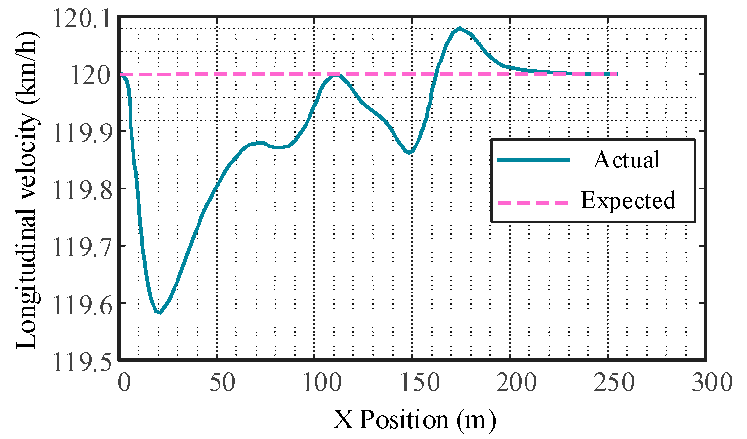
6.2. Quintic Polynomial Tracking Condition
7. Discussion
8. Conclusions
Author Contributions
Funding
Institutional Review Board Statement
Informed Consent Statement
Data Availability Statement
Conflicts of Interest
References
- Zhang, S.; Ou, J.; Deng, G.; Xu, Z. Research on Hierarchical Control of Automobile Automatic Emergency Braking System Based on V2V; SAE International: Warrendale, PA, USA, 2021. [Google Scholar]
- Bonnefon, J.-F.; Shariff, A.; Rahwan, I. The Social Dilemma of Autonomous Vehicles. Science 2016, 352, 1573–1576. [Google Scholar] [CrossRef] [PubMed]
- Zhang, R.; Zhang, Z.; Guan, Z.; Li, Y.; Li, Z. Autonomous Lane Changing Control for Intelligent Vehicles. Clust. Comput. 2019, 22, 8657–8667. [Google Scholar] [CrossRef]
- Cai, Y.-F.; Zang, Y.; Sun, X.-Q.; Chen, X.-B.; Chen, L. Lane-Keeping System of Intelligent Vehicles Based on Extension Switching Control Method. China J. Highw. Transp. 2019, 32, 43. (In English) [Google Scholar] [CrossRef]
- Xu, L.; Zhuang, W.; Yin, G.; Li, G.; Bian, C. Robust Overtaking Control of Autonomous Electric Vehicle with Parameter Uncertainties. Proc. Inst. Mech. Eng. Part J. Automob. Eng. 2019, 233, 3358–3376. [Google Scholar] [CrossRef]
- Dixit, S.; Montanaro, U.; Dianati, M.; Oxtoby, D.; Mizutani, T.; Mouzakitis, A.; Fallah, S. Trajectory Planning for Autonomous High-Speed Overtaking in Structured Environments Using Robust MPC. IEEE Trans. Intell. Transp. Syst. 2020, 21, 2310–2323. [Google Scholar] [CrossRef]
- Yuan, H.; Sun, X.; Gordon, T. Unified Decision-Making and Control for Highway Collision Avoidance Using Active Front Steer and Individual Wheel Torque Control. Veh. Syst. Dyn. 2019, 57, 1188–1205. [Google Scholar] [CrossRef]
- Ryan, C.; Murphy, F.; Mullins, M. Spatial Risk Modelling of Behavioural Hotspots: Risk-Aware Path Planning for Autonomous Vehicles. Transp. Res. Part Policy Pract. 2020, 134, 152–163. [Google Scholar] [CrossRef]
- Du, M.; Mei, T.; Chen, J.; Zhao, P.; Liang, H.; Huang, R.; Tao, X. RRT-Based Motion Planning Algorithm for Intelligent Vehicle in Complex Environments. Jiqiren/Robot 2015, 37, 443–450. [Google Scholar] [CrossRef]
- Shiller, Z. Off-Line and On-Line Trajectory Planning. In Motion and Operation Planning of Robotic Systems: Background and Practical Approaches; Carbone, G., Gomez-Bravo, F., Eds.; Mechanisms and Machine Science; Springer International Publishing: Cham, Switzerland, 2015; pp. 29–62. ISBN 978-3-319-14705-5. [Google Scholar]
- Suh, J.; Chae, H.; Yi, K. Stochastic Model-Predictive Control for Lane Change Decision of Automated Driving Vehicles. IEEE Trans. Veh. Technol. 2018, 67, 4771–4782. [Google Scholar] [CrossRef]
- Wang, Z.; Deng, W.; Zhang, S.; Shi, J. Vehicle Automatic Lane Changing Based on Model Predictive Control. SAE Int. J. Passeng. Cars—Electron. Electr. Syst. 2016, 9, 231–237. [Google Scholar] [CrossRef]
- Naranjo, J.E.; Sotelo, M.A.; Gonzalez, C.; Garcia, R.; Pedro, T.D. Using Fuzzy Logic in Automated Vehicle Control. IEEE Intell. Syst. 2007, 22, 36–45. [Google Scholar] [CrossRef]
- Liu, K.; Gong, J.; Kurt, A.; Chen, H.; Ozguner, U. Dynamic Modeling and Control of High-Speed Automated Vehicles for Lane Change Maneuver. IEEE Trans. Intell. Veh. 2018, 3, 329–339. [Google Scholar] [CrossRef]
- He, P.; Wang, Y.; Zhang, Y.; Liu, Y.; Xu, Y. Integrated Control of Semi-Active Suspension and Vehicle Dynamics Control System. In Proceedings of the 2010 International Conference on Computer Application and System Modeling (ICCASM 2010), Taiyuan, China, 22–24 October 2010; Volume 5, pp. V5-63–V5-68. [Google Scholar]
- Zhao, S.; Li, Y.; Zheng, L.; Lu, S. Vehicle Lateral Stability Control Based on Sliding Mode Control. In Proceedings of the 2007 IEEE International Conference on Automation and Logistics, Jinan, China, 18–21 August 2007; pp. 638–642. [Google Scholar]
- Ji, J.; Khajepour, A.; Melek, W.W.; Huang, Y. Path Planning and Tracking for Vehicle Collision Avoidance Based on Model Predictive Control with Multiconstraints. IEEE Trans. Veh. Technol. 2017, 66, 952–964. [Google Scholar] [CrossRef]
- Xu, Y.; Zheng, H.; Wu, W.; Wu, J. Robust Hierarchical Model Predictive Control for Trajectory Tracking with Obstacle Avoidance. IFAC-PapersOnLine 2020, 53, 15745–15750. [Google Scholar] [CrossRef]
- Cavanini, L.; Majecki, P.; Grimble, M.J.; Ivanovic, V.; Tseng, H.E. LPV-MPC Path Planning for Autonomous Vehicles in Road Junction Scenarios. In Proceedings of the 2021 IEEE International Intelligent Transportation Systems Conference (ITSC), Indianapolis, IN, USA, 19–22 September 2021. [Google Scholar]
- Lai, F.; Ye, X. Research on Feedforward and Feedback Tracking Control for Automatic Emergency Steering Collision Avoidance in Vehicle High-speed Driving. Automot. Eng. 2020, 42, 1404–1411. [Google Scholar] [CrossRef]
- Petrov, P.; Nashashibi, F. Modeling and Nonlinear Adaptive Control for Autonomous Vehicle Overtaking. IEEE Trans. Intell. Transp. Syst. 2014, 15, 1643–1656. [Google Scholar] [CrossRef]
- Zhang, C.; Chu, D.; Liu, S.; Deng, Z.; Wu, C.; Su, X. Trajectory Planning and Tracking for Autonomous Vehicle Based on State Lattice and Model Predictive Control. IEEE Intell. Transp. Syst. Mag. 2019, 11, 29–40. [Google Scholar] [CrossRef]
- Rupp, A.; Stolz, M. Survey on Control Schemes for Automated Driving on Highways. In Automated Driving: Safer and More Efficient Future Driving; Watzenig, D., Horn, M., Eds.; Springer International Publishing: Cham, Switzerland, 2017; pp. 43–69. ISBN 978-3-319-31895-0. [Google Scholar]
Avoid Collision Mode | Constraint Condition | Input of System |
---|---|---|
Braking | ||
Lane changing | ||
Braking + lane change |
Avoid Collision Model | Constraint Condition | Input of System |
---|---|---|
Parameter name | value | unit |
Sprung mass | 1370 | kg |
Vehicle width | 2131 | mm |
Centroid height | 520 | mm |
Distance from center of mass to front axle | 1110 | mm |
Distance from center of mass to rear axle | 1760 | mm |
Main reduction ratio | 4.1 | - |
Engine power | 150 | kw |
Yaw moment of inertia | 250 | kg/m2 |
Wheelbase | 2886 | mm |
Tire model | 215/55 R17 | - |
2315 |
Disclaimer/Publisher’s Note: The statements, opinions and data contained in all publications are solely those of the individual author(s) and contributor(s) and not of MDPI and/or the editor(s). MDPI and/or the editor(s) disclaim responsibility for any injury to people or property resulting from any ideas, methods, instructions or products referred to in the content. |
© 2023 by the authors. Licensee MDPI, Basel, Switzerland. This article is an open access article distributed under the terms and conditions of the Creative Commons Attribution (CC BY) license (https://creativecommons.org/licenses/by/4.0/).
Share and Cite
Zhang, S.; Liu, X.; Deng, G.; Ou, J.; Yang, E.; Yang, S.; Li, T. Longitudinal and Lateral Control Strategies for Automatic Lane Change to Avoid Collision in Vehicle High-Speed Driving. Sensors 2023, 23, 5301. https://doi.org/10.3390/s23115301
Zhang S, Liu X, Deng G, Ou J, Yang E, Yang S, Li T. Longitudinal and Lateral Control Strategies for Automatic Lane Change to Avoid Collision in Vehicle High-Speed Driving. Sensors. 2023; 23(11):5301. https://doi.org/10.3390/s23115301
Chicago/Turabian StyleZhang, Senlin, Xinyong Liu, Guohong Deng, Jian Ou, Echuan Yang, Shusong Yang, and Tao Li. 2023. "Longitudinal and Lateral Control Strategies for Automatic Lane Change to Avoid Collision in Vehicle High-Speed Driving" Sensors 23, no. 11: 5301. https://doi.org/10.3390/s23115301
APA StyleZhang, S., Liu, X., Deng, G., Ou, J., Yang, E., Yang, S., & Li, T. (2023). Longitudinal and Lateral Control Strategies for Automatic Lane Change to Avoid Collision in Vehicle High-Speed Driving. Sensors, 23(11), 5301. https://doi.org/10.3390/s23115301