Modelling Polarization Effects in a CdZnTe Sensor at Low Bias
Abstract
1. Introduction
2. Experiment
3. Simulation of the Detector Performance at Low Bias
- The position of the drifting charge excited at the cathode is calculated by integrating the following kinetic equation:
- Normalized charge excited at the cathode and collected in time , considering the attenuation of the collected charge due to the RC time is calculated by integrating the following equation:The RC time is usually much longer than the transit time, and the first term on the right-hand side of Equation (4) may be neglected.
- Utilizing the linearity of Equation (4), we may conveniently generalize to the case of the charge collection of the normalized charge excited in the detector’s interior that may be expressed as follows:is the drift time representing the drift delay of the charge excited at the cathode to the depth in the detector where X-ray photon absorption has occurred. is linked to by Equation (3). The scaling of the drift of the charge through the detector by the drift time appeared to be useful in the calculations. This achievement enables us to significantly simplify the enumeration when the calculation of the collected charge following the excitation wherever in the bulk may be derived from the collected charge excited near the cathode without the additional solution of differential Equation (4).
- We simulate the processing of the collected charge by the electronic circuit. This circuit is characterized by the threshold energy at which the charge sampling starts, and the sampling time , defining the time window of the charge collection. The process is simulated in two steps. At first, the collected charge expressed as is monitored, waiting for the time at which it exceeds the energy threshold. Subsequently, the collected charge is evaluated.
- Having , we may start with the construction of the spectra. The normalized spectrum , indexed by a channel number and excited with a monochromatic X-ray photon with energy , is obtained by the sum of the contributions to the spectrum excited by the photon absorbed in a specific depth of the detector. We proceed with the following loop inwhere the channel number is defined by the collected chargewhere lower brackets represent the floor function that returns the integer part to yield . The index scales the drift time through the detector thickness, and defines the width of one channel and . In real calculations, to obtain smooth curves, we divide the energy axis into many more channels than used in the experiments, i.e., is sufficiently small. The channel is assigned to the apparent photon energywhich can be simplified by defining the channel energy width . This option is further used in calculations, allowing us to join photoexcited charge with energy units.E = ch ΔQ EX/Q0 = ch ΔEX.
- The last step of the treatment is the construction of the full X-ray spectrum . It is calculated by integrating the contributions of photons at a specific energy weighted with the corresponding radiation intensity. The final formula reads as follows:where and are interconnected by Equation (8).
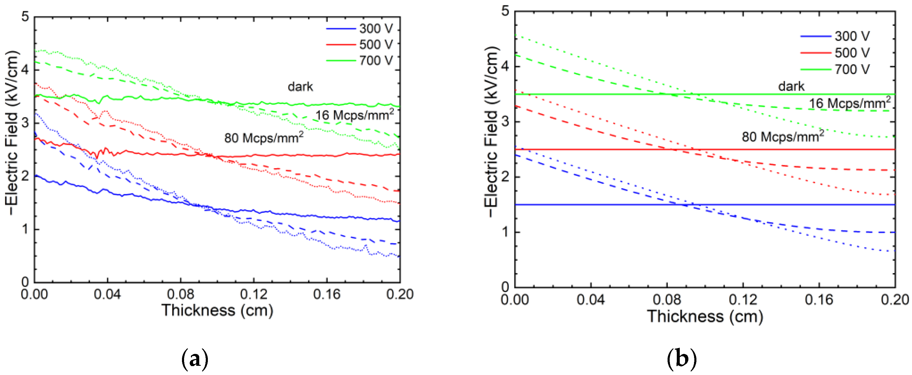
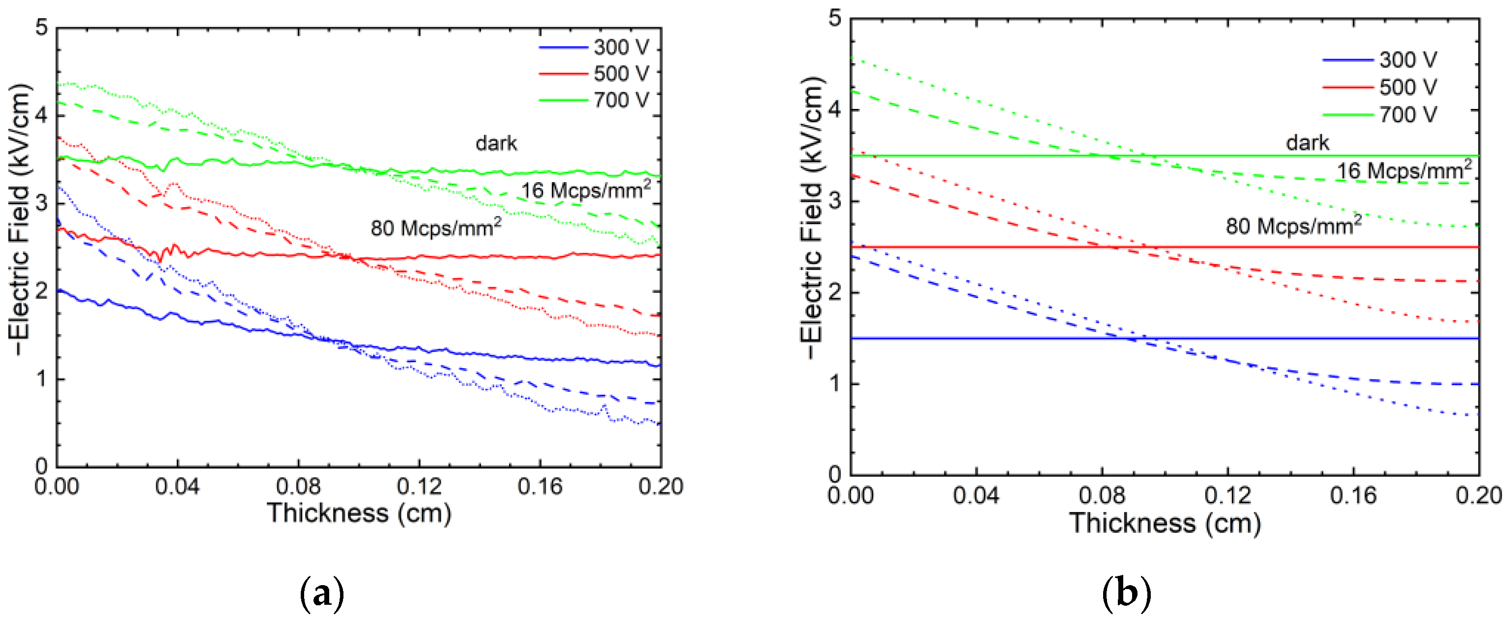
4. Results and Discussion
Discussion
5. Conclusions
Author Contributions
Funding
Acknowledgments
Conflicts of Interest
References
- Hsieh, S. Photon Counting Computed Tomography: Clinical Applications, Image Reconstruction and Material Discrimination, 1st ed.; Hsieh, S., Iniewski, K., Eds.; Springer International Publishing: Cham, Switzerland, 2023; ISBN 978-3031260612. [Google Scholar]
- Scheiber, C. CdTe and CdZnTe Detectors in Nuclear Medicine. Nucl. Instrum. Methods Phys. Res. A 2000, 448, 513–524. [Google Scholar] [CrossRef]
- Tabary, J.; Gentet, M.-C.; Monnet, O.; Paulus, C.; Montémont, G. Combining Spatially and Energy-Resolved CdZnTe Detectors with Multiplexed Collimations to Improve Performance of X-ray Diffraction Systems for Baggage Scanning. In Proceedings of the Anomaly Detection and Imaging with X-rays (ADIX) IV, Baltimore, MD, USA, 15–16 April 2019; Ashok, A., Gehm, M.E., Greenberg, J.A., Eds.; SPIE: Bellingham, WA, USA, 2019. [Google Scholar]
- Richtsmeier, D.; Guliyev, E.; Iniewski, K.; Bazalova-Carter, M. Contaminant Detection in Non-Destructive Testing Using a CZT Photon-Counting Detector. J. Instrum. 2021, 16, P01011. [Google Scholar] [CrossRef]
- Taguchi, K.; Blevis, I.; Iniewski, K. Spectral, Photon Counting Computed Tomography: Technology and Applications; Taguchi, K., Blevis, I., Iniewski, K., Eds.; CRC Press: London, UK, 2022; ISBN 978-0367490119. [Google Scholar]
- Prokesch, M. CdZnTe for Gamma and X-ray Applications. In Solid-State Radiation Detectors: Technology and Applications; Awadalla, S., Ed.; CRC Press: London, UK, 2019; ISBN 978-0367377779. [Google Scholar]
- Prokesch, M.; Bale, D.S.; Szeles, C. Fast High-Flux Response of CdZnTe X-ray Detectors by Optical Manipulation of Deep Level Defect Occupations. IEEE Trans. Nucl. Sci. 2010, 57, 2397–2399. [Google Scholar] [CrossRef]
- Musiienko, A.; Grill, R.; Pekárek, J.; Belas, E.; Praus, P.; Pipek, J.; Dědič, V.; Elhadidy, H. Characterization of Polarizing Semiconductor Radiation Detectors by Laser-Induced Transient Currents. Appl. Phys. Lett. 2017, 111, 082103. [Google Scholar] [CrossRef]
- Betušiak, M.; Belas, E.; Grill, R.; Praus, P.; Prekas, G. Fast and Slow Polarization in CdZnTe Detectors with Schottky Contact. In Proceedings of the IEEE NSS MICS, Manchester, UK, 26 October–2 November 2019. [Google Scholar]
- Iniewski, K. 4-Side Buttable CZT Detector Modules for Spectral CT. In Proceedings of the 4th Workshop on Medical Applications of Spectroscopic X-ray Detectors, CERN, Switzerland, 17 May 2017. [Google Scholar]
- Turturici, A.A.; Abbene, L.; Gerardi, G.; Benassi, G.; Calestani, D.; Zambelli, N.; Raso, G.; Zappettini, A.; Principato, F. Charge Carrier Transport Mechanisms in CdZnTe Detectors Grown by the Vertical Bridgman Technique. In Proceedings of the 2015 IEEE Nuclear Science Symposium and Medical Imaging Conference (NSS/MIC), San Diego, CA, USA, 31 October–7 November 2015; IEEE: Piscataway, NJ, USA, 2015. [Google Scholar]
- Vasylchenko, I.; Grill, R.; Betušiak, M.; Belas, E.; Praus, P.; Moravec, P.; Höschl, P. In and Al Schottky Contacts Comparison on P-Type Chlorine-Doped CdTe. Sensors 2021, 21, 2783. [Google Scholar] [CrossRef]
- McCoy, J.J.; Kakkireni, S.; Gilvey, Z.H.; Swain, S.K.; Bolotnikov, A.E.; Lynn, K.G. Overcoming Mobility Lifetime Product Limitations in Vertical Bridgman Production of Cadmium Zinc Telluride Detectors. J. Electron. Mater. 2019, 48, 4226–4234. [Google Scholar] [CrossRef]
- Pipek, J.; Betušiak, M.; Belas, E.; Grill, R.; Praus, P.; Musiienko, A.; Pekarek, J.; Roy, U.N.; James, R.B. Charge Transport and Space-Charge Formation in Cd1−xZnxTe1−ySey Radiation Detectors. Phys. Rev. Appl. 2021, 15, 054058. [Google Scholar] [CrossRef]
- Zambon, P. Dead Time Model for X-ray Photon Counting Detectors with Retrigger Capability. Nucl. Inst. Nucl. Inst. Methods Phys. Res. 2021, 994, 165087. [Google Scholar] [CrossRef]
- Suzuki, K.; Mishima, Y.; Masuda, T.; Seto, S. Simulation of the Transient Current of Radiation Detector Materials Using the Constrained Profile Interpolation Method. Nucl. Instrum. Methods Phys. Res. A 2020, 971, 164128. [Google Scholar] [CrossRef]
- Kasap, S.; Ramaswami, K.O.; Kabir, M.Z.; Johanson, R. Corrections to the Hecht Collection Efficiency in Photoconductive Detectors under Large Signals: Non-Uniform Electric Field Due to Drifting and Trapped Unipolar Carriers. J. Phys. D Appl. Phys. 2019, 52, 135104. [Google Scholar] [CrossRef]
- Bettelli, M.; Amadè, N.S.; Calestani, D.; Garavelli, B.; Pozzi, P.; Macera, D.; Zanotti, L.; Gonano, C.A.; Veale, M.C.; Zappettini, A. A First Principle Method to Simulate the Spectral Response of CdZnTe-Based X- and Gamma-Ray Detectors. Nucl. Instrum. Methods Phys. Res. A 2020, 960, 163663. [Google Scholar] [CrossRef]
- Vasylchenko, I.; Grill, R.; Belas, E.; Praus, P.; Musiienko, A. Charge Sharing in (CdZn)Te Pixel Detector Characterized by Laser-Induced Transient Currents. Sensors 2019, 20, 85. [Google Scholar] [CrossRef]
- Kim, Y.; Lee, T.; Lee, W. Radiation Measurement and Imaging Using 3D Position Sensitive Pixelated CZT Detector. Nucl. Eng. Technol. 2019, 51, 1417–1427. [Google Scholar] [CrossRef]
- Buttacavoli, A.; Principato, F.; Gerardi, G.; Cascio, D.; Raso, G.; Bettelli, M.; Zappettini, A.; Seller, P.; Veale, M.C.; Abbene, L. Incomplete Charge Collection at Inter-Pixel Gap in Low- and High-Flux Cadmium Zinc Telluride Pixel Detectors. Sensors 2022, 22, 1441. [Google Scholar] [CrossRef]
- Baussens, O.; Ponchut, C.; Ruat, M.; Bettelli, M.; Zanettini, S.; Zappettini, A. Characterization of High-Flux CdZnTe with Optimized Electrodes for 4th Generation Synchrotrons. In Proceedings of the 23rd International Workshop on Radiation Imaging Detectors, Riva del Garda, Italy, 26–30 June 2022. [Google Scholar]
- Iniewski, K.; Veale, M.; Bazalova-Carter, M. High-Flux CZT for New Frontiers in Computed Tomography (CT), Non-Destructive Testing (NDT) and High-Energy Physics. In Proceedings of the IEEE Transactions on Nuclear Science, Manchester, UK, 26 October–2 November 2019. [Google Scholar]
- Dědič, V.; Franc, J.; Rejhon, M.; Grill, R.; Zázvorka, J.; Sellin, P.J. De-Polarization of a CdZnTe Radiation Detector by Pulsed Infrared Light. Appl. Phys. Lett. 2015, 107, 032105. [Google Scholar] [CrossRef]
- Franc, J.; Dědič, V.; Rejhon, M.; Zázvorka, J.; Praus, P.; Touš, J.; Sellin, P.J. Control of Electric Field in CdZnTe Radiation Detectors by Above-Bandgap Light. J. Appl. Phys. 2015, 117, 165702. [Google Scholar] [CrossRef]
- Farella, I.; Montagna, G.; Mancini, A.M.; Cola, A. Study on Instability Phenomena in CdTe Diode-like Detectors. IEEE Trans. Nucl. Sci. 2009, 56, 1736–1742. [Google Scholar] [CrossRef]
- Iniewski, K. Performance Characteristics of 250+ Mcps/Mm2 CZT Detector Module for Spectral Computed Tomography. In Proceedings of the 5th Workshop on Medical Applications of Spectroscopic X-ray Detectors CERN, Villigen, Switzerland, 13–17 May 2019. [Google Scholar]
- Hubbell, J.H.; Seltzer, S.M. Tables of X-ray Mass Attenuation Coefficients and Mass Energy-Absorption Coefficients 1 keV to 20 MeV for Elements Z = 1 to 92 and 48 Additional Substances of Dosimetry Interest; NIST IR 5632; National Institute of Standards and Technology: Gaithersburg, MD, USA, 1995. [Google Scholar] [CrossRef]
- Sordo, S.D.; Abbene, L.; Caroli, E.; Mancini, A.M.; Zappettini, A.; Ubertini, P. Progress in the Development of CdTe and CdZnTe Semiconductor Radiation Detectors for Astrophysical and Medical Applications. Sensors 2009, 9, 3491–3526. [Google Scholar] [CrossRef]
- Riegler, W.; Aglieri Rinella, G. Point Charge Potential and Weighting Field of a Pixel or Pad in a Plane Condenser. Nucl. Instrum. Methods Phys. Res. A 2014, 767, 267–270. [Google Scholar] [CrossRef]
- Grill, R.; Belas, E.; Franc, J.; Bugar, M.; Uxa, Š.; Moravec, P.; Hoschl, P. Polarization Study of Defect Structure of CdTe Radiation Detectors. IEEE Trans. Nucl. Sci. 2011, 58, 3172–3181. [Google Scholar] [CrossRef]
- Suzuki, K.; Seto, S.; Sawada, T.; Imai, K. Carrier Transport Properties of HPB CdZnTe and THM CdTe:Cl. In Proceedings of the 2001 IEEE Nuclear Science Symposium Conference Record (Cat. No.01CH37310), San Diego, CA, USA, 4–10 November 2001; IEEE: Piscataway, NJ, USA, 2002. [Google Scholar]
- Ridzonova, K.; Belas, E.; Grill, R.; Pekarek, J.; Praus, P. Space-Charge-Limited Photocurrents and Transient Currents in (Cd, Zn)Te Radiation Detectors. Phys. Rev. Appl. 2020, 13, 064054. [Google Scholar] [CrossRef]














Disclaimer/Publisher’s Note: The statements, opinions and data contained in all publications are solely those of the individual author(s) and contributor(s) and not of MDPI and/or the editor(s). MDPI and/or the editor(s) disclaim responsibility for any injury to people or property resulting from any ideas, methods, instructions or products referred to in the content. |
© 2023 by the authors. Licensee MDPI, Basel, Switzerland. This article is an open access article distributed under the terms and conditions of the Creative Commons Attribution (CC BY) license (https://creativecommons.org/licenses/by/4.0/).
Share and Cite
Pipek, J.; Grill, R.; Betušiak, M.; Iniewski, K. Modelling Polarization Effects in a CdZnTe Sensor at Low Bias. Sensors 2023, 23, 5681. https://doi.org/10.3390/s23125681
Pipek J, Grill R, Betušiak M, Iniewski K. Modelling Polarization Effects in a CdZnTe Sensor at Low Bias. Sensors. 2023; 23(12):5681. https://doi.org/10.3390/s23125681
Chicago/Turabian StylePipek, Jindřich, Roman Grill, Marián Betušiak, and Kris Iniewski. 2023. "Modelling Polarization Effects in a CdZnTe Sensor at Low Bias" Sensors 23, no. 12: 5681. https://doi.org/10.3390/s23125681
APA StylePipek, J., Grill, R., Betušiak, M., & Iniewski, K. (2023). Modelling Polarization Effects in a CdZnTe Sensor at Low Bias. Sensors, 23(12), 5681. https://doi.org/10.3390/s23125681

