Improved Skip-Gram Based on Graph Structure Information
Abstract
1. Introduction
- We use our insights in combination with Skip-gram to propose Graph Skip-gram for graph embedding, which can capture the local and global information of the graph.
- We propose a novel node feature fusion algorithm: selectively fuse the two sets of feature representations generated by the graph embedding.
- Through case studies, we explore the principle of graph embedding and then visualize, analyze, and evaluate our proposed algorithm.
- We evaluate our model on multi-label classification tasks and link prediction tasks with multiple methods and datasets. Experimental results demonstrate that Graph Skip-gram learns the structural properties of the network, and our proposed feature fusion algorithm can effectively improve the quality of node embedding.
2. Related Work
2.1. Graph Embedding and Sensor Networks
2.2. Graph Embedding Based on Skip-Gram Model
2.3. Graph Embedding with Matrix Factorization
2.4. Theoretical Analysis—Interpretability
2.5. Deep Learning
2.6. Feature Fusion in Sensor Networks
2.7. Work in Other Directions
3. Preliminaries
3.1. Notations
3.2. Skip-Gram Model
4. The Proposed Methed
4.1. Graph Skip-Gram Model
- Conditional independence. We factorize the likelihood by assuming that the likelihood of sampling to a neighborhood node is independent of sampling to any other neighborhood node, given the feature representation of the source:
- Symmetry in feature space. In the feature space, a source and neighborhood node have a symmetric influence on each other. Therefore, we model the conditional likelihood of each source-adjacent node pair as the dot product of the softmax unit and the graph structure information function:The dot product of node features parametrizes the softmax unit. We define as the graph structure information function representing the closeness between nodes n, u:(node degree matrix) and (distance matrix between nodes) can both be obtained on the graph. For example, solve the matrix by counting the concatenated edges of the nodes, and solve the matrix using the Dijkstra algorithm. Through the distance information between nodes and the difference in nodes’ degree, the Graph Skip-gram can capture the local and global information of the graph.
4.2. Exploring Two Sets of Node Vector Representations
| Algorithm 1 Embedding Fusion . |
| Input: input embedding f, output embedding , Fioepn ratio p; |
| Output: optimal input embedding |
|
4.3. Complexity Analysis
5. Application of the Method
5.1. Understanding the Node Embedding Process Intuitively
| Algorithm 2 Learn Node Feature Repreaution . |
| Input: graph , window size m, embedding size d, walk length t, walks per vertex r, |
| negative sampling k; |
| Output: Output f; |
|
| Algorithm 3 UpdateFeatures (). |
| Input: output embedding , input embedding , : PosSam(1), NegSam(0); |
| Output: Output f; |
|
5.2. Graph Skip-Gram and Fioepn

6. Experiments
6.1. Experimental Setup
6.1.1. Environment
6.1.2. Datasets
- BlogCatalog [59]: this dataset is a social network that consists of the blogger and their social connections (e.g., friends).
- Wikipedia [60]: this is a co-occurrence network of words.
- PPI [55]: this is a subgraph of the protein–protein interaction network for Homo Sapiens.
- Flickr [61]: this is a social network where nodes represent users and edges correspond to user friendships.
6.1.3. Method
- TADW [30]: a matrix factorization-based method that uses semantic information to improve the quality of node embedding.
- GCN [37]: a convolutional neural network that applies directly on graphs and uses their structural information.
- GAT [38]: to alleviate the two drawbacks of GCNs, proposing to incorporate attention mechanisms into spatial GCNs to provide differentiated weights for neighborhoods.
- GraphSAGE [48]: it proposes a generalized induction framework that uses node feature information to generate node embeddings on the graph.
- ACMP [62]: it introduces the Allen–Cahn message passing mechanism in GNN, a deep GNN model that avoids the oversmoothing problem of GNN.
- DeepWalk [18]: it is based on Skip-gram and uses random walks to generate node pairs for training node feature representation.
- Node2vec [19]: based on DeepWalk, it proposes a biased random walks strategy that combines the search strategies of BFS and DFS properties.
- Walklets [20]: it optimizes DeepWalk’s sampling strategy on large graphs, capturing multiple hierarchical relationships of nodes in the network.
6.2. Multi-Label Classification
6.2.1. Performance Comparison between Graph Skip-Gram and Skip-Gram
6.2.2. Graph Skip-Gram versus Multiple Methods
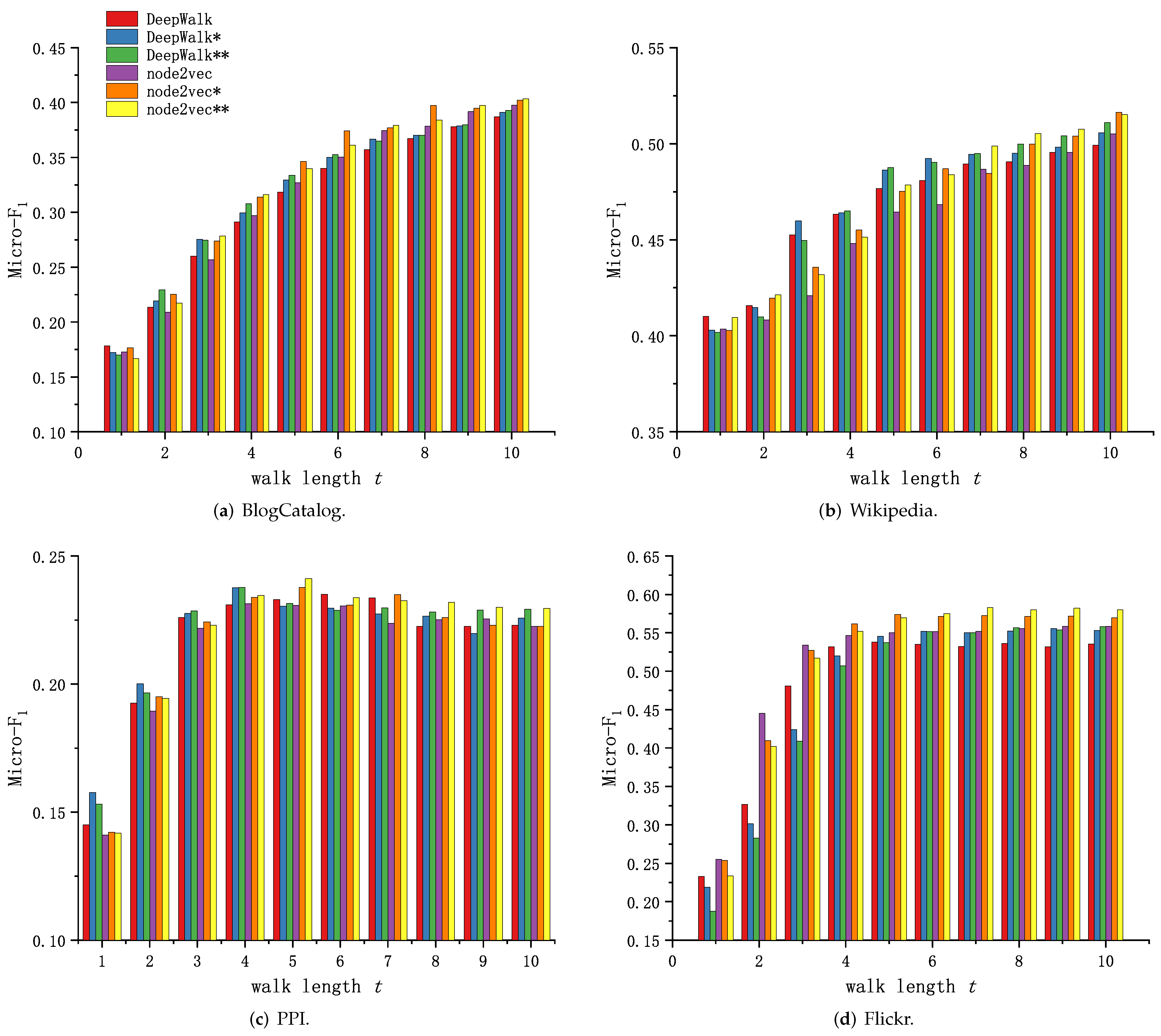
6.3. Parameter Sensitivity
6.4. Link Prediction
6.5. Experimental Results
7. Conclusions
Author Contributions
Funding
Institutional Review Board Statement
Informed Consent Statement
Data Availability Statement
Conflicts of Interest
References
- Mikolov, T.; Chen, K.; Corrado, G.; Dean, J. Efficient estimation of word representations in vector space. arXiv 2013, arXiv:1301.3781. [Google Scholar]
- Mikolov, T.; Sutskever, I.; Chen, K.; Corrado, G.S.; Dean, J. Distributed representations of words and phrases and their compositionality. Adv. Neural Inf. Process. Syst. 2013, 26, 3111–3119. [Google Scholar]
- Dong, G.; Tang, M.; Wang, Z.; Gao, J.; Guo, S.; Cai, L.; Gutierrez, R.; Campbel, B.; Barnes, L.E.; Boukhechba, M. Graph neural networks in IoT: A survey. ACM Trans. Sens. Netw. 2023, 19, 1–50. [Google Scholar] [CrossRef]
- Zhou, J.; Liu, L.; Wei, W.; Fan, J. Network representation learning: From preprocessing, feature extraction to node embedding. ACM Comput. Surv. (CSUR) 2022, 55, 1–35. [Google Scholar] [CrossRef]
- Jiang, W.; Luo, J. Graph neural network for traffic forecasting: A survey. Expert Syst. Appl. 2022, 207, 117921. [Google Scholar] [CrossRef]
- Goldberg, Y.; Levy, O. word2vec Explained: Deriving Mikolov et al.’s negative-sampling word-embedding method. arXiv 2014, arXiv:1402.3722. [Google Scholar]
- Qiu, J.; Dong, Y.; Ma, H.; Li, J.; Wang, K.; Tang, J. Network embedding as matrix factorization: Unifying deepwalk, line, pte, and node2vec. In Proceedings of the Eleventh ACM International Conference on Web Search and Data Mining, Los Angeles, CA, USA, 9 February 2018; pp. 459–467. [Google Scholar]
- Yang, Z.; Ding, M.; Zhou, C.; Yang, H.; Zhou, J.; Tang, J. Understanding negative sampling in graph representation learning. In Proceedings of the 26th ACM SIGKDD International Conference on Knowledge Discovery & Data Mining, Virtually, 23–27 August 2020; pp. 1666–1676. [Google Scholar]
- Futschek, G. Algorithmic thinking: The key for understanding computer science. In Proceedings of the International Conference on Informatics in Secondary Schools-Evolution and Perspectives, Vilnius, Lithuania, 7–11 November 2006; Springer: Berlin/Heidelberg, Germany; pp. 159–168. [Google Scholar]
- Press, O.; Wolf, L. Using the Output Embedding to Improve Language Models. EACL (2). arXiv 2017, arXiv:1608.05859. [Google Scholar]
- Mitra, B.; Nalisnick, E.; Craswell, N.; Caruana, R. A dual embedding space model for document ranking. arXiv 2016, arXiv:1602.01137. [Google Scholar]
- Wang, C.; Chen, J.; Sun, Y.; Shen, X. A graph embedding method for wireless sensor networks localization. In Proceedings of the GLOBECOM 2009-2009 IEEE Global Telecommunications Conference, IEEE, Honolulu, HI, USA, 30 November–4 December 2009; pp. 1–6. [Google Scholar]
- Xu, H.; Sun, H.; Cheng, Y.; Liu, H. Wireless sensor networks localization based on graph embedding with polynomial mapping. Comput. Netw. 2016, 106, 151–160. [Google Scholar] [CrossRef]
- Luo, G.; Zhang, H.; Yuan, Q.; Li, J.; Wang, F.Y. ESTNet: Embedded spatial-temporal network for modeling traffic flow dynamics. IEEE Trans. Intell. Transp. Syst. 2022, 23, 19201–19212. [Google Scholar] [CrossRef]
- Deng, A.; Hooi, B. Graph neural network-based anomaly detection in multivariate time series. In Proceedings of the AAAI Conference on Artificial Intelligence, Vancouver, BC, Canada, 2–9 February 2021; Volume 35, pp. 4027–4035. [Google Scholar]
- Zhang, D.; Yao, L.; Chen, K.; Wang, S.; Haghighi, P.D.; Sullivan, C. A graph-based hierarchical attention model for movement intention detection from EEG signals. IEEE Trans. Neural Syst. Rehabil. Eng. 2019, 27, 2247–2253. [Google Scholar] [CrossRef] [PubMed]
- Zhang, J.; Liu, Y.; Gui, Y.; Ruan, C. An Improved Model Combining Outlook Attention and Graph Embedding for Traffic Forecasting. Symmetry 2023, 15, 312. [Google Scholar] [CrossRef]
- Perozzi, B.; Al-Rfou, R.; Skiena, S. Deepwalk: Online learning of social representations. In Proceedings of the 20th ACM SIGKDD International Conference on Knowledge Discovery and Data Mining, New York, NY, USA, 24–27 August 2014; pp. 701–710. [Google Scholar]
- Grover, A.; Leskovec, J. node2vec: Scalable feature learning for networks. In Proceedings of the 22nd ACM SIGKDD International Conference on Knowledge Discovery and Data Mining, San Francisco, CA, USA, 13–17 August 2016; pp. 855–864. [Google Scholar]
- Perozzi, B.; Kulkarni, V.; Chen, H.; Skiena, S. Do not walk, skip! online learning of multi-scale network embeddings. In Proceedings of the 2017 IEEE/ACM International Conference on Advances in Social Networks Analysis and Mining, Sydney, Australia, 31 July–3 August 2017; pp. 258–265. [Google Scholar]
- Feng, R.; Yang, Y.; Hu, W.; Wu, F.; Zhang, Y. Representation Learning for Scale-Free Networks. In Proceedings of the Thirty-Second AAAI Conference on Artificial Intelligence, New Orleans, LA, USA, 2–7 February 2018. [Google Scholar]
- Ribeiro, L.F.; Saverese, P.H.; Figueiredo, D.R. struc2vec: Learning node representations from structural identity. In Proceedings of the 23rd ACM SIGKDD International Conference on Knowledge Discovery and Data Mining, Halifax, NS, Canada, 13–17 August 2017; pp. 385–394. [Google Scholar]
- Tang, J.; Qu, M.; Wang, M.; Zhang, M.; Yan, J.; Mei, Q. Line: Large-scale information network embedding. In Proceedings of the 24th International Conference on World Wide Web, Florence, Italy, 18–22 May 2015; pp. 1067–1077. [Google Scholar]
- Epasto, A.; Perozzi, B. Is a single embedding enough? learning node representations that capture multiple social contexts. In Proceedings of the World Wide Web Conference, San Francisco, CA, USA, 13–17 May 2019; pp. 394–404. [Google Scholar]
- Guo, J.; Xu, L.; Liu, J. SPINE: Structural Identity Preserved Inductive Network Embedding. In Proceedings of the 28th International Joint Conference on Artificial Intelligence, Macao, China, 10–16 August 2019; pp. 2399–2405. [Google Scholar]
- Wang, C.; Wang, C.; Wang, Z.; Ye, X.; Yu, P.S. Edge2vec: Edge-based social network embedding. ACM Trans. Knowl. Discov. Data (TKDD) 2020, 14, 1–24. [Google Scholar] [CrossRef]
- Du, X.; Yan, J.; Zha, H. Joint Link Prediction and Network Alignment via Cross-graph Embedding. In Proceedings of the 28th International Joint Conference on Artificial Intelligence, Macao, China, 10–16 August 2019; pp. 2251–2257. [Google Scholar]
- Qiu, J.; Dong, Y.; Ma, H.; Li, J.; Wang, C.; Wang, K.; Tang, J. Netsmf: Large-scale network embedding as sparse matrix factorization. In Proceedings of the World Wide Web Conference, San Francisco, CA, USA, 13–17 May 2019; pp. 1509–1520. [Google Scholar]
- Cao, S.; Lu, W.; Xu, Q. Grarep: Learning graph representations with global structural information. In Proceedings of the 24th ACM International on Conference on Information and Knowledge Management, Melbourne, Australia, 19–23 October 2015; pp. 891–900. [Google Scholar]
- Yang, C.; Liu, Z.; Zhao, D.; Sun, M.; Chang, E. Network representation learning with rich text information. In Proceedings of the Twenty-Fourth International Joint Conference on Artificial Intelligence, Buenos Aires, Argentina, 25–31 July 2015. [Google Scholar]
- Abu-El-Haija, S.; Mostafa, H.; Nassar, M.; Crespi, V.; Ver Steeg, G.; Galstyan, A. Implicit SVD for Graph Representation Learning. Adv. Neural Inf. Process. Syst. 2021, 34, 8419–8431. [Google Scholar]
- Berahmand, K.; Mohammadi, M.; Saberi-Movahed, F.; Li, Y.; Xu, Y. Graph regularized nonnegative matrix factorization for community detection in attributed networks. IEEE Trans. Netw. Sci. Eng. 2022, 33, 1548–1560. [Google Scholar] [CrossRef]
- Levy, O.; Goldberg, Y. Neural word embedding as implicit matrix factorization. Adv. Neural Inf. Process. Syst. 2014, 27, 2177–2185. [Google Scholar]
- Abu-El-Haija, S.; Perozzi, B.; Al-Rfou, R.; Alemi, A.A. Watch your step: Learning node embeddings via graph attention. Adv. Neural Inf. Process. Syst. 2018, 31, 9198–9208. [Google Scholar]
- Qu, M.; Tang, J.; Shang, J.; Ren, X.; Zhang, M.; Han, J. An attention-based collaboration framework for multi-view network representation learning. In Proceedings of the 2017 ACM on Conference on Information and Knowledge Management, Singapore, 6–10 November 2017; pp. 1767–1776. [Google Scholar]
- Tang, J.; Qu, M.; Mei, Q. Pte: Predictive text embedding through large-scale heterogeneous text networks. In Proceedings of the 21th ACM SIGKDD International Conference on Knowledge Discovery and Data Mining, Sydney, NSW, Australia, 10–13 August 2015; pp. 1165–1174. [Google Scholar]
- Kipf, T.N.; Welling, M. Semi-supervised classification with graph convolutional networks. arXiv 2016, arXiv:1609.02907. [Google Scholar]
- Veličković, P.; Cucurull, G.; Casanova, A.; Romero, A.; Lio, P.; Bengio, Y. Graph attention networks. arXiv 2017, arXiv:1710.10903. [Google Scholar]
- Wu, F.; Souza, A.; Zhang, T.; Fifty, C.; Yu, T.; Weinberger, K. Simplifying graph convolutional networks. In Proceedings of the International Conference on Machine Learning, PMLR, Long Beach, CA, USA, 9–15 June 2019; pp. 6861–6871. [Google Scholar]
- Scarselli, F.; Gori, M.; Tsoi, A.C.; Hagenbuchner, M.; Monfardini, G. The graph neural network model. IEEE Trans. Neural Netw. 2008, 20, 61–80. [Google Scholar] [CrossRef]
- Xu, B.; Shen, H.; Cao, Q.; Cen, K.; Cheng, X. Graph convolutional networks using heat kernel for semi-supervised learning. arXiv 2020, arXiv:2007.16002. [Google Scholar]
- Deng, Y.; Wu, Z.; Chu, C.H.; Zhang, Q.; Hsu, D.F. Sensor feature selection and combination for stress identification using combinatorial fusion. Int. J. Adv. Robot. Syst. 2013, 10, 306. [Google Scholar] [CrossRef]
- Liu, S.; Sun, M.; Huang, X.; Wang, W.; Wang, F. Feature fusion using Extended Jaccard Graph and word embedding for robot. Assem. Autom. 2017, 37, 278–284. [Google Scholar] [CrossRef]
- Lin, Y.R.; Lee, C.H.; Lu, M.C. Robust tool wear monitoring system development by sensors and feature fusion. Asian J. Control. 2022, 24, 1005–1021. [Google Scholar] [CrossRef]
- Deng, C.; Lv, K.; Shi, D.; Yang, B.; Yu, S.; He, Z.; Yan, J. Enhancing the discrimination ability of a gas sensor array based on a novel feature selection and fusion framework. Sensors 2018, 18, 1909. [Google Scholar] [CrossRef] [PubMed]
- Gravina, R.; Alinia, P.; Ghasemzadeh, H.; Fortino, G. Multi-sensor fusion in body sensor networks: State-of-the-art and research challenges. Inf. Fusion 2017, 35, 68–80. [Google Scholar] [CrossRef]
- Cavallari, S.; Zheng, V.W.; Cai, H.; Chang, K.C.C.; Cambria, E. Learning community embedding with community detection and node embedding on graphs. In Proceedings of the 2017 ACM on Conference on Information and Knowledge Management, Singapore, 6–10 November 2017; pp. 377–386. [Google Scholar]
- Hamilton, W.; Ying, Z.; Leskovec, J. Inductive representation learning on large graphs. Adv. Neural Inf. Process. Syst. 2017, 30, 1025–1035. [Google Scholar]
- Nasiri, E.; Berahmand, K.; Samei, Z.; Li, Y. Impact of centrality measures on the common neighbors in link prediction for multiplex networks. Big Data 2022, 10, 138–150. [Google Scholar] [CrossRef]
- Chen, H.; Wang, T.; Chen, T.; Deng, W. Hyperspectral Image Classification Based on Fusing S3-PCA, 2D-SSA and Random Patch Network. Remote Sens. 2023, 15, 3402. [Google Scholar] [CrossRef]
- Chen, H.; Chen, Y.; Wang, Q.; Chen, T.; Zhao, H. A New SCAE-MT Classification Model for Hyperspectral Remote Sensing Images. Sensors 2022, 22, 8881. [Google Scholar] [CrossRef]
- Tian, F.; Gao, B.; Cui, Q.; Chen, E.; Liu, T.Y. Learning deep representations for graph clustering. In Proceedings of the AAAI Conference on Artificial Intelligence, Quebec City, QC, Canada, 27–31 July 2014; Volume 28. [Google Scholar]
- Yang, L.; Cao, X.; He, D.; Wang, C.; Wang, X.; Zhang, W. Modularity based community detection with deep learning. In Proceedings of the Twenty-Fifth International Joint Conference on Artificial Intelligence, IJCAI, New York, NY, USA, 9–15 July 2016; Volume 16, pp. 2252–2258. [Google Scholar]
- Wang, D.; Cui, P.; Zhu, W. Structural deep network embedding. In Proceedings of the 22nd ACM SIGKDD International Conference on Knowledge Discovery and Data Mining, San Francisco, CA, USA, 13–17 August 2016; pp. 1225–1234. [Google Scholar]
- Breitkreutz, B.J.; Stark, C.; Reguly, T.; Boucher, L.; Breitkreutz, A.; Livstone, M.; Oughtred, R.; Lackner, D.H.; Bähler, J.; Wood, V.; et al. The BioGRID interaction database: 2008 update. Nucleic Acids Res. 2007, 36, D637–D640. [Google Scholar] [CrossRef] [PubMed]
- Tsitsulin, A.; Mottin, D.; Karras, P.; Müller, E. Verse: Versatile graph embeddings from similarity measures. In Proceedings of the 2018 World Wide Web Conference, Lyon, France, 23–27 April 2018; pp. 539–548. [Google Scholar]
- Brandes, U.; Delling, D.; Gaertler, M.; Gorke, R.; Hoefer, M.; Nikoloski, Z.; Wagner, D. On modularity clustering. IEEE Trans. Knowl. Data Eng. 2007, 20, 172–188. [Google Scholar] [CrossRef]
- Caliński, T.; Harabasz, J. A dendrite method for cluster analysis. Commun.-Stat.-Theory Methods 1974, 3, 1–27. [Google Scholar] [CrossRef]
- Zafarani, R.; Liu, H. Social computing data repository at ASU. 2009.
- Mahoney, M. Large Text Compression Benchmark. 2011. Available online: www.mattmahoney.net/dc/textdata (accessed on 3 March 2022).
- Huang, X.; Li, J.; Hu, X. Label informed attributed network embedding. In Proceedings of the Tenth ACM International Conference on Web Search and Data Mining, Cambridge, UK, 6–10 February 2017; pp. 731–739. [Google Scholar]
- Wang, Y.; Yi, K.; Liu, X.; Wang, Y.G.; Jin, S. ACMP: Allen-cahn message passing with attractive and repulsive forces for graph neural networks. In Proceedings of the Eleventh International Conference on Learning Representations, Virtual Event, 25–29 April 2022. [Google Scholar]








| Notation | Meaning |
|---|---|
| In Skip-gram | Notions in the Skip-gram model. |
| T | Number of training word sequences. |
| The ith training word sequence. | |
| The size of the training context. | |
| The “input” and “output” vector representation of word w. | |
| The number of words in the vocabulary. | |
| Negative sampling frequency. | |
| Noise distribution. | |
| In Graph Skip-gram | Notions in the Graph Skip-gram model. |
| The “input” and “output” vector representation of node u. | |
| The members of the graph. | |
| Network neighborhood of node u. | |
| Whether node u can reach node n. | |
| Hyperparameter. | |
| Node degree matrix. | |
| Distance matrix between nodes. | |
| Parameters adjusted according to P matrix. | |
| Weighted graph weight matrix | |
| Negative sampling frequency. | |
| Noise distribution. | |
| Abbreviation | |
| NLP | Natural language processing. |
| CH | Calinski–Harabasz. |
| WGSS | Within-group cluster sum of squares. |
| Fioepn | Fusing the input and output embeddings of part nodes. |
| Basic Model | CH | WGSS(1) | WGSS(2) | WGSS(3) | WGSS(4) |
|---|---|---|---|---|---|
| Skip-Gram | 45.116 | 1.652 | 3.699 | 0.073 | 1.999 |
| Graph Skip-Gram | 47.409 | 2.310 | 3.597 | 0.069 | 1.757 |
| Gain over Skip-Gram[%] | 5.082 | — | 2.758 | 5.48 | 12.10 |
| Embedding | CH | WGSS(1) | WGSS(2) | WGSS(3) | WGSS(4) |
| f (Input Embedding) | 45.116 | 1.652 | 3.699 | 0.073 | 1.999 |
| (Output Embedding) | 37.840 | 2.170 | 5.026 | 0.056 | 2.115 |
| (Fioepn) | 42.807 | 1.896 | 3.970 | 0.022 | 1.681 |
| Gain over f [%] | — | — | — | 69.863 | 18.917 |
| Gain over [%] | 13.126 | 12.627 | 21.011 | 60.714 | 20.520 |
| Dataset | BlogCatalog | Wikipedia | PPI | Flickr |
|---|---|---|---|---|
| #nodes | 10,312 | 4777 | 3890 | 7575 |
| #edges | 333,983 | 184,812 | 76,584 | 239,738 |
| #labels | 39 | 40 | 50 | 9 |
| Method | BlogCatalog | Wikipedia | |||||||||
|---|---|---|---|---|---|---|---|---|---|---|---|
| Training Rate | 0.1 | 0.3 | 0.5 | 0.7 | 0.9 | 0.1 | 0.3 | 0.5 | 0.7 | 0.9 | |
| TADW | 16.17 | 16.22 | 16.77 | 16.95 | 17.13 | 40.70 | 40.97 | 41.25 | 41.40 | 41.17 | |
| GCN | 21.68 | 22.85 | 23.31 | 23.54 | 23.61 | 41.15 | 41.48 | 41.67 | 41.72 | 41.90 | |
| GAT | 16.68 | 16.92 | 17.06 | 17.27 | 17.70 | 40.79 | 40.91 | 41.01 | 41.15 | 41.25 | |
| GraphSAGE | 22.54 | 23.56 | 23.82 | 23.94 | 40.98 | 41.38 | 41.43 | 41.60 | 41.90 | ||
| ACMP | 19.13 | 21.18 | 22.17 | 22.68 | 22.73 | 41.11 | 41.49 | 41.54 | 41.72 | 41.98 | |
| DeepWalk | 34.44 | 36.72 | 37.76 | 38.22 | 38.71 | 44.85 | 47.61 | 48.70 | 49.28 | 49.92 | |
| DeepWalk* | 34.73 | 37.31 | 38.21 | 38.98 | 39.11 | 46.03 | 48.31 | 49.36 | 49.92 | 50.56 | |
| DeepWalk** | 34.62 | 37.01 | 38.27 | 38.77 | 39.27 | 45.9 | 48.65 | 49.71 | 50.37 | 51.10 | |
| node2vec | 35.18 | 37.86 | 38.82 | 39.45 | 39.78 | 45.54 | 48.10 | 49.12 | 49.53 | ||
| node2vec* | 35.39 | 37.98 | 39.1 | 39.93 | 40.23 | 46.37 | 49.20 | 50.31 | 51.20 | ||
| node2vec** | 35.22 | 37.84 | 39.11 | 39.62 | 40.34 | 46.64 | 49.31 | 50.26 | 50.58 | 51.51 | |
| Walklets | 36.90 | 39.38 | 40.12 | 40.48 | 42.48 | 47.13 | 49.09 | 50.22 | |||
| Walklets* | 37.29 | 39.32 | 40.39 | 40.94 | 43.58 | 47.92 | 49.59 | 50.65 | |||
| Walklets** | 37.22 | 39.49 | 40.49 | 40.89 | 42.13 | 43.11 | 47.76 | 49.16 | 50.24 | 51.13 | |
| Method | PPI | Flickr | |||||||||
| Training Rate | 0.1 | 0.3 | 0.5 | 0.7 | 0.9 | 0.1 | 0.3 | 0.5 | 0.7 | 0.9 | |
| TADW | 6.51 | 6.74 | 6.48 | 6.73 | 7.93 | 11.28 | 11.31 | 11.35 | 11.41 | 11.44 | |
| GCN | 23.38 | 27.29 | 28.28 | 29.10 | 29.48 | 40.10 | 40.84 | 41.30 | |||
| GAT | 7.03 | 7.88 | 9.61 | 10.89 | 12.05 | 17.29 | 26.19 | 29.21 | 30.51 | 32.60 | |
| GraphSAGE | 12.66 | 16.58 | 18.24 | 18.76 | 19.12 | 11.08 | 11.14 | 11.16 | 11.31 | 11.43 | |
| ACMP | 8.19 | 9.89 | 10.25 | 10.34 | 10.61 | 12.80 | 13.19 | 13.31 | 13.30 | 13.56 | |
| DeepWalk | 15.88 | 19.34 | 20.64 | 21.56 | 22.30 | 53.55 | 54.67 | 55.21 | 56.14 | ||
| DeepWalk* | 15.90 | 19.29 | 20.55 | 21.32 | 22.58 | 51.75 | 55.33 | 56.23 | 57.02 | 57.12 | |
| DeepWalk** | 16.29 | 19.42 | 20.75 | 21.52 | 22.92 | 55.80 | 57.15 | 57.42 | 57.52 | ||
| node2vec | 16.28 | 19.29 | 20.41 | 21.60 | 22.26 | 55.84 | 57.13 | 58.6 | 59.01 | ||
| node2vec* | 16.44 | 19.33 | 20.57 | 21.64 | 22.26 | 53.46 | 56.95 | 57.42 | 59.22 | 60.16 | |
| node2vec** | 16.05 | 19.43 | 20.55 | 21.44 | 22.95 | 58.00 | 58.58 | 60.10 | |||
| Walklets | 17.15 | 20.04 | 21.66 | 22.34 | 45.75 | 51.46 | 53.64 | 54.60 | 55.11 | ||
| Walklets* | 17.25 | 20.39 | 21.89 | 22.72 | 23.59 | 46.27 | 52.46 | 54.47 | 55.57 | 56.33 | |
| Walklets** | 17.20 | 20.20 | 21.81 | 22.96 | 45.91 | 52.29 | 54.55 | 56.13 | 56.65 | ||
| Operator | Result |
|---|---|
| Average | |
| Hadamard | |
| Weighted L1 | |
| Weighted L1 |
| Method | Wikipedia | PPI | Flickr | |||||||||
|---|---|---|---|---|---|---|---|---|---|---|---|---|
| Ave | Had | L1 | L2 | Ave | Had | L1 | L2 | Ave | Had | L1 | L2 | |
| TADW | 36.0 | 35.9 | 64.8 | 54.8 | 47.4 | 35.3 | 58.7 | 62.7 | 35.8 | 36.1 | 60.1 | 60.9 |
| GCN | 64.0 | 80.3 | 69.3 | 70.0 | 35.2 | 71.5 | 80.1 | 77.8 | 36.0 | 72.3 | 65.9 | 63.6 |
| GAT | 64.0 | 84.6 | 83.5 | 78.3 | 35.3 | 67.9 | 78.8 | 58.1 | 36.0 | 62.1 | 67.0 | 57.5 |
| GraphSAGE | 41.1 | 68.5 | 56.6 | 55.6 | 43.9 | 67.2 | 66.1 | 63.6 | 36.0 | 36.1 | 50.1 | 36.0 |
| ACMP | 36.1 | 70.4 | 70.5 | 64.0 | 64.2 | 64.0 | 52.1 | 51.6 | 64.0 | 85.5 | 78.6 | 78.0 |
| DeepWalk | 65.1 | 85.1 | 71.4 | 72.9 | 56.3 | 86.9 | 74.1 | 74.7 | 64.0 | 87.9 | 73.8 | 74.9 |
| DeepWalk* | 64.5 | 82.1 | 76.1 | 77.7 | 65.0 | 84.9 | 76.8 | 77.2 | 53.1 | 83.7 | 75.7 | 76.7 |
| DeepWalk** | 64.8 | 82.2 | 73.9 | 75.5 | 64.8 | 85.6 | 82.2 | 82.4 | 59.7 | 83.9 | 75.7 | 76.8 |
| node2vec | 64.4 | 87.0 | 75.0 | 76.7 | 51.4 | 85.7 | 72.6 | 72.7 | 64.0 | 87.3 | 73.1 | 74.1 |
| node2vec* | 64.5 | 81.5 | 78.1 | 79.7 | 61.1 | 85.9 | 74.1 | 74.8 | 64.8 | 82.7 | 75.5 | 76.5 |
| node2vec** | 64.8 | 81.8 | 77.5 | 78.9 | 62.0 | 85.4 | 81.2 | 81.7 | 63.6 | 82.7 | 75.6 | 76.5 |
| Walklets | 59.0 | 76.5 | 95.7 | 96.5 | 43.4 | 77.0 | 90.7 | 90.8 | 51.1 | 74.2 | 93.9 | 93.3 |
| Walklets* | 60.3 | 73.9 | 96.1 | 97.0 | 55.2 | 77.9 | 90.8 | 90.8 | 48.0 | 75.0 | 93.1 | 93.6 |
| Walklets** | 56.3 | 74.1 | 96.5 | 97.4 | 48.8 | 74.5 | 91.5 | 91.7 | 42.1 | 74.7 | 94.2 | 93.8 |
Disclaimer/Publisher’s Note: The statements, opinions and data contained in all publications are solely those of the individual author(s) and contributor(s) and not of MDPI and/or the editor(s). MDPI and/or the editor(s) disclaim responsibility for any injury to people or property resulting from any ideas, methods, instructions or products referred to in the content. |
© 2023 by the authors. Licensee MDPI, Basel, Switzerland. This article is an open access article distributed under the terms and conditions of the Creative Commons Attribution (CC BY) license (https://creativecommons.org/licenses/by/4.0/).
Share and Cite
Wang, X.; Zhao, H.; Chen, H. Improved Skip-Gram Based on Graph Structure Information. Sensors 2023, 23, 6527. https://doi.org/10.3390/s23146527
Wang X, Zhao H, Chen H. Improved Skip-Gram Based on Graph Structure Information. Sensors. 2023; 23(14):6527. https://doi.org/10.3390/s23146527
Chicago/Turabian StyleWang, Xiaojie, Haijun Zhao, and Huayue Chen. 2023. "Improved Skip-Gram Based on Graph Structure Information" Sensors 23, no. 14: 6527. https://doi.org/10.3390/s23146527
APA StyleWang, X., Zhao, H., & Chen, H. (2023). Improved Skip-Gram Based on Graph Structure Information. Sensors, 23(14), 6527. https://doi.org/10.3390/s23146527

