Numerical Analysis of the Mitigation Performance of a Buried PT-WIB on Environmental Vibration
Abstract
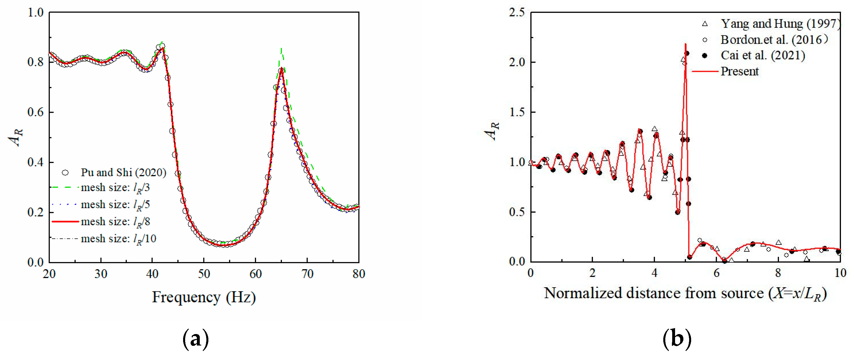
:1. Introduction
2. Model and Methods
3. Results and Discussions
3.1. Isolation Characteristics of Three Kinds of Wave Barriers in the Frequency Domain
3.2. Isolation Characteristics of Three Kinds of Wave Barriers in the Time Domain
3.3. Parametric Study of the PT-WIB
3.4. The Application of PT-WIB in Layered Ground
4. Conclusions
- The WIB is positioned beneath the railway tracks, while periodic infilled trenches are strategically placed between the railway and the protected buildings. In situations where the vibration isolation requirements cannot be met solely by the periodic trenches, typically due to the limited effectiveness of a narrow band gap at low and medium frequencies, the newly proposed PT-WIB offers a practical and viable solution. This innovative approach demonstrates the convenience and feasibility of creating a broadband attenuation zone, effectively addressing the limitations encountered in traditional setups.
- The occurrence of vibration amplification phenomena is observed in the vicinity of periodic infilled trenches and is primarily attributed to wave reflections at the interface between the geofoam and the ground. However, the implementation of the WIB effectively mitigates these vibration amplifications. Consequently, the newly proposed PT-WIB offers a notable advantage by providing a relatively consistent and stable environmental vibration isolation performance throughout varying distances from the vibration source.
- Although an increase in the width and thickness of the WIB can improve the vibration isolation performance of the PT-WIB, a decrease in the embedded depth of the WIB is a more effective way to improve the vibration isolation performance of the PT-WIB. Moreover, the PT-WIB can also be applied to a layered ground for the improvement of vibration isolation performance.
Author Contributions
Funding
Institutional Review Board Statement
Informed Consent Statement
Data Availability Statement
Conflicts of Interest
References
- Connolly, D.P.; Marecki, G.P.; Kouroussis, G.; Thalassinakis, I.; Woodward, P.K. The growth of railway ground vibration problems—A review. Sci. Total Environ. 2016, 568, 1276–1282. [Google Scholar] [CrossRef] [PubMed]
- Smith, M.G.; Ogren, M.; Morsing, J.A.; Waye, K.P. Effects of ground-borne noise from railway tunnels on sleep: A polysomnographic study. Build. Environ. 2019, 149, 288–296. [Google Scholar] [CrossRef]
- Hao, H.; Ang, T.C.; Shen, J. Building vibration to traffic-induced ground motion. Build. Environ. 2001, 36, 321–336. [Google Scholar] [CrossRef]
- Zou, C.; Moore, J.A.; Sanayei, M.; Tao, Z.; Wang, Y. Impedance model of train-induced vibration transmission across a transfer structure into an overtrack building in a metro depot. J. Struct. Eng. 2022, 148, 04022187. [Google Scholar] [CrossRef]
- Xu, L.; Ma, M. Analytical solution of ground-borne vibration due to a spatially periodic harmonic moving load in a tunnel embedded in layered soil. J. Zhejiang Univ.-Sci. A 2023, 24, 637–652. [Google Scholar] [CrossRef]
- Woods, R.D. Screening of surface waves in soils. J. Soil Mech. Found. Eng. Div. 1968, 94, 951–979. [Google Scholar] [CrossRef]
- Celebi, E.; Firat, S.; Beyhan, G.; Cankaya, I.; Vural, I.; Kirtel, O. Field experiments on wave propagation and vibration isolation by using wave barriers. Soil Dyn. Earthq. Eng. 2009, 29, 824–833. [Google Scholar] [CrossRef]
- Alzawi, A.; El Naggar, M.H. Full scale experimental study on vibration scattering using open and in-filled (Geofoam) wave barriers. Soil Dyn. Earthq. Eng. 2011, 31, 306–317. [Google Scholar] [CrossRef]
- Toygar, O.; Ulgen, D. A full-scale field study on mitigation of environmental ground vibrations by using open trenches. Build. Environ. 2021, 203, 108070. [Google Scholar] [CrossRef]
- Ibrahim, Y.E.; Nabil, M. Finite element analysis of multistory structures subjected to train-induced vibrations considering soil-structure interaction. Case Stud. Constr. Mater. 2021, 15, e00592. [Google Scholar] [CrossRef]
- Lu, M.; Feng, L.; Chen, Y. Phononic crystals and acoustic metamaterials. Mater. Today 2009, 12, 34–42. [Google Scholar] [CrossRef]
- Shi, Z.; Cheng, Z.; Xiang, H. Periodic Structures: Theory and Applications to Seismic Isolation and Vibration Reduction; Science Press Ltd.: Beijing, China, 2017. (In Chinese) [Google Scholar]
- Huang, J.; Shi, Z. Application of Periodic Theory to rows of piles for horizontal vibration attenuation. Int. J. Geomech. 2013, 13, 132–142. [Google Scholar] [CrossRef]
- Huang, J.; Shi, Z. Attenuation zones of periodic pile barriers and its application in vibration reduction for plane waves. J. Sound. Vib. 2013, 332, 4423–4439. [Google Scholar] [CrossRef]
- Huang, J.; Liu, W.; Shi, Z. Surface-wave attenuation zone of layered periodic structures and feasible application in ground vibration reduction. Constr. Build. Mater. 2017, 141, 1–11. [Google Scholar] [CrossRef]
- Albino, C.; Godinho, L.; Amado-Mendes, P.; Alves-Costa, P.; Dias-da-Costa, D.; Soares, D.S., Jr. 3D FEM analysis of the effect of buried phononic crystal barriers on vibration mitigation. Eng. Struct. 2019, 196, 109340. [Google Scholar] [CrossRef]
- Pu, X.; Shi, Z. Periodic pile barriers for Rayleigh wave isolation in a poroelastic half-space. Soil Dyn. Earthq. Eng. 2019, 121, 75–86. [Google Scholar] [CrossRef]
- Pu, X.; Shi, Z. Broadband surface wave attenuation in periodic trench barriers. J. Sound. Vib. 2020, 468, 115130. [Google Scholar] [CrossRef]
- Huang, H.W.; Zhang, B.; Wang, J.; Menq, F.; Nakshatrala, K.B.; Mo, Y.L.; Stokoe, K.H. Experimental study on wave isolation performance of periodic barriers. Soil Dyn. Earthq. Eng. 2021, 144, 106602. [Google Scholar] [CrossRef]
- Cai, C.; Gao, L.; He, X.; Zou, Y.; Yu, K.; Wu, D. The surface wave attenuation zone of periodic composite in-filled trenches and its isolation performance in train-induced ground vibration isolation. Comput. Geotech. 2021, 139, 104421. [Google Scholar] [CrossRef]
- Gao, L.; Cai, C.; Mak, C.M.; He, X.; Zou, Y.; Wu, D. Surface wave attenuation by periodic hollow steel trenches with Bragg band gap and local resonance band gap. Constr. Build. Mater. 2022, 356, 129289. [Google Scholar] [CrossRef]
- Liu, Z.; Zhang, X.; Mao, Y.; Zhu, Y.Y.; Yang, Z.; Chan, C.T.; Sheng, P. Locally resonant sonic materials. Science 2000, 289, 1734. [Google Scholar] [CrossRef]
- Huang, J.; Shi, Z. Vibration Reduction of Plane Waves Using Periodic In-Filled Pile Barriers. J. Geotech. Geoenviron Eng. 2015, 141, 04015018. [Google Scholar] [CrossRef]
- Meng, L.; Cheng, Z.; Shi, Z. Vibration mitigation in saturated soil by periodic in-filled pipe pile barriers. Comput. Geotech. 2020, 124, 103633. [Google Scholar] [CrossRef]
- Jiang, Y.; Meng, F.; Chen, Y.; Zheng, Y.; Chen, X.; Zhang, J.; Huang, X. Vibration attenuation analysis of periodic underground barriers using complex band diagrams. Comput. Geotech. 2020, 128, 103821. [Google Scholar] [CrossRef]
- Miao, L.; Li, C.; Lei, L.; Fang, H.; Liang, X. A new periodic structure composite material quasi-phononic crystals. Phys. Lett. A 2020, 384, 7. [Google Scholar] [CrossRef]
- Chouw, N.; Le, R.; Schmid, G. Propagation of vibration in a soil layer over bedrock. Eng. Anal. Bound. Elem. 1991, 8, 125–131. [Google Scholar] [CrossRef]
- Takemiya, H.; Fujiwara, A. Wave propagation/impediment in a stratum and wave impeding block (WIB) measured for SSI response reduction. Soil Dyn. Earthq. Eng. 1994, 13, 49–61. [Google Scholar] [CrossRef]
- Gao, G.; Li, N.; Gu, X. Field experiment and numerical study on active vibration isolation by horizontal blocks in layered ground under vertical loading. Soil Dyn. Earthq. Eng. 2015, 69, 251–261. [Google Scholar] [CrossRef]
- Gao, G.; Chen, J.; Gu, X.; Song, J.; Li, S.; Li, N. Numerical study on the active vibration isolation by wave impeding block in saturated soils under vertical loading. Soil Dyn. Earthq. Eng. 2017, 93, 99–112. [Google Scholar] [CrossRef]
- Gao, G.; Zhang, Q.; Chen, J.; Chen, Q. Field experiments and numerical analysis on the ground vibration isolation of wave impeding block under horizontal and rocking coupled excitations. Soil Dyn. Earthq. Eng. 2018, 115, 507–512. [Google Scholar] [CrossRef]
- Khelif, A.; Achaoui, Y.; Benchabane, S.; Laude, V.; Aoubiza, B. Locally resonant surface acoustic wave band gaps in a two-dimensional phononic crystal of pillars on a surface. Phys. Rev. B 2010, 81, 214303. [Google Scholar] [CrossRef]
- Meng, Q.; Shi, Z. Vibration Isolation of Plane Waves by Periodic Pipe Pile Barriers in Saturated Soil. J. Aerosp. Eng. 2019, 32, 04018114. [Google Scholar] [CrossRef]
- Yang, Y.; Hung, H.H. A parametric study of wave barriers for reduction of train-induced vibrations. Int. J. Numer. Methods Eng. 1997, 40, 3729–3747. [Google Scholar] [CrossRef]
- Saikia, A. Numerical study on screening of surface waves using a pair of softer backfilled trenches. Soil Dyn. Earthq. Eng. 2014, 65, 206–213. [Google Scholar] [CrossRef]
- Jones, S. Harmonic response of layered half space using reduced finite element model with perfectly-matched layer boundaries. Soil Dyn. Earthq. Eng. 2017, 92, 1–8. [Google Scholar] [CrossRef]
- Bordon, J.D.R.; Aznarez, J.J.; Maeso, O. Two-dimensional numerical approach for the vibration isolation analysis of thin walled wave barriers in poroelastic soils. Comput. Geotech. 2016, 71, 168–179. [Google Scholar] [CrossRef]













| Material | Young Modulus E (MPa) | Poisson Ration v | Density p (kg/m3) |
|---|---|---|---|
| Soil | 46 | 0.25 | 1800 |
| Geofoam | 37 | 0.32 | 60 |
| Concrete | 25,500 | 0.20 | 2500 |
Disclaimer/Publisher’s Note: The statements, opinions and data contained in all publications are solely those of the individual author(s) and contributor(s) and not of MDPI and/or the editor(s). MDPI and/or the editor(s) disclaim responsibility for any injury to people or property resulting from any ideas, methods, instructions or products referred to in the content. |
© 2023 by the authors. Licensee MDPI, Basel, Switzerland. This article is an open access article distributed under the terms and conditions of the Creative Commons Attribution (CC BY) license (https://creativecommons.org/licenses/by/4.0/).
Share and Cite
Gao, L.; Cai, C.; Li, C.; Mak, C.M. Numerical Analysis of the Mitigation Performance of a Buried PT-WIB on Environmental Vibration. Sensors 2023, 23, 7666. https://doi.org/10.3390/s23187666
Gao L, Cai C, Li C, Mak CM. Numerical Analysis of the Mitigation Performance of a Buried PT-WIB on Environmental Vibration. Sensors. 2023; 23(18):7666. https://doi.org/10.3390/s23187666
Chicago/Turabian StyleGao, Lei, Chenzhi Cai, Chao Li, and Cheuk Ming Mak. 2023. "Numerical Analysis of the Mitigation Performance of a Buried PT-WIB on Environmental Vibration" Sensors 23, no. 18: 7666. https://doi.org/10.3390/s23187666
APA StyleGao, L., Cai, C., Li, C., & Mak, C. M. (2023). Numerical Analysis of the Mitigation Performance of a Buried PT-WIB on Environmental Vibration. Sensors, 23(18), 7666. https://doi.org/10.3390/s23187666

