Securing Smart Grid Enabled Home Area Networks with Retro-Reflective Visible Light Communication
Abstract
1. Introduction
2. Methodology
2.1. BER Analysis for Multi-pixel Design
2.2. Heterogeneous Retro-VLC and WLAN System
2.3. Testbed Setup
2.3.1. Retro-VLC Link
2.3.2. Heterogeneous Connection
3. Numerical and Experimental Results
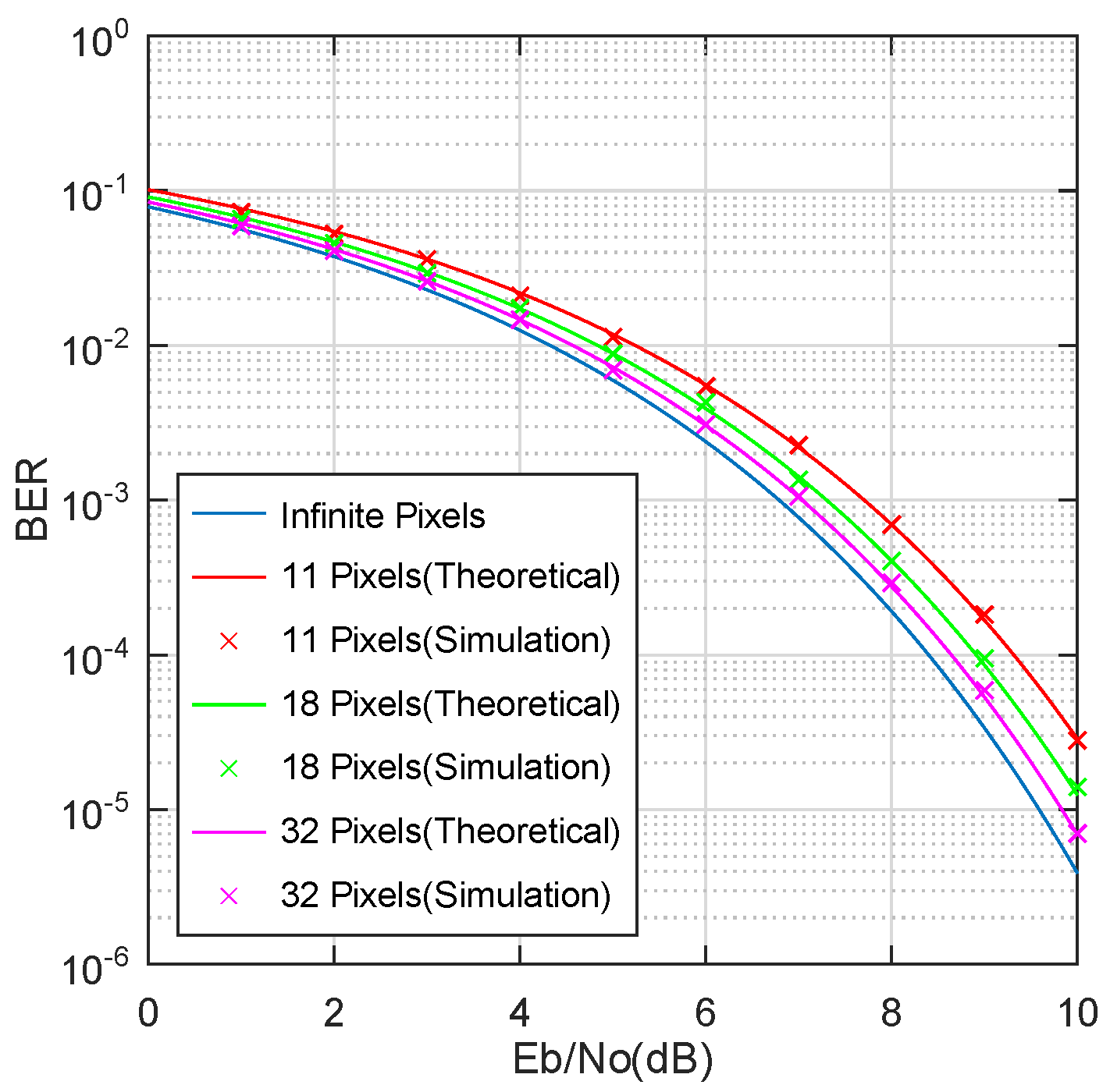
3.1. BER Performance
3.2. Latency Evaluation
3.3. Working Range and Sniffing Range
4. Discussion
Author Contributions
Funding
Institutional Review Board Statement
Informed Consent Statement
Data Availability Statement
Conflicts of Interest
Appendix A. Proof of Lemma 1
Appendix B
References
- Gellings, P. Smart Grid Planning and Implementation; River Publishers: Gistrup, Denmark, 2020. [Google Scholar]
- Roosa, S.A. Fundamentals of Microgrids: Development and Implementation; CRC Press: Boca Raton, FL, USA, 2020. [Google Scholar]
- U.S. Department of Energy. 2021. Available online: https://www.energy.gov/ (accessed on 1 November 2022).
- Federal Energy Management Program. 2022. Available online: https://www.energy.gov/eere/femp/bidirectional-charging-and-electric-vehicles-mobile-storage (accessed on 1 November 2022).
- Yarali, A.; Rahman, S. Wireless communication for smart grids. In Proceedings of the Second International Conference on Advanced Collaborative Networks, Systems and Applications (COLLA 2012), Venice, Italy, 24–29 June 2012; pp. 1–9. [Google Scholar]
- Souppaya, M.; Scarfone, K. Guidelines for securing wireless local area networks (WLANs). NIST Spec. Publ. 2012, 800, 153. [Google Scholar]
- Lashkari, A.H.; Danesh, M.M.S.; Samadi, B. A survey on wireless security protocols (WEP, WPA and WPA2/802.11 i). In Proceedings of the 2009 2nd IEEE International Conference on Computer Science and Information Technology, Beijing, China, 11 August 2009; IEEE: Piscataway, NJ, USA, 2009; pp. 48–52. [Google Scholar]
- Mishra, A.; Arbaugh, W.A. An Initial Security Analysis of the IEEE 802.1 X Standard; Technical Report CS-TR-4328; University of Maryland: College Park, MD, USA, 2002. [Google Scholar]
- Marin-Garcia, I.; Guerra, V.; Perez-Jimenez, R. Study and validation of eavesdropping scenarios over a visible light communication channel. Sensors 2017, 17, 2687. [Google Scholar] [CrossRef] [PubMed]
- Li, J.; Liu, A.; Shen, G.; Li, L.; Sun, C.; Zhao, F. Retro-VLC: Enabling battery-free duplex visible light communication for mobile and IoT applications. In Proceedings of the Proceedings of the 16th International Workshop on Mobile Computing Systems and Applications, Santa Fe, NM, USA, 12–13 February 2015; pp. 21–26.
- Thorlabs. 2022. Available online: https://www.thorlabs.com/newgrouppage9.cfm?objectgroup_id=145 (accessed on 1 November 2022).
- Barry, J.R.; Lee, E.A.; Messerschmitt, D.G. Digital communication; Springer Science & Business Media: Berlin, Germany, 2012. [Google Scholar]
- Komine, T.; Nakagawa, M. Fundamental analysis for visible-light communication system using LED lights. IEEE Trans. Consum. Electron. 2004, 50, 100–107. [Google Scholar] [CrossRef]
- Kahn, J.M.; Barry, J.R. Wireless infrared communications. Proc. IEEE 1997, 85, 265–298. [Google Scholar] [CrossRef]
- Haas, H.; Islim, M.S.; Chen, C.; Abumarshoud, H. An Introduction to Optical Wireless Mobile Communication; Artech House: Norwood, MA, USA, 2021. [Google Scholar]
- Ramaboli, A.L.; Falowo, O.E.; Chan, A.H. Bandwidth aggregation in heterogeneous wireless networks: A survey of current approaches and issues. J. Netw. Comput. Appl. 2012, 35, 1674–1690. [Google Scholar] [CrossRef]
- Shao, S.; Khreishah, A.; Elgala, H. Pixelated VLC-backscattering for self-charging indoor IoT devices. IEEE Photonics Technol. Lett. 2016, 29, 177–180. [Google Scholar] [CrossRef]
- Shao, S.; Khreishah, A.; Khalil, I. RETRO: Retroreflector based visible light indoor localization for real-time tracking of IoT devices. In Proceedings of the IEEE Conference on Computer Communications (INFOCOM 2018), Honolulu, HI, USA, 16–19 April 2018; IEEE: Piscataway, NJ, USA, 2018; pp. 1025–1033. [Google Scholar]
- Shao, S.; Khreishah, A.; Khalil, I. Enabling real-time indoor tracking of IoT devices through visible light retroreflection. IEEE Trans. Mob. Comput. 2019, 19, 836–851. [Google Scholar] [CrossRef]
- Wu, Y.; Wang, P.; Xu, K.; Feng, L.; Xu, C. Turboboosting visible light backscatter communication. In Proceedings of the Annual Conference of the ACM Special Interest Group on Data Communication on the applications, Technologies, Architectures, and Protocols for Computer Communication, Virtual Event USA, 10–14 August 2020; Association for Computing Machinery: New York, NY, USA, 2020; pp. 186–197. [Google Scholar]
- Liquid Crystal Technologies. 2022. Available online: http://www.liquidcrystaltechnologies.com/products/lcdshutters.htm (accessed on 1 November 2022).
- 3M. Available online: https://www.3m.com/3M/en_US/p/c/ppe/apparel/reflective-fabrics/i/safety/personal-safety/ (accessed on 1 November 2022).
- Thorlabs. 2022. Available online: https://www.thorlabs.com/thorproduct.cfm?partnumber=PDA100A2 (accessed on 1 November 2022).
- Zhao, R.; Zhu, F.; Feng, Y.; Peng, S.; Tian, X.; Yu, H.; Wang, X. OFDMA-enabled Wi-Fi backscatter. In Proceedings of the 25th Annual International Conference on Mobile Computing and Networking, Los Cabos, Mexico, 21–25 October 2019; pp. 1–15. [Google Scholar]
- Hubert; Geul, S. 2020. Available online: https://github.com/magnific0/wondershaper.git (accessed on 20 November 2022).
- WiFi Professionals. 2022. Available online: https://www.wifi-professionals.com/2019/01/4-way-handshake (accessed on 1 October 2022).
- Xu, T.; Tapia, M.C.; Zúñiga, M. Exploiting Digital {Micro-Mirror} Devices for Ambient Light Communication. In Proceedings of the 19th USENIX Symposium on Networked Systems Design and Implementation (NSDI 22), Renton, WA, USA, 4–6 April 2022; pp. 387–400. [Google Scholar]










Disclaimer/Publisher’s Note: The statements, opinions and data contained in all publications are solely those of the individual author(s) and contributor(s) and not of MDPI and/or the editor(s). MDPI and/or the editor(s) disclaim responsibility for any injury to people or property resulting from any ideas, methods, instructions or products referred to in the content. |
© 2023 by the authors. Licensee MDPI, Basel, Switzerland. This article is an open access article distributed under the terms and conditions of the Creative Commons Attribution (CC BY) license (https://creativecommons.org/licenses/by/4.0/).
Share and Cite
Salas, M.; Shao, S.; Salustri, A.; Schroeck, Z.; Zheng, J. Securing Smart Grid Enabled Home Area Networks with Retro-Reflective Visible Light Communication. Sensors 2023, 23, 1245. https://doi.org/10.3390/s23031245
Salas M, Shao S, Salustri A, Schroeck Z, Zheng J. Securing Smart Grid Enabled Home Area Networks with Retro-Reflective Visible Light Communication. Sensors. 2023; 23(3):1245. https://doi.org/10.3390/s23031245
Chicago/Turabian StyleSalas, Mathew, Sihua Shao, Adrian Salustri, Zachary Schroeck, and Jun Zheng. 2023. "Securing Smart Grid Enabled Home Area Networks with Retro-Reflective Visible Light Communication" Sensors 23, no. 3: 1245. https://doi.org/10.3390/s23031245
APA StyleSalas, M., Shao, S., Salustri, A., Schroeck, Z., & Zheng, J. (2023). Securing Smart Grid Enabled Home Area Networks with Retro-Reflective Visible Light Communication. Sensors, 23(3), 1245. https://doi.org/10.3390/s23031245

