Use of Multi-Date and Multi-Spectral UAS Imagery to Classify Dominant Tree Species in the Wet Miombo Woodlands of Zambia
Abstract
1. Introduction
- (i)
- What is the optimal single season window for acquiring imagery to discriminate tree species in the Miombo ecoregion?
- (ii)
- Could multi-season imagery improve the discrimination of tree species in the Miombo ecoregion?
- (iii)
- What other image features can improve Miombo species classification?
2. Materials and Methods
2.1. Study Area
2.2. Field Data Collection
2.3. UAS Image Data Acquisition
2.4. UAS Data Pre-Processing
2.5. Computation of the CHM
2.6. Tree Species Classification
2.6.1. Image Segmentation
Segmentation Accuracy Assessment
2.6.2. Feature Extraction
2.6.3. Species classification
Class Separability
Classification Accuracy Assessment
3. Results
3.1. Identifying Segmentation Parameters
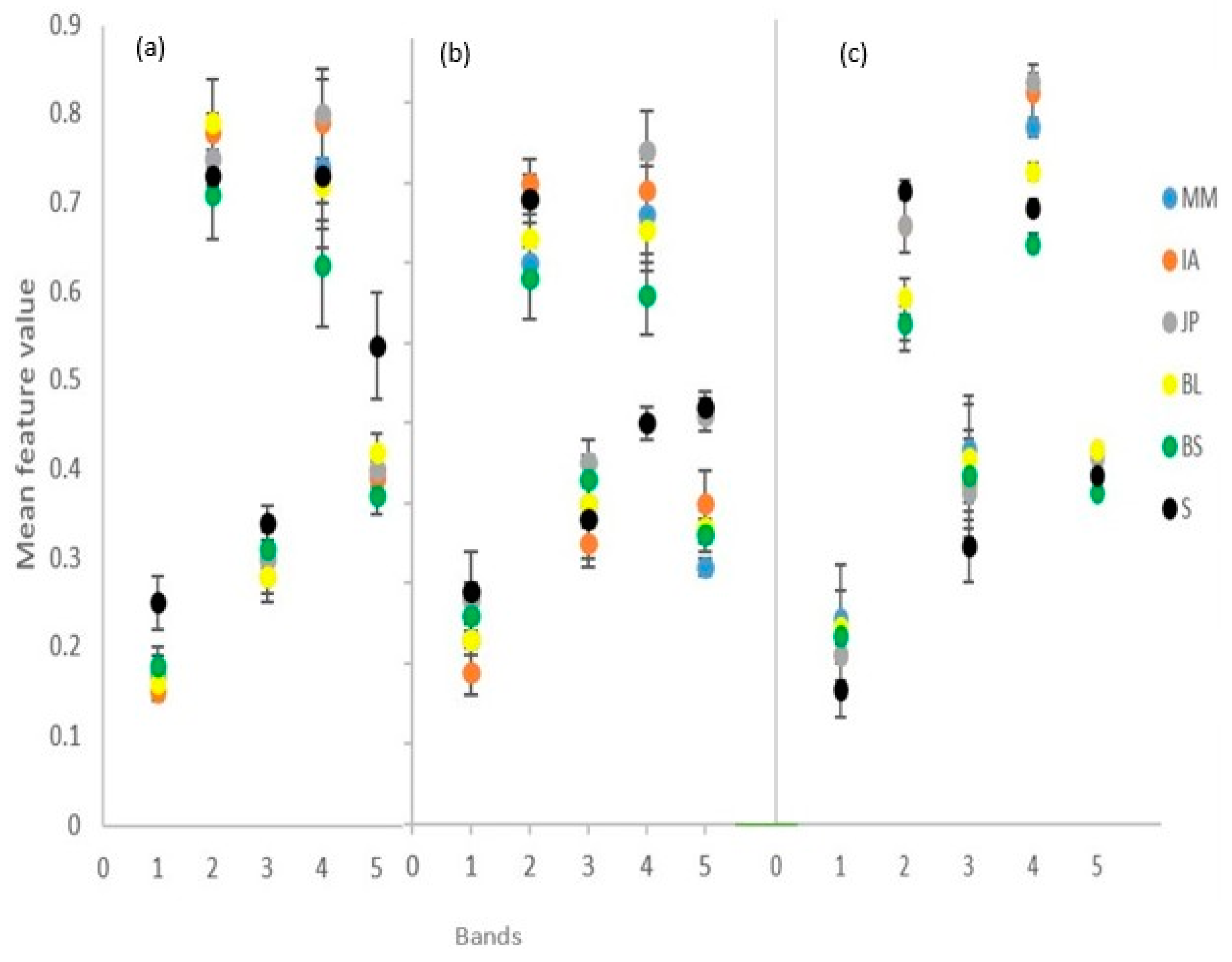
3.2. Discrimination of Dominant Tree Species
3.3. Tree Species Classification
4. Discussion
4.1. Segmentation of Tree Crowns
4.2. Optimal Single Date Imagery
4.3. Improved Accuracy with Multi-Date Image
4.4. Image Indices Improve Classification Accuracy
5. Conclusions
Author Contributions
Funding
Data Availability Statement
Acknowledgments
Conflicts of Interest
Appendix A. Sampled Tree Species in the Study Area
| Tree Species | N | % | DBH (cm) | TH(m) | ||
| Mean | Range | Mean | Range | |||
| Julbernardia paniculata | 127 | 18.5 | 31.03 | 13.5–59.90 | 17.79 | 8.50–25.00 |
| Isoberlinia angolensis | 114 | 16.6 | 23.92 | 9.90–44.70 | 14.55 | 5.00–20.50 |
| Marquesia macroura | 108 | 15.7 | 29.21 | 5.30–70.00 | 15.10 | 3.25–25.00 |
| Brachystegia longifolia | 64 | 9.3 | 20.65 | 11.8–64.00 | 11.27 | 8.50–23.00 |
| Brachystegia spiciformis | 51 | 7.4 | 18.55 | 5.00–64.20 | 9.97 | 5.80–20.50 |
| Parinari curatellifolia | 18 | 2.6 | 23.48 | 6.00–53.50 | 13.67 | 6.00–24.00 |
| Ochna pulchra | 17 | 2.5 | 7.62 | 5.20–10.90 | 5.70 | 4.50–8.00 |
| Baphia bequaertii | 16 | 2.3 | 11.63 | 5.80–23.70 | 6.95 | 3.00–15.00 |
| Pericopsis angolensis | 16 | 2.3 | 24.42 | 10.3–70.00 | 14.01 | 5.00–25.10 |
| Diplorhynchus condylocarpon | 14 | 2.0 | 8.94 | 5.00–18.00 | 7.64 | 4.50–10.00 |
| Anisophyllea boehmii | 11 | 1.6 | 18.77 | 5.10–44.90 | 11.74 | 3.75–19.50 |
| Erythrina abyssinica | 11 | 1.6 | 18.05 | 8.60–33.30 | 10.21 | 5.30–20.50 |
| Hymenocardia ulmoides | 8 | 1.2 | 24.05 | 5.40–9.90 | 19.94 | 4.50–7.00 |
| Pseudolachnostylis maprouneifolia | 7 | 1.0 | 22.04 | 7.00–20.80 | 11.64 | 5.00–10.00 |
| Syzygium cordatum | 7 | 1.0 | 21.20 | 9.10–19.20 | 11.21 | 5.25–10.00 |
| Hexalobus monopetalus | 7 | 1.0 | 14.13 | 5.80–57.30 | 7.94 | 4.75–22.00 |
| Pterocarpus angolensis | 7 | 1.0 | 12.29 | 5.30–28.10 | 8.22 | 5.30–15.00 |
| Swartzia madagascariensis | 7 | 1.0 | 8.16 | 5.50–10.80 | 5.34 | 3.30–8.75 |
| Diospyros batocana | 4 | 0.6 | 10.75 | 9.00–11.60 | 10.13 | 7.00–17.50 |
| Burkia africana | 4 | 0.6 | 8.55 | 7.80–9.30 | 6.38 | 6.25–6.50 |
| Albizia adianthifolia | 4 | 0.6 | 14.15 | 12.3–18.00 | 13.00 | 10.75–16.50 |
| Uapaca sansibarica | 4 | 0.6 | 15.23 | 8.90–22.00 | 10.44 | 6.00–15.75 |
| Lannea discolor | 4 | 0.6 | 13.73 | 5.50–23.50 | 9.58 | 5.00–14.50 |
| Diospyros mespiliformis | 4 | 0.6 | 19.73 | 19.1–20.90 | 12.30 | 12.30–12.30 |
| Brachystegia floribunda | 4 | 0.6 | 34.45 | 25.7–44.50 | 19.00 | 17.50–20.00 |
| Mapraunea africana | 3 | 0.4 | 8.90 | 6.80–10.60 | 5.83 | 4.25–6.75 |
| Bobgunnia madagascariensis | 3 | 0.4 | 7.90 | 7.50–8.70 | 4.50 | 4.25–5.00 |
| Dalbergia nitidula | 3 | 0.4 | 27.93 | 22.0–30.90 | 13.17 | 13.00–13.25 |
| Strychnos innocua | 3 | 0.4 | 7.27 | 6.40–7.70 | 6.78 | 5.35–7.50 |
| Pseudochnostylis maprouneifolia | 3 | 0.4 | 7.77 | 5.80–11.60 | 5.87 | 5.30–7.00 |
| Maprounea africana | 3 | 0.4 | 8.90 | 6.80–10.60 | 5.83 | 4.25–6.75 |
| Rhus longipes | 3 | 0.4 | 9.43 | 8.80–9.90 | 5.50 | 5.00–6.00 |
| Albizya adiansfolia | 3 | 0.4 | 18.43 | 7.80–26.70 | 13.08 | 6.75–17.50 |
| Combretum zeyheri | 2 | 0.3 | 23.65 | 17.7–29.60 | 12.00 | 9.00–15.00 |
| Faurea speciosa | 2 | 0.3 | 8.90 | 8.90–8.90 | 5.75 | 5.75–5.75 |
| Magnistipula butayei | 2 | 0.3 | 15.90 | 15.9–15.90 | 8.00 | 8.00–8.00 |
| Erythropeleum africanum | 2 | 0.3 | 30.10 | 30.1–30.10 | 17.75 | 17.75–17.75 |
| Ochna schweinfurthiana | 2 | 0.3 | 6.80 | 6.60–7.00 | 5.95 | 5.00–6.90 |
| Albizia antunesiana | 2 | 0.3 | 32.40 | 21.6–43.20 | 17.90 | 17.50–18.30 |
| Albizia versicolor | 2 | 0.3 | 33.50 | 33.5–33.50 | 11.25 | 11.25–11.25 |
| Phyllocosmos lemaireanus | 2 | 0.3 | 5.75 | 5.70–5.80 | 6.13 | 5.75–6.50 |
| Uapaca kirkiana | 2 | 0.3 | 14.35 | 8.90–19.80 | 9.50 | 5.50–13.50 |
| Harungana madagascariensis | 1 | 0.1 | 5.70 | 5.70–5.70 | 4.50 | 4.50–4.50 |
| Canthium crassum | 1 | 0.1 | 37.00 | 37.0–37.00 | 22.00 | 22.00–22.00 |
| Oxtenanthera abyssinica | 1 | 0.1 | 9.20 | 9.20–9.20 | 11.00 | 11.00–11.00 |
| Dallbegiella nyasae | 1 | 0.1 | 33.30 | 33.3–33.30 | 17.25 | 17.25–17.25 |
| Monotes africanus | 1 | 0.1 | 7.20 | 7.20–7.20 | 10.75 | 10.75–10.75 |
| Syzygium guineense | 1 | 0.1 | 5.90 | 5.90–5.90 | 6.70 | 6.70–6.70 |
| Uapaca nitida | 1 | 0.1 | 14.60 | 14.6–14.60 | 6.00 | 6.00–6.00 |
| Albizya atunizyana | 1 | 0.1 | 7.50 | 7.50–7.50 | 7.75 | 7.75–7.75 |
| Total | 688 | 100 | ||||
Appendix B. Summary of Class Separability Using Mean Spectral Features across the 3 Sampled Dates
| Bands | Separable Classes | Mixed Classes | Date |
| Blue | IA, BS, MM | BL, JP and shadow | 25.05.21 |
| Green | JP | IA, BS, BL, MM, Shadow | |
| Red | BL | JP, IA and shadow/ BS, MM | |
| Red-edge | MM | IA, BS, BL, JP, shadow | |
| Near infrared | MM | IA, BS, BL, JP, shadow | |
| Blue | Shadow, JP, IA | BL, BS, MM | 15.08.21 |
| Green | Shadow, BS, BL | IA, MM, JP | |
| Red | Shadow and all species | ||
| Red-edge | Shadow and all species | ||
| Near infrared | Shadow, JP, MM, BS | IA and BL | |
| Blue | Shadow, BS | BL, BS, MM | 24.10.21 |
| Green | Shadow | All species | |
| Red | Shadow, BS | JP, BL, MM, IA | |
| Red-edge | Shadow, JP IA | BS, BL, MM | |
| Near infrared | Shadow, JP, IA, BL | BS, BL, MM |
Appendix C. Summary of Class Separability Using Mean Spectral Indices Features across the 3 Sampled Dates
| Bands | Separable Classes | Mixed Classes | Date |
| Brightness | Shadow | All species | 25.05.21 |
| Maximum difference | All species, shadow | ||
| NDVI | BS | JP, IA, BL, MM, shadow | |
| GCC | Shadow, MM, JP, BS | IA, BL | |
| RCC | BS | IA, MM, BL, JP, shadow | |
| Brightness | Shadow, JP, IA | BL, BS and MM | 15.08.21 |
| Maximum difference | All species and shadow | ||
| NDVI | All species and shadow | ||
| GCC | BL, BS, JP, MM | Shadow, IA | |
| RCC | All species and shadow | ||
| Brightness | MM | BL, BS, IA, JP, shadow | 24.10.21 |
| Maximum difference | IA, BS, MM | shadow, BL, JP | |
| NDVI | BS, MM, JP, IA | BL, shadow | |
| GCC | BL, IA | JP, shadow/ BS, MM | |
| RCC | BS, MM, BL | shadow, JP, IA |
Appendix D. Summary of Class Separability Using Mean Textural Features across the 3 Sampled Dates
| Bands | Separable Classes | Mixed Classes | Date |
| Contrast | Shadow | All species | 25.05.21 |
| Correlation | JP, shadow, BS, MM/BL, IA | ||
| Dissimilarity | All classes | ||
| Entropy | BS | IA, BL, MM, JP, shadow | |
| Standard deviation | Shadow | All species | |
| Contrast | IA | BS, BL, MM, JP, shadow | 15.08.21 |
| Correlation | All classes | ||
| Dissimilarity | All classes | ||
| Entropy | Shadow, JP, BS | IA, MM, BL | |
| Standard deviation | JP, shadow/ MM, BS, BL, IA | ||
| Contrast | Shadow | All species | 24.10.21 |
| Correlation | Shadow, JP | MM, IA, BS, BL | |
| Dissimilarity | Shadow | All species | |
| Entropy | Shadow, BS, BL, MM | JP, IA | |
| Standard deviation | All classes |
References
- Frost, P. The Ecology of Miombo Woodlands. In The Miombo in Transition: Woodlands and Welfare in Africa; Campbell, B.M., Ed.; Center for International Forestry Research (CIFOR): Jakarta, Indonesia, 1996; pp. 11–57. [Google Scholar]
- Syampungani, S.; Chirwa, P.W.; Akinnifesi, F.K.; Sileshi, G.; Ajayi, O.C. The miombo woodlands at the cross roads: Potential threats, sustainable livelihoods, policy gaps and challenges. In Natural Resources Forum; Blackwell Publishing Ltd.: Oxford, UK, 2009; Volume 33, pp. 150–159. [Google Scholar]
- Chirwa, P.W.; Syampungani, S.; Geldenhuys, C.J. The ecology and management of the Miombo woodlands for sustainable livelihoods in southern Africa: The case for non-timber forest products. South. For. 2016, 70, 237–245. [Google Scholar] [CrossRef]
- Kapinga, K.; Syampungani, S.; Kasubika, R.; Yambayamba, A.M.; Shamaoma, H. 2018 Forest Ecology and Management Species-speci fi c allometric models for estimation of the above-ground carbon stock in miombo woodlands of Copperbelt Province of Zambia. For. Ecol. Manag. 2018, 417, 184–196. [Google Scholar] [CrossRef]
- Campbell, B. The Miombo in Transition: Woodlands and Welfare in Africa; Campbell, B.M., Ed.; Center for International Forestry Research: Bogor, Indonesia, 1996. [Google Scholar]
- Luoga, E.J.; Witkowski ET, F.; Balkwill, K. Harvested and standing wood stocks in protected and communal miombo woodlands of eastern Tanzania. For. Ecol. Manag. 2002, 164, 15–30. [Google Scholar] [CrossRef]
- Madonsela, S.; Azong, M.; Ramoelo, A.; Mutanga, O. Estimating tree species diversity in the savannah using NDVI and woody canopy cover. Int. J. Appl. Earth Obs. Geoinf. 2018, 66, 106–115. [Google Scholar] [CrossRef]
- He, C.; Jia, S.; Luo, Y.; Hao, Z.; Yin, Q. Spatial Distribution and Species Association of Dominant Tree Species in Huangguan Plot of Qinling Mountains, China. Forests 2022, 13, 866. [Google Scholar] [CrossRef]
- Ribeiro, N.S.; Syampungani, S.; Matakala, N.M.; Nangoma, D.; Isabel, R.A. Miombo Woodlands Research towards the Sustainable Use of Ecosystem Services in Southern Africa; Books on Demand: Norderstedt, Germany, 2015. [Google Scholar]
- Cho, A.M.; Mathieu, R.; Asner, G.P.; Naidoo, L.; Van Aardt, J.; Ramoelo, A.; Debba, P.; Wessels, K.; Main, R.; Smit, I.P.J.; et al. Remote Sensing of Environment Mapping tree species composition in South African savannas using an integrated airborne spectral and LiDAR system. Remote Sens. Environ. 2012, 125, 214–226. [Google Scholar] [CrossRef]
- Turner, W.; Spector, S.; Gardiner, N.; Fladeland, M.; Sterling, E.; Steininger, M. Remote sensing for biodiversity science and conservation. Trends Ecol. Evol. 2003, 18, 306–314. [Google Scholar] [CrossRef]
- Xie, Y.; Sha, Z.; Yu, M. Remote sensing imagery in vegetation mapping: A review. J. Plant Ecol. 2008, 1, 9–23. [Google Scholar] [CrossRef]
- Day, M.; Gumbo, D.; Moombe, K.B.; Wijaya, A.; Sunderland, T. Zambia Country Profile Monitoring, Reporting and Verification for REDD+; CIFOR: Bogor, Indonesia, 2014. [Google Scholar]
- Hologa, R.; Scheffczyk, K.; Dreiser, C.; Gärtner, S. Tree species classification in a temperate mixed mountain forest landscape using random forest and multiple datasets. Remote Sens. 2021, 13, 4657. [Google Scholar] [CrossRef]
- Cao, J.; Leng, W.; Liu, K.; Liu, L.; He, Z. Object-Based Mangrove Species Classification Using Unmanned Aerial Vehicle Hyperspectral Images and Digital Surface Models. Remote Sens. 2018, 10, 89. [Google Scholar] [CrossRef]
- Fassnacht, F.E.; Latifi, H.; Stereńczak, K.; Modzelewska, A.; Lefsky, M.; Waser, L.T.; Straub, C.; Ghosh, A. Review of studies on tree species classification from remotely sensed data. Remote Sens. Environ. 2016, 186, 64–87. [Google Scholar] [CrossRef]
- Lim, J.; Kim, K.M.; Jin, R. Tree species classification using hyperion and sentinel-2 data with machine learning in South Korea and China. ISPRS Int. J. Geo-Inf. 2019, 8, 150. [Google Scholar] [CrossRef]
- Kollert, A.; Bremer, M.; Löw, M.; Rutzinger, M. Exploring the potential of land surface phenology and seasonal cloud free composites of one year of Sentinel-2 imagery for tree species mapping in a mountainous region. Int. J. Appl. Earth Obs. Geoinf. 2021, 94, 102208. [Google Scholar] [CrossRef]
- Asner, G.P.; Martin, R.E. Airborne spectranomics: Mapping canopy chemical and taxonomic diversity in tropical forests. Front. Ecol. Environ. 2009, 7, 269–276. [Google Scholar] [CrossRef]
- Cho, M.A.; Debba, P.; Mathieu, R.; Naidoo, L.; Van Aardt, J.; Asner, G.P. Improving Discrimination of Savanna Tree Species Through a Multiple-Endmember Spectral Angle Mapper Approach: Canopy-Level Analysis. IEEE Trans. Geosci. Remote Sens. 2010, 48, 4133–4142. [Google Scholar] [CrossRef]
- Nagendra, H.; Rocchini, D. High resolution satellite imagery for tropical biodiversity studies: The devil is in the detail. Biodivers. Conserv. 2008, 17, 3431–3442. [Google Scholar] [CrossRef]
- Naidoo, L.; Cho, M.A.; Mathieu, R.; Asner, G. Classification of savanna tree species, in the Greater Kruger National Park region, by integrating hyperspectral and LiDAR data in a Random Forest data mining environment. ISPRS J. Photogramm. Remote Sens. 2012, 69, 167–179. [Google Scholar] [CrossRef]
- Cao, J.; Liu, K.; Zhuo, L.; Liu, L.; Zhu, Y.; Peng, L. Combining UAV-based hyperspectral and LiDAR data for mangrove species classification using the rotation forest algorithm. Int. J. Appl. Earth Obs. Geoinf. 2021, 102, 102414. [Google Scholar] [CrossRef]
- Mäyrä, J.; Keski-Saari, S.; Kivinen, S.; Tanhuanpää, T.; Hurskainen, P.; Kullberg, P.; Poikolainen, L.; Viinikka, A.; Tuominen, S.; Kumpula, T.; et al. Tree species classification from airborne hyperspectral and LiDAR data using 3D convolutional neural networks. Remote Sens. Environ. 2021, 256, 112322. [Google Scholar] [CrossRef]
- Madonsela, S.; Azong, M.; Mathieu, R.; Mutanga, O.; Ramoelo, A.; Van De Kerchove, R.; Wolff, E. International Journal of Applied Earth Observation and Geoinformation Multi-phenology WorldView-2 imagery improves remote sensing of savannah tree species. Int. J. Appl. Earth Obs. Geoinf. 2017, 58, 65–73. [Google Scholar]
- Van Deventer, H.; Azong, M.; Mutanga, O. Multi-season RapidEye imagery improves the classification of wetland and dryland communities in a subtropical coastal region. ISPRS J. Photogramm. Remote Sens. 2019, 157, 171–187. [Google Scholar] [CrossRef]
- White, F. The Vegetaion of Frica; Natural Resources Research; UNESCO: Paris, France, 1983. [Google Scholar]
- Fassnacht, F.E.; Neumann, C.; Förster, M.; Buddenbaum, H.; Ghosh, A.; Clasen, A.; Joshi, P.K.; Koch, B. Comparison of Feature Reduction Algorithms for Classifying Tree Species With Hyperspectral Data on Three Central European Test Sites. IEEE J. Sel. Top. Appl. Earth Obs. Remote Sens. 2014, 7, 2547–2561. [Google Scholar] [CrossRef]
- Torresan, C.; Berton, A.; Carotenuto, F.; Di Gennaro, S.F.; Gioli, B.; Matese, A.; Miglietta, F.; Vagnoli, C.; Zaldei, A.; Wallace, L. Forestry applications of UAVs in Europe: A review. Int. J. Remote Sens. 2017, 38, 2427–2447. [Google Scholar] [CrossRef]
- Feng, Q.; Liu, J.; Gong, J. UAV Remote Sensing for Urban Vegetation Mapping Using Random Forest and Texture Analysis. Remote Sens. 2015, 7, 1074–1094. [Google Scholar] [CrossRef]
- Lisein, J.; Michez, A.; Claessens, H.; Lejeune, P. Discrimination of Deciduous Tree Species from Time Series of Unmanned Aerial System Imagery. PLoS ONE 2015, 10, e0141006. [Google Scholar] [CrossRef]
- Franklin, S.E.; Ahmed, O.S. 2017 Deciduous tree species classification using object-based analysis and machine learning with unmanned aerial vehicle multispectral data multispectral data. Int. J. Remote Sens. 2018, 39, 5236–5245. [Google Scholar] [CrossRef]
- Gini, R.; Sona, G.; Ronchetti, G.; Passoni, D.; Pinto, L. Improving Tree Species Classification Using UAS Multispectral Images and Texture Measures. Int. J. Geo-Information 2018, 7, 315. [Google Scholar]
- Feng, X.; Li, P. A Tree Species Mapping Method from UAV Images over Urban Area Using Similarity in Tree-Crown Object Histograms. Remote Sens. 2019, 11, 1982. [Google Scholar] [CrossRef]
- Stringer, L.C.; Dougill, A.J.; Mkwambisi, D.D.; Dyer, J.C.; Kalaba, F.K.; Mngoli, M. Challenges and opportunities for carbon management in Malawi and Zambia. Carbon Manag. 2012, 3, 159–173. [Google Scholar] [CrossRef]
- Syampungani, S.; Geldenhuys, C.J.; Chirwa, P.W. Miombo Woodland Utilization and Management, and Impact Perception among Stakeholders in Zambia: A Call for Policy Change in Southern Africa. J. Nat. Resour. Policy Res. 2011, 3, 163–181. [Google Scholar] [CrossRef]
- Shamaoma, H.; Chirwa, P.W.; Ramoelo, A.; Hudak, A.T.; Syampungani, S. The Application of UASs in Forest Management and Monitoring: Challenges and Opportunities for Use in the Miombo Woodland. Forests 2022, 13, 1812. [Google Scholar] [CrossRef]
- DJI. P4 Multispectral User Manual v1.0 2019.12; DJI: Shenzhen, China, 2019. [Google Scholar]
- Snavely, N.; Seitz, S.M.; Szeliski, R. Modeling the World from Internet Photo Collections. Int. J. Comput. Vis. 2007, 6, 245–255. [Google Scholar] [CrossRef]
- Agisoft LLC. Agisoft Metashape User Manual; Agisoft LLC: St. Petersburg, Russia, 2019. [Google Scholar]
- Effiom, A.E.; Van Leeuwen, L.M.; Nyktas, P.; Okojie, J.A.; Erdbrügger, J. Combining unmanned aerial vehicle and multispectral Pleiades data for tree species identification, a prerequisite for accurate carbon estimation. J. Appl. Remote Sens. 2019, 13, 034530. [Google Scholar] [CrossRef]
- Mlambo, R.; Woodhouse, I.H.; Gerard, F.; Anderson, K. Structure from Motion (SfM) Photogrammetry with Drone Data: A Low Cost Structure from Motion (SfM) Photogrammetry with Drone Data: A Low Cost Method for Monitoring Greenhouse Gas Emissions from Forests in Developing Countries. Forests 2017, 8, 68. [Google Scholar] [CrossRef]
- Aguilar, F.J.; Rivas, J.R.; Nemmaoui, A.; Peñalver, A.; Aguilar, M.A. UAV-Based Digital Terrain Model Generation under Leaf-Off Conditions to Support Teak Plantations Inventories in Tropical Dry Forests. A Case of the Coastal Region of Ecuador. Sensors 2019, 19, 1934. [Google Scholar] [CrossRef]
- Hentz, K.M.Â.; Strager, M.P. Cicada (Magicicada) Tree Damage Detection Based on UAV Spectral and 3D Data. Nat. Sci. 2018, 10, 31–44. [Google Scholar]
- Blaschke, T. Object based image analysis for remote sensing. ISPRS J. Photogramm. Remote Sens. 2010, 65, 2–16. [Google Scholar] [CrossRef]
- Shamaoma, H.; Kerle, N.; Alkema, D. Extraction of Flood-Modelling Related Base-Data From Multi-Source Remote Sensing Imagery. In Commission VII, WG/7: Problem Solving Methodologies for Less Developed Countries; Kerle, N., Skidmore, A., Eds.; The International Society for Photogrammetry and Remote Sensing: Enschede, The Netherlands, 2006. [Google Scholar]
- Franklin, S.E. Pixel- and object-based multispectral classification of forest tree species from small unmanned aerial vehicles. J. Unmmaned Veh. Syst. 2017, 6, 195–211. [Google Scholar] [CrossRef]
- Benz, U.C.; Hofmann, P.; Willhauck, G.; Lingenfelder, I.; Heynen, M. Multi-resolution, object-oriented fuzzy analysis of remote sensing data for GIS-ready information. ISPRS J. Photogramm. Remote Sens. 2004, 58, 239–258. [Google Scholar] [CrossRef]
- Jakubowski, M.K.; Li, W.; Guo, Q.; Kelly, M. Delineating individual trees from lidar data: A comparison of vector- and raster-based segmentation approaches. Remote Sens. 2013, 5, 4163–4186. [Google Scholar] [CrossRef]
- Xu, Z.; Shen, X.; Cao, L.; Coops, N.C.; Goodbody, T.R.H.; Zhong, T.; Zhao, W.; Sun, Q.; Ba, S.; Zhang, Z.; et al. Tree species classi fi cation using UAS-based digital aerial photogrammetry point clouds and multispectral imageries in subtropical natural forests. Int. J. Appl. Earth Obs. Geoinf. 2020, 92, 102173. [Google Scholar]
- Clinton, N.; Holt, A.; Scarborough, J.; Yan, L.; Gong, P. Accuracy assessment measures for object-based image segmentation goodness. Photogramm. Eng. Remote Sens. 2010, 76, 289–299. [Google Scholar] [CrossRef]
- ESRI. ArcGIS Desktop: Release 10.7.1; Environmental Systems Research: Redlands, CA, USA, 2019. [Google Scholar]
- Shen, X.; Cao, L.; Yang, B.; Xu, Z.; Wang, G. Estimation of Forest Structural Attributes Using Spectral Indices and Point Clouds from UAS-Based. Remote Sens. 2019, 11, 800. [Google Scholar] [CrossRef]
- Trimble. eCognition Developer User Guide; Trimble Germany GmbH: Munic, Germany, 2018. [Google Scholar]
- Fuller, D.O.; George, T. Canopy phenology of some mopane and miombo woodlands in eastern Zambia. Glob. Ecol. Biogeogr. 1999, 8, 199–209. [Google Scholar] [CrossRef]
- Park, J.Y.; Muller-landau, H.C.; Lichstein, J.W.; Rifai, S.W.; Dandois, J.P.; Bohlman, S.A. Quantifying Leaf Phenology of Individual Trees and Species in a Tropical Forest Using Unmanned Aerial Vehicle (UAV) Images. Remote Sens. 2019, 11, 1534. [Google Scholar] [CrossRef]
- Hsu, C.; Chang, C.; Lin, C. A Practical Guide to Support Vector Classification; National Taiwan University: New Taipei, Taiwan, 2010. [Google Scholar]
- Immitzer, M.; Atzberger, C.; Koukal, T. Tree Species Classification with Random Forest Using Very High Spatial Resolution 8-Band WorldView-2 Satellite Data. Remote Sens. 2012, 4, 2661–2693. [Google Scholar] [CrossRef]
- Sankey, T.; Donager, J.; McVay, J.; Sankey, J.B. UAV lidar and hyperspectral fusion for forest monitoring in the southwestern USA. Remote Sens. Environ. 2017, 195, 30–43. [Google Scholar] [CrossRef]
- Nevalainen, O.; Honkavaara, E.; Tuominen, S.; Viljanen, N.; Hakala, T.; Yu, X.; Hyyppä, J.; Saari, H.; Pölönen, I.; Imai, N.N.; et al. Individual tree detection and classification with UAV-Based photogrammetric point clouds and hyperspectral imaging. Remote Sens. 2017, 9, 185. [Google Scholar] [CrossRef]
- Yancho, J.M.M.; Coops, N.C.; Tompalski, P.; Goodbody TR, H.; Plowright, A. Fine-Scale Spatial and Spectral Clustering of UAV-Acquired Digital Aerial Photogrammetric (DAP) Point Clouds for Individual Tree Crown Detection and Segmentation. IEEE J. Sel. Top. Appl. Earth Obs. Remote Sens. 2019, 12, 4131–4148. [Google Scholar] [CrossRef]
- Hill, R.A.; Wilson, A.K.; George, M.; Hinsley, S.A. Mapping tree species in temperate deciduous woodland using time-series multi-spectral data. Appl. Veg. Sci. 2010, 13, 86–99. [Google Scholar] [CrossRef]
- Key, T.; Warner, T.A.; Mcgraw, J.B.; Fajvan, M.A. A Comparison of Multispectral and Multitemporal Information in High Spatial Resolution Imagery for Classification of Individual Tree Species in a Temperate Hardwood Forest. Remote Sens. Environ. 2001, 75, 100–112. [Google Scholar] [CrossRef]
- Somers, B.; Asner, G.P. Multi-temporal hyperspectral mixture analysis and feature selection for invasive species mapping in rainforests. Remote Sens. Environ. 2013, 136, 14–27. [Google Scholar] [CrossRef]
- Ribeiro, N.S.; de Miranda, P.L.S.; Timberlake, J. Miombo Woodlands in a Changing Sustainability of People the Resilience and Environment: Securing and Woodlands; Ribeiro, N.S., Katerere, Y., Chirwa, P.W., Grundy, I.M., Eds.; Springer Nature: Cham, Switzerland, 2020; Volume 38, pp. 188–189. [Google Scholar]
- Ferreira, M.P.; Zortea, M.; Zanotta, D.C.; Shimabukuro, Y.E.; de Souza Filho, C.R. Mapping tree species in tropical seasonal semi-deciduous forests with hyperspectral and multispectral data. Remote Sens. Environ. 2016, 179, 66–78. [Google Scholar] [CrossRef]
- Yang, G.; Zhao, Y.; Li, B.; Ma, Y.; Li, R.; Jing, J.; Dian, Y. 2019 Tree species classification by employing multiple features acquired from integrated sensors. J. Sensors. 2019, 2019, 3247946. [Google Scholar] [CrossRef]
- Deur, M.; Gašparović, M.; Balenović, I. Tree species classification in mixed deciduous forests using very high spatial resolution satellite imagery and machine learning methods. Remote Sens. 2020, 12, 3926. [Google Scholar] [CrossRef]
- Ferreira, M.P.; Wagner, F.H.; Aragão, L.E.O.C.; Shimabukuro, Y.E.; de Souza Filho, C.R. Tree species classification in tropical forests using visible to shortwave infrared WorldView-3 images and texture analysis. ISPRS J. Photogramm. Remote Sens. 2019, 149, 119–131. [Google Scholar] [CrossRef]
- Xie, Z.; Chen, Y.; Lu, D.; Li, G.; Chen, E. Classification of land cover, forest, and tree species classes with Ziyuan-3 multispectral and stereo data. Remote Sens. 2019, 11, 164. [Google Scholar] [CrossRef]








| Species Code | Tree Species | Common Local Uses | Trees Sampled | Training Samples | Validation Samples |
|---|---|---|---|---|---|
| JP | Julbernardia paniculata | Charcoal, pole, timber | 127 | 89 | 38 |
| IA | Isoberlinia angolensis | Charcoal, timber, pole | 114 | 80 | 34 |
| MM | Marquesia macroura | Poles, charcoal | 108 | 76 | 32 |
| BL | Brachystegia longifolia | Charcoal, bark rope | 64 | 45 | 19 |
| BS | Brachystegia spiciformis | Charcoal, bark rope | 51 | 36 | 15 |
| UAS Flight Parameters | Value |
|---|---|
| Camera model | DJI P4 Multi-spectral |
| Flight height (m) | 100 |
| Flight speed (m/s) | 5 |
| Forward overlap (%) | 85 |
| Side Overlap (%) | 75 |
| Ground resolution (m) | 0.05 |
| Spectral bands | Blue, green, red, red-edge, near infrared |
| Time of flight | 11:30 a.m.–12:30 p.m. |
| Vegetation Index | Equation | Source |
|---|---|---|
| NDVI | NDVI = (nir − red)/(nir + red) | [55] |
| GCC | GCC = green/(blue + green + red) | [56] |
| RCC | (RCC = red/(blue + green + red) | [56] |
| Image Source | OS | US | SE | Accuracy (%) |
|---|---|---|---|---|
| Orthophoto | 0.26 | 0.17 | 0.22 | 78 |
| Orthophoto and CHM | 0.17 | 0.14 | 0.16 | 84 |
| Classes | 25.05.21 Spectral | 15.08.21 Spectral | 24.10.21 Spectral | Multi-Date Spectral | Multi-Date SELECTION (Spectral and Indices) | |||||
|---|---|---|---|---|---|---|---|---|---|---|
| PA% | UA% | PA% | UA% | PA% | UA% | PA% | UA% | PA% | UA% | |
| JP | 61.42 | 53.56 | 93.21 | 84.74 | 79.61 | 72.00 | 95.11 | 93.17 | 96.50 | 96.03 |
| IA | 73.34 | 80.05 | 77.23 | 80.41 | 65.20 | 76.24 | 84.05 | 92.50 | 87.17 | 85.22 |
| MM | 82.44 | 88.25 | 70.08 | 67.45 | 54.17 | 60.58 | 93.86 | 84.35 | 94.88 | 86.24 |
| BL | 58.22 | 67.45 | 86.08 | 79.44 | 57.28 | 44.56 | 86.75 | 72.04 | 92.15 | 85.36 |
| BS | 74.31 | 71.25 | 75.41 | 81.98 | 52.5 | 65.05 | 91.15 | 82.15 | 95.04 | 81.26 |
| S | 65.62 | 67.15 | 98.20 | 100 | 88.75 | 86.30 | 90.52 | 96.01 | 97.42 | 100 |
| OA% | 74.64 | 80.12 | 68.25 | 84.25 | 87.07 | |||||
| Kappa | 0.63 | 0.68 | 0.59 | 0.72 | 0.83 | |||||
Disclaimer/Publisher’s Note: The statements, opinions and data contained in all publications are solely those of the individual author(s) and contributor(s) and not of MDPI and/or the editor(s). MDPI and/or the editor(s) disclaim responsibility for any injury to people or property resulting from any ideas, methods, instructions or products referred to in the content. |
© 2023 by the authors. Licensee MDPI, Basel, Switzerland. This article is an open access article distributed under the terms and conditions of the Creative Commons Attribution (CC BY) license (https://creativecommons.org/licenses/by/4.0/).
Share and Cite
Shamaoma, H.; Chirwa, P.W.; Zekeng, J.C.; Ramoelo, A.; Hudak, A.T.; Handavu, F.; Syampungani, S. Use of Multi-Date and Multi-Spectral UAS Imagery to Classify Dominant Tree Species in the Wet Miombo Woodlands of Zambia. Sensors 2023, 23, 2241. https://doi.org/10.3390/s23042241
Shamaoma H, Chirwa PW, Zekeng JC, Ramoelo A, Hudak AT, Handavu F, Syampungani S. Use of Multi-Date and Multi-Spectral UAS Imagery to Classify Dominant Tree Species in the Wet Miombo Woodlands of Zambia. Sensors. 2023; 23(4):2241. https://doi.org/10.3390/s23042241
Chicago/Turabian StyleShamaoma, Hastings, Paxie W. Chirwa, Jules C. Zekeng, Abel Ramoelo, Andrew T. Hudak, Ferdinand Handavu, and Stephen Syampungani. 2023. "Use of Multi-Date and Multi-Spectral UAS Imagery to Classify Dominant Tree Species in the Wet Miombo Woodlands of Zambia" Sensors 23, no. 4: 2241. https://doi.org/10.3390/s23042241
APA StyleShamaoma, H., Chirwa, P. W., Zekeng, J. C., Ramoelo, A., Hudak, A. T., Handavu, F., & Syampungani, S. (2023). Use of Multi-Date and Multi-Spectral UAS Imagery to Classify Dominant Tree Species in the Wet Miombo Woodlands of Zambia. Sensors, 23(4), 2241. https://doi.org/10.3390/s23042241

