Abstract
The concentration of an electrolyte is an optical characteristic of drinking water. We propose a method based on the multiple self-mixing interference with absorption for detecting the Fe2+ indicator as the electrolyte sample at a micromolar concentration. The theoretical expressions were derived based on the lasing amplitude condition in the presence of the reflected lights considering the concentration of the Fe2+ indicator via the absorption decay according to Beer’s law. The experimental setup was built to observe MSMI waveform using a green laser whose wavelength was located in the extent of the Fe2+ indicator’s absorption spectrum. The waveforms of the multiple self-mixing interference were simulated and observed at different concentrations. The simulated and experimental waveforms both contained the main and parasitic fringes whose amplitudes varied at different concentrations with different degrees, as the reflected lights participated in the lasing gain after absorption decay by the Fe2+ indicator. The experimental results and the simulated results showed a nonlinear logarithmic distribution of the amplitude ratio, the defined parameter estimating the waveform variations, versus the concentration of the Fe2+ indicator via numerical fitting.
1. Introduction
Laser self-mixing interference (SMI), a remarkably universal phenomenon [1,2,3], has been popular in recent years [4,5,6,7]; it occurs when the emitting light is re-injected into the laser cavity after reflecting or back-scattering caused by the external reflector [8,9,10,11,12]. As a result, the re-injected beam modulates the laser characteristics, such as the laser intensity. Therefore, modulated laser intensity appears as a periodical cosine function consisting of several fringes in the time domain at a weak feedback regime [2,3]. Laser self-mixing interference (also as known as the laser feedback effect) has been widely applied to measure physical parameters, such as velocity [13,14,15,16]., displacement [17,18,19], vibration [20,21,22], distance [23,24,25,26], flow [27,28,29,30], angle [31,32,33,34], and refractive index [35,36].
The multiple reflections in an external cavity can often be ignored if there is a rough reflector, such as white paper, that makes it difficult to generate multiple reflections in such an external cavity. This is because only part of the light is able to re-enter the laser cavity with a finite facet while the diffusive effect causes that to be much larger than the laser facet as the rays of the diffusive light propagate in different directions. Provided that the surface of the external reflector is smooth (e.g., a plane mirror), the reflector is able to generate multiple reflections in the external cavity since specular reflection makes the rays of the reflected light propagate in the same direction. With multiple reflections of the light in the external cavity within the laser output facet and the smooth reflector, the reflected lights will be able to re-enter the laser cavity, with every reflection causing multiple laser self-mixing interference (MSMI) [37,38,39,40,41], whose fringe numbers will be folded corresponding to the reflection orders. Every reflected beam re-injected in the laser cavity will result in the superposition of the fringes in the time domain.
In this work, it was observed that the absorption decay by absorbent solutions in the external cavity could noticeably affect the MSMI waveform in the time domain via the reflected lights. The intensities of the reflected light would decrease to various degrees, and the decrement degree could be related to both the reflection orders and the material concentration for a specific electrolyte, such as Fe2+. The MSMI waveform contained the main fringes and parasitic fringes that captured the absorption decay, as every reflected light’s intensity corresponded to the amplitudes of the fringes. The main fringe and parasitic fringe usually experienced different decrements, and the difference was related to the material concentration.
We propose a novel method for detecting Fe2+ at a micromolar concentration based on multiple self-mixing interference using a fiber laser. The laser intensity equations were derived considering the multiple reflected lights absorbed by the absorption material in the external cavity based on lasing conditions, and the waveforms were simulated according to the derived equation at different concentrations of the Fe2+ indicator. The experimental setup was constructed to observe the MSMI waveform using a green laser whose wavelength was located in the extent of the Fe2+ indicator’s absorption spectrum. The MSMI waveforms around the micromolar concentrations of the Fe2+ indicator were obtained in the time domain experimentally. Both the simulated and experimental waveforms contained the main and parasitic fringes, and a parameter A2/A1 indicating the amplitude ratio of the parasitic fringes versus the main fringes was defined to determine the distribution between the concentration and the MSMI waveforms using the numerical fitting, specifically, by estimating the R2 of the fitting.
2. Materials and Methods
As shown in Figure 1, the experimental system consisted of a laser (L: 532 nm), an iris aperture (IA), a cuvette with the Fe2+ indicator sample (FE), an optical splitter (OS), a photoelectric detector (D), a loudspeaker (LS), and a signal generator (SG). A cuvette, a type of highly transparent container that guaranteed the laser can pass through without decay, was employed to change the absorption decay in the external cavity by diluting the Fe2+ indicator. The loudspeaker with a high-level reflector was employed to continuously generate low-frequency displacement to modulate the laser wave phase carrying the concentration of the Fe2+ indicator sample in the time domain. The high-reflecting plane mirror was employed to act as one side of the external cavity. Furthermore, the plane mirror could guarantee the homocentricity of the reflected wave, and the rays of the laser could be considered in the same direction, with the reflected rays persisting collinear to the optical axis of the laser propagation direction. Although the sample was diluted with water, there is only the absorption of Fe2+ since the absorption spectrum of Fe2+ lay in the green band, within which there was nearly no absorption of the water [42].
Figure 1.
Scheme of the experimental setup (L: laser, IA: iris aperture, FE: a cuvette of Fe2+ indicator, OS: optical splitter, D: detector, SC: oscilloscope, LS: loudspeaker with a reflector, and SG: signal generator).
The Fe2+ indicator, a chemical complex Fe(C12H8N2)32+ that can be obtained from the ferrous ion and the phenanthroline, served as a type of absorption sample in the experiment. The standard concentration of the solution was 0.02 mol/L and was diluted with pure water, and we determined the concentration with a photometer until the Fe2+ in the dilution reached the micromolar concentration.
The single longitudinal mode laser coupled with a fiber end of armor without isolators (SMI could not occur since an isolator might prevent the reflected light back into the laser cavity) acted as the light source of 4 mm diameter with 20 mW output at 532 nm, whose wavelength was located within the Fe2+ absorption spectrum. The loudspeaker was driven by a continuous sine function generated by a signal generator, whose amplitude and frequency were selected as 400 mVpp (in terms of μm magnitude) and 2 KHz, respectively. The absorption decay varied with the Fe2+ concentration of the indicator sample in the rectangular cuvette with a width of 1 cm, which was equal to the optical depth of the diluting sample. The laser was split into two beams by the optical splitter. One forward beam irradiated the mirror on the loudspeaker surface perpendicularly, and the backward reflected E1 and E2 waves after one round trip and two round trips turned back into the laser through the original path to generate the multiple self-mixing interference signal. Meanwhile, the alternating current (AC) photoelectric detector was used to monitor the other beam after magnification to obtain the multiple self-mixing interference signal. Because the laser wave phase was modulated versus time, the detected multiple self-mixing interference was also a time-domain signal, which could be obtained via an oscilloscope.
In order to analyze the experimental results, we derived the theoretical equations based on the three-mirror model [43,44,45] considering the absorption decay of the multiple reflected lights in the external cavity. To derive the lasing conditions in multiple self-mixing interference, including amplitude and phase conditions, the laser amplitude had to be considered with the forward and backward traveling waves after one round trip and two round trips in the external cavity [46]. The backward traveling waves injected lights back into the laser cavity, changing the laser amplitude by the gain coefficient g. If E0(t) accounts for the laser free amplitude without multiple self-mixing interference, the wave amplitude EL in the laser cavity after one round trip can be expressed as
where the amplitude reflectivity r1 and r2 of the laser cavity consist of the input and output facets, v denotes the light frequency, φ0 is the initial phase, L is the laser cavity length, and λ is the light wavelength.
EL = r1r2·exp[−j·4πL/λ) + gL]·E0,
As shown in Figure 2, the reflected lights E1 and E2 were treated as a part of the laser cavity after multiple reflections. Therefore, the space between the output facet and the external reflector was treated as an external cavity according to the lasing condition. The absorption dilution in the external cavity would decrease the first and second reflected lights if the wave expression was multiplied by the amplitude parameter, indicating that the wave amplitude would be scaled up and down according to the value of this parameter. The wave amplitude E1 of the first reflected light after one round trip in the external cavity can be expressed as
where l is the effective optical length of the external cavity, r3 is the amplitude reflectance of the external reflector, t2 is the amplitude transmittance of the output facet, and f is the amplitude transmittance of the absorption dilution in the external cavity.
E1 = r1(t2)2r3f2·exp[−j·4π(L + l)/λ) + gL]·E0,
Figure 2.
MSMI model with absorption dilution in an external cavity.
The wave amplitude E2 of the second reflected light can be expressed by
after two round trips in the external cavity. The varying laser amplitude E, considering multiple self-mixing interference, can therefore be expressed by
E2 = r1r2(t2)2(r3)2f4·exp[−j·4π(L + 2l)/λ + gL]·E0,
E = EL + E1 + E2 = r1r2·exp[−j·4πL/λ) + gL]·E0 +
r1(t2)2r3f2·exp[−j·4π(L + l)/λ) + gL]·E0 + r1r2(t2)2(r3)2f4·exp[−j·4π(L + 2l)/λ + gL]·E0.
r1(t2)2r3f2·exp[−j·4π(L + l)/λ) + gL]·E0 + r1r2(t2)2(r3)2f4·exp[−j·4π(L + 2l)/λ + gL]·E0.
Once the laser output is steady, the laser with multiple feedbacks from the external cavity must satisfy the condition E = E0, yielding
exp[−j·4πL/λ) + gL]{r1r2 + r1(t2)2r3f2·exp[−j·4πl/λ) + r1r2(t2)2(r3)2f4·exp[−j·4π(2l)/λ]} = 1.
We can define the phase shifting of one round trip in the external cavity as φ = 4πl/λ, with the amplitude coefficients of the first and second reflected lights as α = r1(t2)2r3f2 and β = r1r2(t2)2(r3)2f4 and obtain the amplitude condition
where φ1 = φ0 + φ and φ2 = φ0 + 2φ denote the phases of E1 and E2, respectively. Because the external cavity will usually be tilted in the experiment to generate the MSMI waveform, φ2 will not be precisely equal to φ1. Therefore, the parameter φ0 was introduced to denote the phase resulting from the tilted external cavity, whose value would be assigned in the simulation to satisfy the experiment results.
r1r2·exp[−j(4πL/λ) + gL][1 + α/r1r2·exp(−jφ1) + β/r1r2·exp(−jφ2)] = 1,
The left term of Equation (6) above was complex while the right term was real, so the imaginary part of the left term had to be zero to satisfy the equation. To separate the real and imaginary parts of the left term, we assumed a complex parameter
to account for the amplitude and optical path of the feedback wave with the real part Re(z) and imaginary part Im(z). The exponent terms in the equation corresponded to part of the wave phase in the exponential form, so we transferred the complex parameter into its triangular format. After the real and imaginary parts were separated, two expressions of gL and θ were obtained:
z = Re(z) + j·Im(z) ={1 + α/r1r2·exp(−jφ1) + β/r1r2·exp(−jφ2)},
gL = −ln|r1r2(1 + α·exp(−jφ1) + β·exp(−jφ2))|/2.
The real and imaginary parts were both defined to introduce the argument θ of z, to analyze the optical phase condition. The argument θ had to satisfy the following phase condition:
to ensure exp[-j(4πL/λ + θ)] = 1. Thus, the complex parameter z was obtained precisely after the transformation of the exponent terms to triangle forms, and the equation was just derived on the condition of the imaginary part inside the exponent term and the real part outside the exponent term. In the logarithm of the equation, the expression of the gain coefficient g was obtained after derivation:
θ = arg(z) = arg[1 + α·exp(−jφ1) + β·exp(−jφ2)] = 2π−2πL/λ,
r1r2|z|·exp(gL)·exp{−j(4πL/λ + θ)} = 1.
The argument θ of z depended on the real part Re(z) and imaginary part Im(z)
with the approximate conditions of r1r2 ≈ 1, α << 1, and β << 1, as the output facet was a high-level reflection mirror.
tanθ = Im(z)/Re(z) ≈ α·sin(−φ1) + β·sin(−φ2)/(r1r2),
θ ≈ α·sin(−φ1) + β·sin(−φ2)/(r1r2).
The argument θ was inserted into the expression
thus,
yielding
with the approximate relation of {[Im(z)]2 + [Re(z)]2}1/2 ≈Re(z) if Re(z) >> Im(z) under the condition of α << 1 and β << 1, as mentioned above. Thus,
with the approximate relation of
gL= −ln(r1r2 + r1r2α·exp(−jφ1) + r1r2β·exp(−jφ2))/2.
gL= −ln(r1r2|z|)/2= −ln(r1r2) /2 −ln|z|/2,
gL= −ln(r1r2)/2 − ln|z|/2= −ln(r1r2) /2 − [Re(z)]/2,
gL= −ln(r1r2)/2 − ln[Re(z)]/2= −ln(r1r2) /2 − [α·cosφ1/(r1r2) + β·cosφ2/(r1r2)]/2,
g= −ln[1 + α·cosφ1/(r1r2) + β·cosφ2/(r1r2)] = α·cosφ1/(r1r2) + β·cosφ2/(r1r2).
Thus, we could obtain the cavity gain g with the multiple self-mixing interference
g = −ln(r1r2)/2L − [α·cosφ1/(r1r2) + β·cosφ2/(r1r2)]/2L.
The free gain coefficient g0 could be obtained as g0 = −ln(r1r2)/2L without cosine feedback terms. Therefore, the influence of multiple self-mixing interference on the gain coefficient was estimated by Δg, according to
Δg= g − g0 = −[α·cosφ1/(r1r2) + β·cosφ2/(r1r2)]/2L.
Finally, the varying lasing intensity I versus the free lasing intensity I0 with Δg in the laser cavity could be expressed as
I/I0 = 1 − Δg·2L = 1 + α·cosφ1/(r1r2) + β·cosφ2/(r1r2).
The expression of I denoted the laser output intensity modulated by the feedback beams, which were related to the transmittance f of the Fe2+ indicator sample in the external cavity once the experimental setup was complete. Since the feedback beams passed through the Fe2+ indicator sample at different times during their round trips in the external cavity, the amplitude coefficients in the front of E1 and E2 had to depend on the absorption decay and the reflection decay in the external cavity. Therefore,
and
and the transmittance of the sample followed
according to Beer’s law, where ε is the molar absorption coefficient, and b and c are the optical depth and the concentration of the Fe2+ indicator sample, respectively.
α = r1(t2)2r3 f2,
β = r1r2(t2)2(r3)2f4,
f = 10−εbc,
In the expression, the phase φ of the beam that underwent one round trip could be expressed as
where λ is the laser wavelength, and the initial phase of the wave was set to φ0 = −π/2 to make the simulated waveform close to the experimental waveform. Because the external cavity length varied slightly following the sine function Asin(wt) versus time t with amplitude A = 2 μm and frequency w = 2 kHz, the length of the external cavity l = 1.8 m for the phase φ was also modulated periodically by a sine-like signal in the time domain carrying the concentration c of the Fe2+ indicator sample.
φ = 4π[l + Asin(wt)]/λ,
3. Results
3.1. Simulated Results
To study the absorption decay in an external cavity, the waveforms of the varying lasing intensities I versus I0 at different Fe2+ concentrations c were simulated with the assigned parameters of r1 = 1.0, r2 = 0.97 [43], r3 = 0.99, b = 1 cm, and ε = 7955 L/(mol·cm). These parameters were assigned according to both the theoretical model and the experimental setup. The molar absorption coefficient of the diluent at the laser wavelength was estimated by measuring the diluent absorbance at different concentrations. For the laser cavity consisting of the input and output facets with reflectivity values of r1 and r2, we considered the input facet as a totally reflective mirror (r1 = 1) corresponding to the theoretical model without intensity loss in the inner cavity, while the output facet was a partially reflective mirror with a specific value of 0.97. The external reflector was a highly reflective mirror with a reflectivity of 0.99. If the absorption sample in the external cavity was the Fe2+ indicator whose concentration c ranged from 4.8 × 10−6 mol/L to 1.4 × 10−5 mol/L, the absorption decay depended on its molar absorption coefficient ε = 7955 L/(mol·cm) at the experimental laser wavelength and effective optical depth b = 1 cm, neglecting the intensity decay of the highly transparent container.
Because the phase φ was modulated periodically by the external reflector, the multiple self-mixing interference signals were in the time domain, but the amplitudes of the fringes were related to the concentration c, as shown in Figure 3. Meanwhile, Δg was related to the sum of feedback waves E1 and E2, which were decayed by the absorption in the external cavity. Thus, the feedback wave E1 caused some main fringes, while E2 caused some low parasitic fringes. Moreover, if the Fe2+ indicator was used as the absorption sample; it enabled the absorption decay for both E1 and E2 when the waves passed through the sample with different round trips. The peak values A1,p and A2,p and valley values A1,v and A2,v of the main and parasitic fringes were selected to obtain the amplitudes A1 and A2. The main and parasitic fringes were both decayed by the absorption of Fe2+ according to Beer’s law, and the parasitic fringe amplitude A2,s = (A2,p − A2,v)/2 decayed much more dramatically than the main fringe amplitude A1,s = (A1,p − A1,v)/2 with increasing concentration c of Fe2+ due to the difference in absorption decay between E1 and E2 in the external cavity.
Figure 3.
Simulated waveform at specific Fe2+ indicator concentrations: (a) 1.1 × 10−5 mol/L, (b) 7.7 × 10−6 mol/L, and (c) and 4.8 × 10−6 mol/L.
3.2. Experimental Results
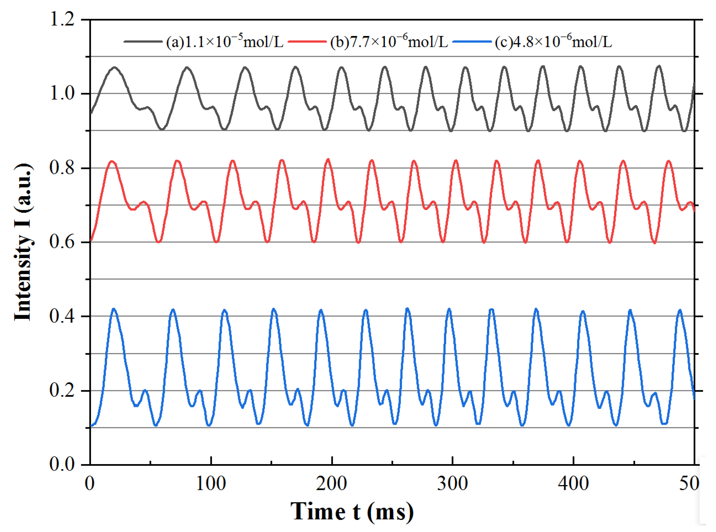
The multiple self-mixing interference signal was generated by the first and second reflected lights E1 and E2 from the external cavity. The reflected lights after one and two round trips entered back into the laser cavity and mixed with the wave field in the inner laser cavity. The waveform of the output laser consisted of the superposition of the two-fold signals, as the optical phase of E2 was approximately twice that of E1 after two round trips in the external cavity. As mentioned in Section 3.1, the self-mixing interference signal was affected by the Fe2+ indicator of the external cavity via the first and second reflected lights. Thus, the experimental signal at different absorption decays could be obtained by varying the Fe2+ concentration.
We obtained experimental waveforms at different Fe2+ concentrations from 4.8 × 10−6 mol/L to 1.4 × 10−5 mol/L, as shown in Figure 4. When the concentration was quite low, such as approximately 10−7 mol/L, a change in A2,e/A1,e could barely be obtained from the waveform. However, when the concentration reached a high value of more than 10−5 mol/L, the parasitic fringes became very imperceptible, and A2,e/A1,e was nearly zero.
Figure 4.
Experimental waveform at specific Fe2+ indicator concentrations: (a) 1.1×10−5 mol/L, (b) 7.7×10−6 mol/L, and (c) 4.8×10−6 mol /L.
As shown in Figure 4, the specific self-mixing interference signal in the time domain showed that the waveform line of lasing intensity contained the main fringes and parasitic fringes, like the simulated waveforms. The numerical points of the experimental waveforms were obtained using the digital oscilloscope and selected the peak and valley values of the main and parasitic fringes to calculate the amplitudes A1,e and A2,e of the main and parasitic fringes. If the optical decay of the external cavity changed with the Fe2+ concentration, the amplitudes of the main fringes and parasitic fringes in the waveform line scaled up and down at different degrees as E1 and E2 underwent one and two round trips through the Fe2+ indicator, as the simulation results predicted.
We noticed that the waveform obtained in the experiment was not equal to the simulated waveform, as the experimental results were obtained after photoelectric conversion. The experimental results were electronic waveforms, while the simulated results were optical waveforms. There was a conversion coefficient of the photoelectric detector when the experimental results were transferred from optical signals to electronic signals, and the waveforms were scaled down overall. This meant that the amplitudes of the experimental main and parasitic fringes A1,e and A2,e were the products of the actual intensity and photoelectric conversion coefficient. Therefore, the amplitude ratio A2,e/A1,e was employed to estimate the relationship between the waveforms and the concentration, as A2,e/A1,e could eliminate the photoelectric conversion coefficient.
4. Discussion
To describe the simulation results, the amplitude ratio was defined as A2,s/A1,s, which gradually decreased with the Fe2+ concentration, as shown in Figure 5. Although the points in the figure show a linear trend, the distribution was not entirely linear. After multiple attempts of numerical fitting with the linear formula and the nonlinear logarithmic formula, we determined that a nonlinear formula could better fit the simulated A2,s/A1,s, based on the R2 of the fitting. The amplitude ratio A2,s/A1,s was employed to fit with a concentration c, following the fitting logarithmic formula in the 95% confidence band and 95% prediction band, and the fitting result was A2,s/A1,s = −5.15 − 0.52 ln (c + 3.77 × 10−5) with a goodness of fit R2 = 0.9998.
Figure 5.
Numerical fitting of the simulation results around micromolar Fe2+ concentration.
To estimate the relationship between the experimental results and the Fe2+ concentration, the points of the amplitude ratio A2,e/A1,e around micromolar Fe2+ concentration are presented in Figure 6, with the simulated A2,s/A1,s points at the same concentration also presented for comparison. The distribution was not entirely linear and was not as it appeared, similar to the fitting result in the simulation section. After the comparison of the fitting results using the linear and logarithmic formulas based on the fitting parameter R2, we determined that a nonlinear logarithmic formula might better fit the simulated A2,s/A1,s since R2 = 0.9966 for linear fitting and R2 = 0.9979 for logarithmic fitting. The amplitude ratio A2,s/A1,s was employed to fit with the concentration c following the fitting logarithmic formula in the 95% confidence band and 95% prediction band, and the fitting result was A2,e/A1,e = −5.08 − 0.52 ln (c + 4.34 × 10−5) with a goodness of fit R2 = 0.9979. The goodness of fit indicated that the fitting logarithmic formula was suitable for both simulated and experimental results. In addition, the simulated results located in the prediction band calculated from the fitting results of the experimental results are shown in Figure 6.
Figure 6.
Numerical fitting of the experimental results around the micromolar Fe2+ concentration.
Typically, absorbance (A = lg(1/t) = ε·b·c), also known as the optical density, consists of the quantity of light absorbed by the Fe2+ indicator. We measured the output power to calculate the absorbance, as shown in Figure 7, before and after the laser passed through the Fe2+ indicator at different concentrations with the same laser in the experimental setup and with an optical power meter. Under the condition of b = 1 cm, the slope of the absorbance versus the Fe2+ concentration was estimated as the molar absorption coefficient ε = 7955 L/(mol·cm) at the wavelength of the laser. We noticed that the value of the optical power meter could barely be read when the concentration was less than 10−4 mol/L, as the meter was not sufficiently sensitive in this concentration regime. Furthermore, this made observations more difficult around 10−6 mol/L. We considered that the attributes of the reflected light carrying the absorption decay could be magnified in the laser cavity.
Figure 7.
Absorbance of the Fe2+ indicator at different concentr1ations.
5. Conclusions
We proposed a novel method for measuring Fe2+ at a micromolar concentration based on multiple self-mixing interference. The absorption decay by the Fe2+ indicator in multiple self-mixing interference was observed, and we obtained its experimental waveforms around a micromolar concentration in an external cavity modulated by a periodic signal carrying the amplitude decay in the periodic form. The theoretical waveforms were simulated based on the lasing amplitude condition, considering multiple reflected lights. The experiment was conducted under the condition of Fe2+ indicator dilution at different concentrations in the external cavity. The waveform consisted of the main and parasitic fringes in the time domain and the amplitude decay of the fringes with different degrees, which was due to the absorption of Fe2+ indicator dilution. The experimental and simulated waveforms exhibited a similar trend when compared with the Fe2+ indicator concentration. Therefore, it was the absorption of the Fe2+ indicator that resulted in amplitude decay in multiple self-mixing interference.
This work assessed the combination of optical interference and the absorption spectrum, which could be useful for medical and environmental science or other optical spectrum cases. The absorption material corresponds to its spectral line, and nearly every laser will have a single mode or multiple modes, so a laser chosen according to the material’s absorption spectrum will be vital for successful experiments. Furthermore, the work employed a single longitudinal mode laser with a narrow spectrum band, which might only be useful for some specific types of electrolytes even if the absorption spectrum of the electrolyte lies around the laser wavelength. Therefore, we would have to find another laser with a different wavelength to detect another electrolyte if its absorption spectrum is not located in the same spectrum band. However, a kind of white laser with a wide spectrum band has been invented in recent years [47,48]; using this laser, more kinds of electrolytes will be detected in our future work.
Author Contributions
Conceptualization, W.S.; software, Z.Y.; data curation, G.F. and Z.C.; formal analysis, L.H. and Q.C.; writing—original draft preparation, W.S.; writing—review and editing, W.S.; supervision, Z.G. All authors have read and agreed to the published version of the manuscript.
Funding
This research was funded by Natural Science Research Project of Educational Department of Anhui Province, grant numbers KJ2021A0668 and KJ2020A05280. This research was also funded by Fuyang Normal University Youth Fund, grant number XJRCXM202233, and Collaborative Education Project of Education Ministry, grant number 202102153069.
Conflicts of Interest
The authors declare no conflict of interest.
References
- Donati, S. Laser interferometry by induced modulation of cavity field. J. Appl. Phys. 1978, 49, 495. [Google Scholar] [CrossRef]
- Taimre, T.; Nikolic, M.; Bertling, K.; Lim, Y.L.; Bosch, T.; Rakic, A.D. Laser feedback interferometry: Atutorial on the self-mixing effect for coherent sensing. Adv. Opt. Photonics 2015, 7, 570–631. [Google Scholar] [CrossRef]
- Donati, S.; Norgia, M. Overview of self-mixing interferometer applications to mechanical engineering. Opt. Eng. 2018, 57, 051506. [Google Scholar] [CrossRef]
- Siddiqui, A.A.; Zabit, U.; Bernal, O.D. Fringe detection and displacement sensing for variable optical feedback-based self-mixing interferometry by using deep neural networks. Sensors 2022, 22, 9831. [Google Scholar] [CrossRef]
- Li, R.F.; Hu, Z.J.; Li, H.T.; Zhao, Y.K.; Liu, K.Y.; Tu, Y.R.; Du, Z.T.; Yu, Q.; Yu, B.; Lu, L. All-fiber laser-self-mixing interferometer with adjustable injection intensity for remote sensing of 40 km. J. Lightwave Technol. 2022, 40, 4863–4870. [Google Scholar] [CrossRef]
- Tu, Y.R.; Zhao, Y.Y.; Zhu, D.S.; Li, R.F.; Liu, K.Y.; Xu, L.; Zhang, L.; Cao, Z.G.; Yu, B.L.; Lu, L. Optical feedback interferometry with 40 km transmission distance based on a distributed feedback fiber laser. Opt. Lett. 2021, 46, 3805–3808. [Google Scholar] [CrossRef] [PubMed]
- Zhu, D.S.; Zhao, Y.Y.; Tu, Y.R.; Li, H.T.; Xu, L.; Yu, B.L.; Lu, L. All-fiber laser feedback interferometer using a DBR fiber laser for effective sub-picometre displacement measurement. Opt. Lett. 2021, 46, 114–117. [Google Scholar] [CrossRef]
- Tan, Y.D.; Zhu, K.Y.; Zhang, S.L. New method for lens thickness measurement by the frequency-shifted confocal feedback. Opt. Commun. 2016, 380, 91–94. [Google Scholar] [CrossRef]
- Zhao, Y.Y.; Zhu, D.S.; Chen, Y.Z.; Tu, Y.R.; Bi, T.Z.; Zhao, Y.K.; Yu, B.L.; Lu, L. All-fiber self-mixing laser Doppler velocimetry with much less than 0.1 pW optical feedback based on adjustable gain. Opt. Lett. 2020, 45, 3565–3568. [Google Scholar] [CrossRef] [PubMed]
- Lu, L.P.; Hu, L.; Li, Z.; Qiu, L.R.; Huang, W.C.; Wang, X.L. High precision self-mixing interferometer based on reflective phase modulation method. IEEE Access 2020, 8, 204153. [Google Scholar] [CrossRef]
- Hao, H.; Lin, H.; Chen, J.B.; Xia, W.; Guo, D.M.; Wang, M. Enhanced laser self-mixing interferometry based on tunable fabry-perot filter. Opt. Laser Technol. 2021, 135, 106666. [Google Scholar] [CrossRef]
- Wu, Y.; Tan, Y.D.; Zeng, Z.L.; Zhang, S.L. Note: High-performance HeNe laser feedback interferometer with birefringence feedback cavity scanned by piezoelectric transducer. Rev. Sci. Instrum. 2013, 84, 056103. [Google Scholar] [CrossRef] [PubMed]
- Chen, J.B.; Wang, X.M.; Wu, Y.B.; Yang, Y.T.; Qiu, M.Y.; Wang, M.; Li, Y.Z. Ultralow Doppler frequency extraction for the self-mixing dual-frequency laser velocimetry. Appl. Opt. 2022, 61, 4687–4692. [Google Scholar] [CrossRef] [PubMed]
- Wu, S.; Wang, D.H.; Xiang, R.; Zhou, J.F.; Ma, Y.C.; Gui, H.Q.; Liu, J.G.; Wang, H.Q.; Lu, L.; Yu, B.L. All-fiber configuration laser self-mixing doppler velocimeter based on distributed feedback fiber laser. Sensors 2016, 16, 1179. [Google Scholar] [CrossRef] [PubMed]
- Magnani, A.; Norgia, M. Spectral analysis for velocity measurement through self-mixing interferometry. IEEE J. Quantum Electron. 2013, 49, 765–769. [Google Scholar] [CrossRef]
- Kliese, R.; Rakic, A.D. Spectral broadening caused by dynamic speckle in self-mixing velocimetry sensors. Opt. Express 2012, 20, 18757–18771. [Google Scholar] [CrossRef]
- Donati, S.; Rossi, D.; Norgia, M. Single channel self-mixing interferometer measures simultaneously displacement and tilt and yaw angles of a reflective target. IEEE J. Quantum Electron. 2015, 51, 1400108. [Google Scholar] [CrossRef]
- Norgia, M.; Donati, S. A displacement-measuring instrument utilizing self-mixing interferometry. IEEE Trans. Instrum. Meas. 2003, 52, 1765–1770. [Google Scholar] [CrossRef]
- Guo, D.; Wang, M.; Hao, H. Displacement measurement using a laser feedback grating interferometer. Appl. Opt. 2015, 54, 9320–9325. [Google Scholar] [CrossRef]
- Jha, A.; Azcona, F.J.; Royo, S. Frequency-modulated optical feedback interferometry for nanometric scale vibrometry. IEEE Photonics Technol. Lett. 2016, 28, 1217–1220. [Google Scholar] [CrossRef]
- Donati, S.; Norgia, M.; Giuliani, G. Self-mixing differential vibrometer based on electronic channel subtraction. Appl. Opt. 2006, 45, 7264–7268. [Google Scholar] [CrossRef] [PubMed]
- Giuliani, G.; Pietra, S.B.; Donati, S. Self-mixing laser diode vibrometer. Meas. Sci. Technol. 2003, 14, 24–32. [Google Scholar] [CrossRef]
- Norgia, M.; Giuliani, G.; Donati, S. Absolute distance measurement with improved accuracy using laser diode self-mixing interferometry in a closed loop. IEEE Trans. Instrum. Meas. 2007, 56, 1894–1900. [Google Scholar] [CrossRef]
- Norgia, M.; Magnani, A.; Pesatorim, A. High resolution self-mixing laser rangefinder. Rev. Sci. Instrum. 2012, 83, 045113. [Google Scholar] [CrossRef] [PubMed]
- Zhao, Y.K.; Wang, C.C.; Zhao, Y.Y.; Zhu, D.S.; Lu, L. An all-fiber self-mixing range finder with tunable fiber ring cavity laser source. J. Lightwave Technol. 2020, 8, 204153–204159. [Google Scholar] [CrossRef]
- Cavedo, F.; Esmaili, P.; Norgia, M. Self-Mixing Laser Distance-Sensor Enhanced by Multiple Modulation Waveforms. Sensors 2022, 22, 8456. [Google Scholar] [CrossRef] [PubMed]
- Norgia, M.; Pesatori, A.; Donati, S. Compact laser diode instrument for flow measurement. IEEE Trans. Instrum. Meas. 2016, 65, 1478–1483. [Google Scholar] [CrossRef]
- Wang, H.; Shen, J. Power spectral density of self-mixing signals from a flowing Brownian motion system. Appl. Phys. B 2012, 106, 127–134. [Google Scholar] [CrossRef]
- Nikolic, M.; Lim, Y.L.; Bertling, K.; Taimre, T.; Rakic, A.D. Multiple signal classification for self-mixing flowmetry. Appl. Opt. 2015, 54, 2193–2198. [Google Scholar] [CrossRef]
- Norgia, M.; Pesatori, A.; Rovati, L. Self-mixing laser Doppler spectra of extracorporeal blood flow: A theoretical and experimental study. IEEE Sens. J. 2012, 12, 552–557. [Google Scholar] [CrossRef]
- Zhao, Y.K.; Xiang, R.; Huang, Z.T.; Chen, J.S.; Zhai, L.H.; Wang, X.; Ma, Y.C.; Yu, B.L.; Lu, L. Research on the multi-longitudinal mode laser self-mixing static angle-measurement system using a right-angle prism. Measurement 2020, 162, 107906. [Google Scholar] [CrossRef]
- Zhao, Y.K.; Guo, Y.; Wang, C.C.; Yang, B.; Ma, Y.C.; Lu, L. Design and experimental study of the biorthogonal linkage laser self-mixing angle sensor. Opt. Commun. 2020, 475, 126248. [Google Scholar] [CrossRef]
- Giuliani, G.; Donati, S.; Passerini, M.; Bosch, T. Angle measurement by injection detection in a laser diode. Opt. Eng. 2021, 40, 95–99. [Google Scholar] [CrossRef]
- Zhao, Y.K.; Fan, X.W.; Wang, C.C.; Lu, L. An improved intersection feedback micro-radian angle-measurement system based on the Laser self-mixing interferometry. Opt. Lasers Eng. 2022, 126, 105866. [Google Scholar] [CrossRef]
- Donadello, S.; Finazzi, V.; Demir, A.G.; Previtali, B. Time-resolved quantification of plasma accumulation induced by multi-pulse laser ablation using self-mixing interferometry. J. Phys. D Appl. Phys. 2020, 53, 495201. [Google Scholar] [CrossRef]
- Chen, C.; Zhang, Y.; Wang, X.; Wang, X.; Huang, W. Refractive index measurement with high precision by a laser diode self-mixing interferometer. IEEE Photon. J. 2015, 7, 2600506. [Google Scholar] [CrossRef]
- Jiang, C.L.; Wen, X.; Li, C.W. Multiple self-mixing interference based on phase modulation and demodulation for vibration measurement. App. Optics 2017, 56, 1006–1011. [Google Scholar] [CrossRef]
- Shi, L.S.; Guo, D.M.; Cui, Y.F.; Hao, H.; Xia, W.; Wang, W.P.; Ni, X.Q.; Wang, M. Design of a multiple self-mixing interferometer for a fiber ring laser. Opt. Lett. 2018, 43, 4124–4127. [Google Scholar] [CrossRef]
- Hang, Y.T.; Wang, R.; Wei, Z.; Wang, X.L.; Xu, H.Z.; Sun, H.F.; Huang, W.C. Broad range and high precision self-mixing interferometer based on spectral analysis with multiple reflections. IEEE Sens. J. 2019, 19, 926–932. [Google Scholar]
- Sun, H.F.; Zhang, Y.T.; Chen, H.Q.; Xiong, Y.B.; Huang, W.C.; Wang, X.L.; Xu, H.Z. Large-range nanoscale self-mixing interferometer based on multiple reflections and even-power fast algorithm. Opt. Commun. 2019, 443, 160–165. [Google Scholar] [CrossRef]
- Wang, X.L.; Lv, L.P.; Huang, W.C. Laser self-mixing interferometer based on multiple reflections and phase-modulation technique. Photonics 2022, 9, 430. [Google Scholar] [CrossRef]
- Isborn, C.M.; Zuehlsdorff, T.J. Modeling absorption spectra of molecules in solution. Int. J. Quantum. Chem. 2019, 119, e25719. [Google Scholar]
- Brannon, P.J. Laser feedback: Its effect on laser frequency. Appl. Opt. 1976, 15, 1119–1120. [Google Scholar] [CrossRef] [PubMed]
- Goldberg, L.; Taylor, H.F.; Dandridge, A.; Weller, J.F.; Miles, R.O. Spectral characteristics of semiconductor lasers with optical feedback. IEEE J. Quantum Electron. 1982, 18, 555–564. [Google Scholar] [CrossRef]
- Wang, W.M.; Grattan, K.T.V.; Palmer, A.W.; Boyle, W.J. Self-mixing interference inside a single-mode diode laser for optical sensing applications. J. Lightwave Technol. 1994, 12, 1577–1588. [Google Scholar] [CrossRef]
- Sun, W.; Duan, C.C. External cavity length dependence of multiple self-mixing interference sensing applications based on finite apertures of laser front faces. Opt. Commun. 2019, 440, 229–233. [Google Scholar] [CrossRef]
- Ding, H.; Hu, P.; Liu, Z.H.; Sun, P.; Liu, Y.F.; Luo, Z.H.; Chao, K.F.; Jiang, H.C.; Jiang, J. Effect of Ca2+-Si4+ on Y3Al5O12:Ce ceramic phosphors for white laser-diodes lighting. Appl. Phys. Lett. 2021, 118, 211902. [Google Scholar] [CrossRef]
- Peng, Y.; Liu, J.X.; Mou, Y.; Chen, M.X.; Luo, X.B. Heat dissipation enhancement of phosphor-converted white laser diodes by thermally self-managing phosphor-in-glass. IEEE Trans. Electron. Devices 2020, 67, 4288–4292. [Google Scholar] [CrossRef]
Disclaimer/Publisher’s Note: The statements, opinions and data contained in all publications are solely those of the individual author(s) and contributor(s) and not of MDPI and/or the editor(s). MDPI and/or the editor(s) disclaim responsibility for any injury to people or property resulting from any ideas, methods, instructions or products referred to in the content. |
© 2023 by the authors. Licensee MDPI, Basel, Switzerland. This article is an open access article distributed under the terms and conditions of the Creative Commons Attribution (CC BY) license (https://creativecommons.org/licenses/by/4.0/).






