Investigation of Silicon Core-Based Fiber Bragg Grating for Simultaneous Detection of Temperature and Refractive Index
Abstract
1. Introduction
2. Materials and Methods
3. Results and Discussion
- a.
- Temperature sensing
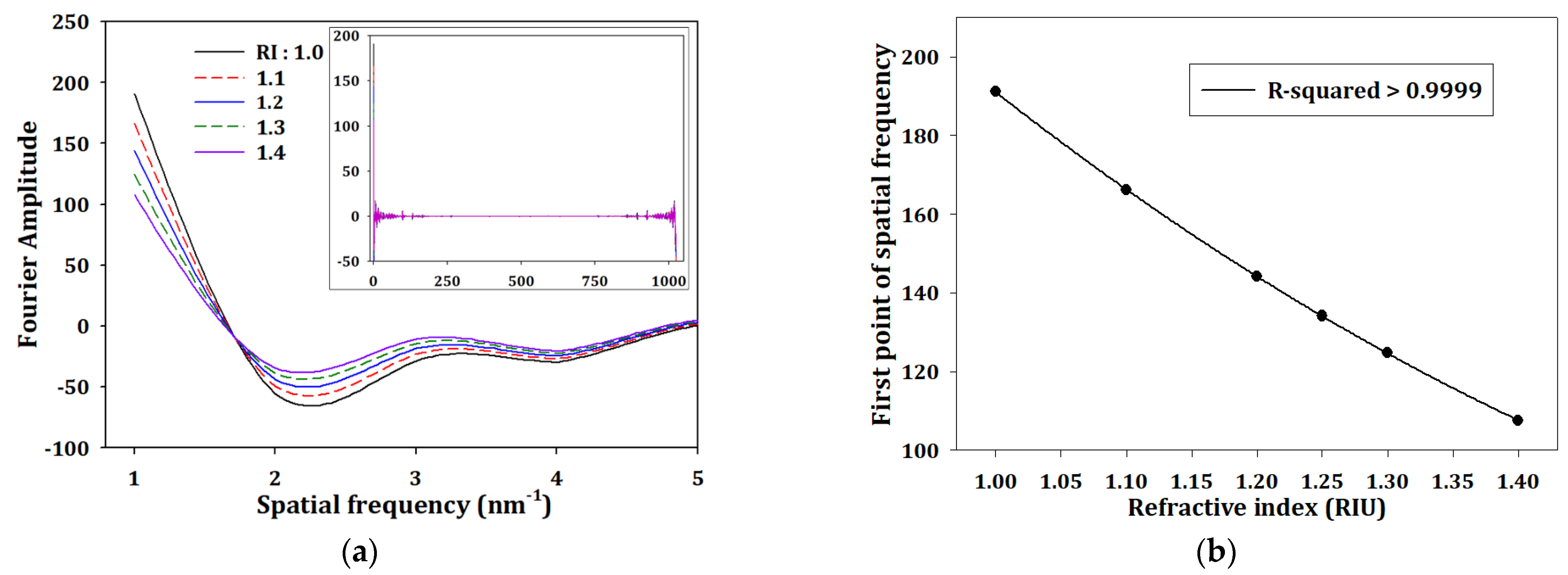
- b.
- Refractive index sensing
- c.
- Simultaneous sensing
- Step 1: Identify the FBG peak and read its wavelength from the spectrum in Figure 5a.
- Step 2: Calculate the temperature using the central wavelength and linear curve of the FBG in Figure 5b and Equation (6).
- Step 3: Transform the measurement of spectra by using fast Fourier transform.
- Step 4: Locate the spatial frequency in Figure 8b by using the calculation results from Step 3.
4. Conclusions
Author Contributions
Funding
Institutional Review Board Statement
Informed Consent Statement
Data Availability Statement
Conflicts of Interest
References
- Wang, B.; Niu, Y.; Qin, X.; Yin, Y.; Ding, M. Review of high temperature measurement technology based on sapphire optical fiber. Measurement 2021, 184, 109868. [Google Scholar] [CrossRef]
- He, R.; Teng, C.; Kumar, S.; Min, R. Polymer Optical Fiber Liquid Level Sensor: A Review. IEEE Sens. J. 2022, 22, 1081–1091. [Google Scholar] [CrossRef]
- Sun, Y.; Li, H.; Fan, C.; Yan, B.; Chen, J.; Yan, Z.; Sun, Q. Review of a Specialty Fiber for Distributed Acoustic Sensing Technology. Photonics 2022, 9, 277. [Google Scholar] [CrossRef]
- Yang, C.; Tan, Y.; Liu, Y.; Xia, P.; Cui, Y.; Zheng, B. Modeling and Optimization of Laser Cladding Fixation Process for Optical Fiber Sensors in Harsh Environments. Sensors 2022, 22, 2569. [Google Scholar] [CrossRef] [PubMed]
- Chen, Y.; Zheng, Y.; Xiao, H.; Liang, D.; Zhang, Y.; Du, C.; Ruan, S. Optical Fiber Probe Microcantilever Sensor Based on Fabry–Perot Interferometer. Sensor 2022, 22, 5748. [Google Scholar] [CrossRef]
- Zhang, W.; Wu, X.; Zuo, C.; Gui, L.; Shi, J.; Zhao, X.; Mu, S.; Liu, J.; Yu, B. Highly sensitive temperature and strain sensor based on fiber Sagnac interferometer with Vernier effect. Opt. Commun. 2022, 506, 127543. [Google Scholar] [CrossRef]
- Jun, H.E.; Xu, B.; Xu, X.; Liao, C.; Wang, Y. Review of Femtosecond-Laser-Inscribed Fiber Bragg Gratings: Fabrication Technologies and Sensing Applications. Photonic Sens. 2021, 11, 203–226. [Google Scholar]
- Tsui, H.C.L.; Healy, N. Recent progress of semiconductor optoelectronic fibers. Front. Optoelectron. 2021, 14, 383–398. [Google Scholar] [CrossRef]
- Sprgard., T.; Hawkins, T.; Ballato, J.; Osterberg, U.L.; Gibson, U.J. All-optical high-speed modulation of THz transmission through silicon core optical fibers. Opt. Express. 2021, 29, 3543–3552. [Google Scholar] [CrossRef]
- Huang, M.; Sun, S.; Wu, D. Continuous-wave Raman amplification in silicon core fibers pumped in the telecom band. APL Photonics 2021, 6, 096105. [Google Scholar] [CrossRef]
- Sun, S.; Huang, M.; Wu, D.; Shen, L.; Ren, H.; Hawkins, T.W.; Ballato, J.; Gibson, U.J.; Mashanovich, G.Z.; Peacock, A.C. Raman enhanced four-wave mixing in silicon core fibers. Opt. Lett. 2022, 47, 1626–1629. [Google Scholar] [CrossRef] [PubMed]
- Ghosh, B.K.; Ghosh, D.; Basu, M. Generation of stable temporal doublet by a single-mode silicon core optical fiber. J. Opt. 2022, 24, 055503. [Google Scholar] [CrossRef]
- Fokine, M.; Theodosiou, A.; Song, S.; Hawkins, T.; Ballato, J.; Kalli, K.; Gibson, U.J. Laser structuring, stress modification and Bragg grating inscription in silicon-core glass fibers. Opt. Mater. Express 2017, 7, 1589–1597. [Google Scholar] [CrossRef]
- Theodosiou, A.; Fokine, M.; Hawkins, T.; Ballato, J.; Gibson, U.J.; Kalli, K. Characterisation of silicon fibre Bragg grating in near-infrared band for strain and temperature sensing. Electron. Lett. 2018, 54, 1393–1395. [Google Scholar] [CrossRef]
- Lin, K.J.; Wang, L.A. Investigation of an In-Line Slot Waveguide Sensor Built in a Tapered D-Shaped Silicon-Cored Fiber. Sensors 2021, 21, 7832. [Google Scholar] [CrossRef] [PubMed]
- Raddatz, L.; White, I.H.; Cunningham, D.G.; Nowell, M.C. An experimental and theoretical study of the offset launch technique for the enhancement of the bandwidth of multimode fiber links. J. Lightwave Technol. 1998, 16, 324–331. [Google Scholar] [CrossRef]
- Sim, D.H.; Takushima, Y.; Chung, Y.C. High-speed multimode fiber transmission by using mode-field matched center-launching technique. J. Lightwave Technol. 2009, 27, 1018–1026. [Google Scholar] [CrossRef]
- Laffont, G.; Cotillard, R.; Roussel, N.; Desmarchelier, R.; Rougeault, S. Temperature Resistant Fiber Bragg Gratings for On-Line and Structural Health Monitoring of the Next-Generation of Nuclear Reactors. Sensors 2018, 18, 1791. [Google Scholar] [CrossRef]
- Weng, H.C.; Yu, Y.L.; Oguchi, K.; Kishikawa, H.; Liaw, S.K.; Liu, W.F. Two parameters detecting by using one Silicon core based fiber Bragg grating. In Proceedings of the 2022 International Workshop on Fiber Optics in Access Networks (FOAN), Valencia, Spain, 11 October 2022. [Google Scholar]
- Zhao, Y.; He, T.Y.; Chen, M.Q.; Zhang, Z.B.; Tong, R.J. Ultra-Short Fiber Bragg Grating Composed of Cascaded Micro-channels in a Microprobe for Refractive Index Measurement. J. Light. Technol. 2022, 41, 2555–2561. [Google Scholar] [CrossRef]
- Malitson, I.H. Interspecimen comparison of the refractive index of fused silica. J. Opt. Soc. Am. 1965, 55, 1205–1209. [Google Scholar] [CrossRef]
- Salzberg, C.D.; Villa, J.J. Infrared refractive indexes of Silicon, Germanium and modified Selenium glass. J. Opt. Soc. Am. 1957, 47, 244–246. [Google Scholar] [CrossRef]
- Pandey, S.K.; Maury, J.B.; Verma, R.N.; Prajapati, Y.K. Multimode hexagonal photonic crystal fiber for extremely negative chromatic dispersion and low confinement loss. Opt. Quantum Electron. 2021, 53, 130. [Google Scholar] [CrossRef]
- Shadab, A.; Raghuwanshi, S.K.; Kumar, S. Advances in Micro-Fabricated Fiber Bragg Grating for Detection of Physical, Chemical, and Biological Parameters—A Review. IEEE Sens. J. 2022, 22, 15650–15660. [Google Scholar] [CrossRef]
- Yevick, D.; Friese, T.; Schmidt, F. A Comparison of Transparent Boundary Conditions for the Fresnel Equation. J. Comput. Phys. 2001, 168, 433–444. [Google Scholar] [CrossRef]
- Zheng, J.; Liu, B.; Zhao, L.; Ullah, R.; Mao, Y.; Ren, J.; Wang, T. An Optical Sensor Designed from Cascaded Anti-Resonant Reflection Waveguide and Fiber Ring-Shaped Structure for Simultaneous Measurement of Refractive Index and Temperature. IEEE Photonics J. 2022, 14, 6812406. [Google Scholar] [CrossRef]
- Zhao, N.; Wang, Z.; Zhang, Z.; Lin, Q.; Yao, K.; Zhu, L.; Tian, B.; Zhao, L.; Yang, P.; Jiang, Z. Simultaneous Measurement of Temperature and Refractive Index Using Michelson Interferometer Based on Waist-Enlarged Fiber Bitaper. Micromachines 2022, 13, 658. [Google Scholar] [CrossRef] [PubMed]
- Yin, Z.; Jing, X.; Zhang, H.; Wang, C.; Liu, C.; Shao, P. Dual-parameter sensor for simultaneously measuring refractive index and temperature based on no-core fiber and SPR effect. Optik 2022, 262, 169320. [Google Scholar] [CrossRef]
- Jiang, H.; Gu, Z.; Gao, K.; Li, Z.; Yan, Y.; Wu, J. A high sensitivity sensor based on novel CLPFG with wavelength and intensity modulation for simultaneous measurement of SRI and temperature. Opt. Fiber Technol. 2022, 70, 102886. [Google Scholar] [CrossRef]
- Zhu, F.; Hao, X.; Zhang, Y.; Jia, P.; Su, J.; Wang, L.; Liu, L.; Li, X.; An, G. D-shaped optic fiber temperature and refractive index sensor assisted by tilted fiber bragg grating and PDMS film. Sens. Actuator A Phys. 2022, 346, 113870. [Google Scholar] [CrossRef]









| Ref. (Year) | Sensor Type | Refractive Index Sensitivity | Temperature Sensitivity | 
|---|---|---|---|
| [26] 2022 | 1. Anti-resonant reflection 2. Waveguide fiber ring-shaped structure | 108.61 nm/RIU | 19 pm/°C | 
| [27] 2022 | 1. Michelson interferometer 2. Waist-enlarged fiber bitaper | −191.06 dBm/RIU | 0.12 nm/°C | 
| [28] 2022 | 1. No-core fiber 2. Sureface plasmon resonance effect | 5200 nm/RIU | 7.2 nm/°C | 
| [29] 2022 | Cascaded two long period fiber gratings | −177.6 nm/RIU | 0.1175 nm/°C | 
| [30] 2022 | 1. D-shaped optic fiber with PDMS film 2. Tilted fiber Bragg grating | 521.92 nm/RIU | 4.38 nm/°C | 
| This work | One silicon sore based fiber Bragg grating | 208.76 dB/RIU | 80.5 pm/°C | 
| Disclaimer/Publisher’s Note: The statements, opinions and data contained in all publications are solely those of the individual author(s) and contributor(s) and not of MDPI and/or the editor(s). MDPI and/or the editor(s) disclaim responsibility for any injury to people or property resulting from any ideas, methods, instructions or products referred to in the content. | 
© 2023 by the authors. Licensee MDPI, Basel, Switzerland. This article is an open access article distributed under the terms and conditions of the Creative Commons Attribution (CC BY) license (https://creativecommons.org/licenses/by/4.0/).
Share and Cite
Yu, Y.-L.; Hong, Y.-H.; Chen, Y.-H.; Kishikawa, H.; Oguchi, K. Investigation of Silicon Core-Based Fiber Bragg Grating for Simultaneous Detection of Temperature and Refractive Index. Sensors 2023, 23, 3936. https://doi.org/10.3390/s23083936
Yu Y-L, Hong Y-H, Chen Y-H, Kishikawa H, Oguchi K. Investigation of Silicon Core-Based Fiber Bragg Grating for Simultaneous Detection of Temperature and Refractive Index. Sensors. 2023; 23(8):3936. https://doi.org/10.3390/s23083936
Chicago/Turabian StyleYu, Yi-Lin, Yu-Hua Hong, Yu-Hsuan Chen, Hiroki Kishikawa, and Kimio Oguchi. 2023. "Investigation of Silicon Core-Based Fiber Bragg Grating for Simultaneous Detection of Temperature and Refractive Index" Sensors 23, no. 8: 3936. https://doi.org/10.3390/s23083936
APA StyleYu, Y.-L., Hong, Y.-H., Chen, Y.-H., Kishikawa, H., & Oguchi, K. (2023). Investigation of Silicon Core-Based Fiber Bragg Grating for Simultaneous Detection of Temperature and Refractive Index. Sensors, 23(8), 3936. https://doi.org/10.3390/s23083936
 
        



 
       