Design of Three-Dimensional Magnetic Probe System for Space Plasma Environment Research Facility (SPERF)
Abstract
1. Introduction
2. System Analysis and Design
2.1. Magnetic Field Measurement Requirements
2.2. Inductive Component Selection
2.3. System Design and Construction
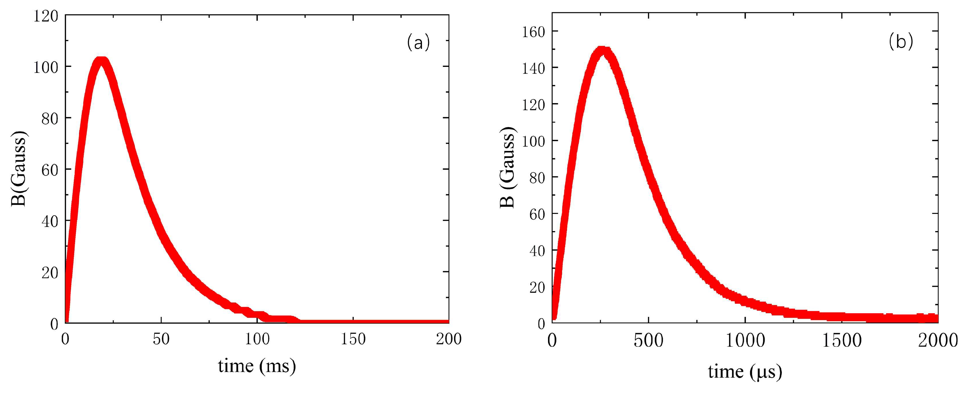
3. Experimental Settings
4. Experimental Result
5. Summary
Author Contributions
Funding
Institutional Review Board Statement
Informed Consent Statement
Data Availability Statement
Conflicts of Interest
References
- Ling, W.; Jing, C.; Wan, J.; Mao, A.; Xiao, Q.; Guan, J.; Cheng, J.; Liu, C.; E, P. Design and Construction of the Near-Earth Space Plasma Simulation System of the Space Plasma Environment Research Facility. J. Plasma Phys. 2024, 90, 345900101. [Google Scholar] [CrossRef]
- Ji, H.; Daughton, W.; Jara-Almonte, J.; Le, A.; Stanier, A.; Yoo, J. Magnetic Reconnection in the Era of Exascale Computing and Multiscale Experiments. Nat. Rev. Phys. 2022, 4, 263–282. [Google Scholar] [CrossRef]
- Ling, W.; Jin, C.; Yin, M.; Guan, J.; Zhu, G.; Xu, F.; Chen, C.; Lu, Y.; Wu, J.; Li, L.; et al. Design and Construction of the Magnetopause Shape Control Coils of the Space Plasma Environment Research Facility to Regulate the Field Configuration of the Simulated Earth’s Magnetopause Magnetic Reconnection. Vacuum 2023, 212, 111975. [Google Scholar] [CrossRef]
- Mao, A.; Ren, Y.; Ji, H.; Peng, E.; Han, K.; Wang, Z.; Xiao, Q.; Li, L. Conceptual Design of the Three-Dimensional Magnetic Field Configuration Relevant to the Magnetopause Reconnection in the SPERF. Plasma Sci. Technol. 2017, 19, 034002. [Google Scholar] [CrossRef]
- Lee, J. Dimensionality of Solar Magnetic Reconnection. Rev. Mod. Plasma Phys. 2022, 6, 32. [Google Scholar] [CrossRef]
- Frey, H.U.; Phan, T.D.; Fuselier, S.A.; Mende, S.B. Continuous Magnetic Reconnection at Earth’s Magnetopause. Nature 2003, 426, 533–537. [Google Scholar] [CrossRef]
- Hesse, M.; Cassak, P.A. Magnetic Reconnection in the Space Sciences: Past, Present, and Future. J. Geophys. Res. Space Phys. 2020, 125, e2018JA025935. [Google Scholar] [CrossRef]
- Hsu, S.C.; Moser, A.L.; Merritt, E.C.; Adams, C.S.; Dunn, J.P.; Brockington, S.; Case, A.; Gilmore, M.; Lynn, A.G.; Messer, S.J.; et al. Laboratory Plasma Physics Experiments Using Merging Supersonic Plasma Jets. J. Plasma Phys. 2015, 81, 345810201. [Google Scholar] [CrossRef]
- Ren, Y.; Yamada, M.; Ji, H.; Dorfman, S.; Gerhardt, S.P.; Kulsrud, R. Experimental Study of the Hall Effect and Electron Diffusion Region during Magnetic Reconnection in a Laboratory Plasma. Phys. Plasmas 2008, 15, 082113. [Google Scholar] [CrossRef]
- Yamasaki, K.; Inoue, S.; Kamio, S.; Watanabe, T.G.; Ushiki, T.; Guo, X.; Sugawara, T.; Matsuyama, K.; Kawakami, N.; Yamada, T.; et al. Laboratory Study of Diffusion Region with Electron Energization during High Guide Field Reconnection. Phys. Plasmas 2015, 22, 101202. [Google Scholar] [CrossRef]
- Everson, E.T.; Pribyl, P.; Constantin, C.G.; Zylstra, A.; Schaeffer, D.; Kugland, N.L.; Niemann, C. Design, Construction, and Calibration of a Three-Axis, High-Frequency Magnetic Probe (B-Dot Probe) as a Diagnostic for Exploding Plasmas. Rev. Sci. Instrum. 2009, 80, 113505. [Google Scholar] [CrossRef] [PubMed]
- Ochoukov, R.; Bobkov, V.; Bruhn, C.; D’Inca, R.; Faugel, H.; Fuenfgelder, H.; McDermott, R.; Schneider, P.; Suarez-Lopez, G.; Noterdaeme, J.-M.; et al. Major Upgrades of the High Frequency B-Dot Probe Diagnostic Suite on ASDEX Upgrade. EPJ Web Conf. 2017, 157, 03038. [Google Scholar] [CrossRef]
- Chen, G.; Jin, Z.; Chen, J. A Review: Magneto-Optical Sensor Based on Magnetostrictive Materials and Magneto-Optical Material. Sens. Actuators Rep. 2023, 5, 100152. [Google Scholar] [CrossRef]
- Liu, C.; Shen, T.; Wu, H.-B.; Feng, Y.; Chen, J.-J. Applications of Magneto-Strictive, Magneto-Optical, Magnetic Fluid Materials in Optical Fiber Current Sensors and Optical Fiber Magnetic Field Sensors: A Review. Opt. Fiber Technol. 2021, 65, 102634. [Google Scholar] [CrossRef]
- Ouyang, H.; Yao, X.; Chen, J. Development of a Transient Magnetic Field Sensor Based on Digital Integration and Frequency Equalization. Sensors 2021, 21, 4268. [Google Scholar] [CrossRef]
- Marconato, N.; Cavazzana, R.; Bettini, P.; Rigoni, A. Accurate Magnetic Sensor System Integrated Design. Sensors 2020, 20, 2929. [Google Scholar] [CrossRef] [PubMed]
- Niekiel, F.; Su, J.; Bodduluri, M.T.; Lisec, T.; Blohm, L.; Pieper, I.; Wagner, B.; Lofink, F. Highly Sensitive MEMS Magnetic Field Sensors with Integrated Powder-Based Permanent Magnets. Sens. Actuators Phys. 2019, 297, 111560. [Google Scholar] [CrossRef]
- Wang, J.; Si, D.; Tian, T.; Ren, R. Design and Experimental Study of a Current Transformer with a Stacked PCB Based on B-Dot. Sensors 2017, 17, 820. [Google Scholar] [CrossRef]
- Romero-Talamás, C.; Bellan, P.; Hsu, S. Multielement Magnetic Probe Using Commercial Chip Inductors. Rev. Sci. Instrum. 2004, 75, 2664–2667. [Google Scholar] [CrossRef]
- Liu, Y.; Tan, Y.; Pan, O.; Ke, R.; Wang, W.; Gao, Z. Design and Calibration of High-Frequency Magnetic Probes for the SUNIST Spherical Tokamak. Rev. Sci. Instrum. 2014, 85, 11E802. [Google Scholar] [CrossRef]
- LIAO, H.; HU, C.; LI, Y.; REN, B.; SUN, X. Experimental Study of Single-Translated Field-Reversed Configuration in KMAX. Plasma Sci. Technol. 2022, 24, 095103. [Google Scholar] [CrossRef]
- Gota, H.; Thompson, M.C.; Knapp, K.; Van Drie, A.D.; Deng, B.H.; Mendoza, R.; Guo, H.Y.; Tuszewski, M. Internal Magnetic Field Measurement on C-2 Field-Reversed Configuration Plasmas. Rev. Sci. Instrum. 2012, 83, 10D706. [Google Scholar] [CrossRef] [PubMed]
- Peng, E.; Ling, W.; Mao, A.; Jin, C.; Zhu, G.; Tan, L.; Chen, C.; Lu, Y. Design and Construction of the Flux Core Coils of the Space Plasma Environment Research Facility (SPERF). Vacuum 2021, 192, 110468. [Google Scholar] [CrossRef]
- Trattner, K.J.; Petrinec, S.M.; Fuselier, S.A. The Location of Magnetic Reconnection at Earth’s Magnetopause. Space Sci. Rev. 2021, 217, 41. [Google Scholar] [CrossRef] [PubMed]
- Zweibel, E.G.; Yamada, M. Magnetic Reconnection in Astrophysical and Laboratory Plasmas. Annu. Rev. Astron. Astrophys. 2009, 47, 291–332. [Google Scholar] [CrossRef]
- Yamada, M.; Yoo, J.; Jara-Almonte, J.; Ji, H.; Kulsrud, R.M.; Myers, C.E. Conversion of Magnetic Energy in the Magnetic Reconnection Layer of a Laboratory Plasma. Nat. Commun. 2014, 5, 4774. [Google Scholar] [CrossRef]











Disclaimer/Publisher’s Note: The statements, opinions and data contained in all publications are solely those of the individual author(s) and contributor(s) and not of MDPI and/or the editor(s). MDPI and/or the editor(s) disclaim responsibility for any injury to people or property resulting from any ideas, methods, instructions or products referred to in the content. |
© 2024 by the authors. Licensee MDPI, Basel, Switzerland. This article is an open access article distributed under the terms and conditions of the Creative Commons Attribution (CC BY) license (https://creativecommons.org/licenses/by/4.0/).
Share and Cite
Yang, J.; Xie, J.; Ling, W.; Guan, J.; Huang, K.; Chen, F.; Peng, G.; Tang, H.; Zhou, H.; E, P. Design of Three-Dimensional Magnetic Probe System for Space Plasma Environment Research Facility (SPERF). Sensors 2024, 24, 5302. https://doi.org/10.3390/s24165302
Yang J, Xie J, Ling W, Guan J, Huang K, Chen F, Peng G, Tang H, Zhou H, E P. Design of Three-Dimensional Magnetic Probe System for Space Plasma Environment Research Facility (SPERF). Sensors. 2024; 24(16):5302. https://doi.org/10.3390/s24165302
Chicago/Turabian StyleYang, Jihua, Jiayin Xie, Wenbin Ling, Jian Guan, Kai Huang, Fupeng Chen, Gaoyuan Peng, Huibo Tang, Hua Zhou, and Peng E. 2024. "Design of Three-Dimensional Magnetic Probe System for Space Plasma Environment Research Facility (SPERF)" Sensors 24, no. 16: 5302. https://doi.org/10.3390/s24165302
APA StyleYang, J., Xie, J., Ling, W., Guan, J., Huang, K., Chen, F., Peng, G., Tang, H., Zhou, H., & E, P. (2024). Design of Three-Dimensional Magnetic Probe System for Space Plasma Environment Research Facility (SPERF). Sensors, 24(16), 5302. https://doi.org/10.3390/s24165302

