Mechanical Strain, Temperature, and Misalignment Effects on Data Communication between Piezoceramic Ultrasonic Transducers
Abstract
1. Introduction
2. Theoretical Approach
2.1. Acoustoelasticity
2.2. Piezoelasticity under the Influence of Strain and Temperature Variations
3. Experimental Methodology
4. Results
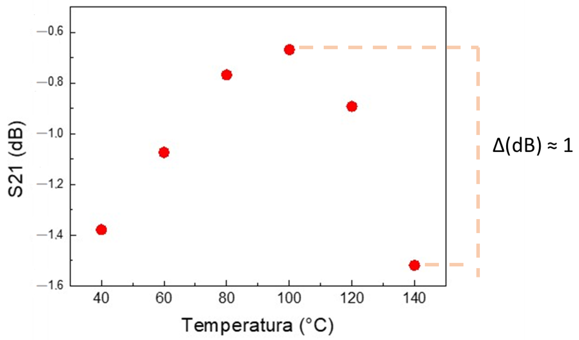
4.1. Characterization of Signal Variation by Temperature Variation—Test Model 1
4.2. Evaluate the Influence of the Intersecting Area between PZTs—Test Model 2
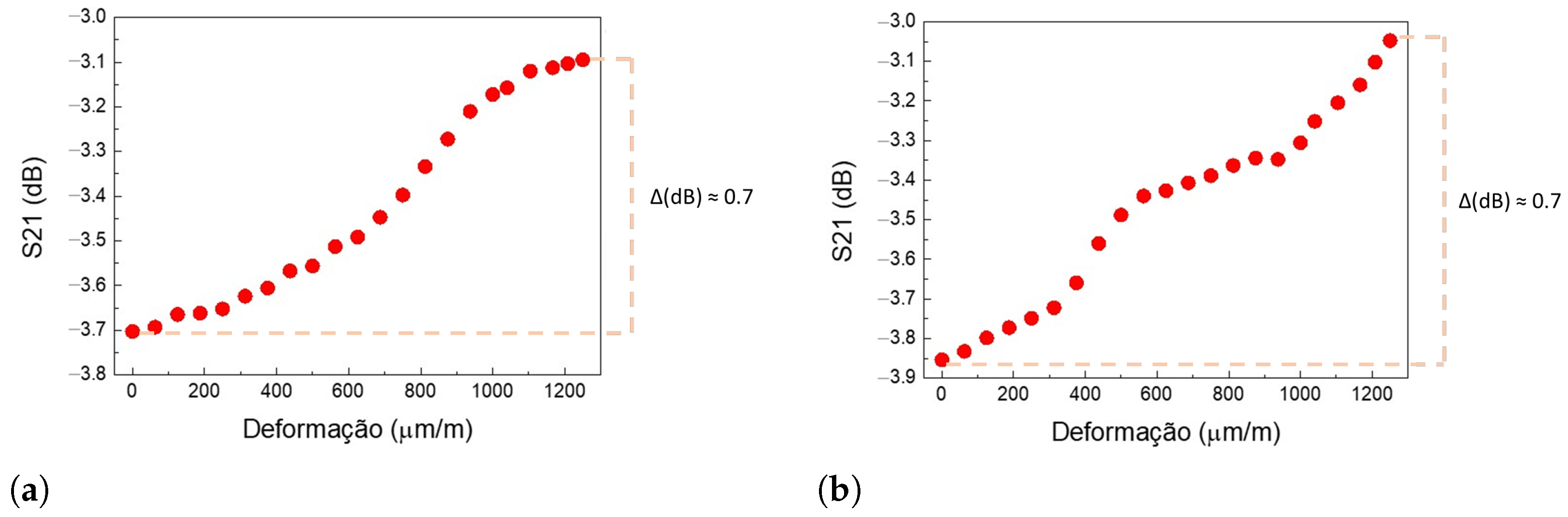
4.3. Tensile Test near to the Yield Strength—Test Model 3
4.4. Tensile Test with Strain and Temperature Varying—Test Model 4
5. Conclusions
Author Contributions
Funding
Institutional Review Board Statement
Informed Consent Statement
Data Availability Statement
Conflicts of Interest
Abbreviations
| UT | Ultrasonic Transducer |
| VNA | Vector Network Analyzers |
| PZT | Piezoelectric Ceramic |
| CW | Continuous Wave |
| NDT | Non-Destructive Testing |
| SHM | Structural Health Monitoring |
| TOF | Time of Flight |
References
- Yang, D.X.; Hu, Z.; Zhao, H.; Hu, H.F.; Sun, Y.Z.; Hou, B.J. Through-metal-wall power delivery and data transmission for enclosed sensors: A review. Sensors 2015, 15, 31581–31605. [Google Scholar] [CrossRef]
- Connor, D.J.; Cummings, G.F.; Star, M.J. Acoustic Transformer with Non-Piezoelectric Core. U.S. Patent 5,594,705, 14 January 1997. [Google Scholar]
- Hu, Y.; Zhang, X.; Yang, J.; Jiang, Q. Transmitting electric energy through a metal wall by acoustic waves using piezoelectric transducers. IEEE Trans. Ultrason. Ferroelectr. Freq. Control 2003, 50, 773–781. [Google Scholar] [CrossRef]
- Sherrit, S.; Badescu, M.; Bao, X.; Bar-Cohen, Y.; Chang, Z. Efficient electromechanical network model for wireless acoustic-electric feed-throughs. In Proceedings of the Smart Structures and Materials 2005: Smart Sensor Technology and Measurement Systems, San Diego, CA, USA, 7–9 March 2005; International Society for Optics and Photonics: San Diego, CA, USA, 2005; Volume 5758, pp. 362–372. [Google Scholar]
- Sherrit, S.; Doty, B.; Badescu, M.; Bao, X.; Bar-Cohen, Y.; Aldrich, J.; Chang, Z. Studies of acoustic-electric feed-throughs for power transmission through structures. In Proceedings of the Smart Structures and Materials 2006: Industrial and Commercial Applications of Smart Structures Technologies, San Diego, CA, USA, 27–28 February 2006; International Society for Optics and Photonics: San Diego, CA, USA, 2006; Volume 6171, p. 617102. [Google Scholar]
- Sherrit, S.; Bao, X.; Badescu, M.; Aldrich, J.; Bar-Cohen, Y.; Biederman, W.; Chang, Z. 1 kW power transmission using wireless acoustic-electric feedthrough (WAEF). In Earth & Space 2008: Engineering, Science, Construction, and Operations in Challenging Environments; American Society of Civil Engineers: Charleston, SC, USA, 2008; pp. 1–10. [Google Scholar]
- Lawry, T.J.; Wilt, K.R.; Roa-Prada, S.; Ashdown, J.D.; Saulnier, G.J.; Scarton, H.A.; Das, P.K.; Gavens, A.J. A high-temperature acoustic-electric system for power delivery and data communication through thick metallic barriers. Energy Harvest. Storage Mater. Devices Appl. 2011, 8035, 306–317. [Google Scholar]
- Ashdown, J.D.; Wilt, K.R.; Lawry, T.J.; Saulnier, G.J.; Shoudy, D.A.; Scarton, H.A.; Gavens, A.J. A full-duplex ultrasonic through-wall communication and power delivery system. IEEE Trans. Ultrason. Ferroelectr. Freq. Control 2013, 60, 587–595. [Google Scholar] [CrossRef] [PubMed]
- Scarton, H.A.; Wilt, K.R.; Saulnier, G.J. Ultrasonic Communications Through a Reinforced Concrete Column. In Proceedings of the ASME International Mechanical Engineering Congress and Exposition, Phoenix, AZ, USA, 11–17 November 2016; American Society of Mechanical Engineers: New York, NY, USA, 2016; Volume 50671, p. V013T01A014. [Google Scholar]
- Takahashi, V.L.; Kubrusly, A.C.; Braga, A.M.; Quintero, S.M.; Figueiredo, S.W.; Domingues, A.B. Ultrasonic power and data transfer through multiple curved layers applied to pipe instrumentation. Sensors 2019, 19, 4074. [Google Scholar] [CrossRef] [PubMed]
- Pereira, R.B.; Braga, A.M.; Kubrusly, A.C. Ultrasonic energy and data transfer through a metal—Liquid multi-layer channel enhanced by automatic gain and carrier control. Sensors 2023, 23, 4697. [Google Scholar] [CrossRef]
- Wilt, K.; Scarton, H.; Saulnier, G.; Lawry, T.; Ashdown, J. High-power operation of acoustic-electric power feedthroughs through thick metallic barriers. In Proceedings of the ASME International Mechanical Engineering Congress and Exposition, Houston, TX, USA, 9–15 November 2012; American Society of Mechanical Engineers: New York, NY, USA, 2012; Volume 45288, pp. 475–482. [Google Scholar]
- Ashdown, J.D.; Liu, L.; Saulnier, G.J.; Wilt, K.R. High-rate ultrasonic through-wall communications using MIMO-OFDM. IEEE Trans. Commun. 2018, 66, 3381–3393. [Google Scholar] [CrossRef]
- Freychet, O.; Frassati, F.; Boisseau, S.; Brulais, S.; Despesse, G. Multiple input single output configurations to improve performances and robustness of acoustic power transfer. Ultrasonics 2021, 116, 106524. [Google Scholar] [CrossRef]
- Freychet, O.; Boisseau, S.; Frassati, F.; Garraud, N.; Gasnier, P.; Despesse, G. Piezoelectric stacks to increase the transmitted power of acoustic power transfer through metal walls. In Proceedings of the 2021 IEEE 20th International Conference on Micro and Nanotechnology for Power Generation and Energy Conversion Applications (PowerMEMS), Virtual, 6–8 December 2021; IEEE: New York, NY, USA, 2021; pp. 48–51. [Google Scholar]
- Allam, A.; Arrington, C.L.; John, C.S.; Steinfeldt, J.; Erturk, A.; El-Kady, I. System-level dc-to-dc analysis and experiments of ultrasonic power transfer through metallic barriers. IEEE/ASME Trans. Mechatronics 2022, 28, 15–25. [Google Scholar] [CrossRef]
- Allam, A.; Patel, H.; Sugino, C.; John, C.S.; Steinfeldt, J.; Reinke, C.; El-Kady, I. Portable through-metal ultrasonic power transfer using a dry-coupled detachable transmitter. Ultrasonics 2024, 141, 107339. [Google Scholar] [CrossRef]
- Chakraborty, S.; Wilt, K.R.; Saulnier, G.J.; Scarton, H.A.; Das, P.K. Estimating channel capacity and power transfer efficiency of a multi-layer acoustic-electric channel. In Proceedings of the Wireless Sensing, Localization, and Processing VIII, Baltimore, MD, USA, 1–3 May 2013; SPIE: Bellingham, WA, USA, 2013; Volume 8753, pp. 105–117. [Google Scholar]
- Zhang, J.; Jiang, M.; Zhang, J.; Gu, M.; Cao, Z. Ultrasonic Through-Metal Communication Based on Deep-Learning-Assisted Echo Cancellation. Sensors 2024, 24, 2141. [Google Scholar] [CrossRef] [PubMed]
- Lu, Y.; Michaels, J.E. A methodology for structural health monitoring with diffuse ultrasonic waves in the presence of temperature variations. Ultrasonics 2005, 43, 717–731. [Google Scholar] [CrossRef] [PubMed]
- Dodson, J.; Inman, D. Thermal sensitivity of Lamb waves for structural health monitoring applications. Ultrasonics 2013, 53, 677–685. [Google Scholar] [CrossRef]
- Fishta, M.; Raviola, E.; Fiori, F. A Wireless Communication System for Urban Water Supply Networks Based on Guided Acoustic Waves. IEEE Access 2022, 10, 108955–108964. [Google Scholar] [CrossRef]
- Huang, X.; Saniie, J.; Bakhtiari, S.; Heifetz, A. Performance Evaluation of High-Temperature Ultrasonic Communication System. In Proceedings of the 2020 IEEE International Ultrasonics Symposium (IUS), Las Vegas, NV, USA, 7–11 September 2020; IEEE: New York, NY, USA, 2020; pp. 1–3. [Google Scholar]
- Heifetz, A.; Shribak, D.; Huang, X.; Wang, B.; Saniie, J.; Ponciroli, R.; Koehl, E.; Bakhtiari, S.; Vilim, R. Transmission of images on high-temperature nuclear-grade metallic pipe with ultrasonic elastic waves. Nucl. Technol. 2021, 207, 604–616. [Google Scholar] [CrossRef]
- Kexel, C.; Maetz, T.; Mälzer, M.; Moll, J. Ultrasonic data transmission across metal structures affected by environmental conditions. J. Sound Vib. 2021, 490, 115691. [Google Scholar] [CrossRef]
- Giurgiutiu, V. Structural Health Monitoring with Piezoelectric Wafer Active Sensors–Predictive Modeling and Simulation. Incas Bull. 2010, 2, 31. [Google Scholar]
- Xu, C.; Song, W.; Pan, Q.; Li, H.; Liu, S. Nondestructive testing residual stress using ultrasonic critical refracted longitudinal wave. Phys. Procedia 2015, 70, 594–598. [Google Scholar] [CrossRef]
- Giurgiutiu, V. Tuned Lamb wave excitation and detection with piezoelectric wafer active sensors for structural health monitoring. J. Intell. Mater. Syst. Struct. 2005, 16, 291–305. [Google Scholar] [CrossRef]
- Wang, Y.; Li, Z.; Zhu, X.; Gong, Y.; Liu, N.; Deng, Q.; Teng, J. Plane stress measurement on the cross-section of steel components using ultrasonic shear waves. Mech. Syst. Signal Process. 2023, 191, 110–185. [Google Scholar] [CrossRef]
- Zhang, X.; Chen, L.; Du, W.; Liu, G.; Zhang, Z. Thermo-acoustoelastic modeling of guided wave propagation in plate/shell structures under temperature-stress coupling. Mech. Syst. Signal Process. 2024, 220, 111693. [Google Scholar] [CrossRef]
- Chase, R. Microcontroller Based Handheld Acoustic Communication & Power Delivery through Metallic Barriers; Rensselaer Polytechnic Institute: Troy, NY, USA, 2013. [Google Scholar]
- Freitas, M.; Jimenez, M.R.; von der Weid, J.P. Monitoring strain in flexible pipelines through acoustic resonance. In Proceedings of the International Pipeline Conference, Calgary, AB, Canada, 24–28 September 2012; American Society of Mechanical Engineers: New York, NY, USA, 2012; Volume 45134, pp. 17–26. [Google Scholar]
- Li, Z.; He, J.; Liu, D.; Liu, N.; Long, Z.; Teng, J. Influence of uniaxial stress on the shear-wave spectrum propagating in steel members. Sensors 2019, 19, 492. [Google Scholar] [CrossRef] [PubMed]
- Zhang, H. Ultrasonic stress measurement with LFM LCR wave: Theoretical verification and numerical simulation. In Proceedings of the 2014 IEEE International Ultrasonics Symposium, Chicago, IL, USA, 3–6 September 2014; IEEE: New York, NY, USA, 2014; pp. 1352–1355. [Google Scholar]
- Liu, H.; Li, Y.; Li, T.; Zhang, X.; Liu, Y.; Liu, K.; Wang, Y. Influence factors analysis and accuracy improvement for stress measurement using ultrasonic longitudinal critically refracted (LCR) wave. Appl. Acoust. 2018, 141, 178–187. [Google Scholar] [CrossRef]
- Hughes, D.S.; Kelly, J. Second-order elastic deformation of solids. Phys. Rev. 1953, 92, 1145. [Google Scholar] [CrossRef]
- Gere, J.M.; Goodno, B.J. Mechanics of Materials; Langara College: Vancouver, BC, Canada, 2015. [Google Scholar]
- Pao, Y.H. Acoustoelasticity and ultrasonic measurement of residual stress. Phys. Acoust. 1984, 17, 61–143. [Google Scholar]
- C Kubrusly, A.; MB Braga, A.; von der Weid, J.P. Derivation of acoustoelastic Lamb wave dispersion curves in anisotropic plates at the initial and natural frames of reference. J. Acoust. Soc. Am. 2016, 140, 2412–2417. [Google Scholar] [CrossRef]
- Chen, C.H. Ultrasonic and Advanced Methods for Nondestructive Testing and Material Characterization; World Scientific: Singapore, 2007. [Google Scholar]
- Pérez, N.; Buiochi, F.; Brizzotti Andrade, M.A.; Adamowski, J.C. Numerical characterization of piezoceramics using resonance curves. Materials 2016, 9, 71. [Google Scholar] [CrossRef]
- Kino, G.S. Acoustic Waves: Devices, Imaging and Analog Signal Processing; Number 43 KIN; Prentice-Hall: Hoboken, NJ, USA, 1987. [Google Scholar]
- Adamowski, J.; Gilder, N. Sensores: Tecnologias e Aplicações; AlphaMidia Assessoria Fonografica: São Paulo, Brazil, 2004. [Google Scholar]
- Datta, S. Piezoelectric Materials: Crystal Orientation and Poling Direction. COMSOL Blog, 2014. Available online: https://www.comsol.com/blogs/piezoelectric-materials-crystal-orientation-poling-direction (accessed on 1 July 2024).
- Auld, B.A. Acoustic Fields and Waves in Solids; Ripol Klassik: Moscow, Russia, 1973. [Google Scholar]
- Inman, D.J. Engineering Vibration, 4th ed.; Prentice Hall: Englewood Cliffs, NJ, USA, 2014. [Google Scholar]
- Den Hartog, J.P. Mechanical Vibrations; Courier Corporation: Washington, DC, USA, 1985. [Google Scholar]
- Wilt, K.; Lawry, T.; Scarton, H.; Roa-Prada, S.; Saulnier, G.; Ashdown, J.; Das, P.; Pinezich, J. Mechanical design implications on power transfer through thick metallic barriers using piezoelectric transducers. In Proceedings of the ASME International Mechanical Engineering Congress and Exposition, Vancouver, BC, Canada, 12–18 November 2010; Volume 44502, pp. 173–182. [Google Scholar]
- Wilt, K.; Scarton, H.; Roa-Prada, S.; Saulnier, G.; Ashdown, J.; Lawry, T.; Das, P.; Gavens, A. Finite element modeling and simulation of a two-transducer through-wall ultrasonic communication system. In Proceedings of the ASME International Mechanical Engineering Congress and Exposition, Lake Buena Vista, FL, USA, 13–19 November 2009; Volume 43888, pp. 579–589. [Google Scholar]
- Weaver, R.L.; Lobkis, O.I. Temperature dependence of diffuse field phase. Ultrasonics 2000, 38, 491–494. [Google Scholar] [CrossRef]
- Rose, J.L. Ultrasonic Guided Waves in Solid Media; Cambridge University Press: Cambridge, UK, 2014. [Google Scholar]
- Kim, C.S. Thermophysical Properties of Stainless Steels; Technical Report; Argonne National Lab.: Argonne, IL, USA, 1975. [Google Scholar]
- E8/E8M–09; Standard Test Methods for Tension Testing of Metallic Materials. American Association State Highway and Transportation Officials Standard AASHTO: Washington, DC, USA, 1924; pp. 1–3.
- Zhang, T.Y.; Wang, T.; Zhao, M. Failure behavior and failure criterion of conductive cracks (deep notches) in thermally depoled PZT-4 ceramics. Acta Mater. 2003, 51, 4881–4895. [Google Scholar] [CrossRef]
- Hooker, M.W. Properties of Pzt-Based Piezoelectric Ceramics between-150 and 250c; National Aeronautics and Space Administration: Hampton, VA, USA, 1998.













Disclaimer/Publisher’s Note: The statements, opinions and data contained in all publications are solely those of the individual author(s) and contributor(s) and not of MDPI and/or the editor(s). MDPI and/or the editor(s) disclaim responsibility for any injury to people or property resulting from any ideas, methods, instructions or products referred to in the content. |
© 2024 by the authors. Licensee MDPI, Basel, Switzerland. This article is an open access article distributed under the terms and conditions of the Creative Commons Attribution (CC BY) license (https://creativecommons.org/licenses/by/4.0/).
Share and Cite
Camerini, I.G.; de Souza, L.P.B.; Gouvea, P.M.P.; Braga, A.M.B. Mechanical Strain, Temperature, and Misalignment Effects on Data Communication between Piezoceramic Ultrasonic Transducers. Sensors 2024, 24, 5561. https://doi.org/10.3390/s24175561
Camerini IG, de Souza LPB, Gouvea PMP, Braga AMB. Mechanical Strain, Temperature, and Misalignment Effects on Data Communication between Piezoceramic Ultrasonic Transducers. Sensors. 2024; 24(17):5561. https://doi.org/10.3390/s24175561
Chicago/Turabian StyleCamerini, Isabel Giron, Luis Paulo Brasil de Souza, Paula Medeiros Proença Gouvea, and Arthur Martins Barbosa Braga. 2024. "Mechanical Strain, Temperature, and Misalignment Effects on Data Communication between Piezoceramic Ultrasonic Transducers" Sensors 24, no. 17: 5561. https://doi.org/10.3390/s24175561
APA StyleCamerini, I. G., de Souza, L. P. B., Gouvea, P. M. P., & Braga, A. M. B. (2024). Mechanical Strain, Temperature, and Misalignment Effects on Data Communication between Piezoceramic Ultrasonic Transducers. Sensors, 24(17), 5561. https://doi.org/10.3390/s24175561

