Development of a DualEmission Laser-Induced Fluorescence (DELIF) Method for Long-Term Temperature Measurements
Abstract
1. Introduction
2. Basic Principle of the Proposed DELIF Method
3. Thermo-Optical Properties of Fluorescent Dyes
3.1. Fluorescence Intensity Variation with Excitation Time
3.1.1. Experimental Setups
3.1.2. Results and Discussion
3.2. Temperature-Dependent Photophysical Properties of Fluorescent Dyes
3.2.1. Experimental Setups
3.2.2. Results and Discussion
4. Temperature Measurement Capability of the Proposed DELIF Method
4.1. Experimental Setups
4.2. Results and Discussion
4.2.1. Temperature Dependence of the Fluorescence Intensity Ratios
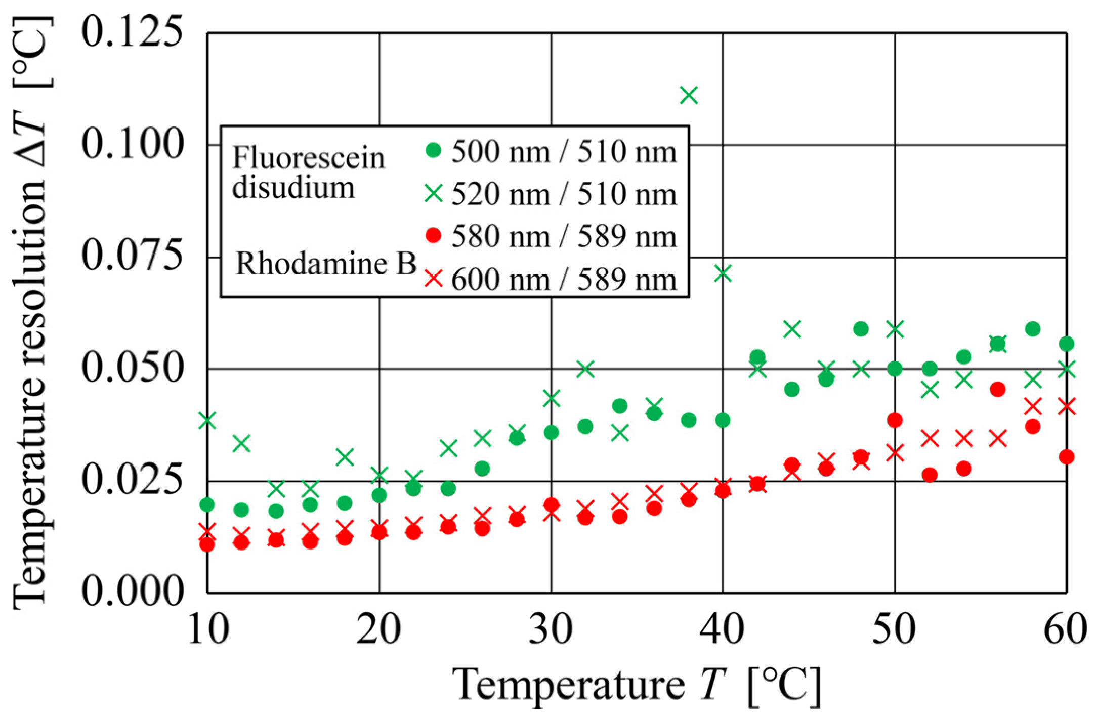
4.2.2. Temperature Resolution
4.2.3. Dependence of Fluorescence Intensity Ratio on Excitation Time
5. Conclusions
Author Contributions
Funding
Institutional Review Board Statement
Informed Consent Statement
Data Availability Statement
Conflicts of Interest
References
- Nakajima, T.; Utsunomiya, M.; Ikeda, Y. Simultaneous measurement of velocity and temperature of water using LDV and fluorescence technique. In Applications of Laser Techniques to Fluid Mechanics, 1st ed.; Adrian, R.J., Durão, D.F.G., Durst, F., Maeda, M., Whitelaw, J., Eds.; Springer: Berlin/Heidelberg, Germany, 1991; pp. 34–53. [Google Scholar]
- Sakakibara, J.; Hishida, K.; Maeda, M. Measurements of thermally stratified pipe flow using image-processing techniques. Exp. Fluids 1993, 16, 82–96. [Google Scholar] [CrossRef]
- Eghtesad, A.; Bijarchi, M.A.; Shafii, M.B.; Afshin, H. A state-of-the-art review on laser-induced fluorescence (LIF) method with application in temperature measurement. Int. J. Therm. Sci. 2024, 196, 108686. [Google Scholar] [CrossRef]
- Liu, G.; Lu, H. Laser-induced fluorescence of rhodamine B in ethylene glycol solution. Procedia Eng. 2015, 102, 95–105. [Google Scholar] [CrossRef]
- Li, X.; Qi, P.; Zhao, T.; Qiao, S.; Tan, S. LIF study of temporal and spatial fluid mixing in an annular downcomer. Ann. Nucl. Energy 2019, 126, 220–232. [Google Scholar] [CrossRef]
- Radiul, S.M.; Chowdhury, J.; Goswami, A.; Hazarika, S. Fluorescence spectroscopy based characterisation method for aggregation behaviour of rhodamine B (RhB) in water, ethanol, and propanol. Laser Phys. 2022, 32, 075602. [Google Scholar] [CrossRef]
- Coppeta, J.; Rogers, C. Dual emission laser induced fluorescence for direct planar scalar behavior measurements. Exp. Fluids 1998, 25, 1–15. [Google Scholar] [CrossRef]
- Sakakibara, J.; Adrian, R.J. Whole field measurement of temperature in water using two-color laser induced fluorescence. Exp. Fluids 1999, 26, 7–15. [Google Scholar] [CrossRef]
- Sakakibara, J.; Adrian, R.J. Measurement of temperature field of a Rayleigh-Bénard convection using two-color laser-induced fluorescence. Exp. Fluids 2004, 37, 331–340. [Google Scholar] [CrossRef]
- Kong, G.; Buist, K.A.; Peters, E.A.J.F.; Kuipers, J.A.M. Dual emission LIF technique for pH and concentration field measurement around a rising bubble. Exp. Therm. Fluid Sci. 2018, 93, 186–194. [Google Scholar] [CrossRef]
- Chamarthy, P.; Garimella, S.V.; Wereley, S.T. Measurement of the temperature non-uniformity in a microchannel heat sink using microscale laser-induced fluorescence. Int. J. Heat Mass Transf. 2010, 53, 3275–3283. [Google Scholar] [CrossRef]
- Kan, T.; Aoki, H.; Binh-Khiem, N.; Matsumoto, K.; Shimoyama, I. Ratiometric optical temperature sensor using two fluorescent dyes dissolved in an ionic liquid encapsulated by parylene film. Sensors 2013, 13, 4138–4145. [Google Scholar] [CrossRef] [PubMed]
- Mishra, Y.N.; Yoganantham, A.; Koegl, M.; Zigan, L. Investigation of five organic dyes in ethanol and butanol for two-color laser-induced fluorescence ratio thermometry. Optics 2020, 1, 1–17. [Google Scholar] [CrossRef]
- Sutton, J.A.; Fisher, B.T.; Fleming, J.W. A laser-induced fluorescence measurement for aqueous fluid flows with improved temperature sensitivity. Exp. Fluids 2008, 45, 869–881. [Google Scholar] [CrossRef]
- Funatani, S.; Toriyama, K.; Takeda, T. Temperature measurement of air flow using fluorescent mists combined with two-color LIF. J. Flow Control Meas. Vis. 2013, 1, 20–23. [Google Scholar] [CrossRef]
- Jaszczur, M.; Styszko, K.; Tomaszek, J.; Żurawska, K. An analysis of long term temperature measurement using laser induced fluorescence. J. Phys. Conf. Ser. 2016, 745, 032109. [Google Scholar] [CrossRef]
- Coolen, M.C.J.; Kieft, R.N.; Rindt, C.C.M.; Van Steenhoven, A.A. Application of 2-d LIF temperature measurements in water using a Nd:YAG laser. Exp. Fluids 1999, 27, 420–426. [Google Scholar] [CrossRef]
- Saeki, S.; Hart, D.; Hidrovo, C. Dual emission LIF and dye investigation for oil film thickness and temperature measurement. In Proceedings of the JSME Annual Meeting, Tokushima, Japan, 5–8 August 2003; pp. 141–142. (In Japanese). [Google Scholar]
- Bruchhausen, M.; Guillard, F.; Lemoine, F. Instantaneous measurement of two-dimensional temperature distributions by means of two-color planar laser induced fluorescence (PLIF). Exp. Fluids 2005, 38, 123–131. [Google Scholar] [CrossRef]
- Lavieille, P.; Lemoine, F.; Lavergne, G.; Lebouche, M. Evaporating and combusting droplet temperature measurement using two colors laser induced fluorescence. Exp. Fluids 2001, 31, 45–55. [Google Scholar] [CrossRef]
- Perrin, L.; Ledoux, G. Spectral characterization of fluorescein species in aqueous solution for laser-induced fluorescence thermometry. Exp. Fluids 2023, 64, 117. [Google Scholar] [CrossRef]
- Widengreny, J.; Rigler, R. Mechanisms of photobleaching investigated by fluorescence correlation spectroscopy. Bioimaging 1996, 4, 149–157. [Google Scholar] [CrossRef]
- Chen, T.S.; Zeng, S.Q.; Zhou, W.; Luo, Q.M. A quantitative theory model of a photobleaching mechanism. Chin. Phys. Lett. 2003, 20, 1940–1943. [Google Scholar]
- Xu, R.; Teich, W.; Frenzel, F.; Hoffmann, K.; Radke, J.; Rösler, J.; Faust, K.; Blank, A.; Brandenburg, S.; Misch, M.; et al. Optical characterization of sodium fluorescein in vitro and ex vivo. Front. Oncol. 2021, 11, 654300. [Google Scholar] [CrossRef]
- Prasad, A.K.; Jensen, K. Scheimpflug stereocamera for particle image velocimetry in liquid flows. Appl. Opt. 1995, 34, 7092–7099. [Google Scholar] [CrossRef]
- Kokui, D.; Toriyama, K.; Tada, S.; Ichimiya, K.; Funatani, S. Measurement Method of Temperature Distribution Utilizing the Spectrum Intensity of Narrow Band Wavelengths of Thermo-chromic Liquid Crystal: Improved Measurement with Scheimpflug Camera Configuration. In Proceedings of the Thermal Engineering Conference, Toyama, Japan, 20–21 October 2018. (In Japanese). [Google Scholar]
- Dunand, P.; Castanet, G.; Lemoine, F. A two-color planar LIF technique to map the temperature of droplets impinging onto a heated wall. Exp. Fluids 2012, 52, 843–856. [Google Scholar] [CrossRef]
- Hanbin, S.H.I.; Raimondi, N.D.M.; Emmanuel, C.I.D.; Cabassud, M.; Gourdon, C. Temperature field acquisition by planar laser induced fluorescence using the two-color/two-dye technique for liquid flows in a millimetric zigzag channel. Chem. Eng. J. 2021, 426, 131460. [Google Scholar]
- Natrajan, V.K.; Christensen, K.T. Two-color laser-induced fluorescent thermometry for microfluidic systems. Meas. Sci. Technol. 2009, 20, 015401. [Google Scholar] [CrossRef]










| Fluorescent Dye | [nm] | [×10−2 s] |
|---|---|---|
| Fluorescein disodium | 500 | 2.4 |
| 510 | 1.0 | |
| 520 | 6.6 | |
| Rhodamine B | 580 | 3.0 |
| 589 | 3.0 | |
| 600 | 4.9 |
Disclaimer/Publisher’s Note: The statements, opinions and data contained in all publications are solely those of the individual author(s) and contributor(s) and not of MDPI and/or the editor(s). MDPI and/or the editor(s) disclaim responsibility for any injury to people or property resulting from any ideas, methods, instructions or products referred to in the content. |
© 2024 by the authors. Licensee MDPI, Basel, Switzerland. This article is an open access article distributed under the terms and conditions of the Creative Commons Attribution (CC BY) license (https://creativecommons.org/licenses/by/4.0/).
Share and Cite
Toriyama, K.; Funatani, S.; Tada, S. Development of a DualEmission Laser-Induced Fluorescence (DELIF) Method for Long-Term Temperature Measurements. Sensors 2024, 24, 7136. https://doi.org/10.3390/s24227136
Toriyama K, Funatani S, Tada S. Development of a DualEmission Laser-Induced Fluorescence (DELIF) Method for Long-Term Temperature Measurements. Sensors. 2024; 24(22):7136. https://doi.org/10.3390/s24227136
Chicago/Turabian StyleToriyama, Koji, Shumpei Funatani, and Shigeru Tada. 2024. "Development of a DualEmission Laser-Induced Fluorescence (DELIF) Method for Long-Term Temperature Measurements" Sensors 24, no. 22: 7136. https://doi.org/10.3390/s24227136
APA StyleToriyama, K., Funatani, S., & Tada, S. (2024). Development of a DualEmission Laser-Induced Fluorescence (DELIF) Method for Long-Term Temperature Measurements. Sensors, 24(22), 7136. https://doi.org/10.3390/s24227136

