Abstract
This work has presented gas sensors based on indium tin oxide (ITO) for the detection of SO2 and NO2. The ITO gas-sensing material was deposited by radio frequency (RF) magnetron sputtering. The properties of gas sensing could be improved by increasing the ratio of SnO2. The response characteristics of the gas sensor for detecting different concentrations of NO2 and SO2 were investigated. In the detection of NO2, the sensitivity was significantly improved by increasing the SnO2 ratio in ITO by 5%, and the response and recovery time were reduced significantly. However, the sensitivity of the sensor decreased with increasing SO2 concentration. From X-ray photoelectron spectroscopy (XPS) analysis, the gas-sensitive response mechanisms were different in the atmosphere of NO2 and SO2. The NO2 was adsorbed by ITO via physisorption but the SO2 had a chemical reaction with the ITO surface. The gas selectivity, temperature dependence, and environmental humidity of ITO-based gas sensors were systematically analyzed. The high detection sensitivity for acidic gas of the prepared sensor presented great potential for acid rain monitoring.
1. Introduction
Acid rain is one of the three major global environmental hazards, with a pH far below that of normal rainfall, which is largely detrimental to ecosystems, human health, and buildings [1]. Since acid rain is mainly generated by the reaction of NO2 and SO2 with water vapor, gas sensors are widely used to monitor the concentration of NO2 and SO2 in the atmosphere and timely control the emission of acidic substances. In recent years, metal oxide semiconductor gas sensors have been widely used for acidic gas detection due to their low cost, high sensitivity, and short response and recovery time [2,3,4,5]. Indium oxide (In2O3) and tin oxide (SnO2) are the most common sensitive materials used for acid rain gas detection. Excellent response to 0.1 ppm NO2 has been achieved by utilizing bimetallic Pd/Pt modification to prepare SnO2 nanowires. However, the device needs to operate at temperatures as high as 300 °C [6]. An ITO-ZnO composite film was prepared to detect NO2, achieving a lower detection limit of 70 ppm at an operating temperature of 170 °C but with a response time as long as 70 s [7]. A SnO2 thin film was prepared to detect SO2 at an operating temperature of 170 °C; however, the lower detection limit was 500 ppm with a low sensitivity of 1.3 [8]. It has been shown that the selectivity and sensitivity of the gas sensor can be further improved by changing the doping elements, doping concentration, and surface morphology of the sensitive material. At the same time, the effective life of the device for corrosive gas detection will be reduced at high operating temperatures, so it is necessary to further reduce the operating temperature.
Indium tin oxide (ITO), as a typical wide bandgap metal oxide semiconductor, is suitable for gas sensing due to its low resistivity and strong mechanical hardness. ITO-based sensors have been used to detect various gases, such as H2, CO, NH3, methanol, ethanol, benzene gases, etc. [9,10,11,12,13,14,15,16,17]. We have fabricated ITO materials with different morphologies (film, nanoparticles, nanorods, and nanowires) by sputtering [18]; the RS of the sensor with appropriate ITO nanowires was 235.6 at the ethanol gas concentration of 400 ppm, and the response and recovery times are 10 s and 12 s [19]. Meanwhile, the excellent corrosion resistance gives tin oxide and its compounds a significant advantage in the detection of corrosive gas [20].
In this study, ITO gas-sensitive materials with different In2O3/SnO2 ratios were prepared, characterized, and used to detect NO2 and SO2 with various concentrations. By increasing the SnO2 ratio in ITO film, the gas-sensitive response of ITO for the detection of SO2 and NO2 has been significantly improved. From the results, ITO-based gas sensors showed a decrease in sensitivity with increasing concentration in detecting SO2, which was different from the usual law of gas-sensitive detection, and the mechanism behind this phenomenon was studied. At last, the gas selectivity and temperature dependence of ITO-based sensors were also researched.
2. Methods
In this work, ITO films were prepared on the surface of the ceramic tubes using a radio frequency (RF) magnetron sputtering system, and then the ceramic tubes were soldered to the electric circuit to complete the fabrication of the gas sensors. The ceramic tubes were made of aluminum oxide with gold as the electrode material, and they were threaded with copper wire for heating. In the RF sputtering process, ITO target materials with In2O3/SnO2 ratios of 90:10 (wt%) and 85:15 (wt%) were used, respectively, under the argon gas flow rate of 20 sccm, the RF power of 45 W, the sputtering temperature of 27 °C, and the sputtering time of 98 min.
The sensitivity was defined as Rg/Ra and Ra/Rg for the detection of the oxidizing gas NO2 and the reducing gas SO2, respectively. Response time was defined as the time required for the sensor to complete 90% of its response after exposure to a specific concentration of target gas, and recovery time was defined as the time required for the sensor to recover 90% of its response after returning to the air. Maintain a constant humidity of 35%RH in the testing environment for all gas sensors.
Gas adsorption is a constantly changing process, so the test can be divided into static gas reaction process and dynamic gas reaction process. In the static process, a specific concentration of gas was filled in the chamber and then turned on the gas-sensitive test system. Static gas-sensitivity testing is used to monitor the macroscopic changes in sensor resistance caused by carriers’ concentration. The resistance of the gas sensor was changed by the concentration of carriers through the adsorption, desorption, and ionization reaction with gas. In the dynamic process, the gas-sensitive test system was turned on first, and then gas filled the chamber until a specific concentration. Dynamic testing is used to monitor the change in resistance of gas-sensitive materials when they make contact with a gas.
For the characterization of gas-sensing materials, scanning electron microscopy (SEM) was conducted on an FEI Quanta 250FEG (Hillsboro, OR, USA), and X-ray diffraction (XRD) was conducted on a Bruker D8 ADVANC (Karlsruhe, Germany). X-ray photoelectron spectroscopy was conducted on a Thermo Scientific Escalab 250Xi photoelectron spectrometer (Waltham, MA, USA), and we calibrated the result with the binding energy of elemental carbon, which is 284.6 eV, when we analyzed the test results. Atomic force microscopy (AFM) was conducted on a Shimadzu SPM-9700HT (Kyoto, Japan).
3. Results and Discussion
3.1. Effect of Sn Doping on the Morphology of ITO Films
The SEM results of ITO films prepared by magnetron sputtering were shown in Figure 1a,b; the size of the particles on the surface of the ITO film with In2O3/SnO2 ratio of 90:10 was significantly smaller than that of 85:15, and the number of particles per unit area also increased significantly with the increase of SnO2 concentration. The AFM characterization results of ITO films are shown in Figure 1c,d; with the increase in SnO2 concentration from 10% to 15%, the surface roughness (root-mean-square error) of the ITO films decreased from 2.34 nm to 1.95 nm. The results from SEM and AFM reveal that the ITO film with 15% SnO2 concentration exhibited a smaller surface particle size compared to the ITO film with 10% SnO2 concentration, which is attributed to the larger specific surface area. On one hand, increasing the specific surface area could provide more contact sites for the interaction between ITO and gas molecules, leading to the improvement of gas-sensitive performance [21]. On the other hand, for ITO films with smaller surface particles, the gas-sensitive performance improved because the portion of the depletion region increased [22].
Figure 1.
The SEM micrographs and AFM characterization results of ITO thin film with In2O3/SnO2 ratio of (a,c) 90:10 and (b,d) 85:15.
3.2. Effect of SnO2 Ratio on Gas-Sensitive Properties
Figure 2a shows the gas-sensitive properties of ITO with different SnO2 concentrations under NO2 gas conditions, and the gas-sensitive properties were significantly improved with the increase in SnO2 concentration (the mass percent of SnO2 from 10% to 15%). The working temperature of the gas sensor was 240 °C. In Figure 2b, the sensitivity increased from 1.7 to 2.5 under 5 ppm NO2 and increased from 2 to 2.8 at 10 ppm NO2. In Figure 2d, when the NO2 was 5 ppm, the response time decreased from 20 s to 8 s, and the recovery time decreased from 110 s to 74 s. For ITO with a SnO2 concentration of 15% in Figure 2c, as the SO2 concentration rose from 5 ppm to 10 ppm, the response time decreased from 8 s to 6 s, and the recovery time decreased from 74 s to 61 s.
Figure 2.
(a) Characterization curves of ITO gas sensors with different ITO ratios for detecting NO2. (b) Sensitivity of ITO gas sensors with different indium/tin ratios for the detection of 5 ppm and 10 ppm NO2. (c) Response and recovery time of ITO gas sensors with an indium/tin ratio of 85:15 for detecting NO2 at different concentrations. (d) Response and recovery time of ITO sensors with different In2O3/SnO2 ratios for detecting NO2 at the concentration of 5 ppm.
Figure 3a shows the gas-sensitive properties of ITO with different SnO2 concentrations under SO2 gas conditions, and the gas-sensitive properties of ITO were improved with the increase in SnO2 concentration. The same working temperature of 240 °C was used. Compared to under NO2 conditions, the amplitude of change was relatively small. In Figure 3b, the sensitivity increased from 1.5 to 1.9 under 5 ppm SO2. For 10 ppm, the sensitivity increased from 1.4 to 1.8. From Figure 3d, at about 5 ppm SO2, the response time decreased from 96 s to 66 s, and the recovery time decreased from 77 s to 58 s. When the ITO with SnO2 concentration increased to 15%, the response time and recovery time were 66 s and 58 s under 5 ppm SO2, respectively. As the SO2 gas changed from 5 ppm to 10 ppm, the response time and recovery time decreased to 42 s and 52 s.
Figure 3.
(a) Response curves of ITO-based gas sensors with different ITO ratios for the detection of SO2. (b) Sensitivity of ITO-based gas sensors with different indium/tin ratios for 5 ppm and 10 ppm SO2. (c) Response and recovery time of ITO-based gas sensors with an In2O3/SnO2 ratio of 85:15 for detecting SO2 at different concentrations. (d) Response and recovery time of ITO-based sensors with different indium/tin ratios for detecting 5 ppm SO2.
The resistance of the ITO-based gas sensor decreased under oxidizing gas SO2 and increased under reducing gas NO2. For the detection of both SO2 and NO2, the gas-sensitive properties improve by improving the SnO2 concentration. ITO showed higher sensitivity and shorter response and recovery time in 5 ppm NO2 compared with 10 ppm NO2. However, for the detection of SO2, the sensitivity decreased as the concentration of SO2 increased from 5 ppm to 10 ppm, which was different from the usual law of gas-sensitive detection, and further experiments were conducted to verify this phenomenon by expanding the range of measured concentrations.
3.3. Gas-Sensitive Response Characteristics for NO2 and SO2
The response curves of the ITO gas sensor in 5–100 ppm NO2 gas were shown in Figure 4a; the sensor exhibited excellent gas-sensitive characteristics. The ITO-based sensor has high sensitivity in low concentrations of NO2; with increasing NO2 concentration, the sensitivity and response time increased, and the recovery time reduced (Figure 4c,e). The response curves of the sensor in SO2 with the concentration range of 5–100 ppm were shown in Figure 4b. Unlike the detection of NO2, the ITO-based gas sensor exhibited a decrease in sensitivity with increasing SO2 concentration when the concentration increases from 5 ppm to 100 ppm (Figure 4d,f). All the gas sensors were operated at the same working temperature of 160 °C.
Figure 4.
The response curve of ITO-based gas sensor in 5–100 ppm (a) NO2 and (b) SO2. The sensitivity of ITO-based gas sensors in detecting different concentrations of (c) NO2 and (d) SO2. The response time and recovery time of (e) NO2 and (f) SO2 with a concentration of 5–100 ppm.
The relevant gas-sensitive materials and results of testing NO2 and SO2 in recent years have been summarized in Table 1 and Table 2. The use of ITO materials to measure 5 ppm NO2 and 5 ppm SO2 achieved good experimental results, especially in terms of response time and recovery time, and are the best ones currently, fully demonstrating the potential of ITO materials as gas-sensitive materials.
Table 1.
The comparison of gas-sensitivity characteristics for NO2.
Table 2.
The comparison of gas-sensitivity characteristics for SO2.
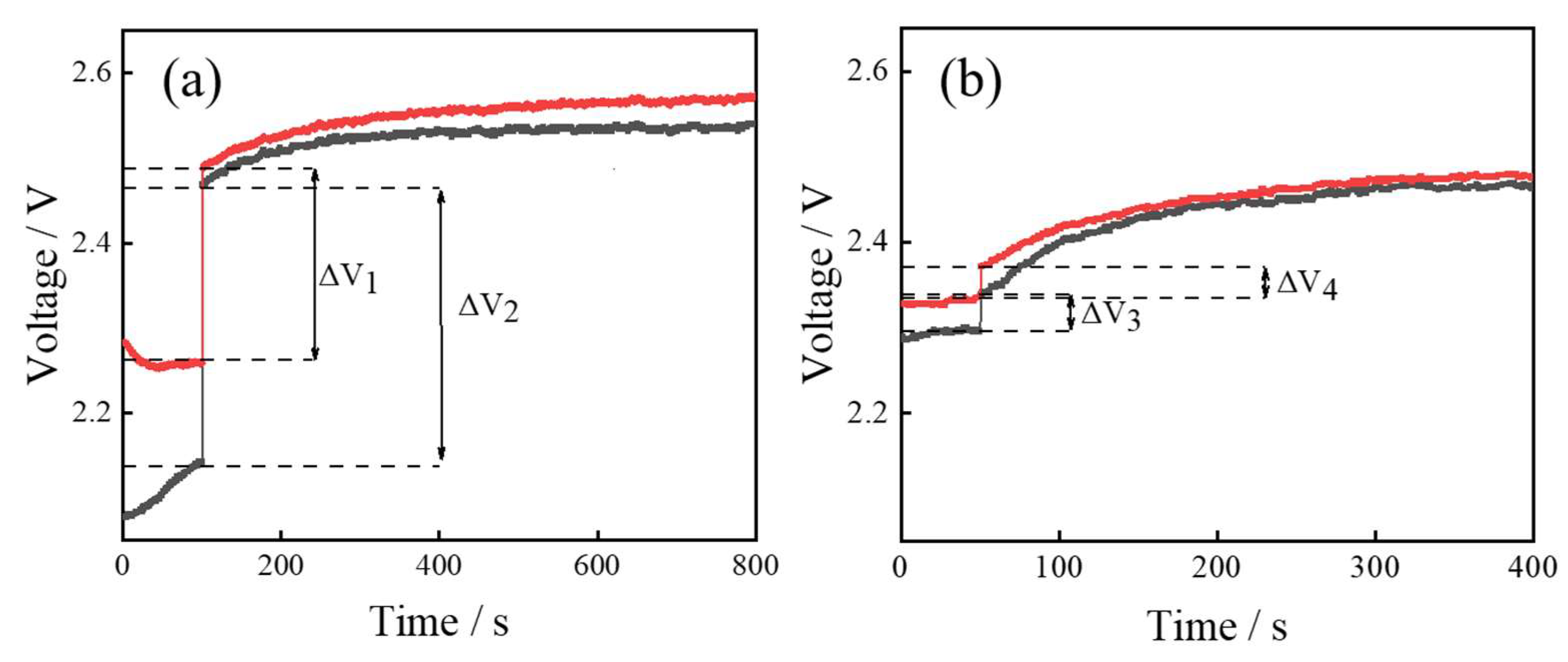
In order to verify that the phenomenon occurring in the detection of SO2 is not a random phenomenon due to errors or other reasons, we changed the test method for SO2 gas at 10 ppm and 5 ppm. Unlike the dynamic test method used in the previous experiments, the static test was used to calculate and analyze the sensitivity of the sensor for low-concentration detection of SO2, and the results are shown in Figure 5. The values of ΔV1 and ΔV2 for the ITO gas sensor in a 5 ppm SO2 environment were 0.21 V and 0.32 V, respectively (Figure 5a), and the values of ΔV3 and ΔV4 for the ITO gas sensor in a 10 ppm SO2 environment were 0.043 V and 0.036 V, respectively (Figure 5b). The voltage change in the sensor in a 10 ppm SO2 environment was almost an order of magnitude smaller than the voltage change at 5 ppm. These results indicate that the ITO-based gas sensors had stronger gas-sensitive response in lower concentrations of SO2 because of the stronger electron transfer ability.
Figure 5.
Static gas-sensitivity test curve of ITO gas sensor in (a) 5 ppm and (b) 10 ppm SO2 environment.
3.4. Effect of Sn Doping on Oxygen Vacancy Concentration
As an n-type semiconductor, the gas-sensing performance of ITO can be improved by increasing the concentration of oxygen vacancies [37]. Oxygen vacancies are common defects in ITO, and the defects are ideal adsorption sites for target molecules on the surface of gas-sensitive materials. When the sensor is in contact with air, the adsorbed O2 forms a peroxide structure, and once the O2 molecules are adsorbed on the top of the oxygen vacancy sites, the O atoms in the O2 molecules can spontaneously fill the oxygen vacancy defects through the unobstructed dissociation process. A depletion layer will be formed on the surface of the n-type semiconductor, and the concentration of the carriers will decrease, and thus the conductance of the sensor will decrease [38]. The adsorption energy of the measured gas at the oxygen vacancy site will be significantly increased. The adsorbed gas molecules may be dissociated into an O atom and other molecules after adsorption on the surface of the sensitive material. The dissociated O atoms from the measured gas will fill the oxygen vacancy sites, while the remaining gas molecules can be easily desorbed on the defect-free surface by an exothermic process, thus completing the electron transfer process [39].
When ITO is used as a gas-sensitive material, the content of oxygen inside the material will directly affect the gas-sensitive performance of the device. On one hand, since oxygen will first be absorbed on the surface of the sensitive material, it will be ionized into different states of adsorbed oxygen ions. When the sensor works, oxygen ions react with the target gas to produce carriers. Therefore, the adsorbed oxygen content will determine the concentration of adsorbed oxygen ions generated on the surface of the material. The higher the concentration of adsorbed oxygen ions, the more electrons will be exchanged when the material undergoes a gas-sensitive reaction, and the higher the sensitivity will be. On the other hand, the oxygen content in the material is partly in the form of lattice oxygen and partly in the form of oxygen vacancies caused by defects; thus, the higher the oxygen vacancy concentration, the more adsorbable sites for gas molecules and the higher the sensitivity.
Oxygen vacancies are defects brought about by Sn4+ doping in the indium oxide lattice, and the Sn4+ doping concentration is proportional to the oxygen vacancy concentration. The oxygen content in ITO films with different indium/tin ratios was fitted by peak splitting in the XPS analysis, and the fitting results are shown in Figure 6a,b. Two curves existed within the fitted peaks, corresponding to binding energies of 529.4 eV and 531.1 eV, respectively. The peaks at 529.4 eV were assigned to adsorbed oxygen, and the peaks at 531.1 eV could be assigned to lattice oxygen [19]. The results of integrating the different peak areas were calculated in Table 3. The content of adsorbed oxygen and lattice oxygen became larger with SnO2 ratio increases, which was the reason for the ITO-based gas sensor with 15% SnO2 having a better gas-sensing performance.
Figure 6.
Single-peak fits of O1s in ITO with different In2O3/SnO2 ratios: (a) 90:10, (b) 85:15. XPS spectra of S2p in ITO after participating in the reaction with (c) 5 ppm SO2 and (d) 10 ppm SO2.
Table 3.
The amount of oxygen in different ITO films.
3.5. Analysis of Gas-Sensing Mechanism
In general, adsorption can be divided into physical and chemical adsorption [40]. The sensitivity of the prepared ITO-based gas sensor increases with the increase in concentration when detecting NO2, and the gas-sensitive reaction mechanism is as follows. When the ITO film was exposed to NO2, the gas molecules adsorbed to the surface of the material rob electrons from the material and cause the energy bands to bend near the contact surface. The thickness of the depletion layer on the surface of the material increased, and then the potential barrier at the grain boundary rose. Last, the resistance of the ITO gas-sensitive material increased. The NO2 molecules did not react chemically with the ITO material; only free electron transfer occurred. So, the adsorption between NO2 and the ITO material could be considered as physical adsorption.
Firstly, the NO2 gas molecules were adsorbed on the surface of the ITO material; then, the molecules captured free electrons from the conduction band of the ITO film, and NO2 was formed. The gas-sensitive reaction process can be described as Equations (1) and (2).
Unlike the detection of NO2, the sensitivity of the prepared ITO gas sensors decreased with increasing SO2 concentration from the static and dynamic test results. The XPS analysis on the surface of an ITO gas sensor that had been used to detect SO2 was employed to check the reaction process (Figure 6c,d). The integration of the S element content revealed that the S element content was only 2.51%, and XPS results are shown in Figure 6c,d. The S2p spectrum exhibited two contributions, 2p3/2 and 2p1/2, located at 161.3 eV and 162.2 eV, respectively, which could be assigned to In2S3 [41]. The 3d5/2 and 3d3/2 peaks were observed at 168.9 eV and 169.2 eV, respectively (Figure 6d), which could be assigned to SnSO4 [42]. XPS results revealed that the response mechanism of the ITO-based gas sensor for the detection of SO2 involved chemical reactions, which led to the anomalous gas-sensing response.
Since the Sn-O bond in the ITO structure is more stable than the In-O bond, the SO2 gas molecules first reacted with In2O3 to form SO3. As the concentration of SO2 increases, the In2O3 that could take part in the reaction was completely reduced to In2S3, and SnO2 was further involved in the reaction with SO2. This was the reason for the different S-containing compounds on the surface of the samples at different concentrations exhibited in the XPS results. Meanwhile, the generated SO3 further reacted with adsorbed oxygen anions on the sensor surface, and the electrons released during the reaction returned to the conduction band of the ITO material. In a relatively low concentration of SO2, more In2S3 was formed as the SO2 concentration increased, reducing the electrons in the conduction band of the ITO material. Further increasing the concentration of SO2, the formed SO3 combined with adsorbed oxygen ions and reacted with SnO2 to form SnSO4, which reduced the concentration of adsorbed oxygen ions involved in the reaction and further reduced the effective electron mobility. The reduction in the electron mobility of the ITO resulted in a decrease in the gas-sensing response of the ITO gas sensor. The reaction process can be explained as Equations (3)–(5).
Based on the above analysis, the reaction between SO2 and the ITO film could cause damage to the materials, leading to abnormal changes in the trend of gas-sensitive reactions. Two sets of samples under the same process conditions (In2O3/SnO2 ratios of 85 wt%:15 wt%) and the same test conditions (working temperature of 200 °C) were used for verification. In Figure 7a, a low concentration of 5 ppm SO2 was first used, and its sensitivity was found to be 1.24. After the sensor was restored, the test baseline increased, indicating damage to the ITO material and an increase in the resistance. By reusing the high concentration of 50 ppm SO2, the sensitivity became 1.16, showing a decreasing trend. Once the sensor was restored again, the test baseline was further elevated, indicating that material damage was exacerbated. Finally, using the SO2 of 5 ppm for testing again, the sensitivity was only 1.06, which was significantly lower than the initial test result, strongly proving that the SO2 gas reaction did indeed cause damage to the material. The detailed gas-sensing characteristic parameters are presented in Table 4. Figure 7b shows the results of the other set of gas sensors, which were first reacted with a high concentration of 50 ppm SO2, then reacted with a low concentration of 5 ppm SO2 after recovery, and finally validated with 5 ppm again. All the gas-sensitive parameters are presented in Table 5, which fully demonstrates that ITO could seriously damage the gas-sensitive material when testing SO2 gas.
Figure 7.
The reaction concentration of SO2 gas is (a) initially low and then high, (b) initially high and then low.
Table 4.
The gas-sensitivity characteristics from Figure 7a.
Table 5.
The gas-sensitivity characteristics from Figure 7b.
3.6. Gas Selectivity and Temperature Dependence for ITO-Based Sensors
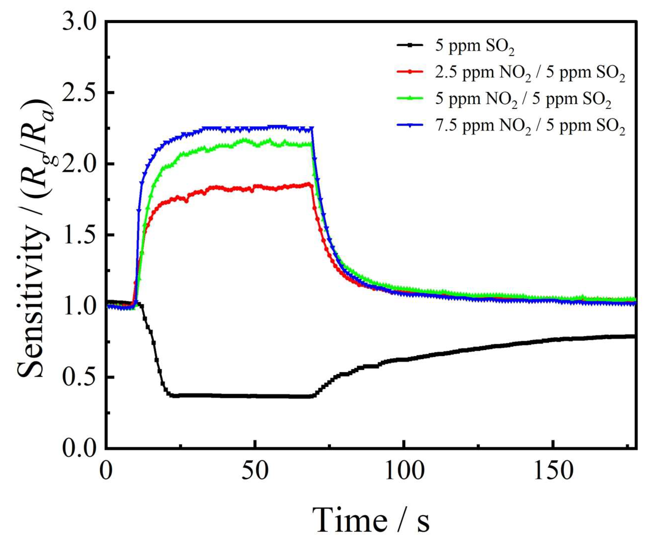
Figure 8 shows the results of ITO-based gas sensors for the selectivity of NO2 and SO2 mixed gases. Due to the damage of SO2 gas to ITO materials, we chose a fixed SO2 concentration of 5 ppm and conducted gas-sensitivity testing by adjusting the NO2 gas concentration. Though the NO2 concentration (2.5 ppm) was lower than, equal to (5 ppm), or higher than (10 ppm) the SO2 concentration, all the response trends presented the NO2 response pattern, indicating that ITO materials have priority reactions with NO2 gas.
Figure 8.
The gas sensitivity of NO2 and SO2 mixed gases.
At the same time, the temperature dependence of gas reactions was also characterized, as shown in Figure 9. In the atmosphere of NO2 gas (5 ppm), the sensitivity of ITO-based gas sensors showed a parabolic trend with increasing temperature, indicating that there was an optimal working temperature. In the atmosphere of SO2 gas (5 ppm), due to the damage to the ITO material, the sensitivity of the sensor continuously increased with the increase in working temperature, showing a linear relationship.
Figure 9.
The effect of temperature on gas-sensing characteristics.
3.7. Effect of Humidity on Sensor Performance
For acid rain gases, it is crucial to investigate the effect of humidity during gas sensor detection on device performance. The testing environment for this work was in a clean room with constant temperature and humidity (25 °C, 35%RH), so the starting point of humidity was 35%RH, which increased by 20% in sequence and reached 100%RH. Taking NO2 as the testing gas at a concentration of 100 ppm and a working temperature of 240 °C, it can be seen from the results in Figure 10 and Table 6 that the sensitivity of the gas sensor decreased from 2.42 to 1.49 with the humidity increase, indicating a decreasing trend. The response time and recovery time both continued to increase. On the one hand, an increase in humidity meant an increased number of water molecules in the relative space, which hindered the adsorption between gas molecules and sensitive materials. On the other hand, the solubility of NO2 in water to some extent reduced the concentration of tested NO2 gas. But overall, gas sensors based on ITO materials have obvious gas response characteristics and can work effectively in environments with humidity up to 100%RH.
Figure 10.
The sensitivity of ITO-based gas sensors under different humidity.
Table 6.
Sensor characteristics with different humidity.
4. Conclusions
In summary, this paper investigated the gas-sensing properties of ITO-based gas sensors with different indium/tin ratios for NO2 and SO2. The increase in the SnO2 ratio contributed to the increase in the specific surface area and the concentration of oxygen vacancies in the ITO film, which greatly improved its gas-sensing performance. By increasing the SnO2 ratio from 10% to 15%, the sensitivity was doubled for the detection of 5 ppm NO2, and both response and recovery time were improved. It was found that ITO-based gas sensors showed a decrease in sensitivity with increasing concentration for the detection of SO2. By analyzing the mechanism, the adsorption between the ITO film and SO2 molecules was chemical adsorption. Detailed discussions have been conducted on the gas selectivity, temperature dependence, and environmental humidity of ITO-based gas sensors. Gas-sensing devices prepared based on ITO materials can effectively monitor the concentration of acidic gases and prevent the formation of acid rain.
Author Contributions
K.P.: conceptualization, investigation, methodology, writing—original draft. Q.L.: conceptualization, methodology, writing—original draft, review and editing, supervision, funding acquisition. M.M.: investigation, methodology. N.L.: investigation, methodology. H.S.: investigation, methodology, software, technical support. H.L.: investigation. Y.H.: investigation. F.Y.: methodology. All authors have read and agreed to the published version of the manuscript.
Funding
The Central Universities (Nos. xyz012022088, xzd012023045); The National Key R&D Program of China (No. 2021YFB3602000).
Data Availability Statement
The data presented in this study are available on request from the corresponding author.
Acknowledgments
The authors wish to thank the Instrumental Analysis Center of Xi’an Jiaotong University for the SEM and XPS tests. They also wish to thank the Northwest Survey & Planning Institute of National Forestry and Grassland Administration for their strong support.
Conflicts of Interest
The authors declare no conflicts of interest.
References
- Grennfelt, P.; Engleryd, A.; Forsius, M.; Hov, Y.; Rodhe, H.; Cowling, E. Acid rain and air pollution: 50 years of progress in environmental science and policy. Ambio 2020, 49, 849–864. [Google Scholar] [CrossRef] [PubMed]
- Hsueh, T.J.; Lee, S.H. A La2O3 Nanoparticle SO2 Gas Sensor that Uses a ZnO Thin Film and Au Adsorption. J. Electrochem. Soc. 2021, 168, 077507. [Google Scholar] [CrossRef]
- Yang, A.; Wang, D.; Lan, T.; Chu, J.; Rong, M. Single ultrathin WO3 nanowire as a superior gas sensor for SO2 and H2S: Selective adsorption and distinct I-V response. Mater. Chem. Phys. 2019, 240, 122165. [Google Scholar] [CrossRef]
- Thangamani, G.J.; Pasha, S.K.K. Titanium dioxide (TiO2) nanoparticles reinforced polyvinyl formal (PVF) nanocomposites as chemiresistive gas sensor for sulfur dioxide (SO2) monitoring. Chemosphere 2021, 275, 129960. [Google Scholar] [CrossRef] [PubMed]
- Liu, H. High-sensitivity SO2 Gas Sensor Based on Noble Metal Doped WO3 Nanomaterials. ESG 2021, 16, 211240. [Google Scholar] [CrossRef]
- Choi, S.W.; Katoch, A.; Sun, G.J.; Kim, S.S. Bimetallic Pd/Pt nanoparticle-functionalized SnO2 nanowires for fast response and recovery to NO2. Sens. Actuators B Chem. 2013, 181, 446–453. [Google Scholar] [CrossRef]
- Madhi, I.; Bouzid, B.; Saadoun, M.; Bessaïs, B. Synthesis and characterization of ITO–ZnO nanocomposite and its application as NO2 gas sensor. Ceram. Int. 2015, 41, 6552–6559. [Google Scholar] [CrossRef]
- Tyagi, P.; Sharma, A.; Tomar, M.; Gupta, V. Metal Oxide Catalyst assisted SnO2 thin film based SO2 gas sensor. Sens. Actuators B Chem. 2016, 224, 282–289. [Google Scholar] [CrossRef]
- Mokrushin, A.S.; Fisenko, N.A.; Gorobtsov, P.Y.; Simonenko, T.L.; Glumov, O.V.; Melnikova, N.A.; Simonenko, N.P.; Bukunov, K.A.; Simonenko, E.P.; Sevastyanov, V.G.; et al. Pen plotter printing of ITO thin film as a highly CO sensitive component of a resistive gas sensor. Talanta 2021, 221, 121455. [Google Scholar] [CrossRef]
- Patel, N.G.; Patel, P.D.; Vaishnav, V.S. Indium tin oxide (ITO) thin film gas sensor for detection of methanol at room temperature. Sens. Actuators B 2003, 96, 180–189. [Google Scholar] [CrossRef]
- Jeong, C.W.; Shin, C.H.; Kim, D.I.; Chae, J.H.; Kim, Y.S. An ITO/Au/ITO Thin Film Gas Sensor for Methanol Detection at Room Temperature. Trans. Electr. Electron. Mater. 2010, 11, 77–80. [Google Scholar] [CrossRef]
- Lin, C.W.; Chen, H.I.; Chen, T.Y.; Huang, C.C.; Hsu, C.S.; Liu, R.C.; Liu, W.C. On an indium–tin-oxide thin film based ammonia gas sensor. Sens. Actuators B Chem. 2011, 160, 1481–1484. [Google Scholar] [CrossRef]
- Vaishnav, V.S.; Patel, S.G.; Panchal, J.N. Development of ITO thin film sensor for detection of benzene. Sens. Actuators B Chem. 2015, 206, 381–388. [Google Scholar] [CrossRef]
- Vasanthi Pillay, V.; Goyal, S. Influence of Sputtering Power, Annealing on the Structural Properties of ITO Films, for Application in Ethanol Gas Sensor. Mater. Today Proc. 2015, 2, 4609–4619. [Google Scholar] [CrossRef]
- Arun, M.; Yong, S.H. Plasma-assisted chemical vapor synthesis of indium tin oxide (ITO) nanopowder and hydrogen-sensing property of ITO thin film. Mater. Res. Express 2018, 5, 065045. [Google Scholar]
- Li, Q.; Zhang, Y.; Wang, Z.; Li, Y.; Ding, W.; Wang, T.; Yun, F. Heavily tin-doped indium oxide nano-pyramids as high-performance gas sensor. AIP Adv. 2018, 8, 115316. [Google Scholar] [CrossRef]
- Hasan, B.A. SnO2 doped In2O3 thin films as reducing gas sensors. In IOP Conference Series: Materials Science and Engineering; IOP Publishing: Bristol, UK, 2020; p. 072011. [Google Scholar]
- Li, Q.; Zhang, Y.; Feng, L.; Wang, Z.; Wang, T.; Yun, F. Investigation of the influence of growth parameters on self0catalyzed ITO nanowires by high RF-power sputtering. Nanotechnology 2018, 29, 165708. [Google Scholar] [CrossRef] [PubMed]
- Zhang, Y.; Li, Q.; Tian, Z.; Hu, P.; Qin, X.; Yun, F. Gas-sensing properties of ITO materials with different morphologies prepared by sputtering. SN Appl. Sci. 2020, 2, 264. [Google Scholar] [CrossRef]
- Sneha, N.; Selvisusmithasri, K.; Kiruthika, S. Sub-500 nm patterned synthesis of corrosion resistant SnO2 and Pt@ SnO2 using metal-organic precursor. Mater. Chem. Phys. 2023, 306, 128044. [Google Scholar] [CrossRef]
- Leite, E.R.; Weber, I.T.; Longo, E.; Varela, J.A. A new method to control particle size and particle size distribution of SnO2 nanoparticles for gas sensor applications. Adv. Mater. 2000, 12, 965–968. [Google Scholar] [CrossRef]
- Han, M.A.; Kim, H.-J.; Lee, H.C.; Park, J.-S.; Lee, H.-N. Effects of porosity and particle size on the gas sensing properties of SnO2 films. Appl. Surf. Sci. 2019, 481, 133–137. [Google Scholar] [CrossRef]
- Choi, M.S.; Kim, M.Y.; Mirzaei, A.; Kim, H.-S.; Kim, S.-i.; Baek, S.-H.; Chun, D.W.; Jin, C.; Lee, K.H. Selective, sensitive, and stable NO2 gas sensor based on porous ZnO nanosheets. Appl. Surf. Sci. 2021, 568, 150910. [Google Scholar] [CrossRef]
- Li, G.; Shen, Y.; Zhou, P.; Hao, F.; Fang, P.; Wei, D.; Meng, D.; San, X. Design and application of highly responsive and selective rGO-SnO2 nanocomposites for NO2 monitoring. Mater. Charact. 2020, 163, 110284. [Google Scholar] [CrossRef]
- Ramgir, N.S.; Goyal, C.P.; Goyal, D.; Patil, S.J.; Debnath, A.K. NO2 sensor based on Al modified ZnO nanowires. Mater. Sci. Semicond. Process. 2021, 134, 106027. [Google Scholar] [CrossRef]
- Liu, W.; Gu, D.; Li, X. Detection of Ppb-Level NO2 Using Mesoporous ZnSe/SnO2 Core-Shell Microspheres Based Chemical Sensors. Sens. Actuators B Chem. 2020, 320, 128365. [Google Scholar] [CrossRef]
- Simon, I.; Savitsky, A.; Mülhaupt, R.; Pankov, V.; Janiak, C. Nickel nanoparticle-decorated reduced graphene oxide/WO3 nanocomposite–a promising candidate for gas sensing. Beilstein Arch. 2020, 2020, 145. [Google Scholar] [CrossRef] [PubMed]
- Zheng, X.; Qiao, X.; Luo, F.; Wan, B.; Zhang, C. Low-cost high-performance NO2 sensor based on nanoporous indium tin oxide (ITO) film. Sens. Actuators B Chem. 2021, 346, 130440. [Google Scholar] [CrossRef]
- Lee, D.-J.; Park, J.; Kim, H.S.; Lee, D.H.; Park, M.; Chang, H.; Jin, J.-H.; Sohn, J.-R.; Heo, K.; Lee, B.Y. Highly selective ppb-level detection of NH3 and NO2 gas using patterned porous channels of ITO nanoparticles. Sens. Actuators B Chem. 2015, 216, 482–487. [Google Scholar] [CrossRef]
- Tyagi, P.; Sharma, A.; Tomar, M.; Gupta, V. SnO2 thin film sensor having NiO catalyst for detection of SO2 gas with improved response characteristics. Sens. Actuators B Chem. 2017, 248, 998–1005. [Google Scholar] [CrossRef]
- Tyagi, P.; Sharma, A.; Tomar, M.; Gupta, V. Efficient Detection of SO2 Gas Using SnO2 Based Sensor Loaded with Metal Oxide Catalysts. Procedia Eng. 2014, 87, 1075–1078. [Google Scholar] [CrossRef]
- Tyagi, P.; Sharma, A.; Tomar, M.; Gupta, V. Effect of MgO and V2O5 catalyst on the sensing behaviour of tin oxide thin film for SO2 gas. Conf. Pap. Sci. 2014, 2014, 812627. [Google Scholar] [CrossRef]
- Zhao, C.; Gong, H.; Niu, G.; Wang, F. Ultrasensitive SO2 sensor for sub-ppm detection using Cu-doped SnO2 nanosheet arrays directly grown on chip. Sens. Actuators B Chem. 2020, 324, 128745. [Google Scholar] [CrossRef]
- Liu, L.; Liu, S. Oxygen vacancies as an efficient strategy for promotion of low concentration SO2 gas sensing: The case of Au-modified SnO2. ACS Sustain. Chem. Eng. 2018, 6, 13427–13434. [Google Scholar] [CrossRef]
- Fu, Y.; Li, J.; Xu, H. SnO2 recycled from tin slime for enhanced SO2 sensing properties by NiO surface decoration. Mater. Sci. Semicond. Process. 2020, 114, 105073. [Google Scholar] [CrossRef]
- Liu, Y.; Xu, X.; Chen, Y.; Zhang, Y.; Gao, X.; Xu, P.; Li, X.; Fang, J.; Wen, W. An integrated micro-chip with Ru/Al2O3/ZnO as sensing material for SO2 detection. Sens. Actuators B Chem. 2018, 262, 26–34. [Google Scholar] [CrossRef]
- Luo, N.; Wang, C.; Zhang, D.; Guo, M.; Wang, X.; Cheng, Z.; Xu, J. Ultralow detection limit MEMS hydrogen sensor based on SnO2 with oxygen vacancies. Sens. Actuators B Chem. 2022, 354, 130982. [Google Scholar] [CrossRef]
- Dey, A. Semiconductor metal oxide gas sensors: A review. Mater. Sci. Eng. B 2018, 229, 206–217. [Google Scholar] [CrossRef]
- Wang, C.N.; Li, Y.L.; Gong, F.L.; Zhang, Y.H.; Fang, S.M.; Zhang, H.L. Advances in doped ZnO nanostructures for gas sensor. Chem. Rec. 2020, 20, 1553–1567. [Google Scholar] [CrossRef]
- Kumar, A.; Kumar, M.; Kumar, R.; Singh, R.; Prasad, B.; Kumar, D. Numerical model for the chemical adsorption of oxygen and reducing gas molecules in presence of humidity on the surface of semiconductor metal oxide for gas sensors applications. Mater. Sci. Semicond. Process. 2019, 90, 236–244. [Google Scholar] [CrossRef]
- Battistoni, C.; Gastaldi, L.; Lapiccirella, A.; Mattogno, G.; Viticoli, S. Octahedral vs tetrahedral coordination of the co (II) ion in layer compounds: CoxZn1−xIn2S4(O≤x≤0.46) solid solution. J. Phys. Chem. Solids 1986, 47, 899–903. [Google Scholar] [CrossRef]
- Yu, X.-R.; Liu, F.; Wang, Z.-Y.; Chen, Y. Auger parameters for sulfur-containing compounds using a mixed aluminum-silver excitation source. J. Electron Spectrosc. Relat. Phenom. 1990, 50, 159–166. [Google Scholar] [CrossRef]
Disclaimer/Publisher’s Note: The statements, opinions and data contained in all publications are solely those of the individual author(s) and contributor(s) and not of MDPI and/or the editor(s). MDPI and/or the editor(s) disclaim responsibility for any injury to people or property resulting from any ideas, methods, instructions or products referred to in the content. |
© 2024 by the authors. Licensee MDPI, Basel, Switzerland. This article is an open access article distributed under the terms and conditions of the Creative Commons Attribution (CC BY) license (https://creativecommons.org/licenses/by/4.0/).









