Creation of Low-Loss Triple-Ring Optical Filter via Direct Binary Search Inverse Design
Abstract
1. Introduction
2. Theoretical Analysis
2.1. Theoretical Analysis of the Triple-Ring Optical Filter
2.2. Analysis of the Frequency Deviation
3. Device Design
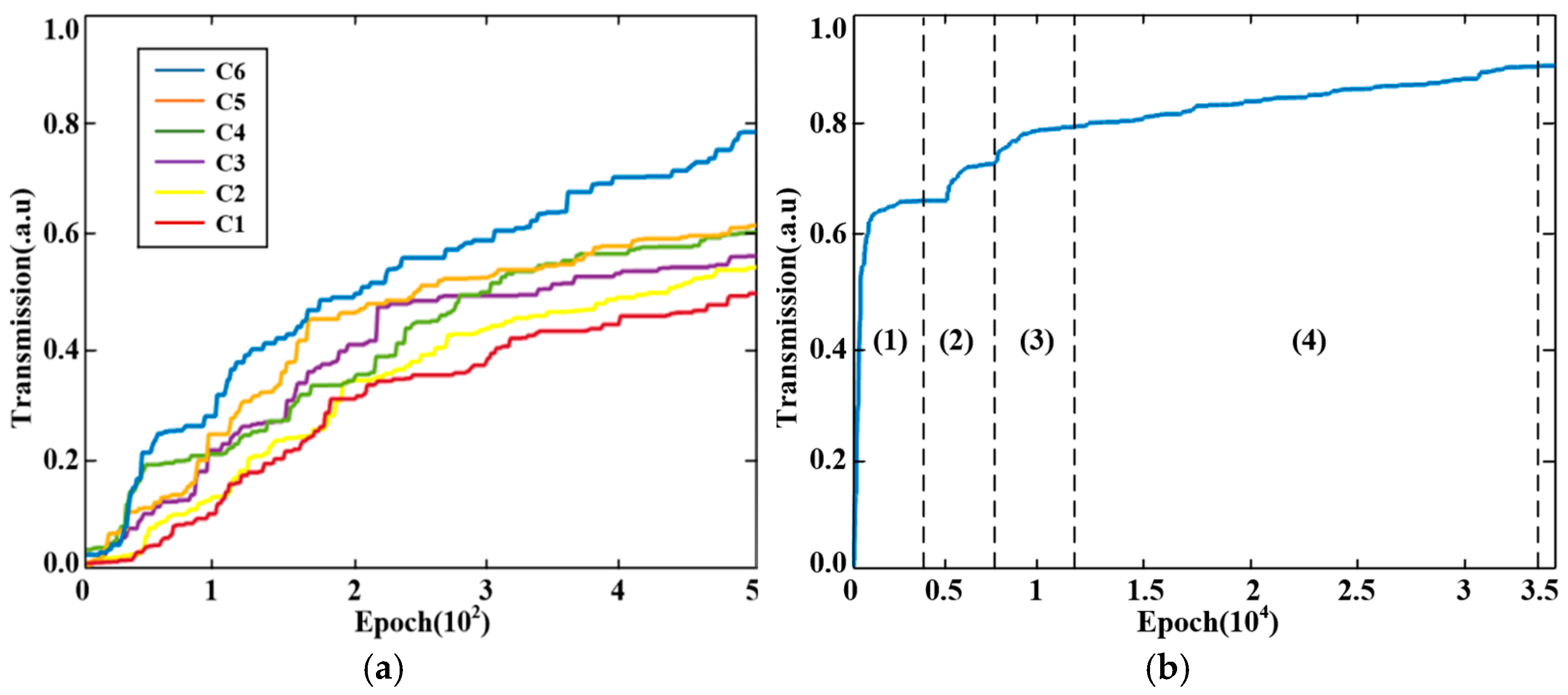
3.1. The Working Principle of DBS
| Algorithm 1 Direct Binary Search Method for Multi-Ring Filter Design |
Input:
![]() |
3.2. Design of the Triple-Ring Optical Filter
4. Numerical Calculations
4.1. Optimization Based on DBS
4.2. Transmission Spectra
4.3. Steady-State Field Distribution
4.4. Fabrication Tolerance of the Device
- (1)
- The radius of the air holes () in the coupling structure was set to 50 nm. To evaluate fabrication tolerance, we varied and analyzed its impact on device performance. As shown in Figure 10, both the insertion loss and extinction ratio are highly sensitive to variations in . A transmittance of is achieved when the radius ranges from 42.8 nm to 58.2 nm. Beyond this range, the transmission efficiency decreases due to the weak coupling coefficient between the rings and waveguides. The insertion loss reaches its minimum at the designed value of . Thus, the allowable fabrication tolerance for the air hole diameter is approximately , corresponding to a total diameter variation range of 30.8 nm.
- (2)
- The designed radii for the three MRRs in the proposed triple-ring filter are , , and . Altering any of these radii leads to resonant wavelength mismatch, thereby degrading device performance. To quantify this effect, we varied and examined the corresponding response. As illustrated in Figure 11, variations in exert a substantial influence on both the insertion loss and extinction ratio. A transmittance exceeding 80% is achieved when remains within the range of 4994.2 nm to 5006.4 nm. Beyond this interval, increased insertion loss occurs due to misalignment of the primary resonant peaks among MRR-a, MRR-b, and MRR-c. Thus, the fabrication tolerance for the radius is , corresponding to a total diameter variation of 24.4 nm.
- (3)
- To evaluate the impact of temperature fluctuations (t) on device performance, simulations were conducted using a temperature step size of 0.8 K. The insertion loss across a temperature range of 280 K to 320 K was computed employing the “DEVICE” and “Interconnect” modules in Lumerical. As shown in Figure 12, insertion loss is sensitive to temperature variation because fluctuations alter the effective refractive index of silicon, leading to a shift in the resonant peak. This disrupts the resonant condition and prevents effective confinement of light at the operational wavelength. Consequently, while transmittance remains above 80% within the interval from 294 K to 306 K, large temperature variations significantly increase insertion loss. Thus, the operational temperature tolerance of the proposed device is 294 K to 306 K, corresponding to a range of 12 K.
5. Discussion
6. Conclusions
Author Contributions
Funding
Institutional Review Board Statement
Informed Consent Statement
Data Availability Statement
Conflicts of Interest
References
- Coldren, L.A. Monolithic tunable diode lasers. IEEE J. Sel. Top. Quant. 2000, 6, 988–999. [Google Scholar] [CrossRef]
- Xiang, C.; Jin, W.; Guo, J.; Peters, J.D.; Kennedy, M.J.; Selvidge, J.; Morton, P.A.; Bowers, J.E. Narrow-linewidth III–V/Si/Si3N4 laser using multilayer heterogeneous Integration. Optica 2020, 7, 20–21. [Google Scholar] [CrossRef]
- Kobayashi, N.; Sato, K.; Namiwaka, M.; Yamamoto, K.; Watanabe, S.; Kita, T.; Yamada, H.; Yamazaki, H. Silicon photonic hybrid ring-filter external cavity wavelength tunable lasers. J. Lightwave Technol. 2015, 33, 1241–1246. [Google Scholar] [CrossRef]
- Luo, C.; Zhang, R.; Qiu, B.; Wang, W. Waveguide external cavity narrow linewidth semiconductor lasers. J. Semicond. 2021, 42, 41308–41398. [Google Scholar] [CrossRef]
- Shao, S.; Li, J.; Wu, Y.; Yang, S.; Chen, H.; Chen, M. Modulation bandwidth enhanced self-injection locking laser with an external high-Q microring reflector. Opt. Lett. 2021, 46, 3251–3254. [Google Scholar] [CrossRef]
- Mala, A.; Mandal, S. Modelling and performance analysis of cascaded asymmetrical quadruple micro-optical ring resonator as an optical filter. Opt. Quant. Electron. 2023, 55, 969–994. [Google Scholar] [CrossRef]
- Foroughifar, A.; Saghaei, H.; Veisi, E. Design and analysis of a novel four-channel optical filter using ring resonators and line defects in photonic crystal microstructure. Opt. Quant. Electron. 2021, 53, 101–113. [Google Scholar] [CrossRef]
- Qasrawi, A.F. Thickness-Controlled Ti Optical Filters Designed for Tunable Terahertz Technology. Phys. Status Solidi B 2025, 262, 2400648. [Google Scholar] [CrossRef]
- Huang, Y.; Li, Y.; Zhu, H.; Tong, G.; Zhang, H.; Zhang, W.; Zhou, S.; Sun, R.; Zhang, Y.; Li, L.; et al. Theoretical investigation into spectral characteristics of a semiconductor laser with dual-FBG external cavity. Opt. Commun. 2011, 284, 2960–2965. [Google Scholar] [CrossRef]
- Wei, J.; Zhu, C.; Yu, Y.; Wang, R.; Yu, S. Low-loss silicon waveguide and an ultrahigh-Q silicon ring resonator in the 2 µm wave band. Opt. Lett. 2024, 49, 3271–3274. [Google Scholar] [CrossRef]
- Ma, X.X.; Zhao, Y.; Yao, H.; Deng, J.Y.; Wu, J.Y.; Hu, Z.F.; Chen, K.X. Compact and Highly Sensitive Refractive Index Sensor Based on Embedded Double-Ring Resonator Using Vernier Effect. IEEE Photonics J. 2023, 15, 6800109. [Google Scholar] [CrossRef]
- Guo, Y.; Li, X.; Jin, M.; Lu, L.; Xie, J.; Chen, J.; Zhou, L. Hybrid integrated external cavity laser with a 172-nm tuning range. APL Photonics 2022, 7, 066101. [Google Scholar] [CrossRef]
- Calo, C.; Benyahya, K.; Mardoyan, H.; Charbonnier, P. Hybrid InP-SiN microring-resonator based tunable laser with high output power and narrow linewidth for high capacity coherent systems. In Proceedings of the 2022 Optical Fiber Communications Conference and Exhibition (OFC), San Diego, CA, USA, 6–10 March 2022; pp. 1–3. [Google Scholar]
- Lin, T.; Lu, F.; Zhou, P.; Chen, Y.; Jiang, J.; Hu, G.; Yun, B.; Cui, Y. Ultrabroadband Vernier cascaded microring filters based on dispersive Si3N4 waveguides. J. Opt. 2024, 26, 025802. [Google Scholar] [CrossRef]
- Bhai Raju, K.C.; Edward, F. Narrow-bandwidth tunable optical filter stabilized by Newton’s rings fringe analysis. Appl. Opt. 2024, 63, 3117–3122. [Google Scholar]
- Stratakis, I.; Avraam, C.; Kastritsis, D. Ultra-narrowband dual-cavity Bragg grating ring resonator optical filter. Opt. Commun. 2025, 577, 131330. [Google Scholar] [CrossRef]
- Lin, J.; Wang, P.; Fu, Q.; Chen, W.; Dai, S.; Kong, D.; Chen, H.; Li, J.; Dai, T.; Yang, J. Low-loss and broadband polarization-insensitive high-order mode pass filter based on photonic crystal and tapered coupler. Opt. Lett. 2023, 48, 3347–3350. [Google Scholar] [CrossRef]
- Wang, Z.; Li, Z.; Hou, X.; Zhang, J. Reverse design of multifunctional demultiplexing devices. Photonic Nanostruct. 2024, 58, 101246. [Google Scholar] [CrossRef]
- Zhou, S.; Wang, Z.; Nong, J.; Li, H.; Du, T.; Ma, H.; Li, S.; Deng, Y.; Zhao, F.; Zhang, Z.; et al. Optimized wideband and compact multifunctional photonic device based on Sb2S3 phase change material. Opt. Express 2024, 32, 8506–8519. [Google Scholar] [CrossRef] [PubMed]
- Yuan, H.; Huang, J.; Wang, Z.; Zhang, J.; Deng, Y.; Lin, G.; Wu, J.; Yang, J. An ultra-compact dual-channel multimode wavelength demultiplexer based on inverse design. Results Phys. 2021, 27, 104489. [Google Scholar] [CrossRef]
- Ma, H.; He, X.; Zhu, G. Different-mode power splitters based on a multi-dimension direct-binary-search algorithm. Opt. Express 2023, 31, 27393–27406. [Google Scholar] [CrossRef] [PubMed]
- Choi, J.M.; Lee, R.K.; Yariv, A. Control of critical coupling in a ring resonator–fiber configuration: Application to wavelength-selective switching, modulation, amplification, and oscillation. Opt. Lett. 2021, 26, 1236–1238. [Google Scholar] [CrossRef]
- Yariv, A. Universal relations for coupling of optical power between microresonators and dielectric waveguides. Electron. Lett. 2000, 36, 321–322. [Google Scholar] [CrossRef]
- Lenin Babu, D.; Sreenivasulu, T. 4-Channel DWDM demultiplexer on silicon photonic crystal slab. Sadhana 2021, 46, 14. [Google Scholar] [CrossRef]
- Cassese, T.; Giambra, M.A.; Sorianello, V.; De Angelis, G.; Midrio, M.; Pantouvaki, M.; Van Campenhout, J.; Asselberghs, I.; Huyghebaert, C.; D’Errico, A.; et al. Capacitive actuation and switching of add–drop graphene-silicon micro-ring filters. Photonics Res. 2017, 5, 762–766. [Google Scholar] [CrossRef]
- Yang, L.; Dong, B.; Shao, Q.; Zhang, S.; Chen, Z. Short Carbon Nanotube Nano-Film-Based Polymer/SiO2 Hybrid Waveguide Micro-Ring Filter. ACS Appl. Mater. Interfaces 2023, 15, 28555–28562. [Google Scholar] [CrossRef] [PubMed]
- Delphi, G.; Olyaee, S.; Seifouri, M.; Mohebzadeh-Bahabady, A. Design of low cross-talk and high-quality-factor 2-channel and 4-channel optical demultiplexers based on photonic crystal nano-ring resonator. Photonic Netw. Commun. 2019, 38, 250–257. [Google Scholar] [CrossRef]
- Ou, X.; Tang, B.; Zhang, P.; Li, B.; Sun, F.; Liu, R.; Huang, K.; Xie, L.; Li, Z.; Yang, Y. Microring resonator based on polarization multiplexing for simultaneous sensing of refractive index and temperature on silicon platform. Opt. Express 2022, 30, 25627–25637. [Google Scholar] [CrossRef]
- Hou, Z.; Chen, L.; Gao, X.; Liu, R.; Du, Y.; Zhang, C.; Wu, X.; Zhang, X. High-sensitivity integrated terahertz sensor with large dynamic range based on adjustable high-Q microring resonator. APL Photonics 2024, 9, 126109. [Google Scholar] [CrossRef]
- Troia, B.; Passaro, V.M.N. Investigation of a Novel Silicon-on-Insulator Rib-Slot Photonic Sensor Based on the Vernier Effect and Operating at 3.8 mm. J. Eur. Opt. Soc. Rap. Public 2014, 9, 14005. [Google Scholar] [CrossRef]












| Parameter | Value | Parameter | Value |
|---|---|---|---|
| d | |||
| D | Size |
| References | Method | Insertion Loss (dB) | Extinction Ratio (dB) | FSR (nm) | Foot Print (μm2) | Line Width (nm) |
|---|---|---|---|---|---|---|
| [14] | Manual | 1 | 5.78 | 72 | - | 0.62 |
| [17] | DBS | 0.86 | 16.8 | 70 | - | |
| [18] | DBS | 0.759 | 10.06 | 50 | - | |
| [19] | DBS | 0.5 | 20 | 40 | - | |
| [20] | DBS | 0.82 | 18.1 | 35 | 2 | |
| [24] | Manual | 2.2 | 11.5 | 35 | 475 | 0.4 |
| [25] | Manual | 0.36 | 25.07 | 7.8 | 0.5 | |
| [26] | Manual | 18.5 | 5.8 | 15.76 | - | 10 |
| [27] | Manual | 5.6 | 13 | 9 | - | 1 |
| This work | DBS | 0.4 | 20 | 86 | 0.2 |
Disclaimer/Publisher’s Note: The statements, opinions and data contained in all publications are solely those of the individual author(s) and contributor(s) and not of MDPI and/or the editor(s). MDPI and/or the editor(s) disclaim responsibility for any injury to people or property resulting from any ideas, methods, instructions or products referred to in the content. |
© 2025 by the authors. Licensee MDPI, Basel, Switzerland. This article is an open access article distributed under the terms and conditions of the Creative Commons Attribution (CC BY) license (https://creativecommons.org/licenses/by/4.0/).
Share and Cite
Hu, Y.; Wang, T.; Zhou, W.; Hu, B. Creation of Low-Loss Triple-Ring Optical Filter via Direct Binary Search Inverse Design. Sensors 2025, 25, 5895. https://doi.org/10.3390/s25185895
Hu Y, Wang T, Zhou W, Hu B. Creation of Low-Loss Triple-Ring Optical Filter via Direct Binary Search Inverse Design. Sensors. 2025; 25(18):5895. https://doi.org/10.3390/s25185895
Chicago/Turabian StyleHu, Yuchen, Tong Wang, Wen Zhou, and Bo Hu. 2025. "Creation of Low-Loss Triple-Ring Optical Filter via Direct Binary Search Inverse Design" Sensors 25, no. 18: 5895. https://doi.org/10.3390/s25185895
APA StyleHu, Y., Wang, T., Zhou, W., & Hu, B. (2025). Creation of Low-Loss Triple-Ring Optical Filter via Direct Binary Search Inverse Design. Sensors, 25(18), 5895. https://doi.org/10.3390/s25185895


