Performance Bounds of Ranging Precision in SPAD-Based dToF LiDAR
Abstract
1. Introduction
2. Materials and Methods
2.1. Detection Model
2.2. Cramér–Rao Lower Bound
2.3. Section Summary
3. Results
3.1. Ranging Performance for 1-PNR SPAD
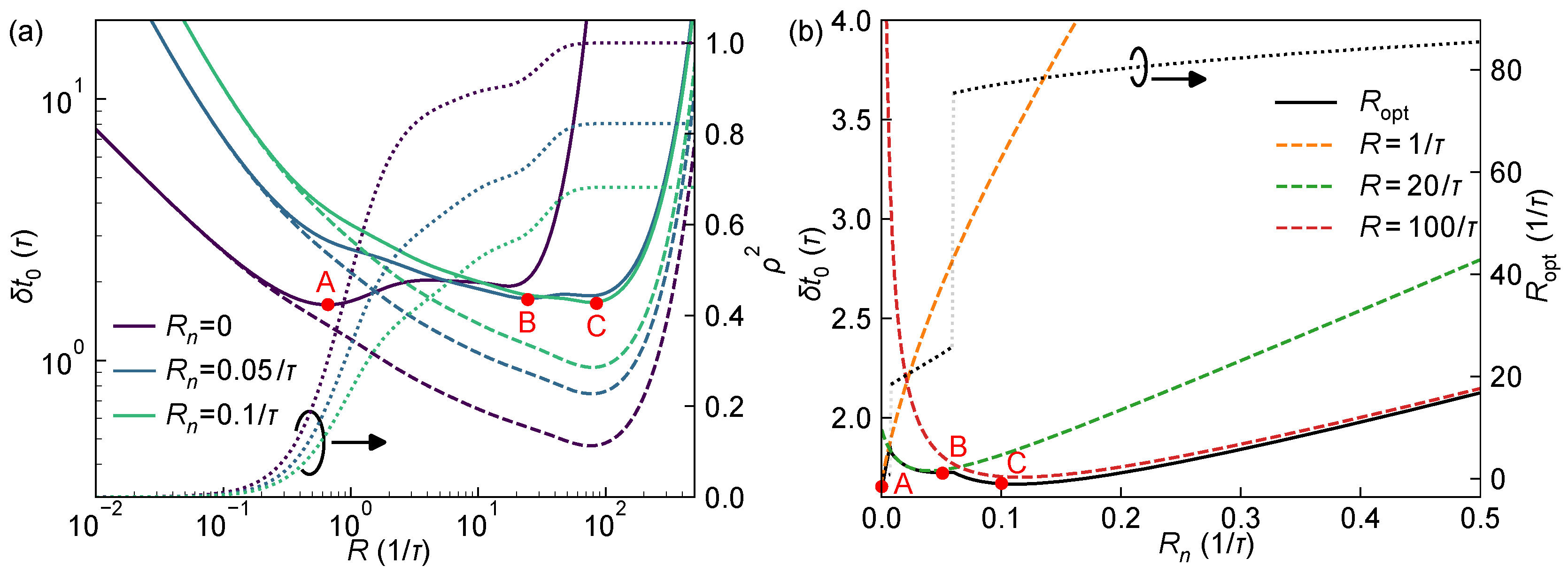
3.1.1. Performance Evaluation at a Fixed Range
3.1.2. System Optimization over the Full Range
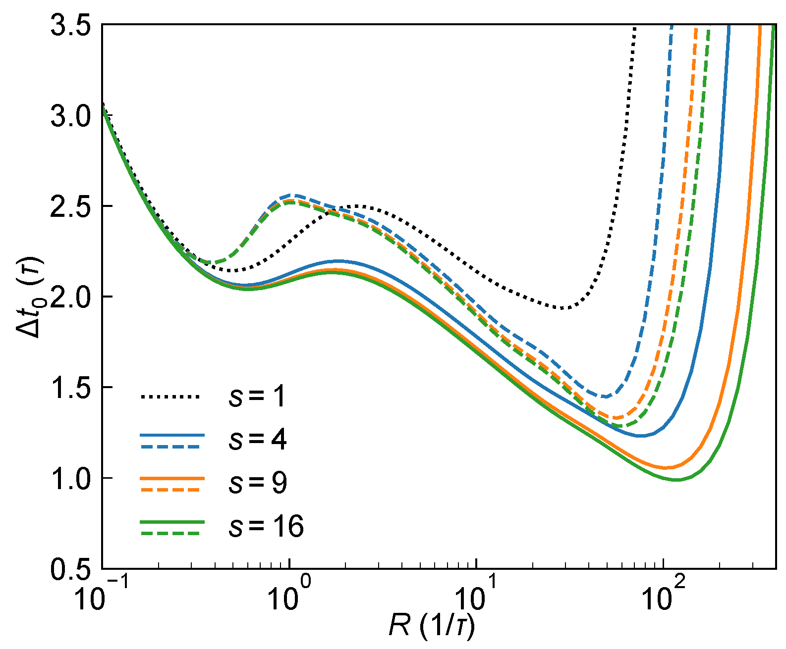
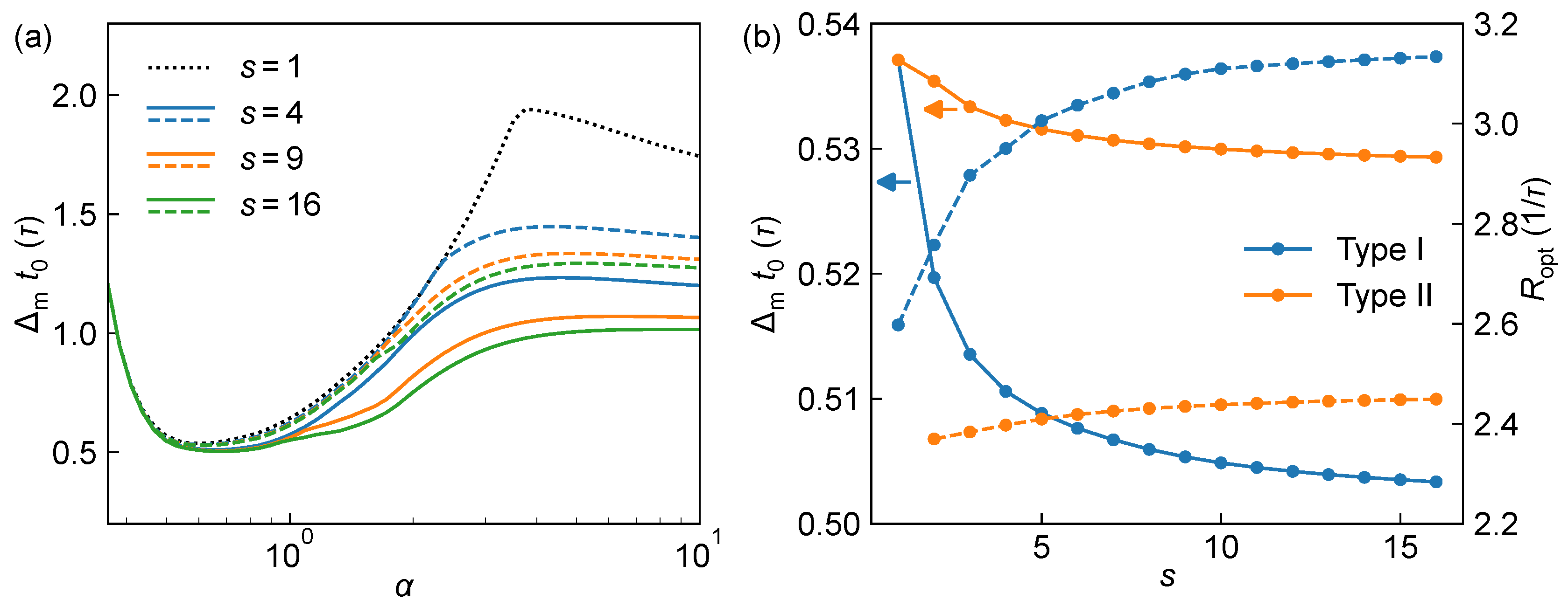
3.2. Ranging Performance for s-PNR SPAD
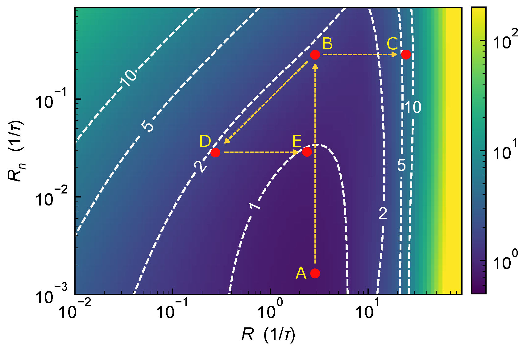
3.3. Case Study: Selection of the Optimal Operating Point with Varying Ambient Light
3.4. Section Summary
- (1)
- The pile-up effect caused by dead time and the resulting distortion of the histogram relative to the laser pulse lead to coupling between the unknown parameters and R. Consequently, there exists an optimal R that minimizes the estimation standard deviation. And as R approaches infinity, nearly all histogram counts occur in the first bin, preventing sub-bin resolution and causing the standard deviation of to diverge.
- (2)
- In the presence of ambient light, although the additional counts reduce the available signal counts and hence the effective information, at large R, ambient light mitigates the pile-up effect through dead-time-induced saturation. This reduces the coupling between R and , effectively improving the ranging performance.
- (3)
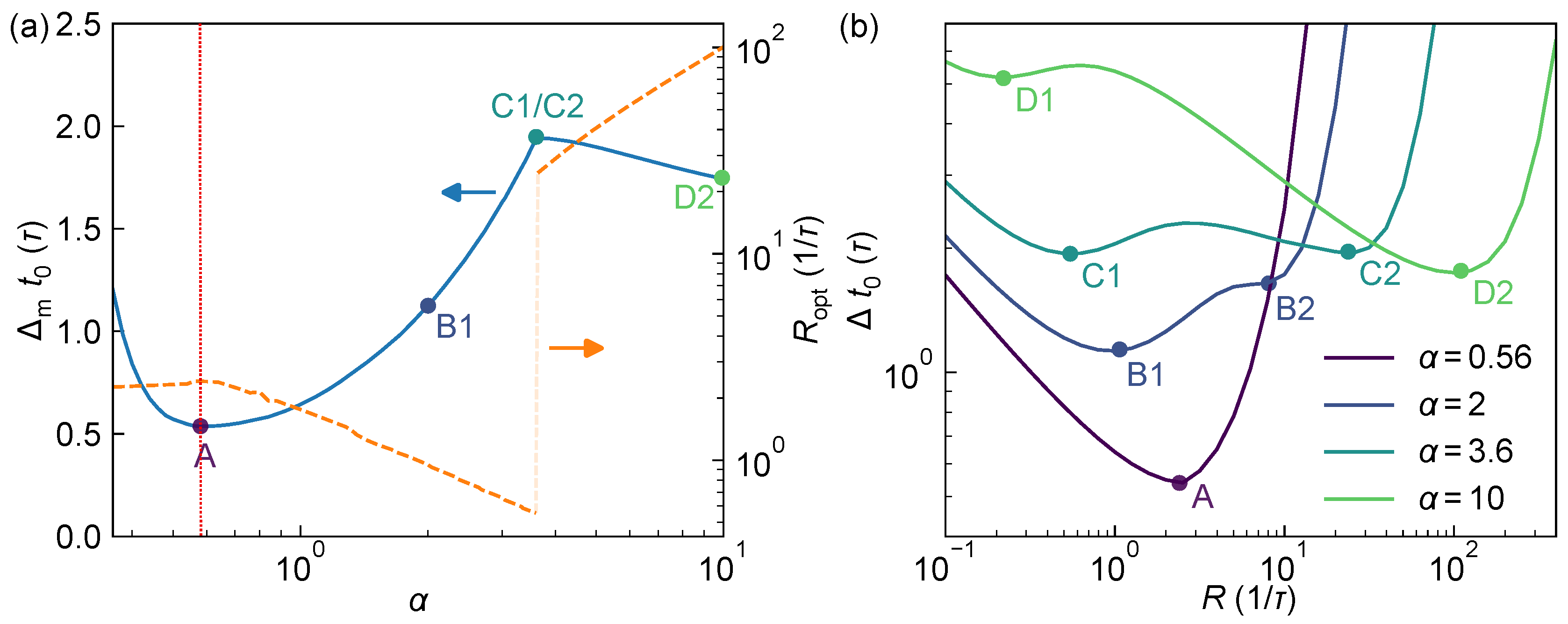
- Considering the full range of distances, for Gaussian-shaped laser pulses with a fixed TDC resolution , the optimal pulse FWHM is approximately , yielding a best achievable ranging precision of about , with a corresponding optimal received photon flux . Conversely, for a fixed laser pulse width w, the optimal TDC resolution is slightly larger than , yielding a best precision of approximately and .
- (4)
- For s-PNR systems, increasing s improves the overall ranging precision at high R, indicating an increased dynamic range and enhanced capability under high photon flux conditions. However, for the system’s theoretical optimal precision, the best laser pulse FWHM remains near for a given TDC resolution, with the optimal photon flux in the range of . In this scenario, the multi-pixel advantage of s-PNR detectors is not fully exploited, limiting their improvement of the system’s ranging performance.
- (5)
- Finally, a case study under strong ambient light demonstrates how the derived CRLB can guide practical system operation, highlighting the relevance of the theoretical framework for real-world system design and optimization.
4. Conclusions
Supplementary Materials
Author Contributions
Funding
Institutional Review Board Statement
Informed Consent Statement
Data Availability Statement
Acknowledgments
Conflicts of Interest
Abbreviations
| ToF | Time-of-flight |
| dToF | Direct time-of-flight |
| SPAD | Single-photon avalanche diode |
| CRLB | Cramér–Rao lower bound |
| LiDAR | Light detection and ranging |
| TDC | Time-to-digital converter |
| MC | Monte Carlo |
| MLE | Maximum likelihood estimation |
| PDE | Photon detection efficiency |
| s-PNR | s-photon-number resolution |
Glossory
| system dead time | |
| waveform of the emitted laser pulse | |
| R | peak photon flux rate absorbed by the SPAD |
| the PDE of SPAD | |
| the overall optical transmittance of the system | |
| r | the target reflectivity |
| D | the diameter of the receiving lens |
| z | the target distance |
| c | speed of light |
| round-trip ToF | |
| mean photon count of the signal within the time interval of the i-th histogram bin |
| bin width of the histogram | |
| average photon flux of noise absorbed by the SPAD | |
| b | average photon count of noise |
| the probability of no detection event occurring in the i-th bin | |
| the probability of detection event occurring in the i-th bin | |
| histogram | |
| the random variable of the count in the i-th bin of the histogram | |
| the specific value of the count in the i-th bin of the histogram |
| T | the number of histogram bins occupied by dead time |
| binomial distribution | |
| N | the number of the independent pulse measurements |
| the reduced number of the pulse measurements for the i-th bin | |
| the conditional probability of the random variable | |
| the expected count in the i-th bin for a single measurement | |
| the reduced factor of measurable pulses due to dead time | |
| the probability of a trigger in one bin under background noise without accounting | |
| for dead time effect | |
| A | probability of a “negative bin” not affected by dead time |
| the counts of “negative bins” | |
| s | the number of subpixels |
| peak photon flux rate absorbed by a subpixel | |
| the probability of no detection event occurring in the i-th bin for a subpixel | |
| the probability of detection event occurring in the i-th bin for a subpixel | |
| the random variable of the count in the i-th bin of the histogram (the number | |
| of the subpixels triggered) | |
| the conditional probability of the random variable | |
| the number of ways to allocate triggered subpixels across TDC events | |
| the unknows parameters to be estimated | |
| the Fisher information matrix | |
| the Fisher information corresponding to a single pulse measurement | |
| estimator of | |
| the correlation coefficient between and R | |
| the covariance between and normalized by s and N | |
| the random variable of SPADs triggered in a single detection event at the i-th bin | |
| w | FWHM of the Gaussian-shaped laser pulse |
| the optimal R corresponding to the lower bound of the standard deviation of the esminated | |
| the lower bound of the standard deviation of the ToF measurement per single pulse | |
| measurement at given and R | |
| the lower bound of the standard deviation of the ToF measurement per single pulse | |
| measurement at given assuming a known R | |
| the upper bound (worst case) of at given R over varying | |
| the lower bound of over varying R |
Appendix A. Derivation Details of the Steady State
Appendix B. Derivation Details of the Fisher Information
Appendix C. Inverse of the Covariance Matrix C(θ)
Appendix D. Numerical Simulation
Appendix D.1. Histogram Generation Based on the Monte Carlo Method
- (1)
- Given the TDC resolution , laser pulse shape , ToF , peak received photon rate R, and background photon rate , compute the probability of photon detection in each histogram bin according to the Poisson distribution.
- (2)
- Assume the histogram consists of L bins and N laser pulses are emitted. Generate a set of uniformly distributed random numbers in the range of length . A photon detection event is recorded in bin i if .
- (3)
- Starting from the first detection event, discard all subsequent detections that occur within a dead time T of a previous event.
- (4)
- For the remaining detection events, take the bin index modulo L to obtain the ToF, and count their occurrences to generate the final histogram.
Appendix D.2. Parameter Estimation Based on the Maximum Likelihood Method
References
- Liang, D.; Zhang, C.; Zhang, P.; Liu, S.; Li, H.; Niu, S.; Rao, R.Z.; Zhao, L.; Chen, X.; Li, H.; et al. Evolution of Laser Technology for Automotive LiDAR, an Industrial Viewpoint. Nat. Commun. 2024, 15, 7660. [Google Scholar] [CrossRef] [PubMed]
- Kumagai, O.; Ohmachi, J.; Matsumura, M.; Yagi, S.; Tayu, K.; Amagawa, K.; Matsukawa, T.; Ozawa, O.; Hirono, D.; Shinozuka, Y.; et al. 7.3 A 189 × 600 Back-Illuminated Stacked SPAD Direct Time-of-Flight Depth Sensor for Automotive LiDAR Systems. In Proceedings of the 2021 IEEE International Solid-State Circuits Conference (ISSCC), San Francisco, CA, USA, 13–22 February 2021; Volume 64, pp. 110–112. [Google Scholar] [CrossRef]
- Rapp, J.; Tachella, J.; Altmann, Y.; McLaughlin, S.; Goyal, V.K. Advances in Single-Photon Lidar for Autonomous Vehicles: Working Principles, Challenges, and Recent Advances. IEEE Signal Process. Mag. 2020, 37, 62–71. [Google Scholar] [CrossRef]
- Khan, M.U.; Zaidi, S.A.A.; Ishtiaq, A.; Bukhari, S.U.R.; Samer, S.; Farman, A. A Comparative Survey of LiDAR-SLAM and LiDAR Based Sensor Technologies. In Proceedings of the 2021 Mohammad Ali Jinnah University International Conference on Computing (MAJICC), Karachi, Pakistan, 15–17 July 2021; pp. 1–8. [Google Scholar] [CrossRef]
- Diab, A.; Kashef, R.; Shaker, A. Deep Learning for LiDAR Point Cloud Classification in Remote Sensing. Sensors 2022, 22, 7868. [Google Scholar] [CrossRef] [PubMed]
- Wang, Z.; Menenti, M. Challenges and Opportunities in Lidar Remote Sensing. Front. Remote Sens. 2021, 2, 641723. [Google Scholar] [CrossRef]
- Villa, F.; Severini, F.; Madonini, F.; Zappa, F. SPADs and SiPMs Arrays for Long-Range High-Speed Light Detection and Ranging (LiDAR). Sensors 2021, 21, 3839. [Google Scholar] [CrossRef]
- Ma, J.; Zhuo, S.; Qiu, L.; Gao, Y.; Wu, Y.; Zhong, M.; Bai, R.; Sun, M.; Chiang, P.Y. A Review of ToF-based LiDAR. J. Semicond. 2024, 45, 101201. [Google Scholar] [CrossRef]
- Wang, Z.; Yang, X.; Tian, N.; Liu, M.; Cai, Z.; Feng, P.; Dou, R.; Yu, S.; Wu, N.; Liu, J.; et al. A 64 × 128 3D-Stacked SPAD Image Sensor for Low-Light Imaging. Sensors 2024, 24, 4358. [Google Scholar] [CrossRef]
- Morimoto, K.; Iwata, J.; Shinohara, M.; Sekine, H.; Abdelghafar, A.; Tsuchiya, H.; Kuroda, Y.; Tojima, K.; Endo, W.; Maehashi, Y.; et al. 3.2 Megapixel 3D-Stacked Charge Focusing SPAD for Low-Light Imaging and Depth Sensing. In Proceedings of the 2021 IEEE International Electron Devices Meeting (IEDM), San Francisco, CA, USA, 11–15 December 2021; pp. 20.2.1–20.2.4. [Google Scholar] [CrossRef]
- Zappa, F.; Tosi, A.; Mora, A.D.; Tisa, S. SPICE Modeling of Single Photon Avalanche Diodes. Sens. Actuators A Phys. 2009, 153, 197–204. [Google Scholar] [CrossRef]
- Zhang, C.; Zhang, N.; Ma, Z.; Wang, L.; Qin, Y.; Jia, J.; Zang, K. A 240 × 160 3D-Stacked SPAD dToF Image Sensor with Rolling Shutter and In-Pixel Histogram for Mobile Devices. IEEE Open J. Solid-State Circuits Soc. 2022, 2, 3–11. [Google Scholar] [CrossRef]
- Padmanabhan, P.; Zhang, C.; Cazzaniga, M.; Efe, B.; Ximenes, A.R.; Lee, M.J.; Charbon, E. 7.4 A 256 × 128 3D-Stacked (45 nm) SPAD FLASH LiDAR with 7-Level Coincidence Detection and Progressive Gating for 100m Range and 10klux Background Light. In Proceedings of the 2021 IEEE International Solid-State Circuits Conference (ISSCC), San Francisco, CA, USA, 13–22 February 2021; Volume 64, pp. 111–113. [Google Scholar] [CrossRef]
- Hutchings, S.W.; Johnston, N.; Gyongy, I.; Al Abbas, T.; Dutton, N.A.W.; Tyler, M.; Chan, S.; Leach, J.; Henderson, R.K. A Reconfigurable 3-D-Stacked SPAD Imager with In-Pixel Histogramming for Flash LIDAR or High-Speed Time-of-Flight Imaging. IEEE J. Solid-State Circuits 2019, 54, 2947–2956. [Google Scholar] [CrossRef]
- Incoronato, A.; Locatelli, M.; Zappa, F. Statistical Modelling of SPADs for Time-of-Flight LiDAR. Sensors 2021, 21, 4481. [Google Scholar] [CrossRef]
- Xia, H.; Yu, X.; Zhang, J.; Cao, G. A Review of Advancements and Trends in Time-to-Digital Converters Based on FPGA. IEEE Trans. Instrum. Meas. 2024, 73, 1–25. [Google Scholar] [CrossRef]
- Wang, X.; Zhou, Z.; Li, C.; Hu, J.; Li, D.; Ma, R.; Liu, Y.; Zhu, Z. A 7.9 Ps Resolution, Multi-Event TDC Using an Ultra-Low Static Phase Error DLL and High Linearity Time Amplifier for dToF Sensors. In Proceedings of the 2024 IEEE Custom Integrated Circuits Conference (CICC), Denver, CO, USA, 21–24 April 2024; pp. 1–2. [Google Scholar] [CrossRef]
- Gyongy, I.; Hutchings, S.W.; Halimi, A.; Tyler, M.; Chan, S.; Zhu, F.; McLaughlin, S.; Henderson, R.K.; Leach, J. High-Speed 3D Sensing via Hybrid-Mode Imaging and Guided Upsampling. Optica 2020, 7, 1253–1260. [Google Scholar] [CrossRef]
- Koerner, L.J. Models of Direct Time-of-Flight Sensor Precision That Enable Optimal Design and Dynamic Configuration. IEEE Trans. Instrum. Meas. 2021, 70, 1–9. [Google Scholar] [CrossRef]
- Scholes, S.; Mora-Martín, G.; Zhu, F.; Gyongy, I.; Soan, P.; Leach, J. Fundamental Limits to Depth Imaging with Single-Photon Detector Array Sensors. Sci. Rep. 2023, 13, 176. [Google Scholar] [CrossRef] [PubMed]
- Scholes, S.; Wade, E.; McCarthy, A.; Garcia-Armenta, J.; Tobin, R.; Soan, P.J.; Buller, G.S.; Leach, J. Robust Framework for Modelling Long Range dToF SPAD Lidar Performance. Opt. Express 2024, 32, 47735–47756. [Google Scholar] [CrossRef] [PubMed]
- Coates, P.B. The Correction for Photon `pile-up’ in the Measurement of Radiative Lifetimes. J. Phys. E Sci. Instrum. 1968, 1, 878. [Google Scholar] [CrossRef]
- Rapp, J.; Ma, Y.; Dawson, R.M.A.; Goyal, V.K. Dead Time Compensation for High-Flux Ranging. IEEE Trans. Signal Process. 2019, 67, 3471–3486. [Google Scholar] [CrossRef]
- Choi, Y.H.; Kuc, T.Y. Walk Error Compensation of ToF LiDAR Using Zero Crossing Discriminator with Auto Gain Control Amplifier. In Proceedings of the 2022 22nd International Conference on Control, Automation and Systems (ICCAS), Busan, Republic of Korea, 27 November–1 December 2022; pp. 1461–1468. [Google Scholar] [CrossRef]
- Huang, K.; Li, S.; Ma, Y.; Tian, X.; Zhou, H.; Zhang, Z.-Y. Theoretical model and correction method of range walk error for single-photon laser ranging. Acta Phys. Sin. 2018, 67, 064205. [Google Scholar] [CrossRef]
- Yang, R.; Tang, Y.; Fu, Z.; Qiu, J.; Liu, K. A Method of Range Walk Error Correction in SiPM LiDAR with Photon Threshold Detection. Photonics 2022, 9, 24. [Google Scholar] [CrossRef]
- Padmanabhan, P.; Zhang, C.; Charbon, E. Modeling and Analysis of a Direct Time-of-Flight Sensor Architecture for LiDAR Applications. Sensors 2019, 19, 5464. [Google Scholar] [CrossRef]
- Rapp, J.; Ma, Y.; Dawson, R.M.A.; Goyal, V.K. High-Flux Single-Photon Lidar. Optica 2021, 8, 30–39. [Google Scholar] [CrossRef]
- Rech, I.; Ingargiola, A.; Spinelli, R.; Labanca, I.; Marangoni, S.; Ghioni, M.; Cova, S. Optical Crosstalk in Single Photon Avalanche Diode Arrays: A New Complete Model. Opt. Express 2008, 16, 8381–8394. [Google Scholar] [CrossRef]
- Wojtkiewicz, M.; Rae, B.; Henderson, R.K. Review of Back-Side Illuminated 3-D-Stacked SPADs for Time-of-Flight and Single-Photon Imaging. IEEE Trans. Electron Devices 2024, 71, 3470–3477. [Google Scholar] [CrossRef]
- Williams, G.M. Optimization of Eyesafe Avalanche Photodiode Lidar for Automobile Safety and Autonomous Navigation Systems. Opt. Eng. 2017, 56, 031224. [Google Scholar] [CrossRef]
- DIN SAE SPEC 91471:2023-05; Assessment Methodology for Automotive LiDAR Sensors. SAE International: Warrendale, PA, USA, 2023.
- GB/T 45500-2025; Automotive Lidar Performance Requirements and Test Methods. Standardization Administration of China (SAC): Beijing, China, 2025.
- Cassanelli, D.; Cattini, S.; Loro, G.D.; Cecilia, L.D.; Ferrari, L.; Rovati, L. LiDARs Detected Signal and Target Distance Estimation: Measurement Errors from Target Reflectance and Multiple Echos. In Proceedings of the 2022 IEEE International Workshop on Metrology for Automotive (MetroAutomotive), Modena, Italy, 4–6 July 2022; pp. 59–64. [Google Scholar] [CrossRef]
- Colomb, M.; Duthon, P.; Bernardin, F. Spectral Reflectance Characterization of the Road Environment to Optimize the Choice of Autonomous Vehicle Sensors. In Proceedings of the 2019 IEEE Intelligent Transportation Systems Conference (ITSC), Auckland, New Zealand, 27–30 October 2019; pp. 1085–1090. [Google Scholar] [CrossRef]
- Kashani, A.G.; Olsen, M.J.; Parrish, C.E.; Wilson, N. A Review of LIDAR Radiometric Processing: From Ad Hoc Intensity Correction to Rigorous Radiometric Calibration. Sensors 2015, 15, 28099–28128. [Google Scholar] [CrossRef] [PubMed]
- Kay, S. Fundamentals of Statistical Signal Processing, Volume I: Estimation Theory; Pearson: Englewood Cliffs, NJ, USA, 1993. [Google Scholar]
- Barndorff-Nielsen, O.E.; Cox, D.R. Asymptotic Techniques for Use in Statistics; Springer: New York, NY, USA, 1989. [Google Scholar]
- ANSI Z136.1-2022; Safe Use of Lasers. American National Standards Institute (ANSI): Washington, DC, USA, 2022.
- Liu, Y.; Zhao, Y.; Hu, J.; Ma, R.; Zhu, Z. An Efficient and Comprehensive Timing Jitter Model for Single Photon Avalanche Diodes. IEEE Trans. Electron Devices 2024, 71, 6116–6123. [Google Scholar] [CrossRef]
- Xu, L.; Chang, Y.; Liu, L.; Qiao, K.; Xu, Z.; Wang, J.; Su, C.; Liu, T.; Yin, F.; Wang, X. An Efficient Simplified SPAD Timing Jitter Model in Verilog-A for Circuit Simulation. Electronics 2025, 14, 1115. [Google Scholar] [CrossRef]
- Frolkovič, P. Numerical Recipes: The Art of Scientific Computing. Acta Appl. Math. 1990, 19, 297–299. [Google Scholar] [CrossRef]










Disclaimer/Publisher’s Note: The statements, opinions and data contained in all publications are solely those of the individual author(s) and contributor(s) and not of MDPI and/or the editor(s). MDPI and/or the editor(s) disclaim responsibility for any injury to people or property resulting from any ideas, methods, instructions or products referred to in the content. |
© 2025 by the authors. Licensee MDPI, Basel, Switzerland. This article is an open access article distributed under the terms and conditions of the Creative Commons Attribution (CC BY) license (https://creativecommons.org/licenses/by/4.0/).
Share and Cite
Wu, H.; Wang, Y.; Sun, S.; Zhao, L.; Tong, L.; Shen, L.; Zhu, J. Performance Bounds of Ranging Precision in SPAD-Based dToF LiDAR. Sensors 2025, 25, 6184. https://doi.org/10.3390/s25196184
Wu H, Wang Y, Sun S, Zhao L, Tong L, Shen L, Zhu J. Performance Bounds of Ranging Precision in SPAD-Based dToF LiDAR. Sensors. 2025; 25(19):6184. https://doi.org/10.3390/s25196184
Chicago/Turabian StyleWu, Hao, Yingyu Wang, Shiyi Sun, Lijie Zhao, Limin Tong, Linjie Shen, and Jiang Zhu. 2025. "Performance Bounds of Ranging Precision in SPAD-Based dToF LiDAR" Sensors 25, no. 19: 6184. https://doi.org/10.3390/s25196184
APA StyleWu, H., Wang, Y., Sun, S., Zhao, L., Tong, L., Shen, L., & Zhu, J. (2025). Performance Bounds of Ranging Precision in SPAD-Based dToF LiDAR. Sensors, 25(19), 6184. https://doi.org/10.3390/s25196184

