Abstract
The Ion Sensitive Field Effect Transistor (ISFET) operation based on polycrystalline silicon thin film transistors is reported. These devices can be fabricated on inexpensive disposable substrates such as glass or plastics and are, therefore, promising candidates for low cost single-use intelligent multisensors. In this work we have developed an extended gate structure with PE-CVD Si3N4 deposited on top of a conductor, which also provides the electrical connection to the remote TFT gate. Nearly ideal pH sensitivity (54 mV/pH) and stable operation have been achieved. Temperature effects have also been characterized. A penicillin sensor has been fabricated by functionalizing the sensing area with penicillinase. The shift increases almost linearly upon the increase of penicillin concentration until saturation is reached for ∼ 7 mM. Poly-Si TFT structures with a gold sensing area have been also successfully applied to field-effect detection of DNA.
Introduction
The use of ion-sensitive field effect transistors (ISFETs) as pH sensors has been known for many years [1]. The device is a transistor without the metal gate and an electrolyte is placed directly in contact with the gate insulator. The channel conductance is modulated by the potential drop across the electrical double layer. The high surface buffer capacity of the insulator leads to an almost constant proton density at the surface, independently of the electrolyte's pH [1]. In order to equalize the free energy difference for protons at the interface and in the bulk of the solution, a pH-dependent potential drop across the double layer must exist.
The application of enzymes as the selecting agent in ISFET-based sensing systems leads to the development of highly selective sensors [2]. Such Enzyme-modified ISFETs (EnFETs) can in principle be constructed with any enzyme that induces a local change in pH near the surface of the sensor. By combining ISFET with a membrane that contains an antibody, the sensor can detect antigen-antibody interaction. ISFET biosensors are used in medical diagnostics, environmental monitoring and food quality control. One distinctive advantage of ISFETs is their suitability for miniaturization, since the signal to noise ratio is independent of the ISFET area. Therefore large multi-sensor arrays capable of detecting different species and simultaneously measuring relevant parameters (temperature, pH, etc) are possible. In all these applications cost and single-use, that is disposability, are paramount considerations.
We report here for the first time the use of Polycrystalline Silicon Transistors (Poly-Si TFTs), with an extended gate design as ISFETs and penicillin sensitive EnFETs. We also report the application of an extended gate Poly-Si TFT structure to DNA sensing with a new detection mechanism. The Poly-Si TFTs technology is well established in the area of flat panel displays. In addition to the pixel switching array, where typically some 106 Poly-Si TFTs are employed, complex integrated circuits, such as logic drivers and SRAMs can be fabricated with these devices. Furthermore, these circuits can be made on inexpensive disposable substrates such as glass or plastic [3]. Poly-Si TFTs are, therefore, promising candidates for low cost single-use intelligent multi-sensors. In view of the fact that the device is used in an aqueous environment, an added advantage of this technology, over conventional bulk CMOS, is the electrical isolation between the individual transistors.
Experimental
Fig. 1 shows the schematic structure of the extended gate ISFET. The devices were fabricated on glass substrates by laser recrystallization [3]. Si3N4 was deposited by PE-CVD on top of the tantalum extended gate, to serve as the pH sensitive layer. To provide electrical and chemical isolation the entire device area, except the sensitive Si3N4 pad, was passivated with a Si3N4(100 nm)/SiO2(500 nm) layer. p-channel TFTs with different gate sizes have been fabricated and tested. The channel length of the TFTs is 6 μm, while the channel widths range between 10 μm and 100 μm. The thickness of poly-Si layer is 50nm. The pad size of the extended gate is 1 mm × 1 mm.
Figure 1.
Schematic structure of the extended gate ISFET.
For the penicillin EnFET, the enzyme penicillinase was adsorptively immobilized on the surface of the Si3N4 pad. For the immobilization, the enzyme solution was prepared by dissolving 2000 units enzyme penicillinase in 1 ml of 50 mM phosphate buffer with pH 7.5. 10 μl enzyme solution was pipetted onto the chip, covering one Si3N4 pad, and incubated for 1 hour at room temperature. After rinsing and drying at room temperature, the sensor can be used in the test. The penicillin G solutions tested were prepared in different concentrations, using a 5 mM phosphate buffer with pH 7.0. After each concentration step, the sensor was rinsed with the working buffer. Phosphate buffer, penicillinase, penicillin G were purchased from Sigma-Aldich.
The ID-VGS characteristics of the ISFETs and penicillin EnFET were measured using a HP4156A parameter analyzer. An Ag/AgCl reference electrode was used. During the measurements, VDS was kept constant at 0.1V and VGS was swept from negative voltage to positive voltage and back. It was found that in order to avoid transient effects due to the sensor response, the sampling time has to be longer than 1second/point. So the sensor response time to VGS change is of the order of 1s, which is due to the Si3N4/electrolyte interface, since the TFT response is much faster.
Results and Discussion
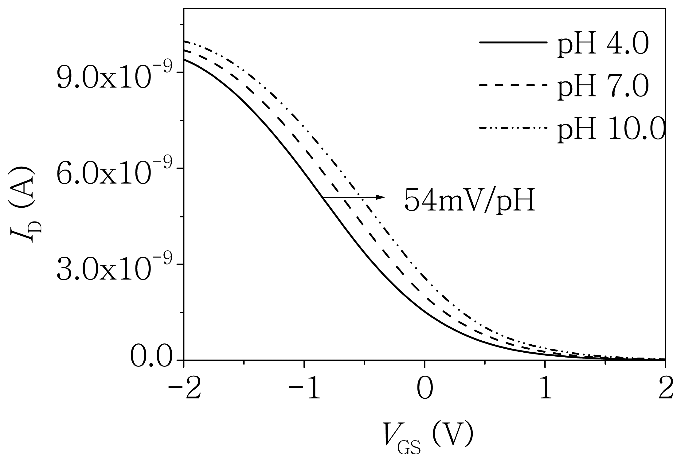
The I-V curves are very stable and repeatable and show a rigid shift with the change of pH value of the buffer. The shift voltage is proportional to the change in pH. Typical characteristics are shown in Fig. 2. The TFT size was W/L= 20 μm/6 μm. The pH sensitivity is 54 mV/pH at 300K, close to the ideal value of 59 mV/pH [4]. In some cases, a lower pH sensitivity, between 47 mV/pH and 54 mV/pH was observed. It is expected from the site-binding theory that the state of the surface of the Si3N4 is critical for the pH sensing properties [5]. Impurities, such as oxygen or other ions, which exist at the Si3N4 surface can result in a non-ideal sensitivity [6]. Further investigation of these aspects is needed.
Figure 2.
ID-VGS curve of a p-type ISFET with transistor size W/L = 20 μm/6 μm measured with VDS = 0.1 V in phosphate buffer with different pH values.
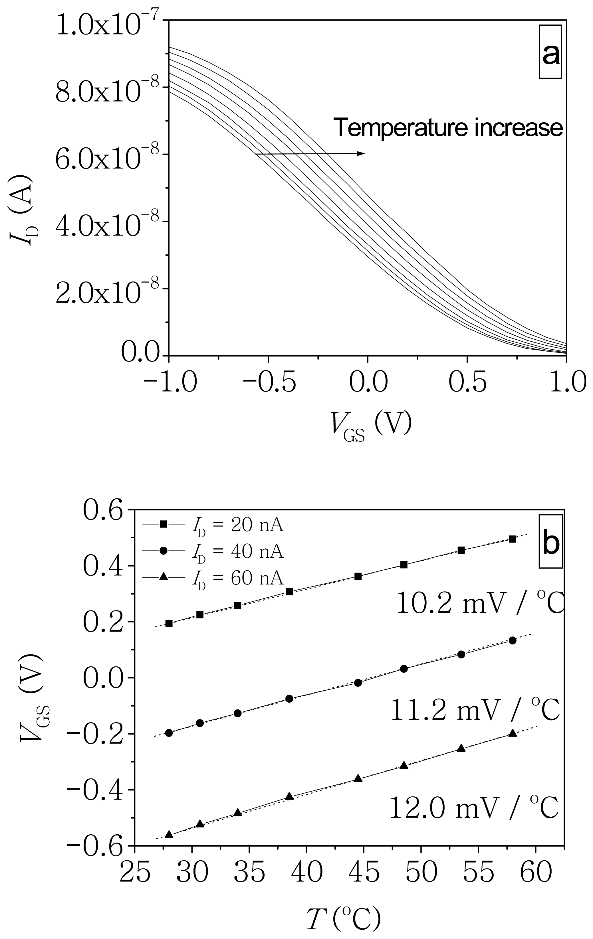
The temperature dependence of the ISFET characteristics has been measured using a 5 mM phosphate buffer with pH 7.6 and it is shown in Fig. 3a for a TFT with W/L = 100 μm/6 μm. Both the threshold voltage and the shape of the I-V curves change with temperature. Fig. 3b shows the voltage shift vs. temperature at three different values of ID. The behavior is linear and the temperature coefficients for the three curves are slightly different. The temperature coefficient is higher than the one observed for single crystal ISFETs [7]. There are three main possible contributions to the observed temperature effect: (1) temperature dependent potential change at the Ag/AgCl reference electrode; (2) temperature dependent potential drop at the Si3N4/electrolyte interface (3) temperature dependent poly-Si TFT characteristics. The first two contributions can only induce a parallel shift of the I-V curves, while the third one can also change the shape of the I-V curve itself.
Figure 3.
a) ID-VGS curve of a p-type ISFET with transistor size W/L = 100 μm/6 μm measured with VDS = 0.1 V in a 5 mM phosphate buffer pH 7.6 at different temperatures. The temperatures corresponding to the curves from left to right are 28.0oC, 30.7oC, 34.0oC, 38.5oC, 44.5oC, 48.5oC, 53.5oC and 58.0oC, respectively; b) temperature dependence of the gate voltage corresponding to different values of ID.
The temperature dependence of the potential at Ag/AgCl reference electrodes has been reported to be at the order of 0.14 mV/K [7]. On the other hand, the potential drop φ0 at the interface between Si3N4 and the electrolyte is, according to site-binding theory [1,4,5]:
where, pHpzc is the pH value at the point of zero charge in the interface, k is the Boltzmann constant, q is the electronic charge, T is the temperature of the system and β is a parameter, which can be expressed in terms of the acidic and basic equilibrium constants of the related surface reactions. Using the value of pHpzc = 5.2 for Si3N4 [5], the temperature coefficient becomes 0.48 mV/K at pH 7.6. The values for the temperature coefficients for the first two possible contributions described above are much smaller than the value experimentally observed. Therefore the third contribution described above plays a key role on the temperature effect. On the other hand the temperature dependence of poly-Si TFT characteristics is well documented. This dependence is controlled by the gap density of states which is fairly reproducible in a stable industrial process. Therefore a reference TFT can be used to sense the temperature with the ISFET serving as a temperature sensor and to provide the input for temperature compensation.
For the penicillin EnFET, penicillinase is immobilized on the Si3N4 gate dielectric. The functionalised ISFET detects the variation in H+ concentration, resulting from the catalysed hydrolysis of penicillin by penicillinase, which is dependent on the penicillin concentration in the solution [2,8]. Fig. 4a shows the voltage shift, measured in 5 mM, pH 7.0 phosphate buffer with different penicillin G concentrations. The I-V curves shifted to negative voltages for increasing penicillin concentration. The shift is linear with concentration until saturation reached at about 7 mM. The sensitivity is about 10 mV/mM. The pH sensitivity of this device is 47 mV/pH. Therefore the corresponding pH change induced by the penicillin hydrolysis can be calculated as shown in right axis.
Figure 4.
Gate voltage shift ΔVGS and the corresponding pH change due to the catalysed hydrolysis of penicillin taken from the ID-VGS curves of a p-type EnFET with transistor size W/L = 100 μm/6 μm measured in a 5 mM phosphate buffer pH 7.0 containing different concentrations of penicillin G.
We have investigated the application of field effect detection to the sensing of DNA hybridization. The technique is applicable in principle to all biomolecular interactions that affect the surface potential at the metal gate/electrolyte interface. The presence of immobilized chemical species results in a change of the interfacial dipole χ. These changes are brought about by different microscopic phenomena, such as the charge distribution in the immobilized chemical species, interaction between the functionalized gate and the electrolyte like chemisorption, physisorption etc. of electrolyte molecules. In turn, this affects the potential drop φ0 across the electrochemical double layer. This modulates the voltage applied to the gate of a field effect device, resulting in a change of the Capacitance-Voltage (C-V) characteristic, for a Metal-Oxide-Semiconductor (MOS) capacitor or of the I-V characteristic of a transistor. When the probe molecules interact with their bioconjugate, further changes in χ and φ0, and therefore in the C-V or I-V curves, are expected. For instance when a gate functionalized with a given strand of DNA probe is exposed to a target with the complementary strand hybridization occurs. Since the total negative charge carried by the hybridized molecule is twice that of the single stranded oligomer, χ and φ0 change. By contrast when the functionalized gate is exposed to a non-complementary strand, no binding occurs and the above parameters are unchanged. Hence the shift, or any other changes in the I-V characteristics, could be used to detect DNA hybridization [9]. This method can, in principle, be extended to other chemical and biochemical systems such as proteins and cells.
In order to test this detection method, we employed MOS capacitors made on single crystalline silicon. Gold electrodes were evaporated on oxidized p-type Silicon wafers, resistivity of 10 ohm-cm, with 50 nm thermal SiO2. An ohmic contact to the silicon was made with evaporated Al. Oligonucleotides with 20 base pairs of Adenine or Thymine, respectively were purchased from the PNAC facility of the Cambridge University Biochemistry Department. Tris buffer, mercaptohexanol and ethylene diamine tetraacetic acid (EDTA) were purchased from Sigma. The oligonucleotides were used in a concentration of 1 μM in 1 M NaCl containing 10 mM Tris and 1 mM EDTA. Single stranded DNA (ssDNA) consisting of 20 base pairs of Adenine was modified on the 5′ end by a thiolated CH2 chain and polyethylene glycol (PEG): HS-(CH2)6-PO4-(CH2CH2O)6-ssDNA and diluted in a concentration of 1 μM in a 1 M potassium phosphate buffer pH 7.0 containing 1 M NaCl and 1 mM EDTA. The single stranded DNA was immobilized on the gold gate. The immobilization was done over 3 hours, after which the substrate was washed with pure H2O and 10 mM NaCl containing 10 mM EDTA. In order to create a spacer between the DNA molecules mercaptohexanol, HS-(CH2)6-OH, was subsequently immobilized over 1 hour in a concentration of 1 mM in 1 M potassium phosphate buffer pH 7.0 containing 1 M NaCl and 1 mM EDTA. After the immobilization of the spacer the substrate was washed with H2O and NaCl/EDTA.
The C-V characteristics were measured with the device immersed in 50 mM phosphate buffer containing 50 mM NaCl at pH 7.0, before and after DNA immobilization. Upon immobilization of ssDNA the curves show a significant shift of about 200 mV in the direction of negative voltages (with respect to the Ag/AgCl reference electrode immersed in the electrolyte) as expected from the immobilization of negative charges on the gate. A complementary DNA strand consisting of 20 base pairs of Thymine in a concentration of 1 μM was placed in contact with the modified substrate for 1 hour. The substrate was again washed with H2O. Upon hybridization with the complementary strand a further significant shift of about 150 mV was observed in the same direction as before, which is consistent with the significant increase of negative charges on the gate brought about by the hybridization. In order to obtain reproducible results, it was necessary to apply a positive voltage (0.3 V) to the silicon, so as to offset the repulsion on the negative charge of probe and target. As a control, a non-complementary DNA strand consisting of 20 base pairs of Adenine in the same concentration and buffer as before was placed on substrates containing only the probe ssDNA and spacer using the same conditions as before. In this case, no significant shift was observed in accordance with the fact that no extra charged molecules are immobilized on the surface.
For DNA detection with Poly-Si TFTs an extended gate structure is again employed. In this device the gate dielectric is SiO2, which is standard technology, and the sensing pad is tantalum coated with Au film, 150 nm thick. The same procedure as above has been used for the probe immobilization on Au pad. Fig. 5 shows the measured ID-VGS characteristics for an n-channel extended gate poly-Si TFT, both before and after DNA probe immobilization. As can be seen, upon immobilization the I-V curve is shifted by about 420 mV to higher VGS values, as compared to the unfunctionalized gate. VGS here is applied between the Ag/AgCl reference electrode and the TFT source contact and VDS = 0.1 V.
Figure 5.
ID-VGS curve of a gold gate n-type ISFET with transistor size W/L = 40 μm/6 μm measured with VDS = 0.1 V in 50 mV phosphate buffer with pH 7.0, before and after single-stranded DNA immobilization.
Conclusions
We have fabricated ISFETs on glass substrates, by using low-temperature Poly-Si TFTs technology. An extended gate structure has been developed, using PE-CVD Si3N4 as the pH sensitive area. Stable operation and nearly ideal pH characteristics have been obtained. The devices have been applied to the detection of penicillin G, by functionalizing the Si3N4 with penicillinase. The extended gate structure facilitates the electrical and chemical isolation of the sensor, hence increasing its stability and durability. Extended gate Poly-Si TFT structures with a gold sensing area have been also successfully applied to field-effect detection of DNA. To our knowledge this is the first report of the use of Poly-Si TFTs as biosensors. This technology, in view of its advanced level of development for mass production and the use of cheap substrates such as glass or plastics, shows great promise for application in single-use multi-analytic biosensors.
Acknowledgments
The authors would like to thank Mr S. Nebashi, Dr S. Inoue and Prof T. Shimoda of Epson Technology Platform Research Center for making available the Poly-Si TFT fabrication facilities, Dr B.M. McGregor (Cambridge Research Lab of Epson) for the evaporation of gold electrodes, Dr. H. Fukushima of Epson Technology Platform Research Center for providing the protocols for DNA immobilization and hybridization, Prof C.R. Lowe and Dr G. Gupta of Cambridge University Institute of Biotechnology for helpful suggestions and for providing the enzymes. Financial support from the EPSRC and the Newton Trust is acknowledged.
References and Notes
- Bergveld, P. Thirty Years of ISFETOLOGY What Happened in the Past 30 Years and What May Happen in the Next 30 Years. Sens. Actuators B 2003, 88, 1–20. [Google Scholar]
- Poghossian, A.; Schoning, M.J.; Schroth, P.; Simonis, A.; Luth, H. An ISFET-Based Penicillin Sensor with High Sensitivity, Low Detection Limit and Long Lifetime. Sens Actuators B 2001, 76, 519–526. [Google Scholar]
- Inoue, S.; Shimoda, T. Future Trends in TFTs. Proc. of 9th Int. Display Workshops, IDW’02 2002, 279–282. [Google Scholar]
- Madou, M.J.; Morrison, S.R. Chemical Sensing with Solid State Devices; Academic Press: San Diego, 1989; pp. 235–358. [Google Scholar]
- Harame, D.L.; Bousse, L.J.; Shott, J.D.; Meindl, J.D. Ion-Sensing Devices with Silicon Nitride and Borosilicate Glass Insulators. IEEE Trans.Electron Devices 1987, 34, 1700–1707. [Google Scholar]
- Mikolajick, T.; Kuhnhold, R.; Schnupp, R.; Ryssel, H. The Influence of Surface Oxidation on the pH-Sensing Properties of Silicon Nitride. Sens. Actuators B 1999, 58, 450–455. [Google Scholar]
- Chou, J.C.; Wang, Y.F.; Lin, J.S. Temperature Effect of a-Si:H pH-ISFET. Sens. Actuators B 2000, 62, 92–96. [Google Scholar]
- Liu, J.G.; Liang, L.; Li, G.X.; Han, R.S.; Chen, K.M. H+ISFET-Based Biosensor for Determination of Penicillin G. Biosens. Bioelectron. 1998, 13, 1023–1028. [Google Scholar]
- Kim, D.S.; Jeong, Y.T.; Park, H.J.; Shin, J.K.; Choi, P.; Lee, J.H.; Lim, G. An FET-Type Charge Sensor for Highly Sensitive Detection of DNA Sequence. Biosens. Bioelectron. 2004, 20, 69–74. [Google Scholar]
© 2005 by MDPI ( http://www.mdpi.org). Reproduction is permitted for noncommercial purposes.




