Next Article in Journal
Brain Perivascular Macrophages Do Not Mediate Interleukin-1-Induced Sickness Behavior in Rats
Next Article in Special Issue
Pioglitazone Is a Mild Carrier-Dependent Uncoupler of Oxidative Phosphorylation and a Modulator of Mitochondrial Permeability Transition
Previous Article in Journal
Graft Preservation Solution DuraGraft® Alleviates Vascular Dysfunction Following In Vitro Ischemia/Reperfusion Injury in Rats
Previous Article in Special Issue
Synthesis and Biological Evaluation of (S)-2-(Substituted arylmethyl)-1-oxo-1,2,3,4-tetrahydropyrazino[1,2-a]indole-3-carboxamide Analogs and Their Synergistic Effect against PTEN-Deficient MDA-MB-468 Cells
 
 
Font Type:
Arial Georgia Verdana
Font Size:
Aa Aa Aa
Line Spacing:
Column Width:
Background:
Review

1,6-Naphthyridin-2(1H)-ones: Synthesis and Biomedical Applications

by
Juan Marcos Oliveras
,
Raimon Puig de la Bellacasa
,
Roger Estrada-Tejedor
,
Jordi Teixidó
and
José I. Borrell
*
Grup de Química Farmacèutica, IQS School of Engineering, Universitat Ramon Llull, Via Augusta 390, E-08017 Barcelona, Spain
*
Author to whom correspondence should be addressed.
Pharmaceuticals 2021, 14(10), 1029; https://doi.org/10.3390/ph14101029
Submission received: 12 September 2021 / Revised: 1 October 2021 / Accepted: 4 October 2021 / Published: 9 October 2021
(This article belongs to the Special Issue Heterocyclic Compounds and Their Application in Therapy)

Abstract

:
Naphthyridines, also known as diazanaphthalenes, are a group of heterocyclic compounds that include six isomeric bicyclic systems containing two pyridine rings. 1,6-Naphthyridines are one of the members of such a family capable of providing ligands for several receptors in the body. Among such structures, 1,6-naphthyridin-2(1H)-ones (7) are a subfamily that includes more than 17,000 compounds (with a single or double bond between C3 and C4) included in more than 1000 references (most of them patents). This review will cover the analysis of the diversity of the substituents present at positions N1, C3, C4, C5, C7, and C8 of 1,6-naphthyridin-2(1H)-ones, the synthetic methods used for their synthesis (both starting from a preformed pyridine or pyridone ring), and the biomedical applications of such compounds.

Graphical Abstract

1. Introduction

At the beginning of any research project aimed at the development of new potential drug candidates for the treatment of a certain disease, one of the most important decisions to be taken is the selection of the central molecular structure (scaffold) on which to introduce the substituents needed to interact with the corresponding biological receptor. Such scaffolds can be selected based on the natural ligands of the receptor, the synthetic background of the research group, or, frequently, using the so-called privileged heterocyclic structures, a concept introduced by Evans in the late 1980s [1,2].
Such privileged structures are usually heterocyclic compounds such as quinoline, benzimidazole, pyrazole, indole, piperazine, and others, that are present in many drugs developed throughout the history of medicinal chemistry. Another example of such privileged heterocycles are pyrido[2,3-d]pyrimidine structures and, more particularly, pyrido[2,3-d]pyrimidin-7(8H)-ones [3] that have allowed our group to describe compounds with nM activities as breakpoint-cluster-region protein (BCR) kinase inhibitors for B lymphoid malignancies [4], discoidin domain-containing receptor 2 (DDR2) inhibitors for treatment of lung cancer [5], such as hepatitis C virus (HCV) inhibitors [6], and other biological activities.
Similar structures are naphthyridines, also called pyridopyridines and benzodiacins, a group of diazanaphthalene compounds composed of six isomeric heterocyclic systems containing two pyridine rings. They can be divided into two small groups: the 1,X-naphthyridines (X = 5, 6, 7, 8) and the 2,X-naphthyridines (X = 6, 7) (Figure 1) [7]. Since the synthesis by Reissert in 1893 of the first naphthyridine, who proposed the given name, we had to wait until 1927 when the unsubstituted 1,5-naphthyridine (1) and 1, 8 naphthyridine (4) were synthesized. Finally, the family was completed with the synthesis in 1958 of 1,6-(2), 1,7-(3), and 2,7-naphthyridine (6), and the isolation of 2,6-naphthyridine (5) in 1965.
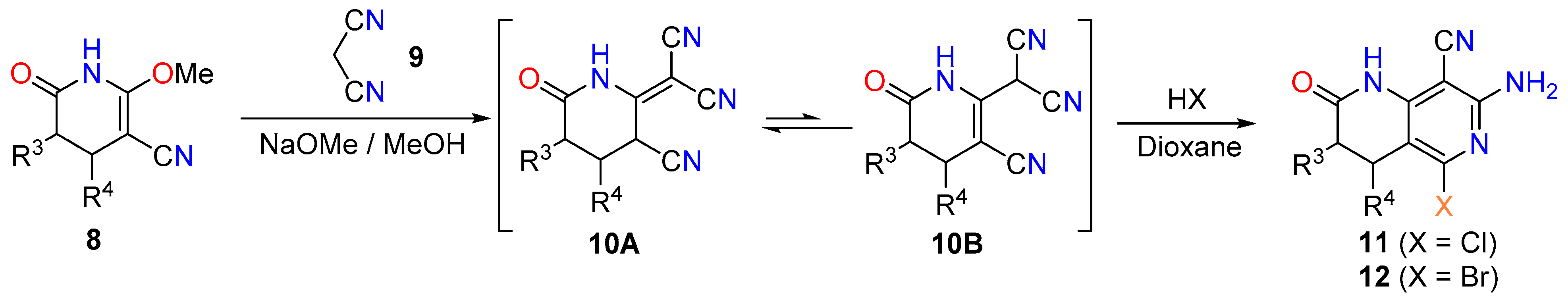
Among this group of isomeric naphthyridines, the 1,6-naphthyridin-2(1H)-ones (7) (Figure 1) were especially relevant for our group because in the late 1990s we developed a series of synthetic protocols for such structures from 2-methoxy-6-oxo-1,4,5,6-tetrahydropyridine-3-carbonitriles (8)—the same starting product we used for pyrido[2,3-d]pyrimidin-7(8H)-ones [8,9]. Thus, for instance, the treatment of 8 with malononitrile (9) in NaOMe/MeOH afforded the tautomeric system 10A10B, in which the equilibrium is shifted towards the 10A form. The subsequent treatment with hydrogen halide in dioxane always yields the corresponding 7-amino-5-halo system (11, X = Cl or 12, X = Br) regardless of the hydrogen halide employed (HCl or HBr) and the thermal level used (Scheme 1).
Our conviction that structures 7 could be excellent scaffolds for the development of potential drug candidates impelled us to carry out a preliminary search in SciFinder [10], revealing that there are more than 1000 references, including over 17,000 compounds, showing both C3-C4 single and double bonds. Over the past 10 years, the number of references including 1,6-naphthyridin-2(1H)-ones substructures have increased exponentially, evincing the interest in these systems and their potential biomedical applications. In fact, most of the reported reviews involving these scaffolds (28 in total) are focused on their biological activity, as will be seen later, with the last one covering structural and synthetic aspects of such structures from 2005 [11]. Consequently, the lack of a specific revision of 1,6-naphthyridin-2(1H)-ones (7) impelled us to review the literature covering structural, synthetic, and biological aspects.

2. Structural Features of 1,6-Naphthyridin-2(1H)-ones: Substitution Patterns and Degree of Unsaturation C3-C4

An important aspect to be considered when a certain scaffold is selected to start a project looking for new biological activities and patents is to have an idea of the diversity already covered in the Markush formula based on such a structure. It is worth noting that this information was virtually inaccessible until the emergence of computerized databases, such as SciFinder.
To analyze the particular case of 1,6-naphthyridin-2(1H)-ones (7), we determined the total number of structures 7 included in the database. By means of the Unspecified bond tool in the substructural search, single and double bonds were concurrently considered between C3 and C4 (depicted by a discontinuous line in 7, Figure 2). The search gave a total number of 17,365 1,6-naphthyridin-2(1H)-ones (7), a number that is slowly but continuously growing (the latest search was performed in January 2021). Then, we carried out searches with a C3-C4 double bond 13 (12,047 structures) and a C3-C4 single bond 14 (7067 structures) (Figure 2). It has already been described [3] that a single-bond search may include some double-bonded structures. Therefore, the resulting search was curated using the Substract command of the Combine Answer Sets tool in SciFinder to obtain the final set of 5318 molecules with a C3-C4 single bond (Figure 2). It is interesting to note that from the total number of structures 7 included in SciFinder, 70% correspond to structures presenting a C3-C4 double bond. Such a ratio in favor of the C3-C4 double bond could be due both to structural requirements for the biological activity of compounds 7 (mostly used as tyrosine kinase inhibitors as described later) or to the easier synthetic approaches for such unsaturated structures.
Structures 13, which present a C3-C4 double bond, are included in around 970 references. The interest in such structures is shown by around 450 patents (46.4%). In contrast, around 120 references (a number clearly lower than the preceding one) include structures 14 with a C3-C4 single bond, but remarkably 50% are patents.
Given that the maximum number of structures that can be downloaded from SciFinder as an SDFile is limited to 500, performing a diversity analysis with specialized software is not possible. Consequently, we decided to explore one-by-one the substitution patterns at positions C3, C4, C5, C7, C8, and N1 for each degree of C3-C4 unsaturation in order to have a picture of the diversity covered by the substances already described.

2.1. Substitution Pattern at N1

The analysis of the substitution pattern at N1 of the 1,6-naphthyridin-2(1H)-ones with a C5-C6 single bond (14) and with a C5-C6 double bond (13) (Table 1) shows that compounds 14 have been usually left unsubstituted at N1 (R1 = H, 51.86% of structures described), while compounds 13 are usually substituted at such a position (almost 64% of structures), with R1 = Me and R1 = Ph as the most used substituents. Such differences seem to relate to the different biological activities these two families of structures are oriented towards. In Table 1 (and the following tables), the different substitution patterns are illustrated with representative references.

2.2. Substitution Pattern at C3 and C4

In this family of compounds, the substitution pattern at C3 and C4 is usually connected with the relative selectivity between biological receptors. As will be described later in the biological section, 1,6-naphthyridin-2(1H)-ones (14), with a C3-C4 single bond, and 1,6-naphthyridin-2(1H)-ones (13), bearing a C3-C4 double bond, present very different substitution patterns at C3 and C4 and, correspondingly, have been addressed to very different biological targets.
Thus, in the case of the structures 14 (C3-C4 single bond), 32.37% present at least a substituent at C3 and a CH2 at C4 [8,34], while only 0.85% present a substituent at C4 and a CH2 at C3 [9,35]. Only 1.22% present one substituent both at C3 and C4 [36,37], and 3.74% of the structures do not present substituents at C3 nor at C4 [38,39]. These substitution patterns cover 38.18% of the total diversity, with the rest covered by more complex substitution patterns.
On the contrary, in the case of the structures 13 (C3-C4 double bond), 33.80% present only a substituent at C3 (R4 = H), with a phenyl ring in almost half of them. In only 0.75% of the structures is there a substituent at C4 (R3 = H), while in 28.51% of the structures R3 = R4 = H. In this case, such substitution patterns cover 63.06% of the total diversity.
These results clearly show that the substitution pattern at C3 and C4 of the 1,6-naphthyridin-2(1H)-ones with a C3-C4 single bond (14) is quite rich both in the level of substitution on each carbon atom and on the nature of the substituents present (although almost one-third of the compounds described present a single substituent at C3). In comparison, in the case of the 1,6-naphthyridin-2(1H)-ones bearing a C3-C4 double bond (13), the most common situations are with a substituent at C3 or with no substituents at positions C3 and C4.

2.3. Substitution Pattern at C5 and C7

The analysis of the diversity at positions C5 and C7 of naphthyridines 14 and 13, bearing a C3-C4 single and double bond, respectively, has focused on the following types of substituents: H, C (either alkyl groups or aromatic rings), N (primary amines, aminoalkyl, or aminoaryl groups or heterocyclic rings connected by the nitrogen atom), O (hydroxy group probably as the carbonyl tautomer, ethers, or ester groups), and halogen. The results obtained are included in Table 2 and Table 3, respectively.
In the case of 1,6-naphthyridin-2(1H)-ones (14) with a C3-C4 single bond (Table 2), the most commonly found situation is the absence of any substituent at position C5 (R5 = H), which covers almost 79% of the available diversity. The presence of carbon substituents is quite low (around 1%), while nitrogen substituents are even lower (0.77%). Only oxygen and halogen substituents are present in relevant amounts (around 5% and 15%, respectively). The diversity considered covers the 99.97% diversity at the C5 position. As for position C7, once more the most abundant situation (65.87%) is the absence of any substituent (R7 = H), followed by the presence of a carbon substituent (25.65%). Both situations cover roughly 92% of the substitution patterns at C7 in structures 14.
On the other hand, in 1,6-naphthyridin-2(1H)-ones (13) bearing a C3-C4 double bond (Table 3), once more the most common situation is the absence of any substituent at C5 (R5 = H), which covers around 67% of the diversity. In second position, we found carbon substituents (around 21%), followed by oxygen, and nitrogen substituents (8.25% and 3.92%, respectively). Such substitution patterns cover almost 99% of the diversity at such positions. As for position C7, the carbon substituents cover 43.25% of the diversity, which added to the compounds not presenting a substituent at such position (R7 = H, 33.98%) with those presenting a nitrogen substituent (16.34%) cover most of the diversity at such positions (almost 94%). The combination R5 = H and R7 = alkyl group covers 46% of all compounds (see for instance Shao [45]).

2.4. Substitution Pattern at C8

A total of 4927 (92.65%) 1,6-naphthyridin-2(1H)-ones (14) with a C3-C4 single bond bear no substituent at position C8 (R8 = H) [58,59], and only 7.03% have a carbon substituent [20,31,60,61,62]. Particularly interesting is the protocol developed by our group that allows the presence of a nitrile group at such positions that can be further derivatized [8,9]. In the case of 1,6-naphthyridin-2(1H)-ones (13) with a C3-C4 double bond, the percentage of unsubstituted structures at position C8 is reduced to 78.52% (9459 structures) [19,63], while the presence of carbon substituents rises to 20.15% (2427 compounds) [29,31,32,56,64,65,66,67,68,69].
Once the diversity of the substituents in the various positions of the 1,6-naphthyridin-2(1H)-ones had been analyzed, a visual comparison of the diversities covered at positions C3, C4, C5, C7, C8, and N1 of structures 14 (C3-C4 single bond) and 13 (C3-C4 double bond) included in SciFinder is shown in Figure 3 and Figure 4.
As can be easily deduced, there is a lot of room to modify structures 14 and 13 because the degree of substitution is not very high and in nearly all positions the most present substituent is a hydrogen atom. Although the differences in the substitution pattern of 14 and 13 are certainly connected with the synthetic routes developed that favor one or another type of substituents, the different biological activities sought with each of the structures are undoubtedly the ultimate reason for such diversity.

3. Synthetic Approaches to 1,6-Naphthyridin-2(1H)-ones

From the diverse synthetic routes that can be envisaged for a bicyclic system such as the 1,6-naphthyridin-2(1H)-ones (7), in this review we have selected the two most common: (a) construction from a preformed pyridine and (b) construction from a preformed pyridone (Figure 5).
The retrieval of synthetic routes for a given structure is carried out in SciFinder by using two different protocols:
(1)
Reaction Structure tool: it can be used in two ways, (a) drawing the substructures of two starting products and the reaction arrow without including the reaction product or (b) drawing the substructure of a possible starting material and the reaction arrow together with the structure of the reaction product. Both approaches are useful when the possible starting products are known.
(2)
Retrosynthetic analysis tool: drawing the structure of the final product and indicating with a small arrow of the structure editor the bonds to be retrosynthetically broken. This approach is useful for exploring several possible disconnections from a given final structure.
In this review, it was necessary to use a combination of both protocols to draw a picture of the synthetic approaches used for the preparation of 1,6-naphthyridin-2(1H)-ones 14 and 13.

3.1. Synthesis from a Preformed Pyridine

The searching methodologies described above allowed us to identify two synthetic approaches when a preformed pyridine is used as precursor:
(a) The use of an adequately substituted 4-chloropyridine (15) as the starting material, which corresponds to the disconnection of the N1-C8a and C3-C4 bonds of the 1,6-naphthyridin-2(1H)-one (13) bearing a C3-C4 double bond (Figure 6).
There are in total seven references, all of them patents, that use such an approach. In five of them the chloro substituted pyridine is ethyl 4,6-dichloro-3-pyridinecarboxylate (16, corresponding to 15 with G = COOEt) [70,71,72,73,74], which is reacted with an amine, that introduces the N1 substituent of the final 1,6-naphthyridin-2(1H)-one, and is subsequently condensed with methyl phenylacetate to afford the corresponding structure 13. An example of this approach is included in Scheme 2, in which 16 is treated with aniline (17) to yield the intermediate 18 (G = COOEt) that reduced to benzyl alcohol 19 (G = CH2OH) and subsequently oxidized to aldehyde 20 (G = CHO), which in turn is condensed with methyl phenylacetate 21 to yield 1,6-naphthyridin-2(1H)-one (22) in 40% of the global yield.
In the other two references, the chloro substituted pyridine bears an aldehyde (G = CHO) [75] or ketone group (G = COMe) [76]. It is noteworthy that there is not a single example of the construction of 1,6-naphthyridin-2(1H)-ones (14) with a C3-C4 single bond.
(b) The use as starting material of a preformed N-substituted or unsubstituted pyridine-4-amine (23) that includes a carbon functional group G (CHO, CN COOR, or COMe,) at position C3 of the pyridine ring. This approach corresponds to the disconnection of the N1–C2 and C3-C4 bonds of the 1,6-naphthyridin-2(1H)-one system (Figure 7). In the case of the CHO group, there are 76 references (50 of them patents) [77,78], 12 references for the CN group (4 patents) [79], and 5 references use a ketone group. This second approach is mainly used when the final 1,6-naphthyridin-2(1H)-one 13 is not bearing any substituent at N1 (R1 = H).
An example of the use of a 4-aminonicotinaldehyde is the formation of 26 upon condensation of 24 with malonamide 25 to afford 1,6-naphthyridin-2(1H)-one (26) in the presence of piperidine and EtOH (Scheme 3). In this type of condensation, dimethyl malonate, methyl cyanocetate, or metyl phenylacetate can alternatively be used during the formation of the bicyclic system [78].
Scheme 4 shows the use of 4-aminonicotinonitrile (27) in the formation of the 1,6-naphthyridin-2(1H)-one. In this example, the condensation between 27 and diethyl malonate (28) in NaOEt in EtOH affords the corresponding bicyclic system 29, bearing an amino group at position C4 [79].
Similarly, the use of 4-aminonicotinic acid (30), condensed with diethyl malonate (28), affords the corresponding 4-hydroxy substituted 1,6-naphthyridin-2(1H)-one 31 [47] (Scheme 5).
Finally, there is a single example of the use of this strategy for the synthesis of a 1,6-naphthyridin-2(1H)-one with a single C3-C4 bond [30].

3.2. Synthesis from a Preformed Pyridone

In this second synthetic approach, we considered three possible disconnections of the 1,6-naphthyridin-2(1H)-ones (7): (a) in between C5–C6 and C7–C8, (b) in between C5–C6 and C8–C8a, and (c) in between C4a–C5 and C8–C8a (Figure 8). The disconnections were carried out using a C3-C4 undetermined bond to cover both levels of unsaturation.
In the case of disconnection (a), a total of 25 references were found, among which the works of Singh [80], Savarin [81], and Cywin [51] are especially representative. Thus, pyridone 32 treated with tert-butoxybis(dimethylamino)methane (33) affords the 1,6-naphthyridin-2(1H)-one (34) [80] (Scheme 6).
Virtually the only methodology described that uses disconnection (b) is the one developed by our group in the early 1990s [8,9] (Scheme 1). The use of dimethyl malonate, metyl cyanoacetate, or cyanoacetamide, instead of malonitrile on pyridones 8 in combination with acidic or basic cyclizations on the corresponding intermediates referable to 10, allowed the synthesis of a wide range of 1,6-naphthyridin-2(1H)-ones with a diverse set of substituents at positions C3, C4, C5, C7, and a nitrile group at C8, that present a C3-C4 single bond. When methyl cyanoacetate was used, the treatment of pyridones 8 with methyl cyanoacetate yielded the corresponding intermediates 35, which present an intramolecular hydrogen bond between the COOMe group and the lactam NH group. The treatment of 35 in acidic media (HCl, HBr or TFA) afforded the corresponding pyrano[4,3-b]pyridine-2,7-dione (36) by cyclization of the ester group and the cyano group linked to the pyridone ring. Surprisingly, when compounds 36 were treated with ammonia, the cyanomethyl substituted pyridones 37 were formed (not accessible upon treatment of 8 with MeCN) through a ring opening, decarboxylation, and loss of ammonia [9]. Compounds 37 allowed the synthesis of C8-unsubstituted 1,6-naphthyridin-2(1H)-ones 38 upon treatment with HBr (Scheme 7).
As for the third disconnection, (c) is present in 17 references and a good example is the synthesis of the fused 1,6-naphthyridin-2(1H)-one 42 starting from 39 and 40 treated with pyridone 41 [82] (Scheme 8).

4. Biomedical Applications of 1,6-Naphthyridin-2(1H)-ones

SciFinder allows the retrieval of the biological activity of a single compound but makes it difficult to obtain the detailed biological activity for a large collection of compounds. The use of the filters Biological Study or Therapeutic Use on a group of structures allows the retrieval of all the references, including biological data, that later must be examined one by one. Nevertheless, using the Concept tool on the references retrieved under Biological Study in the case of the 1,6-naphthyridin-2(1H)-ones (14) with a C3-C4 single bond and on the 1,6-naphthyridin-2(1H)-ones (13) with a C3-C4 double bond (78 and 819 references, respectively), it is possible to obtain a list, ordered by frequency, of the indexed terms for the preferential biological targets of each structure (Table 4).
The results obtained clearly show that in the case of 1,6-naphthyridin-2(1H)-ones (13) with a C3-C4 double bond the most common use for this type of molecule is as an antitumor, as some of the most frequently indexed terms are: antitumor agent, neoplasm, melanoma, etc. In particular, 281 references included antitumor agents [49,83].
On the contrary, for 1,6-naphthyridin-2(1H)-ones (14) with a C3-C4 single bond the number of references found was lower. The most relevant biological activity of such molecules seems to be in the cardiovascular system. The most commonly indexed terms are: antihypertensives, cardiovascular agents, angiotensin II receptor antagonists, etc. Specifically, 16 references classify them as antihypertensives [84,85].
A search carried out in the Protein Data Bank (PDB, https://www.rcsb.org/, accessed on 27 September 2021) has shown the presence of five crystal structures in the case of 1,6-naphthyridin-2(1H)-ones (14) with a C3-C4 single bond and, apparently, none in the case of 1,6-naphthyridin-2(1H)-ones (13) with a C3-C4 double bond. The PDB entry 4YAY corresponds to the Human Angiotensin II Receptor complexed with the naphthyridine with CAS number 146709-78-6, while the 5VDH corresponds to the Human Glycine Receptor alpha-3 bound to the naphthyridine AM-3607 and Ivermectin.
An interesting aspect to know at this point in this review would be if any 1,6-naphthyridin-2(1H)-one-based product has reached the market. Such information is difficult to retrieve in SciFinder because this database does not clearly incorporate commercial information or the stages of development of a drug candidate. Therefore, we used Drugbank (https://www.drugbank.ca/, accessed on 17 July 2021), a database containing information on drugs and drug targets, for researching the market situation of compounds 13 and 14 [86].
Our search showed that in the case of 1,6-naphthyridin-2(1H)-ones (13), a single compound bearing a C3-C4 double bond is included in the database. Ripretinib, also known as Qinlock, (43, Deciphera Pharmaceuticals, CAS 1442472-39-0, Figure 9), is a kinase inhibitor, approved by the FDA on 48 May 2020. It is used for the treatment of advanced gastrointestinal stromal tumors (GIST) that do not respond to other kinase inhibitors such as sunitinib and imatinib [87,88,89]. Ripretinib was approved as a fourth-line therapy after a pre-treatment with at least three or more kinase inhibitors.

5. Conclusions

In this paper, we reviewed the substitution patterns of 1,6-naphthyridin-2(1H)-ones (13) and (14) bearing a double and single C3-C4 bond, establishing the kind of substituents mainly used at positions N1, C3, C4, C5, C7, and C8 of such systems.
Two main synthetic strategies for the synthesis of such compounds were found: starting from a preformed pyridine or pyridone. The correlation between the structure of 1,6-naphthyridin-2(1H)-ones and their biological activity has been established, showing that the presence or absence of the C3-C4 double bond, together with the substitution pattern that our analysis has revealed, is responsible for the two different main biological activities of such compounds. Thus, we have shown that compounds 14, with a C3-C4 single bond, have been mainly used in cardiovascular diseases, while compounds 13, bearing a C3-C4 double bond, have been primarily used as antitumor agents. Repretinib, a 1,6-naphthyridin-2(1H)-one (13) bearing a C3-C4 double bond, has reached the market as a tyrosine–kinase inhibitor for the treatment of advanced gastrointestinal stromal tumors (GIST).

Author Contributions

Conceptualization, J.I.B. and J.M.O.; writing—original draft preparation, J.M.O. and J.I.B.; validation, R.P.d.l.B., R.E.-T. and J.T.; writing—review and editing, J.I.B. All authors have read and agreed to the published version of the manuscript.

Funding

This research was funded by Ministerio de Ciencia, Innovación y Universidades, Proyectos de I+D+I “Retos Investigación” del Programa Estatal de I+D+I orientada a los Retos de la Sociedad, grant number RTI2018-096455-B-I00.

Institutional Review Board Statement

Not applicable.

Informed Consent Statement

Not applicable.

Data Availability Statement

Data sharing not applicable.

Conflicts of Interest

The authors declare no conflict of interest.

References

  1. Evans, B.E.; Rittle, K.E.; Bock, M.G.; DiPardo, R.M.; Freidinger, R.M.; Whitter, W.L.; Lundell, G.F.; Veber, D.F.; Anderson, P.S.; Chang, R.S.; et al. Methods for drug discovery: Development of potent, selective, orally effective cholecystokinin antagonists. J. Med. Chem. 1988, 31, 2235–2246. [Google Scholar] [CrossRef]
  2. Altomare, C.D. Privileged heterocyclic scaffolds in chemical biology and drug discovery: Synthesis and bioactivity. Chem. Heterocycl. Compd. 2017, 53, 239. [Google Scholar] [CrossRef] [Green Version]
  3. Jubete, G.; De La Bellacasa, R.P.; Estrada-Tejedor, R.; Teixidó, J.; Borrell, J.I. Pyrido[2,3-d]pyrimidin-7(8H)-ones: Synthesis and biomedical applications. Molecules 2019, 24, 4161. [Google Scholar] [CrossRef] [PubMed] [Green Version]
  4. Puig de la Bellacasa, R.; Roue, G.; Balsas, P.; Perez-Galan, P.; Teixido, J.; Colomer, D.; Borrell, J.I. 4-Amino-2-arylamino-6-(2,6-dichlorophenyl)-pyrido[2,3-d]pyrimidin-7-(8H)-ones as BCR kinase inhibitors for B lymphoid malignancies. Eur. J. Med. Chem. 2014, 86, 664–675. [Google Scholar] [CrossRef] [PubMed]
  5. Vila, M.A.M.; Roman, S.G.; Bilbao, J.I.B.; Closa, J.T.; Tejedor, R.E.; de la Bellacasa, R.P. Use of 4-Amino-6-(2,6-Dichlorophenyl)-8-Methyl-2-(Phenylamino)-Pyrido[2,3-d]Pyrimidin-7(8H)-One in Formulations for Treatment of Solid Tumors. EP Patent 3120851A1, 21 July 2017. [Google Scholar]
  6. Camarasa, M.; De La Bellacasa, R.P.; González, À.L.; Ondoño, R.; Estrada, R.; Franco, S.; Badia, R.; Esté, J.; Martínez, M.Á.; Teixidó, J.; et al. Design, synthesis and biological evaluation of pyrido[2,3-d]pyrimidin-7-(8H)-ones as HCV inhibitors. Eur. J. Med. Chem. 2016, 115, 463–483. [Google Scholar] [CrossRef]
  7. Litvinov, V.P. Advances in the Chemistry of Naphthyridines; Elsevier Masson SAS: N.D. Zelinsky Institute of Organic Chemistry, Academy of Sciences: Moscow, Russia, 2006; Volume 91, pp. 189–300. [Google Scholar] [CrossRef]
  8. Victory, P.J.; Teixido, J.; Borrell, J.I. A synthesis of 1,2,3,4-tetrahydro-1,6-naphthyridines. Heterocycles 1992, 34, 1905–1916. [Google Scholar] [CrossRef]
  9. Victory, P.J.; Teixido, J.; Borrell, J.I.; Busquets, N. 1,2,3,4-Tetrahydro-1,6-naphthyridines. Part 2. Formation and unexpected reactions of 1,2,3,4-tetrahydro-7H-pyrano[4,3-b]pyridine-2,7-diones. Heterocycles 1993, 36, 1–6. [Google Scholar] [CrossRef]
  10. Chemical Abstracts Service. Scifinder, Version 2019; Chemical Abstracts Service: Columbus, OH, USA, 2019. [Google Scholar]
  11. Phuan, P.-W.; Kozlowski, M.C. Product class 8: Naphthyridines. Sci. Synth. 2005, 15, 947–985. [Google Scholar] [CrossRef]
  12. Sams, A.G.; Larsen, K.; Mikkelsen, G.K.; Hentzer, M.; Christoffersen, C.T.; Jensen, K.G.; Frederiksen, K.; Bang-Andersen, B. Hit-to-lead investigation of a series of novel combined dopamine D2 and muscarinic M1 receptor ligands with putative antipsychotic and pro-cognitive potential. Bioorg. Med. Chem. Lett. 2012, 22, 5134–5140. [Google Scholar] [CrossRef] [PubMed]
  13. Haglid, F. Syntheses of tetrahydronaphthyridines. Ark. Kemi 1967, 26, 489. [Google Scholar]
  14. Dong, Z.; Wang, Z.; Guo, Z.-Q.; Gong, S.; Zhang, T.; Liu, J.; Luo, C.; Jiang, H.; Yang, C.-G. Structure—Activity Relationship of SPOP Inhibitors against Kidney Cancer. J. Med. Chem. 2020, 63, 4849–4866. [Google Scholar] [CrossRef]
  15. Cheng, P.; Wang, Y.; Sarakha, M.; Mailhot, G. Enhancement of the photocatalytic activity of decatungstate, W10O324-, for the oxidation of sulfasalazine/sulfapyridine in the presence of hydrogen peroxide. J. Photochem. Photobiol. A Chem. 2021, 404, 112890. [Google Scholar] [CrossRef]
  16. Bowden, B.F.; McCool, B.J.; Willis, R.H. Lihouidine, a novel spiro polycyclic aromatic alkaloid from the marine sponge Suberean. sp. (Aplysinellidae, Verongida). J. Org. Chem. 2004, 69, 7791–7793. [Google Scholar] [CrossRef]
  17. Huang, X.; Shaffer, P.L.; Ayube, S.; Bregman, H.; Chen, H.; Lehto, S.G.; Luther, J.A.; Matson, D.J.; McDonough, S.I.; Michelsen, K.; et al. Crystal structures of human glycine receptor α3 bound to a novel class of analgesic potentiators. Nat. Struct. Mol. Biol. 2017, 24, 108–113. [Google Scholar] [CrossRef] [PubMed]
  18. Montoir, D.; Tonnerre, A.; Duflos, M.; Bazin, M.-A. Efficient one-pot synthesis of 3,7-disubstituted 1,6-naphthyridin-2(1H)-ones through regioselective palladium-catalyzed cross-coupling and SNAr reactions. Tetrahedron 2015, 71, 3303–3313. [Google Scholar] [CrossRef]
  19. Montoir, D.; Barille-Nion, S.; Tonnerre, A.; Juin, P.; Duflos, M.; Bazin, M.-A. Novel 1,6-naphthyridin-2(1H)-ones as potential anticancer agents targeting Hsp90. Eur. J. Med. Chem. 2016, 119, 17–33. [Google Scholar] [CrossRef]
  20. Vicente-Garcia, E.; Ramon, R.; Preciado, S.; Lavilla, R. Multicomponent reaction access to complex quinolines via oxidation of the Povarov adducts. Beilstein J. Org. Chem. 2011, 7, 980–987. [Google Scholar] [CrossRef]
  21. Gao, R.-X.; Luan, X.-Q.; Xie, Z.-Y.; Yang, L.; Pei, Y. Fe-Catalyzed decarbonylative cascade reaction of N-aryl cinnamamides with aliphatic aldehydes to construct 3,4-dihydroquinolin-2(1H)-ones. Org. Biomol. Chem. 2019, 17, 5262–5268. [Google Scholar] [CrossRef]
  22. Sharma, L.; Tsai, Y.-C.; Liu, A.A.; Liu, L.F.; LaVoie, E.J. Cytotoxicity and TOP1-targeting activity of 8- and 9-amino derivatives of 5-butyl- and 5-(2-N,N-dimethylamino)ethyl-5H-dibenzo[c,h][1,6]naphthyridin-6-ones. Eur. J. Med. Chem. 2009, 44, 1471–1476. [Google Scholar] [CrossRef]
  23. Manikandan, T.S.; Ramesh, R.; Semeril, D. The Tandem C-H/N-H Activation of N-Methyl Arylamide Catalyzed by Dinuclear Pd(II) Benzhydrazone Complex: A Concise Access to Phenanthridinone. Organometallics 2019, 38, 319–328. [Google Scholar] [CrossRef]
  24. Chung, J.Y.L.; Cvetovich, R.J.; McLaughlin, M.; Amato, J.; Tsay, F.R.; Jensen, M.; Weissman, S.; Zewge, D. Synthesis of a naphthyridone p38 MAP kinase inhibitor. J. Org. Chem. 2006, 71, 8602–8609. [Google Scholar] [CrossRef]
  25. Hunt, J.A.; Kallashi, F.; Ruzek, R.D.; Sinclair, P.J.; Ita, I.; McCormick, S.X.; Pivnichny, J.V.; Hop, C.E.C.A.; Kumar, S.; Wang, Z.; et al. p38 Inhibitors: Piperidine- and 4-aminopiperidine-substituted naphthyridinones, quinolinones, and dihydroquinazolinones. Bioorg. Med. Chem. Lett. 2003, 13, 467–470. [Google Scholar] [CrossRef]
  26. Xu, Z.; Cai, J.; Liu, Y.; Song, B.; Shi, S.; Yao, T.; Hu, L.; Ding, C.Z. Salt Form and Crystal Form of Pyridopyridone Derivative. WO2019238088 A1, 19 December 2019. [Google Scholar]
  27. Yanagisawa, H.; Shimoji, Y.; Hashimoto, T. Preparation of Indolonaphthyridine Derivatives as Cardiovascular Agents. JP05310738 A, 22 November 1993. [Google Scholar]
  28. Seixas, J.D.; Sousa, B.B.; Marques, M.C.; Guerreiro, A.; Traquete, R.; Rodrigues, T.; Albuquerque, I.S.; Sousa, M.; Lemos, A.R.; Sousa, P.M.F.; et al. Rationally designed potent BMX inhibitors reveals mode of covalent binding at the atomic level. ChemRxiv 2020, 1–35. [Google Scholar] [CrossRef]
  29. Li, H.; Sun, W.; Huang, X.; Lu, X.; Patel, P.R.; Kim, M.; Orr, M.J.; Fisher, R.M.; Tanaka, T.Q.; McKew, J.C.; et al. Efficient Synthesis of 1,9-Substituted Benzo[h][1,6]naphthyridin-2(1H)-ones and Evaluation of their Plasmodium falciparum Gametocytocidal Activities. ACS Comb. Sci. 2017, 19, 748–754. [Google Scholar] [CrossRef]
  30. Shao, C.; Wang, C.; Mou, X.; Xu, R. Preparation of Lactam Compounds Useful as Antiviral Agents. U.S. Patent 20200030312 A1, 30 January 2020. [Google Scholar]
  31. Shao, C.; Wang, C.; Mou, X.; Xu, R. Lactam Compounds as Antiviral Agents and Their Preparation, Pharmaceutical Compositions and Use in the Treatment of Viral Infections. WO Patent 2018177296 A1, 4 October 2018. [Google Scholar]
  32. Wu, H.; Wang, W.; Liu, F.; Weisberg, E.E.; Tian, B.; Chen, Y.; Li, B.; Wang, A.; Wang, B.; Zhao, Z.; et al. Discovery of a Potent, Covalent BTK Inhibitor for B-Cell Lymphoma. ACS Chem. Biol. 2014, 9, 1086–1091. [Google Scholar] [CrossRef]
  33. Wang, B.; Deng, Y.; Chen, Y.; Yu, K.; Wang, A.; Liang, Q.; Wang, W.; Chen, C.; Wu, H.; Hu, C.; et al. Structure-activity relationship investigation for benzonaphthyridinone derivatives as novel potent Bruton’s tyrosine kinase (BTK) irreversible inhibitors. Eur. J. Med. Chem. 2017, 137, 545–557. [Google Scholar] [CrossRef]
  34. Teixido, J.; Borrell, J.I.; Serra, B.; Matallana, J.L.; Colominas, C.; Carrion, F.; Pascual, R.; Falco, J.L.; Batllori, X. Cyclization of tautomeric 1,5-dinitrile systems with hydrogen halides: A definitive mechanistic rationalization? Heterocycles 1999, 50, 739–756. [Google Scholar] [CrossRef]
  35. Martinez-Teipel, B.; Teixido, J.; Pascual, R.; Mora, M.; Pujola, J.; Fujimoto, T.; Borrell, J.I.; Michelotti, E.L. 2-Methoxy-6-oxo-1,4,5,6-tetrahydropyridine-3-carbonitriles: Versatile Starting Materials for the Synthesis of Libraries with Diverse Heterocyclic Scaffolds. J. Comb. Chem. 2005, 7, 436–448. [Google Scholar] [CrossRef] [PubMed]
  36. Bregman, H.; Simard, J.R.; Andrews, K.L.; Ayube, S.; Chen, H.; Gunaydin, H.; Guzman-Perez, A.; Hu, J.; Huang, L.; Huang, X.; et al. The Discovery and Hit-to-Lead Optimization of Tricyclic Sulfonamides as Potent and Efficacious Potentiators of Glycine Receptors. J. Med. Chem. 2017, 60, 1105–1125. [Google Scholar] [CrossRef] [PubMed]
  37. Mohamed, F.K.; Soliman, A.Y.; Abdel-Motaleb, R.M.; Abdel-Rahman, R.M.; Abdel-Mohsen, A.M.; Fouda, M.M.G.; Al-Deyab, S.S.; Hrdina, R. Synthesis and antibacterial activity of new quinoline derivatives starting from coumarin compounds. J. Pure Appl. Microbiol. 2013, 7, 453–458. [Google Scholar]
  38. Vicente-Garcia, E.; Catti, F.; Ramon, R.; Lavilla, R. Unsaturated Lactams: New Inputs for Povarov-Type Multicomponent Reactions. Org. Lett. 2010, 12, 860–863. [Google Scholar] [CrossRef]
  39. Ratcliffe, A.H.; Pearce, R.J.; Gibson, K.H.; Wood, R.; Masek, B.B. Preparation of Naphthyridine Derivatives as Angiotensin II Inhibitors. EP Patent 516392 A2, 2 February 1992. [Google Scholar]
  40. Sakamoto, T.; Miura, N.; Kondo, Y.; Yamanaka, H. Condensed heteroaromatic ring systems. V. Formal synthesis of matrine and related compounds using palladium-catalyzed carbon-carbon bond formations as key reactions. Chem. Pharm. Bull. 1986, 34, 2018. [Google Scholar] [CrossRef]
  41. Mallory, F.B.; Mallory, C.W. Photocyclization of stilbenes and related molecules. Org. React. 1984, 30. [Google Scholar] [CrossRef]
  42. Shimoji, Y.; Hashimoto, T.; Furukawa, Y.; Yanagisawa, H. Intramolecular Diels-Alder reaction of 3-formimidoylindoles: Synthesis of fused pyridoindole compounds. Heterocycles 1993, 36, 123. [Google Scholar] [CrossRef]
  43. Bradbury, R.H. Heterocyclic Compounds Useful as Angiotensin II Antagonists. EP Patent 539066 A1, 28 April 1993. [Google Scholar]
  44. O’Callaghan, C.N.; McMurry, T.B.H.; O’Brien, J.E. The formation of polyheterocyclic systems by the reaction of 2-oxo-2H-1-benzopyran-3-carboxamide and related compounds with active methylene compounds. J. Chem. Res. Synopses 1995, 27, 490. [Google Scholar] [CrossRef]
  45. Shao, C. Preparation of tetracyclic compounds for treatment of infection. CN Patent 108658986, 28 March 2017. [Google Scholar]
  46. Norman, M.; Wang, H.; Rzasa, R.; Zhong, W.; Nguyen, T.; Kaller, M. Preparation of Thiazolyl Substituted Quinolinones for Treating Cell Proliferative Disorders, Neurological Disorders and Apoptosis. WO Patent 2003066630 A2, 14 August 2003. [Google Scholar]
  47. Czuba, W.; Kowalska, T.; Kowalski, P. Synthesis and amination of 2,4-dibromo-1,6-naphthyridine. Pol. J. Chem. 1978, 52, 2369. [Google Scholar]
  48. Singh, B.; Lesher, G.Y.; Pluncket, K.C.; Pagani, E.D.; Bode, D.C.; Bentley, R.G.; Connell, M.J.; Hamel, L.T.; Silver, P.J. Novel cAMP PDE III inhibitors: 1,6-naphthyridin-2(1H)-ones. J. Med. Chem. 1992, 35, 4858. [Google Scholar] [CrossRef]
  49. Liu, Q.; Wang, J.; Kang, S.A.; Thoreen, C.C.; Hur, W.; Choi, H.G.; Waller, D.L.; Sim, T.; Sabatini, D.M.; Gray, N.S. Discovery and optimization of potent and selective benzonaphthyridinone analogs as small molecule mTOR inhibitors with improved mouse microsome stability. Bioorg. Med. Chem. Lett. 2011, 21, 4036–4040. [Google Scholar] [CrossRef] [PubMed] [Green Version]
  50. Medvedeva, M.I.; Tugusheva, N.Z.; Alekseeva, L.M.; Evstratova, M.I.; Kiselev, S.S.; Chernyshev, V.V.; Avramenko, G.V.; Granik, V.G. Substituted 3-and 5-formylpyridin-2-ones in the synthesis of 1-aryl-1,6-naphthyridinone derivatives. Russ. Chem. Bull. 2009, 58, 2336–2346. [Google Scholar] [CrossRef]
  51. Cywin, C.L.; Zhao, B.-P.; McNeil, D.W.; Hrapchak, M.; Prokopowicz, A.S.; Goldberg, D.R.; Morwick, T.M.; Gao, A.; Jakes, S.; Kashem, M.; et al. Discovery and SAR of novel Naphthyridines as potent inhibitors of spleen tyrosine kinase (SYK). Bioorg. Med. Chem. Lett. 2003, 13, 1415–1418. [Google Scholar] [CrossRef]
  52. Fayed, A.A.; Bahashwan, S.A.; Yousif, M.N.M.; El Shafey, H.M.; Amr, A.E.; Yousif, N.M.; Shadid, K.A. Synthesis and Antiproliferative Activity of Some Newly Synthesized Pyrazolopyridine Derivatives. Russ. J. Gen. Chem. 2019, 89, 1209–1217. [Google Scholar] [CrossRef]
  53. Achutha, A.S.; Pushpa, V.L.; Manoj, K.B. Comparative molecular docking studies of phytochemicals as Jak2 inhibitors using Autodock and ArgusLab. Mater. Today Proc. 2021, 41, 711–716. [Google Scholar] [CrossRef]
  54. Siu, T.; Kozina, E.S.; Jung, J.; Rosenstein, C.; Mathur, A.; Altman, M.D.; Chan, G.; Xu, L.; Bachman, E.; Mo, J.-R.; et al. The discovery of tricyclic pyridone JAK2 inhibitors. Part 1: Hit to lead. Bioorg. Med. Chem. Lett. 2010, 20, 7421–7425. [Google Scholar] [CrossRef] [PubMed]
  55. Kiselev, E.; Dexheimer, T.S.; Pommier, Y.; Cushman, M. Design, Synthesis, and Evaluation of Dibenzo[c,h][1,6]naphthyridines as Topoisomerase I Inhibitors and Potential Anticancer Agents. J. Med. Chem. 2010, 53, 8716–8726. [Google Scholar] [CrossRef] [PubMed] [Green Version]
  56. El-Kousy, S.M.; Mohareb, R.M.; Riad, M.; Elnagdi, M.H. Studies with polyfunctionally substituted heteroaromatic compounds: Synthesis of some new polyfunctionally substituted pyrido[3,2-c]pyridines and pyrido[2,3-c]pyridazines. Pak. J. Sci. Ind. Res. 1998, 41, 81–85. [Google Scholar]
  57. Daboun, H.A.; Abdou, S.E.; Khader, M.M. Reactions with activated nitriles: Some new approaches to the synthesis of pyridine derivatives. Arch. Pharm. 1983, 316, 564. [Google Scholar] [CrossRef]
  58. Maxfield, E.K.; Love, A.; Cotter, M.A.; Cameron, N.E. Nerve function and regeneration in diabetic rats: Effects of ZD-7155, an AT1 receptor antagonist. Am. J. Physiol. 1995, 269, e530. [Google Scholar] [CrossRef]
  59. Zhang, H.; Unal, H.; Gati, C.; Han, G.W.; Liu, W.; Zatsepin, N.A.; James, D.; Wang, D.; Nelson, G.; Weierstall, U.; et al. Structure of the Angiotensin Receptor Revealed by Serial Femtosecond Crystallography. Cell 2015, 161, 833–844. [Google Scholar] [CrossRef] [Green Version]
  60. Dotsenko, V.V.; Ismiev, A.I.; Khrustaleva, A.N.; Frolov, K.A.; Krivokolysko, S.G.; Chigorina, E.A.; Snizhko, A.P.; Gromenko, V.M.; Bushmarinov, I.S.; Askerov, R.K.; et al. Synthesis, structure, and reactions of (4-aryl-3-cyano-6-oxopiperidin-2-ylidene)malononitriles. Chem. Heterocycl. Compd. 2016, 52, 473–483. [Google Scholar] [CrossRef]
  61. Clark, J.D.; Davis, J.M.; Favor, D.; Fay, L.K.; Franklin, L.; Henegar, K.E.; Johnson, D.S.; Nichelson, B.J.; Ou, L.; Repine, J.T.; et al. Preparation of [1,8]naphthyridin-2-ones and Related Compounds for the Treatment of Schizophrenia, Other Mental Disorders, and Central Nervous System Disorders. US20050043309 A1, 24 February 2005. [Google Scholar]
  62. Whyte, A.; Olson, M.E.; Lautens, M. Palladium-Catalyzed, Norbornene-Mediated, ortho-Amination ipso-Amidation: Sequential C-N Bond Formation. Org. Lett. 2018, 20, 345–348. [Google Scholar] [CrossRef]
  63. Thompson, A.M.; Rewcastle, G.W.; Boushelle, S.L.; Hartl, B.G.; Kraker, A.J.; Lu, G.H.; Batley, B.L.; Panek, R.L.; Showalter, H.D.H.; Denny, W.A. Synthesis and Structure-Activity Relationships of 7-Substituted 3-(2,6-Dichlorophenyl)-1,6-naphthyridin-2(1H)-ones as Selective Inhibitors of pp60c-src. J. Med. Chem. 2000, 43, 3134–3147. [Google Scholar] [CrossRef] [PubMed]
  64. Feng, W.; Satyanarayana, M.; Cheng, L.; Liu, A.; Tsai, Y.-C.; Liu, L.F.; LaVoie, E.J. Synthesis of N-substituted 5-[2-(N-alkylamino)ethyl]dibenzo[c,h][1,6]naphthyridines as novel topoisomerase I-targeting antitumor agents. Bioorg. Med. Chem. 2008, 16, 9295–9301. [Google Scholar] [CrossRef] [PubMed] [Green Version]
  65. Elsayed, M.S.A.; Griggs, B.; Cushman, M. Synthesis of Benzo[1,6]naphthyridinones Using the Catellani Reaction. Org. Lett. 2018, 20, 5228–5232. [Google Scholar] [CrossRef] [PubMed]
  66. Chen, Y.; Feng, P.; Yang, Y.; Hu, L.; Wang, P.; Jia, S.; Qian, Y. Transition Metal Complex Used as Phosphorescent Material, its Preparation Method and Application in Organic Electroluminescent Device. CN Patent 108690092 A, 23 October 2018. [Google Scholar]
  67. Alam, M.; Beck, H.P.; Dillon, M.P.; Gonzalez-Lopez, M.; Rico, A.C.; Sutton, J.C., Jr. Preparation of Heteroaryl Amides as AhR Modulators. WO Patent 2019018562 A1, 24 January 2019. [Google Scholar]
  68. Ketcham, J.M.; Burns, A.C.; Marx, M.A. Naphthyridine Derivatives as PRC2 Inhibitors and Their Preparation. WO Patent 2020219448 A1, 29 October 2020. [Google Scholar]
  69. Barsy, M.A.; Khalafallah, A.K.; Hassan, M.E.; Rezk, A.A. Successful approach for the synthesis of newly fused heterocyclic compounds incorporating phenylperinaphthenone and naphthyridine derivatives. Heterocycl. Commun. 2000, 6, 339–344. [Google Scholar] [CrossRef]
  70. Deng, H.; Yu, H.; Chen, Z.; Xu, Y. Process for Preparation of FGFR Inhibitor and Application Thereof. WO Patent 2020052349 A1, 19 March 2020. [Google Scholar]
  71. Chianelli, D.; Cow, C.; He, Y.; Jiang, S.; Li, X.; Liu, X.; Liu, Z.; Loren, J.; Molteni, V.; Nabakka, J.; et al. Naphthyridinone compositions and methods for modulating c-kit and PDGFR receptors and their preparation. WO Patent 2008051757 A1, 2 May 2008. [Google Scholar]
  72. Yang, F.; Deng, H.; Ying, H.; Yu, H.; Chen, Z.; Xu, Y. Preparation of FGFR4 kinase inhibitors useful for the treatment of cancer. WO Patent 2018113584 A1, 28 June 2018. [Google Scholar]
  73. Patterson, A.V.; Smaill, J.B.; Ashoorzadeh, A.; Guise, C.P.; Squire, C.J.; Gamage, S.A.; Abbattista, M.R.; Bull, M.R.; Grey, A.C.; Li, X.; et al. Preparation of Substituted Pyrimidopyrimidinones as FGFR Kinase Inhibitors. WO Patent 2018160076 A1, 7 September 2018. [Google Scholar]
  74. Xu, Z.; Hu, L.; Ding, C.Z.; Chen, S. Preparation of Pyrazine Derivatives as Cdk4/6 Inhibitors for Treatment of Cancer. WO Patent 2018108167 A1, 21 June 2018. [Google Scholar]
  75. Zeng, Q.; Faris, M.; Mollard, A.; Warner, S.L.; Flynn, G.A. Preparation of Heteroarylaminonaphthyridinone Derivatives for Use as Multiple Kinase Pathway Inhibitors. WO Patent 2014052365 A1, 3 April 2014. [Google Scholar]
  76. Bhattacharya, S.K.; Behenna, D.C.; Cameron, K.O.; Chen, P.; Curto, J.M.; Freeman-Cook, K.D.; Jalaie, M.; Kania, R.S.; Lian, Y.; Nair, S.K.; et al. Anti-Proliferative Agents for Treating Pulmonary Arterial Hypertension (PAH). WO Patent 2020212865 A1, 22 October 2020. [Google Scholar]
  77. Barvian, M.R.; Denny, W.A.; Dobrusin, E.M.; Hamby, J.M.; Showalter, H.D.H.; Thompson, A.M.; Winters, R.T.; Wu, Z. Preparation of Naphthyridinones as Protein Tyrosine Kinase and Cyclin Dependant Kinase Inhibitors. WO Patent 9909030 A1, 25 February 1999. [Google Scholar]
  78. Cheng, C.-C.; Yan, S.-J. The Friedlander synthesis of quinolines. Org. React. 1982, 28. [Google Scholar] [CrossRef]
  79. Dunn, A.D. Synthesis of novel naphthyridines. Z. Chem. 1990, 30, 20. [Google Scholar] [CrossRef]
  80. Singh, B.; Bacon, E.R.; Lesher, G.Y.; Robinson, S.; Pennock, P.O.; Bode, D.C.; Pagani, E.D.; Bentley, R.G.; Connell, M.J. Novel and Potent Adenosine 3′,5′-Cyclic Phosphate Phosphodiesterase III Inhibitors: Thiazolo[4,5-b][1,6]naphthyridin-2-ones. J. Med. Chem. 1995, 38, 2546. [Google Scholar] [CrossRef]
  81. Savarin, C.G.; Murry, J.A.; Dormer, P.G. An Expedient Synthesis of Highly Functionalized Naphthyridones and Quinolines from a Common N-Aryl Pyridinone Template. Org. Lett. 2002, 4, 2071–2074. [Google Scholar] [CrossRef]
  82. Di Pietro, O.; Vicente-Garcia, E.; Taylor, M.C.; Berenguer, D.; Viayna, E.; Lanzoni, A.; Sola, I.; Sayago, H.; Riera, C.; Fisa, R.; et al. Multicomponent reaction-based synthesis and biological evaluation of tricyclic heterofused quinolines with multi-trypanosomatid activity. Eur. J. Med. Chem. 2015, 105, 120–137. [Google Scholar] [CrossRef]
  83. Lin, S.; Han, F.; Liu, P.; Tao, J.; Zhong, X.; Liu, X.; Yi, C.; Xu, H. Identification of novel 7-amino-5-methyl-1,6-naphthyridin-2(1H)-one derivatives as potent PI3K/mTOR dual inhibitors. Bioorg. Med. Chem. Lett. 2014, 24, 790–793. [Google Scholar] [CrossRef]
  84. Yoshida, K.; Perich, R.; Casley, D.J.; Johnston, C.I. Hypotensive effect of ZD7155, an angiotensin II receptor antagonist, parallels receptor occupancy in two-kidney, one-clip Goldblatt hypertensive rats. J. Hypertens. 1998, 16, 645–655. [Google Scholar] [CrossRef] [PubMed]
  85. Junggren, I.-L.; Zhao, X.; Sun, X.; Hedner, T. Comparative cardiovascular effects of the angiotensin II type 1 receptor antagonists ZD 7155 and losartan in the rat. J. Pharm. Pharmacol. 1996, 48, 829–833. [Google Scholar] [CrossRef] [PubMed]
  86. Wishart, D.S.; Knox, C.; Guo, A.C.; Shrivastava, S.; Hassanali, M.; Stothard, P.; Chang, Z.; Woolsey, J. DrugBank: A comprehensive resource for in silico drug discovery and exploration. Nucleic Acids Res. 2006, 34, D668–D672. [Google Scholar] [CrossRef] [PubMed]
  87. Dhillon, S. Ripretinib: First Approval. Drugs 2020, 80, 1133–1138. [Google Scholar] [CrossRef] [PubMed]
  88. Nemunaitis, J.; Bauer, S.; Blay, J.-Y.; Choucair, K.; Gelderblom, H.; George, S.; Schoeffski, P.; von Mehren, M.; Zalcberg, J.; Achour, H.; et al. Intrigue: Phase III study of ripretinib versus sunitinib in advanced gastrointestinal stromal tumor after imatinib. Futur. Oncol. 2020, 16, 4251–4264. [Google Scholar] [CrossRef] [Green Version]
  89. Blay, J.-Y.; Serrano, C.; Heinrich, M.C.; Zalcberg, J.; Bauer, S.; Gelderblom, H.; Schoffski, P.; Jones, R.L.; Attia, S.; D’Amato, G.; et al. Ripretinib in patients with advanced gastrointestinal stromal tumours (INVICTUS): A double-blind, randomised, placebo-controlled, phase 3 trial. Lancet Oncol. 2020, 21, 923–934. [Google Scholar] [CrossRef]
Figure 1. Structures of the isomeric naphthyridines (16) and 1,6-naphthyridin-2(1H)-ones (7).
Figure 1. Structures of the isomeric naphthyridines (16) and 1,6-naphthyridin-2(1H)-ones (7).
Pharmaceuticals 14 01029 g001
Scheme 1. Synthesis of 7-amino-5-halo substituted 1,6-naphthyridin-2(1H)-ones (11, X = Cl or 12, X = Br) from 2-methoxy-6-oxo-1,4,5,6-tetrahydropyridine-3-carbonitriles (8).
Scheme 1. Synthesis of 7-amino-5-halo substituted 1,6-naphthyridin-2(1H)-ones (11, X = Cl or 12, X = Br) from 2-methoxy-6-oxo-1,4,5,6-tetrahydropyridine-3-carbonitriles (8).
Pharmaceuticals 14 01029 sch001
Figure 2. Number of 1,6-naphthyridin-2(1H)-ones retrieved using an undefined bond (7), double bond (13) and single bond (14) between C3 and C4, respectively.
Figure 2. Number of 1,6-naphthyridin-2(1H)-ones retrieved using an undefined bond (7), double bond (13) and single bond (14) between C3 and C4, respectively.
Pharmaceuticals 14 01029 g002
Figure 3. Diversity analysis of the substituents present at positions C3, C4, C5, C7, C8, and N1 of 1,6-naphthyridin-2(1H)-ones (14) with a C3-C4 single bond included in Scifinder.
Figure 3. Diversity analysis of the substituents present at positions C3, C4, C5, C7, C8, and N1 of 1,6-naphthyridin-2(1H)-ones (14) with a C3-C4 single bond included in Scifinder.
Pharmaceuticals 14 01029 g003
Figure 4. Diversity analysis of the substituents present at positions C3, C4, C5, C7, C8, and N1 of 1,6-naphthyridin-2(1H)-ones (13) with a C3-C4 double bond included in Scifinder.
Figure 4. Diversity analysis of the substituents present at positions C3, C4, C5, C7, C8, and N1 of 1,6-naphthyridin-2(1H)-ones (13) with a C3-C4 double bond included in Scifinder.
Pharmaceuticals 14 01029 g004
Figure 5. Synthetic approaches for 1,6-naphthyridin-2(1H)-ones (7): (a) from a preformed pyridine and (b) from a preformed pyridone.
Figure 5. Synthetic approaches for 1,6-naphthyridin-2(1H)-ones (7): (a) from a preformed pyridine and (b) from a preformed pyridone.
Pharmaceuticals 14 01029 g005
Figure 6. Synthetic approach for 1,6-naphthyridin-2(1H)-one (13) from a preformed 4-chloropyridine (15).
Figure 6. Synthetic approach for 1,6-naphthyridin-2(1H)-one (13) from a preformed 4-chloropyridine (15).
Pharmaceuticals 14 01029 g006
Scheme 2. Synthesis of 1,6-naphthyridin-2(1H)-one (22) from 4,6-dichloro-3-pyridinecarboxylate (16).
Scheme 2. Synthesis of 1,6-naphthyridin-2(1H)-one (22) from 4,6-dichloro-3-pyridinecarboxylate (16).
Pharmaceuticals 14 01029 sch002
Figure 7. Synthetic approach for 1,6-naphthyridin-2(1H)-one (13) from a preformed 4-aminopyridine (23).
Figure 7. Synthetic approach for 1,6-naphthyridin-2(1H)-one (13) from a preformed 4-aminopyridine (23).
Pharmaceuticals 14 01029 g007
Scheme 3. Synthesis of 1,6-naphthyridin-2(1H)-one (26) from 4-aminonicotinaldehyde (24).
Scheme 3. Synthesis of 1,6-naphthyridin-2(1H)-one (26) from 4-aminonicotinaldehyde (24).
Pharmaceuticals 14 01029 sch003
Scheme 4. Synthesis of 1,6-naphthyridin-2(1H)-one (29) from 4-aminonicotinonitrile (27).
Scheme 4. Synthesis of 1,6-naphthyridin-2(1H)-one (29) from 4-aminonicotinonitrile (27).
Pharmaceuticals 14 01029 sch004
Scheme 5. Synthesis of 1,6-naphthyridin-2(1H)-one (31) from 4-aminonicotinic acid (30).
Scheme 5. Synthesis of 1,6-naphthyridin-2(1H)-one (31) from 4-aminonicotinic acid (30).
Pharmaceuticals 14 01029 sch005
Figure 8. Synthetic approaches for 1,6-naphthyridin-2(1H)-ones (7) from a preformed pyridone.
Figure 8. Synthetic approaches for 1,6-naphthyridin-2(1H)-ones (7) from a preformed pyridone.
Pharmaceuticals 14 01029 g008
Scheme 6. Synthesis of 1,6-naphthyridin-2(1H)-one (34) from pyridone (32).
Scheme 6. Synthesis of 1,6-naphthyridin-2(1H)-one (34) from pyridone (32).
Pharmaceuticals 14 01029 sch006
Scheme 7. Synthesis of 8-unsubstituted 1,6-naphthyridin-2(1H)-ones (38) by cyclization of compounds 37 obtained by a ring opening, decarboxylation and loss of ammonia from pyrano[4,3-b]pyridine-2,7-diones (36).
Scheme 7. Synthesis of 8-unsubstituted 1,6-naphthyridin-2(1H)-ones (38) by cyclization of compounds 37 obtained by a ring opening, decarboxylation and loss of ammonia from pyrano[4,3-b]pyridine-2,7-diones (36).
Pharmaceuticals 14 01029 sch007
Scheme 8. Synthesis of fused 1,6-naphthyridin-2(1H)-one (42) from pyridone (41).
Scheme 8. Synthesis of fused 1,6-naphthyridin-2(1H)-one (42) from pyridone (41).
Pharmaceuticals 14 01029 sch008
Figure 9. Ripretinib, also known as Qinlock, (43).
Figure 9. Ripretinib, also known as Qinlock, (43).
Pharmaceuticals 14 01029 g009
Table 1. Substitution pattern at N1 of 1,6-naphthyridin-2(1H)-ones with a C5-C6 single bond (14) and with a C5-C6 double bond (13).
Table 1. Substitution pattern at N1 of 1,6-naphthyridin-2(1H)-ones with a C5-C6 single bond (14) and with a C5-C6 double bond (13).
R 1Structures 14 (%)References 1Structures 13 (%)References
H51.86[12,13]35.95[14,15]
Me1.65[16,17]10.47[18,19]
Alkyl5.77[20,21]7.29[22,23]
Carbocycle2.16[20,24]2.76[25,26]
Ph15.16[24,27]17.47[28,29]
Heterocycle4.12[30,31]4.29[32,33]
1 The references included in Table 1, Table 2 and Table 3 have been selected using two criteria: (1) if possible, to select recent representative examples from the literature and (2), when available, selecting a paper published in a journal rather than a patent.
Table 2. Substitution pattern at C5 and C7 of 1,6-naphthyridin-2(1H)-ones (14) with a C3-C4 single bond.
Table 2. Substitution pattern at C5 and C7 of 1,6-naphthyridin-2(1H)-ones (14) with a C3-C4 single bond.
Pharmaceuticals 14 01029 i001
SubstituentR5R7
Structures (%)ReferencesStructures (%)References
H78.1949 [36,40]65.8742 [12,41]
C1.0556 [39,42]25.6572 [38,43]
N0.779 [8,35]2.2812 [34,35]
O5.279 [37,44]5.627 [8,40]
X14.6911 [8,9]0.4711 [9,34]
Table 3. Substitution pattern at C5 and C7 of 1,6-naphthyridin-2(1H)-ones (13) with a C3-C4 double bond.
Table 3. Substitution pattern at C5 and C7 of 1,6-naphthyridin-2(1H)-ones (13) with a C3-C4 double bond.
Pharmaceuticals 14 01029 i002
SubstituentR5R7
Structures (%)ReferencesStructures (%)References
H66.59808 [28,46]33.98246 [11,47]
C20.69113 [39,48]43.25614 [39,49]
N3.9219 [50,51]16.34125 [52,53]
O8.2541 [54,55]4.2029 [56,57]
Table 4. Index terms in SciFinder for compounds 14 and 13.
Table 4. Index terms in SciFinder for compounds 14 and 13.
Compounds 14Compounds 13
Index TermFrequencyIndex TermFrequency
Angiotensin AT1 receptors19Antitumor agents281
Cardiovascular agents18Signal transduction235
Animals17Animals205
Antihypertensives16Neoplasm163
Angiotensin II receptor antagonists15Protein phosphorylation135
Combination chemotherapy13Target of rapamycin complex 1130
Heart failure13TOR Serine-Threonine Kinases129
Antidiabetic agents10Autophagy120
Antitumor agents10Cell proliferation120
Antiarthritics5Lung neoplasm55
Publisher’s Note: MDPI stays neutral with regard to jurisdictional claims in published maps and institutional affiliations.

Share and Cite

MDPI and ACS Style

Oliveras, J.M.; Puig de la Bellacasa, R.; Estrada-Tejedor, R.; Teixidó, J.; Borrell, J.I. 1,6-Naphthyridin-2(1H)-ones: Synthesis and Biomedical Applications. Pharmaceuticals 2021, 14, 1029. https://doi.org/10.3390/ph14101029

AMA Style

Oliveras JM, Puig de la Bellacasa R, Estrada-Tejedor R, Teixidó J, Borrell JI. 1,6-Naphthyridin-2(1H)-ones: Synthesis and Biomedical Applications. Pharmaceuticals. 2021; 14(10):1029. https://doi.org/10.3390/ph14101029

Chicago/Turabian Style

Oliveras, Juan Marcos, Raimon Puig de la Bellacasa, Roger Estrada-Tejedor, Jordi Teixidó, and José I. Borrell. 2021. "1,6-Naphthyridin-2(1H)-ones: Synthesis and Biomedical Applications" Pharmaceuticals 14, no. 10: 1029. https://doi.org/10.3390/ph14101029

APA Style

Oliveras, J. M., Puig de la Bellacasa, R., Estrada-Tejedor, R., Teixidó, J., & Borrell, J. I. (2021). 1,6-Naphthyridin-2(1H)-ones: Synthesis and Biomedical Applications. Pharmaceuticals, 14(10), 1029. https://doi.org/10.3390/ph14101029

Note that from the first issue of 2016, this journal uses article numbers instead of page numbers. See further details here.

Article Metrics

Back to TopTop