Abstract
Platinum-based anticancer drugs represented by cisplatin play important roles in the treatment of various solid tumors. However, their applications are largely compromised by drug resistance and side effects. Much effort has been made to circumvent the drug resistance and general toxicity of these drugs. Among multifarious designs, monofunctional platinum(II) complexes with a general formula of [Pt(3A)Cl]+ (A: Ammonia or amine) stand out as a class of “non-traditional” anticancer agents hopeful to overcome the defects of current platinum drugs. This review aims to summarize the development of monofunctional platinum(II) complexes in recent years. They are classified into four categories: fluorescent complexes, photoactive complexes, targeted complexes, and miscellaneous complexes. The intention behind the designs is either to visualize the cellular distribution, or to reduce the side effects, or to improve the tumor selectivity, or inhibit the cancer cells through non-DNA targets. The information provided by this review may inspire researchers to conceive more innovative complexes with potent efficacy to shake off the drawbacks of platinum anticancer drugs.
1. Introduction
Cisplatin and its analogues, carboplatin, oxaliplatin, nedaplatin [1], lobaplatin [2], and heptaplatin [3] (Figure 1) have been approved for clinical use in different countries to treat multiple solid neoplasms, and approximately half of the chemotherapy strategies include platinum drugs [4,5,6]. However, these drugs are structural congeners of cisplatin and therefore, some drawbacks are inherited [7,8,9]. For instance, DNA is believed to be the ultimate target of cisplatin, so are other platinum drugs [10,11,12]. Nevertheless, DNA damages could be easily repaired by DNA repair mechanisms. Therefore, all the existing platinum anticancer drugs encounter drug resistance [13,14]. Moreover, their nonspecific accumulation in the hypermetabolic state tissues results in the systemic toxicity.
Figure 1.
Chemical structures of clinically approved platinum anticancer drugs.
One strategy for increasing the potency while mitigating the side effects of platinum complexes is to exploit new compounds that operate on novel mechanisms [15,16]. In this respect, cationic monofunctional PtII complexes that contain only one labile ligand exhibit special anticancer activities in comparison with cisplatin analogues due to the changes in DNA-binding mode, cellular accumulation, and even the mechanism of action [17,18]. These complexes represent an alternative class of anticancer agents that violate the classical structure-activity relationships (SAR) of platinum complexes [15]. Their antineoplastic activity arises from diverse interactions with different biomolecules and displays a distinct spectrum of activity in favor of circumventing the drug resistance or side effects [19,20,21,22].
DNA remains the major, if not the only, target for most of monofunctional PtII complexes. Nevertheless, the DNA-binding mode or process is different from that of cisplatin and its analogues. Each monofunctional complex could form at most one covalent bond with the N7-guanine on the DNA strands rather than two covalent Pt−DNA cross-links as cisplatin does [23]. The earliest prototype complexes [Pt(NH3)3Cl]+ and [Pt(dien)Cl]+ (dien = diethylenetriamine) are thought to be inactive towards cancer cells, since according to the prevailing view only neutral and square-planar PtII complexes with a pair of inert ligands in a cis-configuration possess anticancer activity [6,24,25]. However, the preconceived belief was overturned by the finding that cis-[Pt(NH3)2(Am)Cl]+ (Am is an aromatic N-heterocyclic amine) inhibited tumor cells in vitro and leukemia (L1210 and P388) in mouse models [26], where PtII formed stable Pt–DNA adducts and the complex intercalated into DNA. Further studies found that amino or Am groups could lose upon binding to DNA, thereby achieving a bifunctional coordination [27].
Afterwards, it was found that the cationic PtII complex pyriplatin (Figure 2) only formed a monofunctional adduct with DNA and induced little distortion in the DNA double helix upon binding. In addition, organic cation transporters (OCTs) were involved in its cellular uptake and activity [28,29]. SAR studies indicated that the steric hindrance of the pyridine ligand played an important role in regulating the action of RNA polymerase II [30,31,32]. Phenanthriplatin (Figure 2) also formed monofunctional adducts with guanine bases as well as duplex DNA once the chloride ligand lost. Phenanthriplatin-DNA adducts generate steric hindrance in the major groove of DNA and thus, stall the progression of RNA polymerase II on the damaged DNA templates and inhibit DNA polymerases [33]. This complex has a unique cytotoxic profile as it was 7–40 times more active than cisplatin in many human cancer cell lines and, unlike pyriplatin, showed an activity spectrum in the more extensive NCI-60 panel of cell lines [34,35]. Other monofunctional PtII complexes that suppressed RNA polymerase II and DNA synthesis, and displayed high cytotoxicity against cancer cells were also reported [36,37,38,39]. Yet, this is not the whole story on the mechanism of action. More and more studies revealed that the target of monofunctional PtII complexes is not limited to or even relevant to DNA. Therefore, the established SARs no longer fit them. This review will introduce some representative monofunctional PtII complexes published in the past 5 years or so and discuss their mechanism of action if possible.
Figure 2.
Chemical structures of pyriplatin and phenanthriplatin.
2. Fluorescent Monofunctional PtII Complexes
DNA has been extensively studied as the ultimate cellular target of platinum complexes, while much of the mechanism of action still remains unknown. Although some small ions or molecules, amino acids, peptides, and proteins are thought to be implicated in the mechanism, the details on the cellular interactions are largely unclear. Therefore, it is of great significance to study the behavior of PtII complexes in cancer cells at the molecular level. Tethering fluorophores to the PtII center of the complexes could form fluorescent molecules, by this means the cellular location of the complexes could be mapped through fluorescence imaging.
Dinuclear PtII complex 1 incorporate a fluorescent anthraquinone intercalator in the structure (Figure 3). Its major merit is to monitor the subcellular localization by fluorescence microscopy on account of the innate fluorescence of the intercalator. Complex 1 exhibited high cytotoxicity in the U2-OS cell line (the designation of U2-OS and those of other cell lines appeared hereafter are listed in Appendix A Table A1 at the end of the article) and overcame resistance in the cisplatin-resistant U2-OS/Pt cell line. Their cellular process in both cell lines was similar, which may be due to the formation of intercalative DNA-adducts that could evade the DNA repair mechanism responsible for removing the cisplatin adducts [40]. The fluorescence indicated that 1 rapidly entered the U2-OS cells and accumulated in the nucleus, thereby reaching the biological target of the Pt and intercalating moieties—DNA [41,42]. The Pt moiety was excreted from the cell via the Golgi apparatus, while the weakly basic anthraquinone ligand accumulated in the Golgi complex, where it was taken up by lysosomes and then transported to the cell surface. Interestingly, contrasting results were found in A2780 cells, implying that different cell lines may respond to Pt drugs differently [41]. In cisplatin-resistant A2780 cells, the complexes were sequestered into lysosomes and displayed cross-resistance with cisplatin.
Figure 3.
Chemical structures of complexes 1–5.
Fluorescent complexes 2 and 3 (Figure 3) were used to track their cellular distribution via detecting the fluorescence, thus providing new insights into the mechanism of action [43]. Complex 3 is more suitable for cellular imaging than 2. Particularly, in contrast to the rapid entry to cells but inaccessibility to the nucleus for the ligand, cationic 3 entered the HeLa cells slowly and mainly accumulated in the nucleoli. It bound to the cytoplasmic vacuoles, resulting in a different distribution pattern from that of neutral fluorescent Pt complexes. Complex 3 not only acted as a probe to trace its cellular behavior, but also induced non-apoptotic cell death. Similarly, complex 4 (Figure 3) realized the in vitro and vivo fluorescence imaging [44]. Its cellular uptake was much slower than that of the ligand and it could get into the nucleus, suggesting that the PtII center played an important role in reducing the uptake process and promoting its affinity for DNA. Complex 4 also exhibited preferential affinity for mitochondria.
Another cytotoxic fluorescent complex 5 (Figure 3) constructed by tethering a fluorophore thioflavin-T (ThT) derivative to the 3N-chelated PtII center was suitable for cellular imaging in living cells [45]. Fluorescence imaging showed that 5 was sequestrated in mitochondria and acidic lysosomes after slow entry to the cells. The finding provides new insights into the cellular distribution of positively-charged monofunctional PtII complexes. It should be noted that in analyzing the distribution of fluorescent complexes, a comparison with the distribution of free ligands is necessary so as to eliminate the false fluorescence emitted by the dissociated fluorophores.
3. Photoactive Monofunctional PtII Complexes
The toxic side effects resulted from the non-specific accumulation of Pt anticancer agents hinder their broader application in clinical treatment. Photoactive Pt complexes offer an opportunity to develop new anticancer drugs responsive to light [46,47]. Photodynamic therapy (PDT) is a minimally invasive method that produces selective cytotoxicity to malignant tumor cells. It has been used to treat different tumors, such as bladder and prostate cancers [48]. The anticancer effect of PDT is achieved by killing cancer cells through reactive oxygen species (ROS) such as singlet oxygen (1O2) produced by photosensitizers (PSs) under light irradiation [49]. Non-irradiated PSs generally have low dark toxicity, high 1O2 quantum yield, and good cellular accessibility [50], while the irradiated one is strongly bioactive. It has been shown that the combination of Pt complexes with PSs could produce synergistic effects [6,51,52].
Porphyrins are representative PSs for PDT owing to the ring structure with 18 conjugated π electrons, which endow the compounds with photophysical properties and selective retention or accumulation in tumors due to preferential binding to low density lipoproteins [53,54]. The structure of porphyrin is susceptible to functionalization of surrounding substituents, especially the presence of metal complexes around or in the core could modify the local environment, improving the solubility or introducing specific functionalities [54,55]. In order to potentiate the action of these structures, conjugations with PtII complexes were tried. The isomeric tetra-cationic(pyridyl)porphyrin PtII complexes 6 and 7 (Figure 4) possessed cytotoxicity against metastatic WM1366 cells under white-light irradiation, inducing apoptosis via the activation of caspase-3 and -9 and alteration of cell cytoskeleton actin [56]. In silico study indicated that these complexes could be employed to deliver drugs owing to the affinity to the N-terminal region of ApoB-100.
Figure 4.
Chemical structures of complexes 6–9.
Complex 8 (Figure 4) showed an excellent photocytotoxicity (50 W LED light, 6 J cm−2, 30 min) due to the high 1O2 quantum yield, nuclear internalization, and a caspase-3-induced apoptosis with negligible dark toxicity [57]. Oxaliplatin was chosen as the pharmacophore since its DNA binding rate is faster than that of cisplatin. Moreover, it could improve the hydrophilicity and eliminate the formation of aggregates by increasing the electrostatic repulsion from charged functional groups [58]. Furthermore, 8 completely wiped out the tumor tissue in colon26 tumor-bearing mice. Similarly, the aqueous solubility, cellular uptake, and photophysical property of the tetraplatinated porphyrin complex 9 (Figure 4) were improved by incorporating PtII moieties [51], which directed the porphyrin to the nucleus and enhanced the nuclear Pt accumulation. The binding to DNA involves both covalent bonding with N7-guanine by PtII and intercalation by the porphyrin unit. Complex 9 demonstrated a promising photocytotoxicity with extremely high toxicity towards human cancer cell lines upon irradiation (6.95 J cm−2, 420 nm, 15 min, HeLa: IC50 = 37 nM; A2780: IC50 = 21 nM; CP70: IC50 = 19 nM), and a phototoxic index up to 5000 in the cisplatin-resistant CP70 cell line.
Despite the fact that porphyrin-based Pt complexes have many advantages, the poor solubility and aggregation of porphyrins affect their cellular uptake and limit their activities and applications in vivo. Thus, water-soluble tumor-targeted PS 10 (Figure 5) with a porphyrin framework containing GaIII and PtII moieties was developed [59]. Complex 10 is an efficient 1O2 generator owing to the heavy atom effect, acidic pKa, and localization in cytosol. It showed negative dark cytotoxicity due to the larger hydrophilicity, slower and lower cellular uptake. Moreover, it exhibited remarkable photocytotoxicity and interaction with DNA, accumulated in tumor prominently (tumor/muscle ratio > 9), and inhibited tumor growth almost completely over 2 weeks. No significant systemic toxicity including weight loss and adverse reactions were observed.
Figure 5.
Chemical structures of complexes 10–13.
The low efficiency of 1O2 generation within the maximum tissue penetrating and biocompatible spectral window (650–850 nm) is another limitation in addition to the aggregation and solubility of PSs. SiIV phthalocyanines (SiPc), characterized by reduced aqueous aggregation and high 1O2 quantum yield when illuminated with tissue-penetrating far-red light, could solve this problem [60,61]. A positively-charged PtII–SiIV phthalocyanine complex 11 (Figure 5) was selectively delivered to cancer cells by the hyaluronic acid (HA) formulated nanoparticles with the mediation of the CD44 receptor [62]. The nanoparticles showed improved aqueous solubility, specific uptake, photo-enhanced cytotoxicity (~1500-fold) and mitochondrial accumulation in CD44-overexpressed breast cancer cells over normal ones in red light (45 min, 660–680 nm, 5.5 ± 2.5 mW cm−2). Interestingly, the nanoconjugate delivered 11 only to cancer cells, which resulted in the generation of cytotoxic 1O2 and PtII species.
Complexes 12 and 13 (Figure 5) presented a 25- and 7-fold enhancement, respectively, in cytotoxicity against HeLa cells at 1 μM under illumination with red light in comparison to those kept in the dark [63]. Both complexes demonstrated a potential to serve as DNA-targeting PDT agents. The PtII moieties lead the PDT moiety to approach DNA and execute red-light-induced oxidative damage, while the photoactive SiPc moiety endows the PtII units with a red-light-induced photochemical property that may lead to enhanced DNA platination. This design was expected to be superior over solo therapeutic modalities and obtain drugs with improved activity and reduced side effects. The use of phthalocyanine could alleviate some limitations of PDT, however, the self-aggregation in aqueous media may affect its photosensitivity. In brief, the Pt–porphyrin or Pt–phthalocyanine conjugates maintained the intrinsic properties of an individual unit in cancer cells, and thus could act as dual threat anticancer agents.
PSs based on non-macrocyclic dyes were also used to design conjugates for the combinative effect of PDT and inhibition of DNA transcription. Complexes 14 and 15 (Figure 6) showed remarkable photocytotoxicity in visible light (400−700 nm, 10 J cm−2) to the HaCaT and MCF-7 cells, with the IC50 being in the nanomolar level, while they were almost nontoxic (IC50 > 80 μM) in the dark [64]. Complex 14 was emissive and showed significant localization in the mitochondria and minor localization in the endoplasmic reticulum (ER), and hence could be used for cellular imaging and reducing the drawbacks associated with bifunctional binding of nuclear DNA (nDNA) by Pt drugs, such as nuclear excision repair (NER).
Figure 6.
Chemical structures of complexes 14 and 15.
Cationic PS is helpful to promote the cellular accumulation of anticancer agents and damage the cell membrane by photo-induced ROS in situ, which is considered as the main mechanism to enhance the cellular uptake [65]. Complex 16 (Figure 7) exhibited distinct anticancer cytotoxicity against MCF-7, SGC-7901, A549, and HeLa cell lines via short time photoirradiation (532 nm, 3.5 mW cm−2, 5 min) [66]. It first accumulated on the surface of the cell membrane in the dark for its membrane-anchoring ability, and then acted as a PS, promoting the damage to the cell membrane in situ to increase its accumulation in tumor cells. Although the molecular mechanism was not studied, short time photoirradiation seems to play a key role in activating the complex.
Figure 7.
Chemical structures of complexes 16 and 17.
Lysosomes as special organelles are responsible for degrading and recycling extracellular materials via endocytosis and phagocytosis, and intracellular poisonous species via autophagy [67,68]. Growing evidence indicates that lysosomes are capable of isolating some Pt complexes to reduce their contact with nDNA, thus reducing the DNA-damaging effect [69]. Therefore, silencing Pt complexes in lysosomes and then activating them specifically in the tumor tissue might be a method for improving the antitumor activity and alleviating side effects. Complex 17 (Figure 7) is the first example of photoactive monofunctional PtII complex capable of lysosomal escape [70]. It was sequestered in lysosomes via endocytosis and showed low cytotoxicity to both normal and tumor cells without photoirradiation. Interestingly, it escaped from the lysosomes to the nucleus upon short-time photoirradiation (532 nm, 3.5 mW cm−2, 5 min) due to the photoinduced ability to generate ROS. Apart from damaging lysosomes to release 17 into the cytosol and nucleus, ROS also decreased intracellular GSH levels to impede its deactivation in the cytosol and further increased its accessibility to nDNA favorable for the antitumor activity.
Pt complexes combined with PSs may exhibit synergistic effects, but most of them are limited to Pt–porphyrin conjugates. Replacing porphyrin with other PSs is another way to develop effective PDT agents. A series of DNA-binding PtII–triphenylamine complexes were developed as potential PDT anticancer agents [71,72,73,74]. The fluorogens π-conjugated triphenylamines, owing to two-photon absorption and aggregation induced emission (AIE) properties, are used as fluorescent probes or theranostic agents [75]. In order to improve the PDT efficiency of the conjugates and systematically investigate the anticancer SAR, trinuclear Pt–triphenylamine isomers 18−21 (Figure 8) were developed [76]. Complexes 18 and 19 exhibited much better PDT activity than complexes 20 and 21 owing to the redder absorption and emission wavelength, higher cellular uptake and 1O2 quantum yield, stronger DNA-binding and photo-cleavage ability. In addition, complexes 18 and 19 mainly accumulated in the nucleus, while complexes 20 and 21 distributed mainly in the cytoplasm. Particularly, complex 19 elicited DNA damage responses, arrested the cell cycle in the G2/M phase, and led to apoptosis in cancer cells upon light irradiation at 425 nm (40 mW cm−2, 15 min). Moreover, it exhibited significant PDT effect on HeLa xenograft-bearing mice, including reduction in the tumor volume and cell death in tumor sections, but showed no noticeable side effects on body weight and major organs.
Figure 8.
Chemical structures of complexes 18–21.
4. Targeted Monofunctional PtII Complexes
Although Pt-based drugs play an important part in cancer therapeutic regimens, their widespread use is still limited by the severe toxic side effects arising from the lack of selectivity for cancer cells. To overcome this defect, cancer-targeted Pt complexes are developed. The targeting group(s) in such complexes could direct the Pt warheads to cancer cells by interacting with the receptors overexpressed on the cell surface [77], or direct to the tumor as a whole through the interaction with the tumor-related cell surface markers such as antigens or receptors [78]. Targeting could also be achieved at the subcellular level, allowing Pt to be directed to specific organelles to elicit biological effects [6,78]. Herein, we particularly focus on monofunctional PtII complexes designed for these purposes.
Taking osteosarcoma (OS) as an example, which is a primary malignant bone tumor severely threatens the life of adolescents [79]. Owing to the peculiar tumor sites (knee joint and appendicular skeleton) and lack of knowledge about driving oncogenes, as well as insufficient drug concentration in the tumor site, OS is extremely difficult to treat [80,81]. Cisplatin is ineffective for OS due to its poor accessibility and severe systemic toxicity [82]. The coordination of phosphonate groups with Ca2+ ions endows bisphosphonates with a special affinity for hydroxyapatite in the bone matrix [83]. Complexes 22 and 23 (Figure 9) bearing a bone-targeting bisphosphonate moiety exhibited potential selectivity for OS [84]. The cytotoxicity of cisplatin-derived 22 was higher than that of oxaliplatin-derived 23 towards the U2-OS cells. Bisphosphonate also improved the lipophilicity and cellular uptake of the complexes. Lipophilic 24 (Figure 9) was optimized to maintain the bone-targeting property as well as to minimize the reactivity of the PtII center in order to decrease the systemic toxicity [85]. Unlike complexes 22 and 23, the molecular mechanism of complex 24 involves both DNA binding and mevalonate pathway. Its acute toxicity is 7-fold lower than that of cisplatin. The introduction of bisphosphonate provides a new possibility to overcome the ineffectiveness and systemic toxicity of Pt drugs for the treatment of OS.
Figure 9.
Chemical structures of complexes 22–24.
Targeting the whole tumor is based on the specific expression of some receptors or antigens on the surface of tumor cells. Tumor-associated receptors are well documented in the literature, for example, transferrin, selectins, integrins, folate receptor, glucose transporter (GLUT), galectins, hyaluronic acid receptors, and the asialoglycoprotein receptor [6,86]. Targeting these receptors could selectively deliver a cytotoxic agent to cancer cells. Integrins are heterodimeric transmembrane cell adhesion glycoproteins, which play a key role in enhancing migration, invasion, and proliferation of cancer cells, and even are linked to tumor angiogenesis [87]. The synthesis and biological profile of a PtII-c(RGDyK) conjugate 25 (Figure 10) for integrin-targeted PDT has been reported. Complex 25 was moderately cytotoxic towards six cancer cell lines with different levels of integrin expression [88]. It was taken up rapidly by receptor-mediated endocytosis and generated 1O2 efficiently upon irradiation, thus showing enhanced anticancer activity as a targeted PDT agent.
Figure 10.
Chemical structures of complexes 25 and 26.
Angiogenesis is an important process required for the development of new blood vessels, and is also crucial for tumorigenesis, tumor growth, survival, and metastasis. In the case of tumor-induced angiogenesis, transmembrane receptors such as integrins (αvβ3 and αvβ5) are highly expressed, which have a very high affinity for peptides containing RGD (Arg-Gly-Asp) and NGR (Asn-Gly-Arg) sequences. In this regard, complex 26 (Figure 10) with dual antiangiogenic and antitumor activity was a non-cytotoxic compound with IC50 >100 μM in different cancer cell lines (± αvβ3 and αvβ5 integrin receptors), while showing the antiangiogenic activity in HUVECs at sub-cytotoxic concentrations [89], which exemplified the design of angiogenesis inhibitors through conjugating a metallodrug with antiangiogenic activity to a cyclic RGD-containing peptide or a peptidomimetic analogue.
Targeting angiogenesis provides an alternative direction for tumor-targeting therapy [90]. However, some complexes do not possess a specific targeting group, but still show antiangiogenic activity. For example, dinuclear complexes 27–29 (Figure 11) were found to interact with the phosphate backbone, forming Pt-DNA adducts with a minor groove covering [91]. These complexes, particularly complex 27, are potential chemotherapeutics with anticancer and antiangiogenic activities, and no toxic effects at the desired concentration. They overcame cisplatin resistance in the zebrafish–mouse melanoma xenograft model and effectively blocked tumor neovascularization and melanoma cell metastasis. The activation of these complexes may result from their positive charge (+4) at the physiological conditions and affinity for DNA, heparan sulphate (HS), and enzyme heparanase (HPSE). It is worth noting that these complexes showed no sign of cardiovascular toxicity such as pericardial edema or disturbed heart beat rate, and liver toxicity such as liver necrosis, liver size change or reduced yolk absorption, which are the major obstacles limiting the long-term application of clinical anticancer drugs.
Figure 11.
Chemical structures of complexes 27–29.
Organelle-targeting anticancer agents add a new dimension to the discovery and development of Pt drug candidates. Among different organelles, mitochondria have received much attention in recent years. The oxidative phosphorylation (OXPHOS) and glycolysis in mitochondria offer nutrients and energy to cancer cells for occurrence, growth, and transformation [92,93]. Nevertheless, unlike normal cells, most cancer cells preferentially use aerobic glycolysis as the metabolic pathway for glucose, which is accompanied by a high rate of glucose consumption and lactate production, even when oxygen is available for OXPHOS [94,95,96]. This abnormal energy metabolism process involves many proteins and enzymes, thus providing potential targets for the design of anticancer drugs and overcoming the drug resistance.
It is generally believed that nDNA is the primary target of Pt-based anticancer drugs, and the resistance to Pt agents mainly result from the extensive repair of Pt-DNA adducts by the activation of DNA repair mechanisms in tumor cells [97,98,99]. Whereas, mitochondria contain their own cyclic mitochondrial DNA (mtDNA), which is more vulnerable to damage than nDNA due to the lack of histone protection and proximity to the ROS production site [100,101]. Therefore, mtDNA is a potential target for potentiating the activity of anticancer drugs. A cationic naphthalimide-modified complex 30 (Figure 12) not only caused severe nDNA damage but also induced the mtDNA lesion and regulated the downstream gene expression of mtDNA-encoded proteins [102]. Moreover, it disturbed the physiological process of mitochondria by reducing the mitochondrial membrane potential (MMP) and promoting the generation of ROS. Dinuclear complex 31 (Figure 12) was composed of IrIII and PtII moieties. It accumulated in the mitochondria by a rate of up to 76% with an energy-independent uptake mechanism [103]. The complex exhibited strong antitumor activity towards A549R cisplatin-resistant cancer cells and damaged the mtDNA severely. Further, it disrupted the mitochondrial function, resulted in a loss of MMP, depleted ATP, and finally induced necrosis to cancer cells. All these findings suggest that mtDNA-targeted Pt complexes are potential antitumor agents against cisplatin-resistant cancer cells.
Figure 12.
Chemical structures of complexes 30 and 31.
Recently, we investigated the anticancer mechanism of three mitochondrion-targeted PtII complexes 32−34 (Figure 13) from the perspective of DNA damage, energy metabolism, and SAR [104]. Among them, complex 32 exhibited greater inhibitory activity on the A549 cells than cisplatin in vitro and vivo. Moreover, it not only combined with nDNA in a monodentate manner and damaged mtDNA, but also inhibited glycolysis of cancer cells, affected the structure and function of mitochondria, resulting in an abnormal process of mitochondrial OXPHOS and tricarboxylic acid cycle. In vivo studies showed that as the tumor shrank, the body weight of 32-treated mice also reduced, which may be due to the mitochondrion-disrupting effect. Moreover, most of the Pt accumulated in the liver and kidneys, implying that the cellular uptake of 32 may be mediated by organic cation transporters, which are primarily expressed in these organs. This study provides new insights into the mechanism of action for Pt anticancer drugs.
Figure 13.
Chemical structures of complexes 32–35.
Another mitochondrion-targeted complex 35 (Figure 13) that modified by triphenylphosphonium can modulate signaling pathways relevant to cancer bioenergetics [105]. It enhanced cytotoxicity against cisplatin-insensitive Caov-3 cells, exerted inhibition to mitochondrial thioredoxin reductase (TrxR), damaged mitochondrial morphology and function, destroyed both respiratory and glycolytic metabolisms, and induced cancer cells to enter into a hypometabolic state. The results highlight that targeting redox homeostasis and modulating metabolic pathways could effectively improve the anticancer effect.
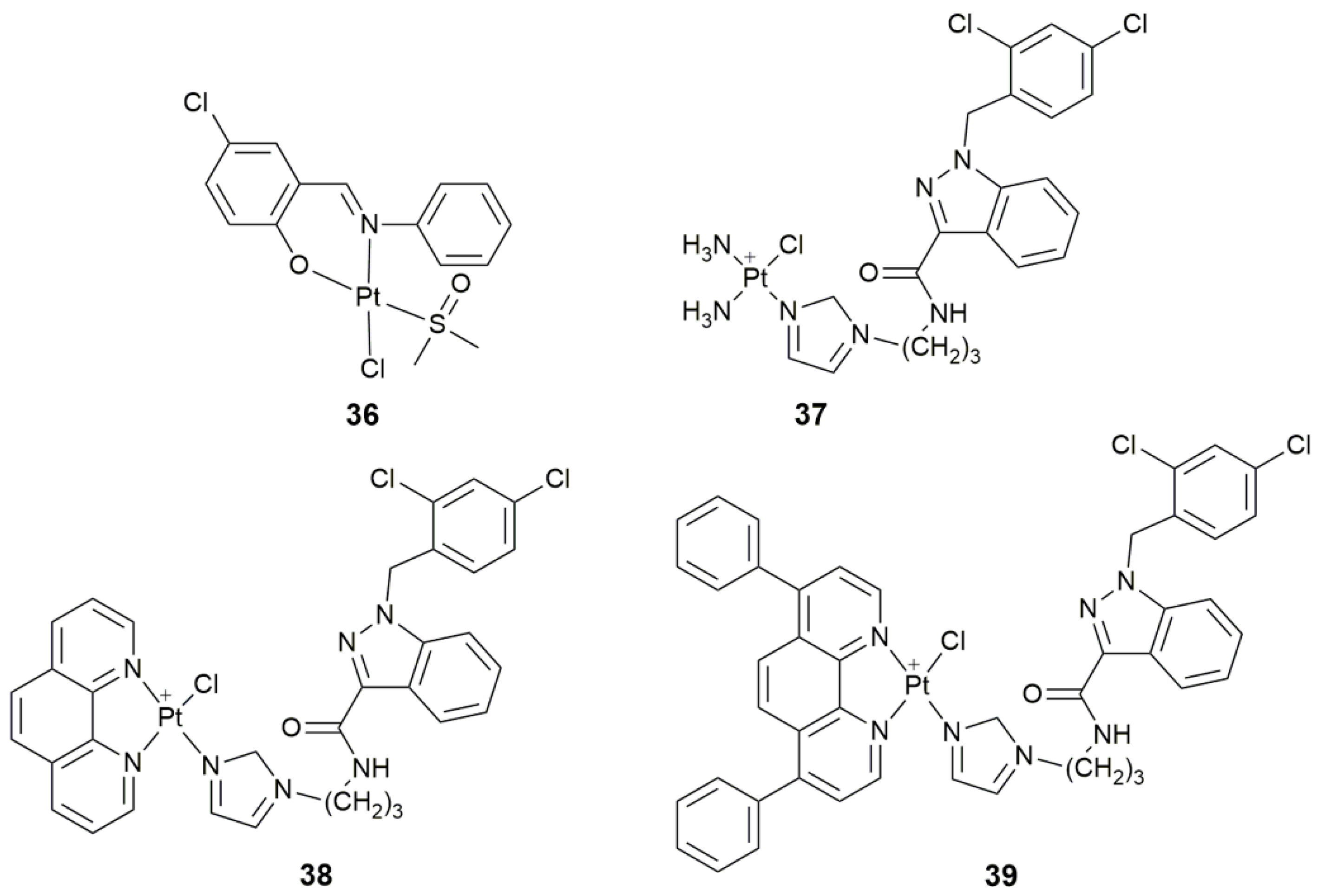
In order to overcome the shortcomings of classic Pt drugs, extensive research has been initiated to search for new targets other than DNA. Enzymes play vital roles in almost all physiological and pathophysiological processes, and have long been considered as drug targets [106]. It is estimated that more than 47% of drugs target enzymes [107]. Therefore, enzyme inhibition could be a significant and alternative mechanism for Pt-based anticancer drugs. Protein tyrosine phosphatases (PTPs), a superfamily of enzymes, participate in the regulation of the intracellular signal transduction pathway by removing the phosphate groups from proteins [108]. Dysregulated activities of PTPs are related to the pathogenesis of many human diseases such as cancers, diabetes, and autoimmune diseases [108,109]. Complex 36 (Figure 14) displayed an antiproliferative activity against MCF-7 cells superior to cisplatin [110]. It selectively inhibited PTP1B, thus significantly influenced the cellular phosphorylation level and further the intracellular signal transduction pathway, which is distinctly different from the DNA-damaging mechanism for cisplatin, thereby providing a new clue for designing Pt-based anticancer drugs.
Figure 14.
Chemical structures of complexes 36–39.
Hexokinase is the first rate-limiting enzyme in the glycolytic pathway, catalyzing the production of glucose-6-phosphate from glucose [111]. In normal cells, hexokinase isozymes have low transcriptional expression levels and each of them has tissue specificity, while as a key enzyme of glycolysis, hexokinase is widely and highly expressed in cancer cells, which not only promotes aerobic glycolysis, but also increases the resistance to cell death signals [112]. Complexes 37−39 (Figure 14), anchoring lonidamine (an inhibitor of hexokinase) to the PtII center, could selectively reduce the bioenergetics of cancer cells [113]. Particularly, 39 showed higher cytotoxicity than cisplatin against MDA-MB-231 cells (9.3 μM), caused significant damage to mtDNA, and disrupted mitochondrial bioenergetics. These complexes perturbed the signal pathways related to cell death, including DNA damage, the metabolic process, and transcription regulatory activity.
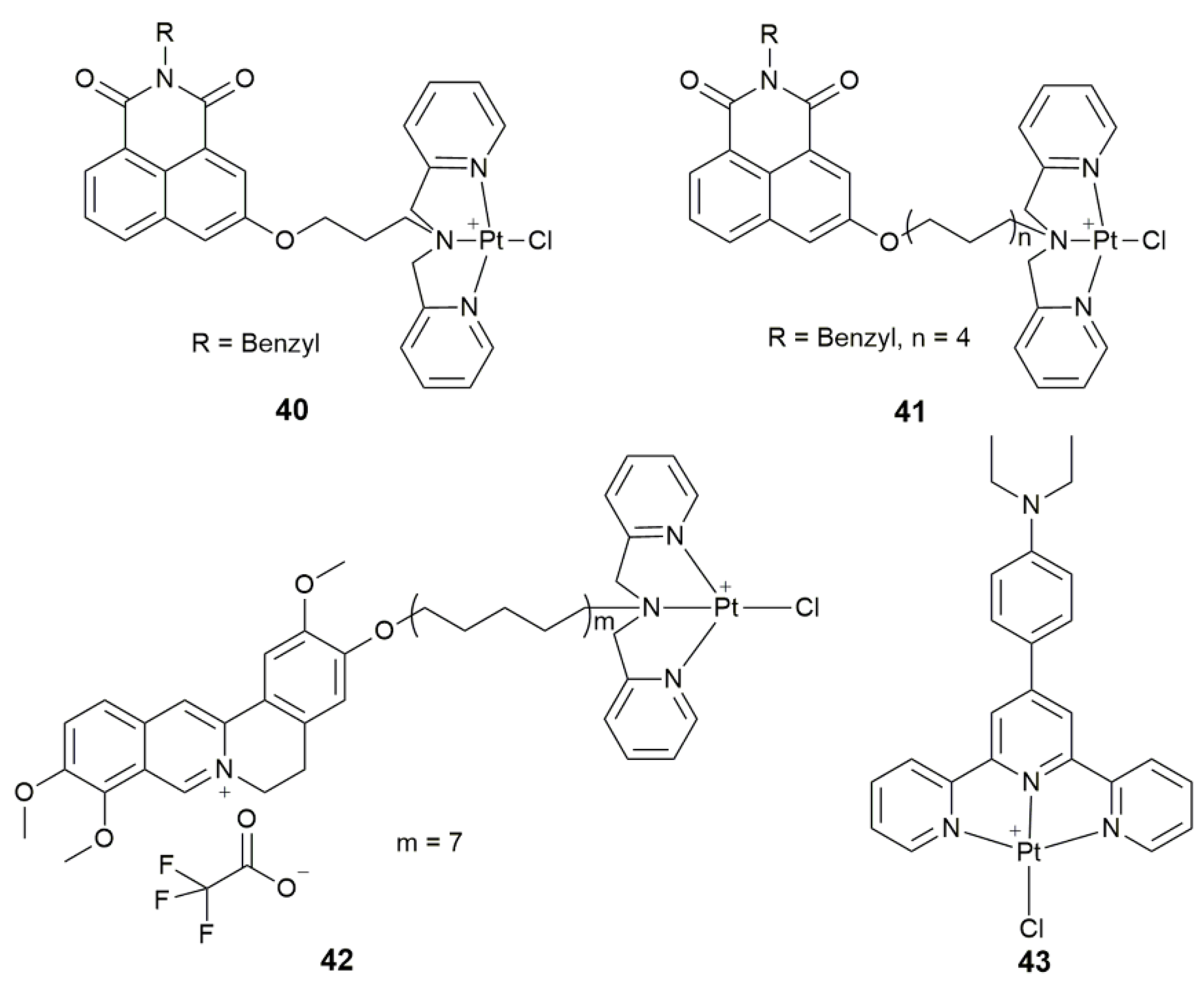
Telomerase is present in the majority (85–90%) of cancer cells but is undetectable in normal cell lines, which is restricted by the level of hTERT and c-myc proteins [114,115]. Complexes 40−41 (Figure 15) induced apoptosis in the NCI-H460 cells via inhibiting the telomerase and disrupting the function of mitochondria at 0.89 and 0.10 μM, respectively [116,117]. In particular, 41 significantly inhibited the growth of tumor in NCI-H460 tumor-bearing mice with the tumor growth inhibition rate (TGI) of 40.7% and no obvious toxicity.
Figure 15.
Chemical structures of complexes 40–43.
Complex 42 (Figure 15) containing a jatrorrhizine derivative also exhibited a remarkable antitumor activity and lower general toxicity in vitro and vivo compared to cisplatin [118]. It displayed high selectivity for HeLa cells (IC50 = 1.00 ± 0.17 nM) by targeting p53 and telomerase, and showed green luminescence. In addition, it caused mitochondrial and DNA damage, and induced a high rate of apoptosis even at a low dose of 1.00 nM. The HeLa tumor inhibition rate (TIR) of 42 (48.8%) was even higher than that of cisplatin (35.2%). The low systemic toxicity of 42 is quite impressive, in that the body weight of the treated mice (mstart = 18.6 ± 0.5 g, mend = 20.1 ± 0.5 g) was hardly affected as compared with the control group (mstart = 18.7 ± 1.2 g, mend = 20.7 ± 1.4 g). Similarly, complex 43 (Figure 15) exerted cytotoxicity mainly via inhibiting telomerase by interaction with the c-myc quadruplex and disruption of the mitochondrial function [119]. The complex exhibited selective cytotoxicity to T-24 cells.
5. Miscellaneous Monofunctinoal PtII Complexes
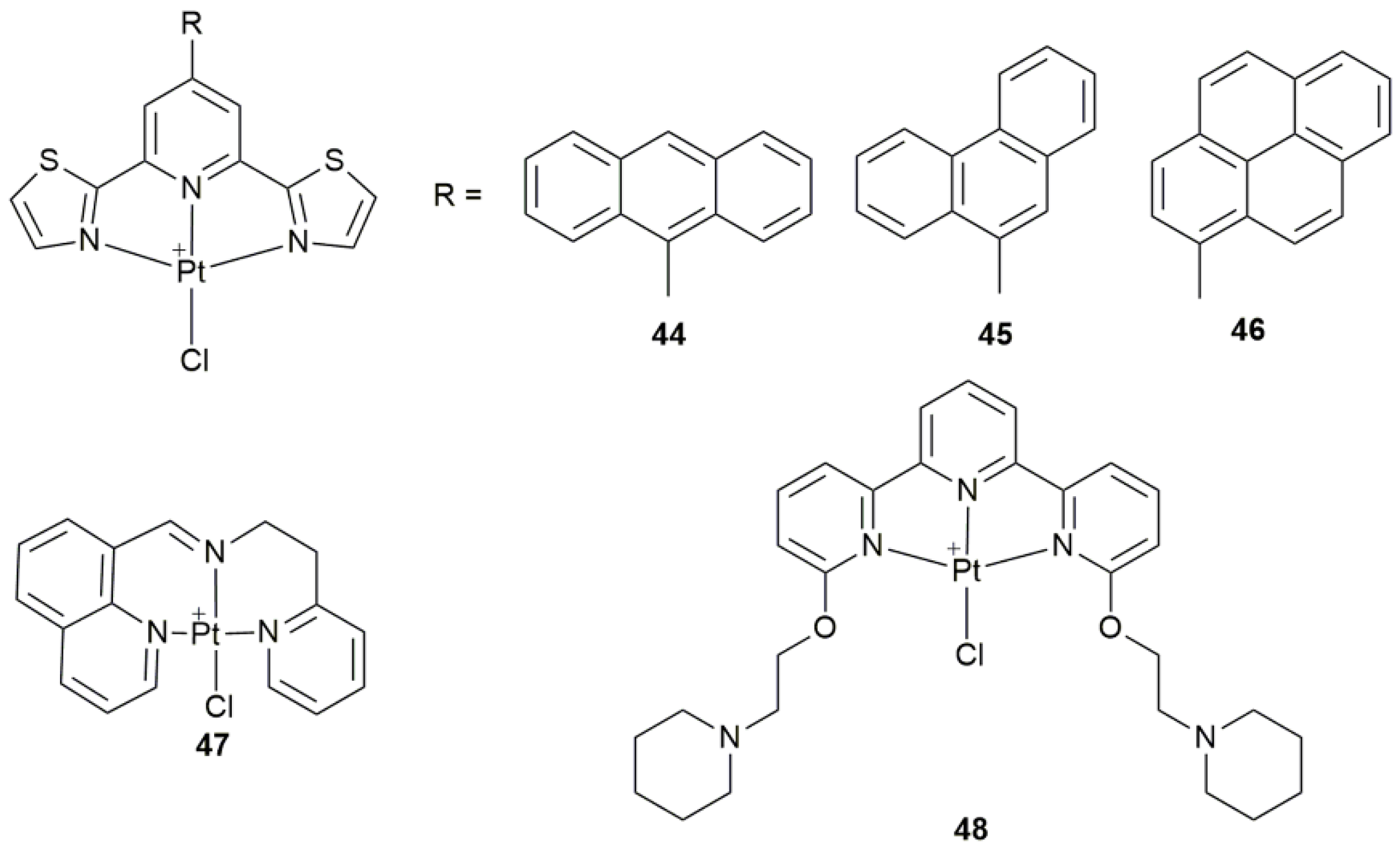
Generally, Pt drugs induce cancer cell death by interfering with DNA synthesis or causing chemical damage to DNA, which is mainly manifested by apoptosis. However, accumulating evidences indicate that Pt drugs may have other molecular targets in addition to DNA, which can induce cell death through non-apoptotic pathways, such as autophagy, necrosis, and even immunogenicity [105,120,121,122,123]. Complexes 44–46 (Figure 16) showed a dose-dependent antiproliferative activity in the A2780 cells, with the cytotoxicity order of 44 < 45 < 46, by a combinative apoptotic mechanism involving mitochondrial and autophagic pathways [124]. Complex 47 (Figure 16) not only initiated a series of events associated with mitochondrial dysfunction, but also induced an apparent ER stress through the ROS release and TrxR inhibition [125]. It simultaneously caused intrinsic pathway-dependent apoptosis and apoptosis-dependent pro-death autophagy in A549 cells. The interactions of 48 (Figure 16) with different topologies of DNA imply that it interacted with DNA non-covalently, but could degrade once reacted with proteins, forming adducts with different Pt/protein ratios [126]. This unusual mechanism of action may origin from the peculiar reactivity with biomacromolecules.
Figure 16.
Chemical structures of complexes 44–48.
Some monofunctional PtII complexes exhibit unique properties due to special structures. Complex 49 (Figure 17) could weaken the viability and invasibility of the human seminoma cells through the PI3K/Akt signaling and mitochondria-mediated apoptotic pathways [127]. It may serve as a potential drug in the treatment of testicular germ cell tumors. Complexes 50−53 (Figure 17) showed different biological activities owing to their different conformations, among which 50 and 51 with a cis configuration exhibited higher anticancer activity than 52 and 53 with a trans configuration towards cancer cells [128]. Concretely, complexes 50 and 51 showed a high affinity for the minor grooves of DNA, while 52 and 53 moderately bind to the major grooves of DNA. The enhanced anticancer activity of 50 and 51 may be attributed to their higher affinity for nDNA due to the formation of aqua species in the cell culture. All these complexes significantly increased the generation of ROS, which consequently depolarized the mitochondrial membrane and damaged the nDNA. Thus, the cis-complexes can be regarded as mitochondrial and DNA-targeting anticancer agents. In complex 54 (Figure 17), ferrocenyl terpyridine led to a dramatic decrease in the dark toxicity [129]. However, it showed a low lying broad absorption band at 600 nm and excellent ROS-mediated photocytotoxicity in visible light, with IC50 values of 9.5 and 12 μM in HaCaT and MCF-7 cell lines, respectively, which imply that 54 could act as an photoinitiator in visible light.
Figure 17.
Chemical structures of complexes 49–54.
Considering the timeliness and novelty of the literature, the above mentioned compounds do not cover all the monofunctional PtII complexes and their research scope. If readers are interested in more details on the above complexes, please refer to the original papers and the following summary Table 1.
Table 1.
Summary of monofunctional PtII complexes 1−54.
6. Conclusions
Platinum-based anticancer agents are the mainstay of chemotherapy regimens. Their drawbacks such as inherent or acquired drug resistance and systemic toxicity have stimulated the exploration of new possible drugs. Monofunctional PtII complexes are a potential new type of metallodrugs that break the traditional structure-activity relationships of platinum drugs and exhibit improved therapeutic efficacy. In this review, we introduced the basic conception of monofunctional PtII complexes and summed up some representative properties and potential applications. Fluorescent monofunctional complexes have the potentiality to monitor their distribution and travelling track in vitro and vivo with a high temporal and spatial resolution, which would help in understanding the therapeutic process of the complexes. Photoactive monofunctional complexes combine chemotherapy with photodynamic therapy, which provide a dual mechanism involving light-induced ROS and direct DNA damage to potentiate the action of PDT in hypoxic regions and overcome the drug resistance. Targeted monofunctional complexes could increase the amount of Pt content at the tumor site and avoid the side reactions with normal cells, thereby enhancing the efficacy and reducing the systemic toxicity of the complexes. All these characteristics have gone beyond the properties of existing platinum-based anticancer drugs. Simplicity in the synthesis in comparison with organic drugs is another advantage of monofunctional PtII complexes, or rather, all kinds of Pt complexes. Typically, there are three synthetic routes to these complexes. (1) For [Pt(NH3)2(Am)Cl]+ complexes, one chloride ion in cisplatin was first removed by silver nitrate or silver sulfate in dimethylformamide (DMF), and amine (Am) was then added to the solution. The goal product was obtained after the addition of diethyl ether or other organic solvents. (2) For [Pt(3Am)Cl]+ (Am = aromatic N-heterocyclic amine) complexes, a direct reaction between potassium tetrachloroplatinate(II) (K2PtCl4) and Am in dimethyl sulfoxide (DMSO) would give the target product. (3) Alternatively, cis-[Pt(DMSO)2(Cl)2] or bis(benzonitrile) dichloroplatinum(II) [Pt(PhCN)2Cl2] was mixed with Am in an organic solution (methanol or a mixture of methanol and acetonitrile/DMSO/acetone) to obtain the monofunctional PtII complex. If necessary, Am could be functionalized beforehand.
Last but not least, current researches on monofunctional PtII complexes are largely limited to the molecular and cellular levels, or at best to simple animal tests. Pharmacokinetic and clinical trial data are completely absent, which greatly hinder any objective assessment for the prospective development of these drug candidates. Recently, our studies indicate that some monofunctional PtII complexes do not react with DNA but still display anticancer activity [105,130]. The findings suggest that the known mechanism of action for these complexes is not impeccable, and many unknown facts need to be revealed in the future. In some less focused sides, the identification of molecular target and target-oriented molecular design, as well as the revealing of a new anticancer mechanism would be a meaningful aspect for the research of monofunctional PtII complexes.
Author Contributions
Conceptualization, X.W, and Z.G.; writing—original draft preparation, S.J. and Y.G.; writing—review and editing, X.W.; supervision, X.W.; funding acquisition, X.W. and Z.G. All authors have read and agreed to the published version of the manuscript.
Funding
We acknowledge the financial support from the National Natural Science Foundation of China (grants 31570809, 21877059, 21731004, 91953201), the Natural Science Foundation of Jiangsu Province (BK20202004), and the Key Scientific Research Project of Colleges and Universities in He’nan Province (21A150009).
Conflicts of Interest
The authors declare no conflict of interest.
Appendix A
Table A1.
Designations of cell lines.
Table A1.
Designations of cell lines.
| Codes | Designated Cell Lines |
|---|---|
| A2780; CP70 | human ovarian cancer cell |
| A2780/DDP | cisplatin-resistant human ovarian cancer cell |
| A375 | human melanoma cell |
| A549 | human lung carcinoma cell |
| A549cisR; A549R | cisplatin-resistant human lung carcinoma cell |
| B16-F10 | mouse melanoma cell |
| BEAS-2B | human normal bronchial epithelial cell |
| BEL-7402 | human hepatoma cell |
| Caov-3 | human ovarian cancer cell |
| CAPAN-1 | human pancreatic adenocarcinoma cell |
| colon26 | murine colon carcinoma cell |
| HaCaT | human keratinocyte |
| HCT-116 | human colon carcinoma cell |
| HEK293T; 293T | human embryonic kidney cell |
| HeLa | human cervical carcinoma cell |
| HepG2 | human hepatocarcinoma cell |
| HK-2 | human renal tubular epithelial cell |
| HL-7702; LO2 | human normal liver cell |
| HUVEC | human umbilical vein endothelial cell |
| MCF-10A | human normal breast epithelial cell |
| MCF-7 | human breast adenocarcinoma cell |
| MDA-MB-231 | human breast cancer cell |
| MG-63 | human osteosarcoma cell |
| MGC80-3 | human gastric adenocarcinoma cell |
| MRC-5 | human normal lung fibroblast cell |
| NCI-H460 | human lung carcinoma cell |
| PC-3; PC3 | human prostate cancer cell |
| sarcoma180 | mouse sarcoma cell |
| SEM-1 | human testicular seminoma cell |
| SGC-7901 | human gastric adenocarcinoma cell |
| SK-MEL-28 | human melanoma cell |
| SKOV-3 | human ovarian cancer cell |
| SKOV-3/DDP | cisplatin-resistant human ovarian cancer cell |
| SMMC | human hepatocellular carcinoma cell |
| T-24 | human bladder cancer cell |
| TCam-2 | human testicular seminoma cell |
| U2-OS | human osteosarcoma cell |
| U2-OS/Pt | cisplatin-resistant human osteosarcoma cell |
| U87M | human glioblastoma cell |
| WM1366 | human melanoma cell |
References
- Shimada, M.; Itamochi, H.; Kigawa, J. Nedaplatin: A cisplatin derivative in cancer chemotherapy. Cancer Manag. Res. 2013, 5, 67–76. [Google Scholar] [CrossRef]
- McKeage, M.J. Lobaplatin: A new antitumour platinum drug. Expert. Opin. Investig. Drugs 2001, 10, 119–128. [Google Scholar] [CrossRef]
- Lee, K.H.; Hyun, M.S.; Kim, H.K.; Jin, H.M.; Yang, J.; Song, H.S.; Do, Y.R.; Ryoo, H.M.; Chung, J.S.; Zang, D.Y.; et al. Randomized, multicenter, phase III trial of heptaplatin 1-h infusion and 5-fluorouracil combination chemotherapy comparing with cisplatin and 5-fluorouracil combination chemotherapy in patients with advanced gastric cancer. Cancer Res. Treat. 2009, 41, 12–18. [Google Scholar] [CrossRef]
- Kenny, R.G.; Chuah, S.W.; Crawford, A.; Marmion, C.J. Platinum(IV) prodrugs—A step closer to Ehrlich’s vision? Eur. J. Inorg. Chem. 2017, 2017, 1596–1612. [Google Scholar] [CrossRef]
- Johnstone, T.C.; Suntharalingam, K.; Lippard, S.J. The next generation of platinum drugs: Targeted Pt(II) agents, nanoparticle delivery, and Pt(IV) prodrugs. Chem. Rev. 2016, 116, 3436–3486. [Google Scholar] [CrossRef]
- Dilrub, S.; Kalayd, G.V. Platinum-based drugs: Past, present and future. Cancer Chemother. Pharm. 2016, 77, 1103–1124. [Google Scholar] [CrossRef]
- Wang, X.Y.; Guo, Z.J. Towards the rational design of platinum(II) and gold(III) complexes as antitumour agents. Dalton Trans. 2008, 1521–1532. [Google Scholar] [CrossRef] [PubMed]
- Argyriou, A.A.; Polychronopoulos, P.; Iconomou, G.; Chroni, E.; Kalofonos, H.P. A review on oxaliplatin-induced peripheral nerve damage. Cancer Treat. Rev. 2008, 34, 368–377. [Google Scholar] [CrossRef] [PubMed]
- McWhinney, S.R.; Goldberg, R.M.; McLeod, H.L. Platinum neurotoxicity pharmacogenetics. Mol. Cancer Ther. 2009, 8, 10–16. [Google Scholar] [CrossRef]
- Min, Y.Z.; Mao, C.Q.; Chen, S.M.; Ma, G.L.; Wang, J.; Liu, Y.Z. Combating the drug resistance of cisplatin using a platinum prodrug based delivery system. Angew. Chem. Int. Ed. 2012, 51, 6742–6747. [Google Scholar] [CrossRef]
- Wang, D.; Lippard, S.J. Cellular processing of platinum anticancer drugs. Nat. Rev. Drug Discov. 2005, 4, 307–320. [Google Scholar] [CrossRef]
- Brabec, V.; Hrabina, O.; Kasparkova, J. Cytotoxic platinum coordination compounds. DNA binding agents. Coord. Chem. Rev. 2017, 351, 2–31. [Google Scholar] [CrossRef]
- Usanova, S.; Piée-Staffa, A.; Sied, U.; Thomale, J.; Schneider, A.; Kaina, B.; Köberle, B. Cisplatin sensitivity of testis tumour cells is due to deficiency in interstrand-crosslink repair and low ERCC1-XPF expression. Mol. Cancer 2010, 9, 248. [Google Scholar] [CrossRef] [PubMed]
- Sakai, W.; Swisher, E.M.; Karlan, B.Y.; Agarwal, M.K.; Higgins, J.; Friedman, C.; Villegas, E.; Jacquemont, C.; Farrugia, D.J.; Couch, F.J.; et al. Secondary mutations as a mechanism of cisplatin resistance in BRCA2-mutated cancers. Nature 2008, 451, 1116–1120. [Google Scholar] [CrossRef] [PubMed]
- Johnstone, T.C.; Park, G.Y.; Lippard, S.J. Understanding and improving platinum anticancer drugs—Phenanthriplatin. Anticancer Res. 2014, 34, 471–476. [Google Scholar] [PubMed]
- Guo, W.J.; Zhang, Y.M.; Zhang, L.; Huang, B.; Tao, F.F.; Chen, W.; Guo, Z.J.; Xu, Q.; Sun, Y. Novel monofunctional platinum(II) complex Mono-Pt induces apoptosis-independent autophagic cell death in human ovarian carcinoma cells, distinct from cisplatin. Autophagy 2013, 9, 996–1008. [Google Scholar] [CrossRef]
- Riddell, I.A.; Johnstone, T.C.; Park, G.Y.; Lippard, S.J. Nucleotide binding preference of the monofunctional platinum anticancer-agent phenanthriplatin. Chem. Eur. J. 2016, 22, 7574–7581. [Google Scholar] [CrossRef]
- Malina, J.; Farrell, N.P.; Brabec, V. DNA condensing effects and sequence selectivity of dna binding of antitumor noncovalent polynuclear platinum complexes. Inorg. Chem. 2014, 53, 1662–1671. [Google Scholar] [CrossRef]
- Johnstone, T.C.; Lippard, S.J. The chiral potential of phenanthriplatin and its influence on guanine binding. J. Am. Chem. Soc. 2014, 136, 2126–2134. [Google Scholar] [CrossRef]
- Johnstone, T.C.; Alexander, S.M.; Lin, W.; Lippard, S.J. Effects of monofunctional platinum agents on bacterial growth: A retrospective study. J. Am. Chem. Soc. 2014, 136, 116–118. [Google Scholar] [CrossRef]
- Lovejoy, K.S.; Serova, M.; Bieche, I.; Emami, S.; D’Incalci, M.; Broggini, M.; Erba, E.; Gespach, C.; Cvitkovic, E.; Faivre, S.; et al. Spectrum of cellular responses to pyriplatin, a monofunctional cationic antineoplastic platinum(II) compound, in human cancer cells. Mol. Cancer Ther. 2011, 10, 1709–1719. [Google Scholar] [CrossRef]
- Zhou, W.; Almeqdadi, M.; Xifaras, M.E.; Riddell, I.A.; Yilmaz, Ö.H.; Lippard, S.J. The effect of geometric isomerism on the anticancer activity of the monofunctional platinum complex trans-[Pt(NH3)2(phenanthridine)Cl]NO3. Chem. Commun. 2018, 54, 2788–2791. [Google Scholar] [CrossRef]
- Johnstone, T.C.; Wilson, J.J.; Lippard, S.J. Monofunctional and higher-valent platinum anticancer agents. Inorg. Chem. 2013, 52, 12234–12249. [Google Scholar] [CrossRef] [PubMed]
- Macquet, J.P.; Butour, J.L. Platinum-amine compounds: Importance of the labile and inert ligands for their pharmacological activities toward L1210 leukemia cells. J. Natl. Cancer Inst. 1983, 70, 899–905. [Google Scholar] [PubMed]
- Cleare, M.J.; Hoeschele, J.D. Antitumor activity of group VIII transition metal complexes. I. Platinum(II) complexes. Bioinorg. Chem. 1973, 2, 187–210. [Google Scholar] [CrossRef]
- Sundquist, W.I.; Bancroft, D.P.; Lippard, S.J. Synthesis, characterization, and biological activity of cis-diammineplatinum(II) complexes of the DNA intercalators 9-aminoacridine and chloroquine. J. Am. Chem. Soc. 1990, 112, 1590–1596. [Google Scholar] [CrossRef]
- Hollis, L.S.; Sundquist, W.I.; Burstyn, J.N.; Heiger-Bernays, W.J.; Bellon, S.F.; Ahmed, K.J.; Amundsen, A.R.; Stern, E.W.; Lippard, S.J. Mechanistic studies of a novel class of trisubstituted platinum(II) antitumor agents. Cancer Res. 1991, 51, 1866–1875. [Google Scholar]
- Zhang, S.; Lovejoy, K.S.; Shima, J.E.; Lagpacan, L.L.; Shu, Y.; Lapuk, A.; Chen, Y.; Komori, T.; Gray, J.W.; Chen, X.; et al. Organic cation transporters are determinants of oxaliplatin cytotoxicity. Cancer Res. 2006, 66, 8847–8857. [Google Scholar] [CrossRef]
- Lovejoy, K.S.; Todd, R.C.; Zhang, S.; McCormick, M.S.; D’Aquino, J.A.; Reardon, J.T.; Sancar, A.; Giacomini, K.M.; Lippard, S.J. cis-Diammine(pyridine)chloroplatinum(II), a monofunctional platinum(II) antitumor agent: Uptake, structure, function, and prospects. Proc. Natl. Acad. Sci. USA 2008, 105, 8902–8907. [Google Scholar] [CrossRef]
- Wang, D.; Zhu, G.Y.; Huang, X.H.; Lippard, S.J. X-ray structure and mechanism of RNA polymerase II stalled at an antineoplastic monofunctional platinum-DNA adduct. Proc. Natl. Acad. Sci. USA 2010, 107, 9584–9589. [Google Scholar] [CrossRef]
- Park, G.Y.; Wilson, J.J.; Song, Y.; Lippard, S.J. Phenanthriplatin, a monofunctional DNA-binding platinum anticancer drug candidate with unusual potency and cellular activity profile. Proc. Natl. Acad. Sci. USA 2012, 109, 11987–11992. [Google Scholar] [CrossRef] [PubMed]
- Casini, A.; Reedijk, J. Interactions of anticancer Pt compounds with proteins: An overlooked topic in medicinal inorganic chemistry. Chem. Sci. 2012, 3, 3135–3144. [Google Scholar] [CrossRef]
- Kellinger, M.W.; Park, G.Y.; Chong, J.; Lippard, S.J.; Wang, D. Effect of a monofunctional phenanthriplatin-DNA adduct on RNA polymerase II transcriptional fidelity and translesion synthesis. J. Am. Chem. Soc. 2013, 135, 13054–13061. [Google Scholar] [CrossRef] [PubMed]
- Almaqwashi, A.A.; Zhou, W.; Naufer, M.N.; Riddell, I.A.; Yilmaz, Ö.H.; Lippard, S.J.; Williams, M.C. DNA intercalation facilitates efficient DNA-targeted covalent binding of phenanthriplatin. J. Am. Chem. Soc. 2019, 141, 1537–1545. [Google Scholar] [CrossRef] [PubMed]
- Gregory, M.T.; Park, G.Y.; Johnstone, T.C.; Lee, Y.S.; Yang, W.; Lippard, S.J. Structural and mechanistic studies of polymerase η bypass of phenanthriplatin DNA damage. Proc. Natl. Acad. Sci. USA 2014, 111, 9133–9138. [Google Scholar] [CrossRef] [PubMed]
- Baruah, H.; Rector, C.L.; Monnier, S.M.; Bierbach, U. Mechanism of action of non-cisplatin type DNA-targeted platinum anticancer agents: DNA interactions of novel acridinylthioureas and their platinum conjugates. Biochem. Pharm. 2002, 64, 191–200. [Google Scholar] [CrossRef]
- Guddneppanavar, R.; Saluta, G.; Kucera, G.L.; Bierbach, U. Synthesis, biological activity, and DNA-damage profile of platinum threading intercalator conjugates designed to target adenine. J. Med. Chem. 2006, 49, 3204–3214. [Google Scholar] [CrossRef] [PubMed]
- Guddneppanavar, R.; Choudhury, J.R.; Kheradi, A.R.; Steen, B.D.; Saluta, G.; Kucera, G.L.; Day, C.S.; Bierbach, U. Effect of the diamine nonleaving group in platinum-acridinylthiourea conjugates on DNA damage and cytotoxicity. J. Med. Chem. 2007, 50, 2259–2263. [Google Scholar] [CrossRef]
- Smyre, C.L.; Saluta, G.; Kute, T.E.; Kucera, G.L.; Bierbach, U. Inhibition of DNA synthesis by a platinum−acridine hybrid agent leads to potent cell kill in nonsmall cell lung cancer. ACS Med. Chem. Lett. 2011, 2, 870–874. [Google Scholar] [CrossRef]
- Kalayda, G.V.; Jansen, B.A.J.; Wielaard, P.; Tanke, H.J.; Reedijk, J. Dinuclear platinum anticancer complexes with fluorescent N,N’-bis(aminoalkyl)-1,4-diaminoanthraquinones: Cellular processing in two cisplatin-resistant cell lines reflects the differences in their resistance profiles. J. Biol. Inorg. Chem. 2005, 10, 305–315. [Google Scholar] [CrossRef]
- Kalayda, G.V.; Jansen, B.A.J.; Molenaar, C.; Wielaard, P.; Tanke, H.J.; Reedijk, J. Dinuclear platinum complexes with N,N’-bis(aminoalkyl)-1,4-diaminoanthraquinones as linking ligands. Part II. Cellular processing in A2780 cisplatin-resistant human ovarian carcinoma cells: New insights into the mechanism of resistance. J. Biol. Inorg. Chem. 2004, 9, 414–422. [Google Scholar] [CrossRef]
- Jansen, B.A.J.; Wielaard, P.; Kalayda, G.V.; Ferrari, M.; Molenaar, C.; Tanke, H.J.; Brouwer, J.; Reedijk, J. Dinuclear platinum complexes with N,N’-bis(aminoalkyl)-1,4-diaminoanthraquinones as linking ligands. Part I. Synthesis, cytotoxicity, and cellular studies in gA2780 human ovarian carcinoma cells. J. Biol. Inorg. Chem. 2004, 9, 403–413. [Google Scholar] [CrossRef]
- Wu, S.D.; Wang, X.Y.; Zhu, C.C.; Song, Y.J.; Wang, J.; Li, Y.Z.; Guo, Z.J. Monofunctional platinum complexes containing a 4-nitrobenzo-2-oxa-1,3-diazole fluorophore: Distribution in tumour cells. Dalton Trans. 2011, 40, 10376–10382. [Google Scholar] [CrossRef] [PubMed]
- Wu, S.D.; Zhu, C.C.; Zhang, C.L.; Yu, Z.; He, W.J.; He, Y.F.; Li, Y.Z.; Wang, J.; Guo, Z.J. In vitro and in vivo fluorescent imaging of a monofunctional chelated platinum complex excitable using visible light. Inorg. Chem. 2011, 50, 11847–11849. [Google Scholar] [CrossRef]
- Chen, Z.F.; Zhang, S.P.; Shen, L.; Zhu, Z.Z.; Zhang, J. Fluorescence imaging of a new monofunctional platinum(II) complex containing a thioflavin-T (ThT)-based fluorophore. New J. Chem. 2015, 39, 1592–1596. [Google Scholar] [CrossRef]
- Zhang, C.; Guan, R.L.; Liao, X.X.; Ouyang, C.; Rees, T.W.; Liu, J.P.; Chen, Y.; Ji, L.N.; Chao, H. A mitochondria-targeting dinuclear Ir-Ru complex as a synergistic photoactivated chemotherapy and photodynamic therapy agent against cisplatin-resistant tumour cells. Chem. Commun. 2019, 55, 12547–12550. [Google Scholar] [CrossRef]
- Bonnet, S. Why develop photoactivated chemotherapy? Dalton Trans. 2018, 47, 10330–10343. [Google Scholar] [CrossRef] [PubMed]
- Dabids, L.M.; Kleemann, B. Combating melanoma: The use of photodynamic therapy as a novel, adjuvant therapeutic tool. Cancer Treat Rev. 2011, 37, 465–475. [Google Scholar]
- Zhou, Z.J.; Song, J.B.; Nie, L.M.; Chen, X.Y. Reactive oxygen species generating systems meeting challenges of photodynamic cancer therapy. Chem. Soc. Rev. 2016, 45, 6597–6626. [Google Scholar] [CrossRef]
- Ethirajan, M.; Chen, Y.H.; Joshi, P.; Pandey, R.K. The role of porphyrin chemistry in tumor imaging and photodynamic therapy. Chem. Soc. Rev. 2011, 40, 340–362. [Google Scholar] [CrossRef] [PubMed]
- Naik, A.; Rubbiani, R.; Gasser, G.; Spingler, B. Visible-light-induced annihilation of tumor cells with platinum-porphyrin conjugates. Angew. Chem. Int. Ed. 2014, 53, 6938–6941. [Google Scholar] [CrossRef] [PubMed]
- Yu, G.C.; Yu, S.; Saha, M.L.; Zhou, J.; Cook, T.R.; Yung, B.C.; Chen, J.; Mao, Z.W.; Zhang, F.W.; Zhou, Z.J.; et al. A discrete organoplatinum(II) metallacage as a multimodality theranostic platform for cancer photochemotherapy. Nat. Commun. 2018, 9, 4335. [Google Scholar] [CrossRef]
- Santoro, A.M.; Lo Giudice, M.C.; D’Urso, A.; Lauceri, R.; Purrello, R.; Milardi, D. Cationic porphyrins are reversible proteasome inhibitors. J. Am. Chem. Soc. 2012, 134, 10451–10457. [Google Scholar] [CrossRef]
- Bacellar, I.O.; Tsubone, T.M.; Pavani, C.; Baptista, M.S. Photodynamic efficiency: From molecular photochemistry to cell death. Int. J. Mol. Sci. 2015, 16, 20523–20559. [Google Scholar] [CrossRef] [PubMed]
- Tasso, T.T.; Tsubone, T.M.; Baptista, M.S.; Mattiazzi, L.M.; Acunha, T.V.; Iglesias, B.A. Isomeric effect on the properties of tetraplatinated porphyrins showing optimized phototoxicity for photodynamic therapy. Dalton Trans. 2017, 46, 11037–11045. [Google Scholar] [CrossRef]
- Couto, G.K.; Pacheco, B.S.; Borba, V.M.; Junior, J.C.R.; Oliveira, T.L.; Segatto, N.V.; Seixas, F.K.; Acunha, T.V.; Iglesias, B.A.; Collares, T. Tetra-cationic platinum(II) porphyrins like a candidate photosensitizers to bind, selective and drug delivery for metastatic melanoma. J. Photoch. Photobio. B. 2020, 202, 111725. [Google Scholar] [CrossRef]
- Hu, X.J.; Ogawa, K.; Li, S.; Kiwada, T.; Odani, A. A platinum functional porphyrin conjugate: An excellent cancer killer for photodynamic therapy. Bull. Chem. Soc. Jpn. 2019, 92, 790–796. [Google Scholar] [CrossRef]
- Xu, X.L.; Lin, F.W.; Du, Y.; Zhang, X.; Wu, J.; Xu, Z.K. Graphene oxide nanofiltration membranes stabilized by cationic porphyrin for high salt rejection. Acs Appl. Mater. Interfaces 2016, 8, 12588–12593. [Google Scholar] [CrossRef] [PubMed]
- Hu, X.J.; Ogawa, K.; Kiwada, T.; Odani, A. Water-soluble metalloporphyrinates with excellent photo-induced anticancer activity resulting from high tumor accumulation. J. Inorg. Biochem. 2017, 170, 1–7. [Google Scholar] [CrossRef]
- Li, X.; Zheng, B.D.; Peng, X.H.; Li, S.Z.; Ying, J.W.; Zhao, Y.; Huang, J.D.; Yoon, J. Phthalocyanines as medicinal photosensitizers: Developments in the last five years. Coord. Chem. Rev. 2017, 379, 147–160. [Google Scholar] [CrossRef]
- Wonga, R.C.H.; Lo, P.C.; Ng, D.K.P. Stimuli responsive phthalocyanine-based fluorescent probes and photosensitizers. Coord. Chem. Rev. 2017, 379, 30–46. [Google Scholar] [CrossRef]
- Mitra, K.; Samsó, M.; Lyonsb, C.E.; Hartman, M.C.T. Hyaluronic acid grafted nanoparticles of a platinum(II)–silicon(IV) phthalocyanine conjugate for tumor and mitochondria-targeted photodynamic therapy in red light. J. Mater. Chem. B 2018, 6, 7373–7377. [Google Scholar] [CrossRef] [PubMed]
- Mao, J.F.; Zhang, Y.M.; Zhu, J.H.; Zhang, C.L.; Guo, Z.J. Molecular combo of photodynamic therapeutic agent silicon(IV) phthalocyanine and anticancer drug cisplatin. Chem. Commun. 2009, 908–910. [Google Scholar] [CrossRef]
- Raza, M.K.; Gautam, S.; Garai, A.; Mitra, K.; Kondaiah, P.; Chakravarty, A.R. Monofunctional BODIPY-appended imidazoplatin for cellular imaging and mitochondria-targeted photocytotoxicity. Inorg. Chem. 2017, 56, 11019–11029. [Google Scholar] [CrossRef] [PubMed]
- Wang, B.; Yuan, H.X.; Liu, Z.; Nie, C.Y.; Liu, L.B.; Lv, F.T.; Wang, Y.L.; Wang, S. Cationic oligo(p-phenylene vinylene) materials for combating drug resistance of cancer cells by light manipulation. Adv. Mater. 2014, 26, 5986–5990. [Google Scholar] [CrossRef] [PubMed]
- Xue, X.L.; Zhu, C.C.; Chen, H.C.; Bai, Y.; Shi, X.C.; Jiao, Y.; Chen, Z.Y.; Miao, Y.P.; He, W.J.; Guo, Z.J. A new approach to sensitize antitumor monofunctional platinum(II) complexes via short time photo-irradiation. Inorg. Chem. 2017, 56, 3754–3762. [Google Scholar] [CrossRef]
- Settembre, C.; Fraldi, A.; Medina, D.L.; Ballabio, A. Signals from the lysosome: A control centre for cellular clearance and energy metabolism. Nat. Rev. Mol. Cell Biol. 2013, 14, 283–296. [Google Scholar] [CrossRef]
- Bonam, S.R.; Wang, F.J.; Muller, S. Lysosomes as a therapeutic target. Nat. Rev. Drug Discov. 2019, 18, 923–948. [Google Scholar] [CrossRef] [PubMed]
- Klein, A.V.; Hambley, T.W. Platinum drug distribution in cancer cells and tumors. Chem. Rev. 2009, 109, 4911–4920. [Google Scholar] [CrossRef]
- Xue, X.L.; Qian, C.G.; Fang, H.B.; Liu, H.K.; Yuan, H.; Guo, Z.J.; Bai, Y.; He, W.J. Photoactivated lysosomal escape of a monofunctional PtII complex Pt-BDPA for nucleus access. Angew. Chem. Int. Ed. 2019, 58, 12661–12666. [Google Scholar] [CrossRef] [PubMed]
- Liu, W.T.; Zhong, Y.F.; Liu, L.Y.; Shen, C.T.; Zeng, W.J.; Wang, F.Y.; Yang, D.Z.; Mao, Z.W. Solution structures of multiple G-quadruplex complexes induced by a platinum(II)-based tripod reveal dynamic binding. Nat. Commun. 2018, 9, 3496. [Google Scholar] [CrossRef] [PubMed]
- Zheng, X.H.; Mu, G.; Zhong, Y.F.; Zhang, T.P.; Cao, Q.; Ji, L.N.; Zhao, Y.; Mao, Z.W. Trigeminal star-like platinum complexes induce cancer cell senescence through quadruplex-mediated telomere dysfunction. Chem. Commun. 2016, 52, 14101–14104. [Google Scholar] [CrossRef] [PubMed]
- Zhong, Y.F.; Zhang, H.; Liu, W.T.; Zheng, X.H.; Zhou, Y.W.; Cao, Q.; Shen, Y.; Zhao, Y.; Qin, P.Z.; Ji, L.N.; et al. A platinum(II)-based photosensitive tripod as an effective photodynamic anticancer agent through DNA damage. Chem. Eur. J. 2017, 23, 16442–16446. [Google Scholar] [CrossRef]
- Cao, Q.; Li, Y.; Freisinger, E.; Qin, P.Z.; Sigel, R.K.O.; Mao, Z.W. G-quadruplex DNA targeted metal complexes acting as potential anticancer drugs. Inorg. Chem. Front. 2017, 4, 10–32. [Google Scholar] [CrossRef]
- Dumat, B.; Bordeau, G.; Faurel-Paul, E.; Mahuteau-Betzer, F.; Saettel, N.; Metge, G.; Fiorini-Debuisschert, C.; Charra, F.; Teulade-Fichou, M.P. DNA switches on the two-photon efficiency of an ultrabright triphenylamine fluorescent probe specific of AT regions. J. Am. Chem. Soc. 2013, 135, 12697–12706. [Google Scholar] [CrossRef] [PubMed]
- Zhong, Y.F.; Zhang, H.; Mu, G.; Liu, W.T.; Cao, Q.; Tan, C.P.; Ji, L.N.; Mao, Z.W. Nucleus-localized platinum(II)–triphenylamine complexes as potent photodynamic anticancer agents. Inorg. Chem. Front. 2019, 6, 2817–2823. [Google Scholar] [CrossRef]
- Wang, X.Y.; Guo, Z.J. Targeting and delivery of platinum-based anticancer drugs. Chem. Soc. Rev. 2013, 42, 202–224. [Google Scholar] [CrossRef]
- Basu, U.; Banik, B.; Wen, R.; Pathak, R.K.; Dhar, S. The Platin-X series: Activation, targeting, and delivery. Dalton Trans. 2016, 45, 12992–13004. [Google Scholar] [CrossRef] [PubMed]
- Kansara, M.; Teng, M.T.; Smyth, M.J.; Thomas, D.M. Translational biology of osteosarcoma. Nat. Rev. Cancer 2014, 14, 722–735. [Google Scholar] [CrossRef]
- Alpaslan, E.; Yazici, H.; Golshan, N.H.; Ziemer, K.S.; Webster, T.J. pH-dependent activity of dextran-coated cerium oxide nanoparticles on prohibiting osteosarcoma cell proliferation. ACS Biomater. Sci. Eng. 2015, 1, 1096–1103. [Google Scholar] [CrossRef]
- Reed, D.E.; Shokat, K.M. Targeting osteosarcoma. Proc. Natl. Acad. Sci. USA 2014, 111, 18100–18101. [Google Scholar] [CrossRef] [PubMed]
- Whelan, J.S.; Davis, L.E. Osteosarcoma, chondrosarcoma, and chordoma. J. Clin. Oncol. 2018, 36, 188–193. [Google Scholar] [CrossRef] [PubMed]
- Makris, G.; Tseligka, E.D.; Pirmettis, I.; Papadopoulos, M.S.; Vizirianakis, I.S.; Papagiannopoulou, D. Development and pharmacological evaluation of new bone-targeted 99mTc-radiolabeled bisphosphonates. Mol. Pharm. 2016, 13, 2301–2317. [Google Scholar] [CrossRef]
- Zhang, Z.Q.; Wang, X.Y.; Luo, C.; Zhu, C.C.; Wang, K.; Zhang, C.L.; Guo, Z.J. Dinuclear platinum(II) complexes with bone-targeting groups as potential anti-osteosarcoma agents. Chem. Asian J. 2017, 12, 1659–1667. [Google Scholar] [CrossRef] [PubMed]
- Zhang, Z.Q.; Zhu, Z.Z.; Luo, C.; Zhu, C.C.; Zhang, S.R.; Zhang, C.L.; Guo, Z.J.; Wang, X.Y. A potential bone-targeting hypotoxic platinum(II) complex with an unusual cytostatic mechanism toward osteosarcoma cells. Inorg. Chem. 2018, 57, 3315–3322. [Google Scholar] [CrossRef]
- Kenny, R.G.; Marmion, C.J. Toward Multi-targeted platinum and ruthenium drugs-a new paradigm in cancer drug treatment regimens? Chem. Rev. 2019, 119, 1058–1137. [Google Scholar] [CrossRef] [PubMed]
- Hamidi, H.; Ivaska, J. Every step of the way: Integrins in cancer progression and metastasis. Nat. Rev. Cancer 2018, 18, 533–548. [Google Scholar] [CrossRef]
- Chatzisideri, T.; Thysiadis, S.; Katsamakas, S.; Dalezis, P.; Sigala, I.; Lazarides, T.; Nikolakaki, E.; Trafalis, D.; Gederaas, O.A.; Lindgren, M.; et al. Synthesis and biological evaluation of a platinum(II)-c(RGDyK) conjugate for integrin-targeted photodynamic therapy. Eur. J. Med. Chem. 2017, 141, 221–231. [Google Scholar] [CrossRef]
- Zamora, A.; Gandioso, A.; Massaguer, A.; Buenestado, S.; Calvis, C.; Hernández, J.L.; Mitjans, F.; Rodríguez, V.; Ruiz, J.; Marchán, V. Toward angiogenesis inhibitors based on the conjugation of organometallic platinum(II) complexes to RGD peptides. ChemMedChem 2018, 13, 1755–1762. [Google Scholar] [CrossRef]
- Wu, T.; Dai, Y. Tumor microenvironment and therapeutic response. Cancer Lett. 2017, 387, 61–68. [Google Scholar] [CrossRef]
- Franich, A.A.; Živković, M.D.; Ilić-Tomić, T.; Đorđević, I.S.; Nikodinović-Runić, J.; Pavić, A.; Janjić, G.V.; Rajković, S. New minor groove covering DNA binding mode of dinuclear Pt(II) complexes with various pyridine-linked bridging ligands and dual anticancer-antiangiogenic activities. J. Biol. Inorg. Chem. 2020, 25, 395–409. [Google Scholar] [CrossRef]
- Martinez-Outschoorn, U.E.; Peiris-Pages, M.; Pestell, R.G.; Sotgia, F.; Lisanti, M.P. Cancer metabolism: A therapeutic perspective. Nat. Rev. Clin. Oncol. 2017, 14, 11–31. [Google Scholar] [CrossRef]
- Yang, Y.H.; Karakhanova, S.; Hartwig, W.; D’haese, J.G.; Philippov, P.P.; Werner, J.; Bazhin, A.V. Mitochondria and mitochondrial ros in cancer: Novel targets for anticancer therapy. J. Cell. Physiol. 2016, 231, 2570–2581. [Google Scholar] [CrossRef] [PubMed]
- Vander Heiden, M.G.; Cantley, L.C.; Thompson, C.B. Understanding the Warburg effect: The metabolic requirements of cell proliferation. Science 2009, 324, 1029–1033. [Google Scholar] [CrossRef]
- Wallace, D.C. Mitochondria and cancer. Nat. Rev. Cancer. 2012, 12, 685–698. [Google Scholar] [CrossRef]
- Marrachea, S.; Dhar, S. The energy blocker inside the power house: Mitochondria targeted delivery of 3-bromopyruvate. Chem. Sci. 2015, 6, 1832–1845. [Google Scholar] [CrossRef]
- Taylor, R.W.; Turnbull, D.M. Mitochondrial DNA mutations in human disease. Nat. Rev. Genet. 2005, 6, 389–402. [Google Scholar] [CrossRef] [PubMed]
- Bouwman, P.; Jonkers, J. The effects of deregulated DNA damage signalling on cancer chemotherapy response and resistance. Nat. Rev. Cancer 2012, 12, 587–598. [Google Scholar] [CrossRef] [PubMed]
- Holohan, C.; Van Schaeybroeck, S.; Longley, D.B.; Johnston, P.G. Cancer drug resistance: An evolving paradigm. Nat. Rev. Cancer 2013, 13, 714–726. [Google Scholar] [CrossRef]
- Fulda, S.; Galluzzi, L.; Kroemer, G. Targeting mitochondria for cancer therapy. Nat. Rev. Drug Discov. 2010, 9, 447–464. [Google Scholar] [CrossRef]
- Lomeli, N.; Di, K.J.; Czerniawski, J.; Guzowski, J.F.; Bota, D.A. Cisplatin-induced mitochondrial dysfunction is associated with impaired cognitive function in rats. Free Radic. Biol. Med. 2017, 102, 274–286. [Google Scholar] [CrossRef]
- Guo, Y.; He, Y.F.; Wu, S.D.; Zhang, S.R.; Song, D.F.; Zhu, Z.Z.; Guo, Z.J.; Wang, X.Y. Enhancing cytotoxicity of a monofunctional platinum complex via a dual-DNA-damage approach. Inorg. Chem. 2019, 58, 13150–13160. [Google Scholar] [CrossRef]
- Zhang, C.; Guan, R.L.; Liao, X.X.; Ouyang, C.; Liu, J.P.; Ji, L.N.; Chao, H. Mitochondrial DNA targeting and impairment by a dinuclear Ir–Pt complex that overcomes cisplatin resistance. Inorg. Chem. Front. 2020, 7, 1864–1871. [Google Scholar] [CrossRef]
- Zhu, Z.Z.; Wang, Z.H.; Zhang, C.L.; Wang, Y.J.; Zhang, H.M.; Gan, Z.J.; Guo, Z.J.; Wang, X.Y. Mitochondrion-targeted platinum complexes suppressing lung cancer through multiple pathways involving energy metabolism. Chem. Sci. 2019, 10, 3089–3095. [Google Scholar] [CrossRef]
- Wang, K.; Zhu, C.C.; He, Y.F.; Zhang, Z.Q.; Zhou, W.; Muhammad, N.; Guo, Y.; Wang, X.Y.; Guo, Z.J. Restraining cancer cells by dual metabolic inhibition with a mitochondrion-targeted platinum(II) complex. Angew. Chem. Int. Ed. 2019, 58, 4638–4643. [Google Scholar] [CrossRef] [PubMed]
- Imming, P.; Sinning, C.; Meyer, A. Drugs, Their targets and the nature and number of drug targets. Nat. Rev. Drug Discov. 2006, 5, 821–834. [Google Scholar] [CrossRef] [PubMed]
- Ramsay, R.; Tipton, K. Assessment of enzyme inhibition: A review with examples from the development of monoamine oxidase and cholinesterase inhibitory drugs. Molecules 2017, 22, 1192. [Google Scholar] [CrossRef] [PubMed]
- Tonks, N.K. Protein tyrosine phosphatases: From genes, to function, to disease. Nat. Rev. Mol. Cell Biol. 2006, 7, 833–846. [Google Scholar] [CrossRef]
- Lu, L.P.; Zhu, M.L. Protein tyrosine phosphatase inhibition by metals and metal complexes. Antioxid. Redox Sign. 2014, 20, 2210–2224. [Google Scholar] [CrossRef]
- Yuan, C.X.; Wang, W.R.; Wang, J.W.; Li, X.H.; Wu, Y.B.; Li, S.D.; Lu, L.P.; Zhu, M.L.; Xing, S.; Fu, X.Q. Potent and selective PTP1B inhibition by a platinum(II) complex: Possible implications for a new antitumor strategy. Chem. Commun. 2020, 56, 102–105. [Google Scholar] [CrossRef]
- Zhang, D.W.; Yip, Y.M.; Li, L.B. In silico construction of HK2-VDAC1 complex and investigating the HK2 binding-induced molecular gating mechanism of VDAC1. Mitochondrion 2016, 30, 222–228. [Google Scholar] [CrossRef]
- Li, S.N.; Li, J.J.; Dai, W.Q.; Zhang, Q.H.; Feng, J.; Wu, L.W.; Liu, T.; Yu, Q.; Xu, S.Z.; Wang, W.W.; et al. Genistein suppresses aerobic glycolysis and induces hepatocellular carcinoma cell death. Br. J. Cancer. 2017, 117, 1518–1528. [Google Scholar] [CrossRef]
- Muhammad, N.; Tan, C.P.; Muhammad, K.; Wang, J.; Sadia, N.; Pan, Z.Y.; Ji, L.N.; Mao, Z.W. Mitochondria-targeting monofunctional platinum(II)–lonidamine conjugates for cancer cell de-energization. Inorg. Chem. Front. 2020, 7, 4010–4019. [Google Scholar] [CrossRef]
- Waghorn, P.A.; Jackson, M.R.; Gouverneur, V.; Vallis, K.A. Targeting telomerase with radiolabeled inhibitors. Eur. J. Med. Chem. 2017, 125, 117–129. [Google Scholar] [CrossRef]
- Paul, A.; Maji, B.; Misra, S.K.; Jain, A.K.; Muniyappa, K.; Bhattacharya, S. Stabilization and structural alteration of the G-quadruplex DNA made from the human telomeric repeat mediated by Troger’s base based novel benzimidazole derivatives. J. Med. Chem. 2012, 55, 7460–7471. [Google Scholar] [CrossRef] [PubMed]
- Huang, G.B.; Chen, S.; Qin, Q.P.; Luo, J.R.; Tan, M.X.; Wang, Z.F.; Zou, B.Q.; Liang, H. Preparation of platinum(II) complexes with naphthalene imide derivatives and exploration of their in vitro cytotoxic activities. Inorg. Chem. Commun. 2019, 104, 124–128. [Google Scholar] [CrossRef]
- Huang, G.B.; Chen, S.; Qin, Q.P.; Luo, J.R.; Tan, M.X.; Wang, Z.F.; Zou, B.Q.; Liang, H. In vitro and in vivo activity of novel platinum(II) complexes with naphthalene imide derivatives inhibiting human non-small cell lung cancer cells. New J. Chem. 2019, 43, 8146–8152. [Google Scholar] [CrossRef]
- Qin, Q.P.; Zou, B.Q.; Wang, Z.F.; Huang, X.L.; Zhang, Y.; Tan, M.X.; Wang, S.L.; Liang, H. High in vitro and in vivo antitumor activities of luminescent platinum(II) complexes with jatrorrhizine derivatives. Eur. J. Med. Chem. 2019, 183, 111727. [Google Scholar] [CrossRef]
- Zou, H.H.; Wang, L.; Long, Z.X.; Qin, Q.P.; Song, Z.K.; Xie, T.; Zhang, S.H.; Liu, Y.C.; Lin, B.; Chen, Z.F. Preparation of 4-([2,2′:6′,2′′-terpyridin]-4′-yl)-N,N-diethylaniline NiII and PtII complexes and exploration of their in vitro cytotoxic activities. Eur. J. Med. Chem. 2016, 108, 1–12. [Google Scholar] [CrossRef]
- Sabbatini, M.; Zanellato, I.; Ravera, M.; Gabano, E.; Perin, E.; Rangone, B.; Osella, D. Pt(IV) bifunctional prodrug containing 2-(2-propynyl)octanoato axial ligand: Induction of immunogenic cell death on colon cancer. J. Med. Chem. 2019, 62, 3395–3406. [Google Scholar] [CrossRef]
- Wong, D.Y.Q.; Ong, W.W.F.; Ang, W.H. Induction of immunogenic cell death by chemotherapeutic platinum complexes. Angew. Chem. Int. Ed. 2015, 54, 6483–6487. [Google Scholar] [CrossRef]
- Huang, K.B.; Wang, F.Y.; Feng, H.W.; Luo, H.J.; Long, Y.; Zou, T.T.; Chan, A.S.C.; Liu, R.; Zou, H.H.; Chen, Z.F.; et al. An aminophosphonate ester ligand-containing platinum(II) complex induces potent immunogenic cell death in vitro and elicits effective anti-tumor immune responses in vivo. Chem. Commun. 2019, 55, 13066–13069. [Google Scholar] [CrossRef]
- Al-Khayal, K.; Vaali-Mohammed, M.A.; Elwatidy, M.; Bin Traiki, T.; Al-Obeed, O.; Azam, M.; Khan, Z.; Abdulla, M.; Ahmad, R. A novel coordination complex of platinum (PT) induces cell death in colorectal cancer by altering redox balance and modulating MAPK pathway. Bmc Cancer 2020, 20, 685. [Google Scholar] [CrossRef] [PubMed]
- Choroba, K.; Machura, B.; Raposo, L.R.; Małecki, J.G.; Kula, S.; Pająk, M.; Erfurt, K.; Maroń, A.M.; Fernandes, A.R. Platinum(II) complexes showing high cytotoxicity toward A2780 ovarian carcinoma cells. Dalton Trans. 2019, 48, 13081–13093. [Google Scholar] [CrossRef]
- Wang, F.Y.; Tang, X.M.; Wang, X.; Huang, K.B.; Feng, H.W.; Chen, Z.F.; Liu, Y.N.; Liang, H. Mitochondria-targeted platinum(II) complexes induce apoptosis-dependent autophagic cell death mediated by ER-stress in A549 cancer cells. Eur. J. Med. Chem. 2018, 155, 639–650. [Google Scholar] [CrossRef] [PubMed]
- Ferraro, G.; Marzo, T.; Infrasca, T.; Cilibrizzi, A.; Vilar, R.; Messori, L.; Merlino, A. A case of extensive protein platination: The reaction of lysozyme with a Pt(II)–terpyridine complex. Dalton Trans. 2018, 47, 8716–8723. [Google Scholar] [CrossRef]
- Li, Z.; Zhou, J.; Gan, Y.; Yin, Y.H.; Zhang, W.C.; Yang, J.F.; Tang, Y.X.; Dai, Y.B. Synthesis of a novel platinum(II) complex with 6,7-dichloro-5,8-quinolinedione and the study of its antitumor mechanism in testicular seminoma. J. Inorg. Biochem. 2019, 197, 110701. [Google Scholar] [CrossRef] [PubMed]
- Icsel, C.; Yilmaz, V.T.; Cevatemre, B.; Aygun, M.; Ulukaya, E. Structures and anticancer activity of chlorido platinum(II) saccharinate complexes with mono- and dialkylphenylphosphines. J. Inorg. Biochem. 2019, 195, 39–50. [Google Scholar] [CrossRef]
- Mitra, K.; Basu, U.; Khan, I.; Maity, B.; Kondaiah, P.; Chakravarty, A.R. Remarkable anticancer activity of ferrocenyl-terpyridine platinum(II) complexes in visible light with low dark toxicity. Dalton Trans. 2014, 43, 751–763. [Google Scholar] [CrossRef]
- Zhang, J.Y.; Wang, X.Y.; Tu, C.; Lin, J.; Ding, J.; Lin, L.P.; Wang, Z.M.; He, C.; Yan, C.H.; You, X.Z.; et al. Monofunctional platinum complexes showing potent cytotoxicity against human liver carcinoma cell line BEL-7402. J. Med. Chem. 2003, 46, 3502–3507. [Google Scholar] [CrossRef]
Publisher’s Note: MDPI stays neutral with regard to jurisdictional claims in published maps and institutional affiliations. |
© 2021 by the authors. Licensee MDPI, Basel, Switzerland. This article is an open access article distributed under the terms and conditions of the Creative Commons Attribution (CC BY) license (http://creativecommons.org/licenses/by/4.0/).
















