New Quality-Range-Setting Method Based on Between- and Within-Batch Variability for Biosimilarity Assessment
Abstract
1. Introduction
2. Results and Discussion
2.1. Analytical Methods
In-Study Validation
2.2. Statistical Model
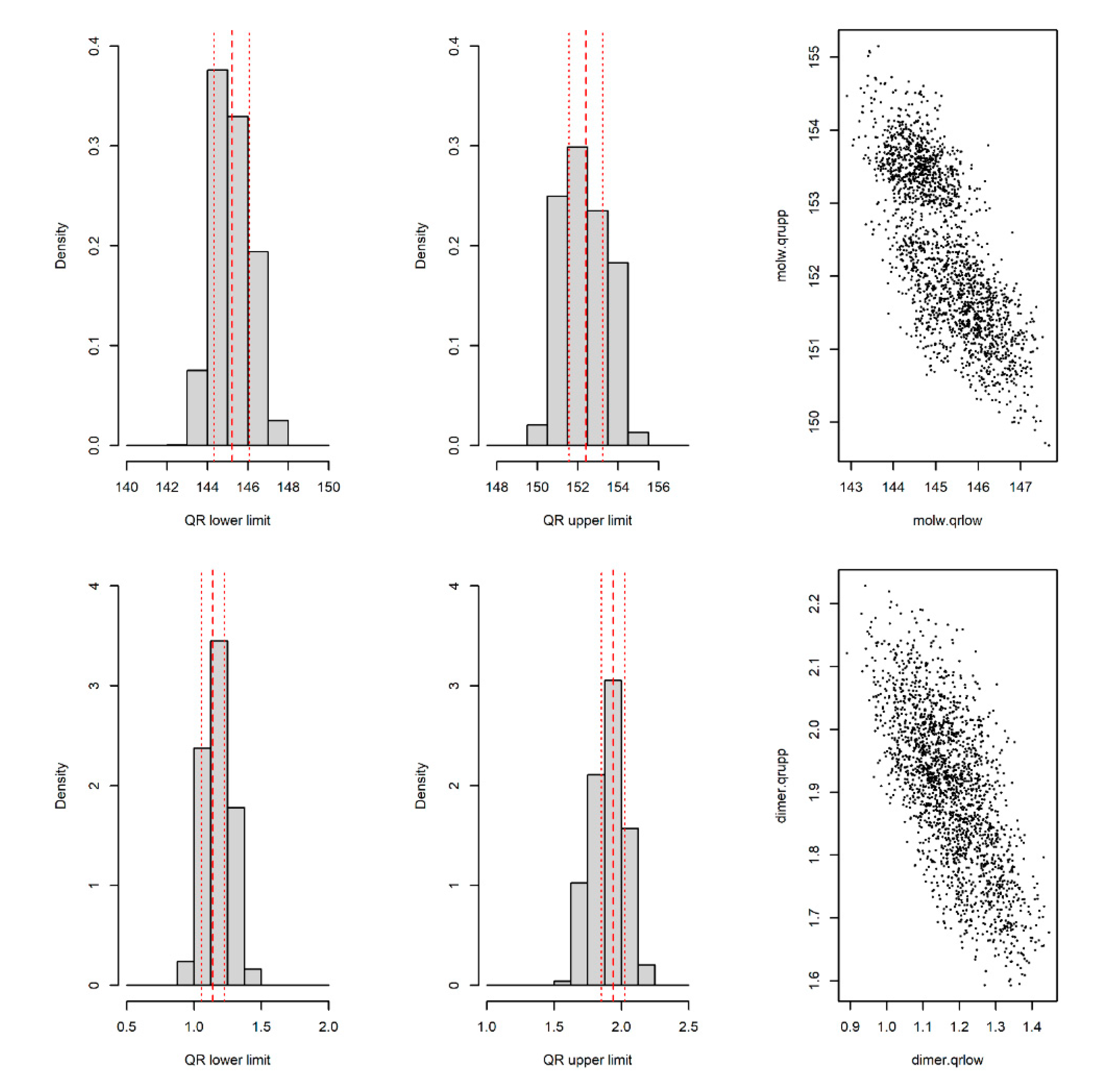
2.3. Data Analysis
3. Materials and Methods
3.1. Reference Medicinal Product
3.2. Chromatography System
3.2.1. SEC/RI System
3.2.2. SEC/LS System
4. Conclusions
Supplementary Materials
Author Contributions
Funding
Institutional Review Board Statement
Informed Consent Statement
Data Availability Statement
Conflicts of Interest
References
- Vezér, B.; Buzás, Z.; Sebeszta, M.; Zrubka, Z. Authorized manufacturing changes for therapeutic monoclonal antibodies (mAbs) in European Public Assessment Report (EPAR) documents. Curr. Med. Res. Opin. 2016, 32, 829–834. [Google Scholar] [CrossRef]
- Acha, V.; Mestre-Ferrandiz, J. Translating European regulatory approval into healthcare uptake for biosimilars: The second translational gap. J. Technol. Anal. Strateg. Manag. 2017, 29, 263–275. [Google Scholar] [CrossRef][Green Version]
- Hassan, L.A.; Shatat, S.M.; Eltanany, B.M.; Al-Ghobashy, M.A.; Abbas, S.S. Stability and biosimilarity assessment of infliximab using an orthogonal testing protocol and statistically-guided interpretation of peptide mapping. Anal. Methods 2019, 12, 3198–3211. [Google Scholar] [CrossRef]
- Lee, J.J.; Yang, J.; Lee, C.; Moon, Y.; Ahn, S.; Yang, J. Demonstration of functional similarity of a biosimilar adalimumab SB5 to Humira®. Biologicals 2019, 58, 7–15. [Google Scholar] [CrossRef] [PubMed]
- Xie, L.; Zhang, E.; Xu, Y.; Gao, W.; Wang, L.; Xie, M.H.; Qin, P.; Lu, L.; Li, S.; Shen, P.; et al. Demonstrating analytical similarity of trastuzumab biosimilar HLX02 to Herceptin® with a panel of sensitive and orthogonal methods including a novel FcyRIIIa affinity chromatography technology. BioDrugs 2020, 34, 363–379. [Google Scholar] [CrossRef] [PubMed]
- Parr, M.K.; Montacir, O.; Montacir, H. Physicochemical characterization of biopharmaceuticals. J. Pharm. Biomed. Anal. 2016, 130, 366–389. [Google Scholar] [CrossRef] [PubMed]
- Tsai, T.-H.; Hao, Z.; Hong, Q.; Moore, B.; Stella, C.; Zhang, J.H.; Chen, Y.; Kim, M.; Koulis, T.; Ryslik, G.A.; et al. Statistical characterization of therapeutic protein modifications. Sci. Rep. 2017, 7, 7896. [Google Scholar] [CrossRef] [PubMed]
- Mouchahoir, T.; Schiel, J.E.; Rogers, R.; Heckert, A.; Place, B.J.; Ammerman, A.; Li, X.; Robinson, T.; Schmidt, B.; Chumsae, C.M.; et al. New Peak Detection Performance Metrics from the MAM Consortium Interlaboratory Study. J. Am. Soc. Mass. Spectrom. 2021, 32, 913–928. [Google Scholar] [CrossRef]
- Lee, J.H.; Paek, K.; Moon, J.H.; Ham, S.; Kim, S. Biological characterization of SB3, a trastuzumab biosimilar, and the influence of changes in reference product characteristics on the similarity assessment. BioDrugs 2019, 33, 411–422. [Google Scholar] [CrossRef]
- Prior, S.; Metcalfe, C.; Hufton, S.E.; Wadhwa, M.; Scheneider, C.K.; Burns, C. Maintaining standards for biosimilar monoclonal antibodies. Nat. Biotechnol. 2021, 39, 276–280. [Google Scholar] [CrossRef]
- Stangler, T.; Schiesti, M. Similarity assessment of quality attributes of biological medicines: The calculation of operating characteristics to compare different statistical approaches. AAPS J. 2019, 5, 4. [Google Scholar] [CrossRef]
- FDA. Guidance on Statistical Approaches to Evaluate Analytical Similarity; The United States Food and Drug Administrations: Silver Spring, MD, USA, 2017.
- Chow, S.-C.; Song, F.; Bai, H. Analytical similarity assessment in biosimilar studies. ASPS J. 2016, 18, 670–677. [Google Scholar] [CrossRef][Green Version]
- Tsong, Y.; Dong, X.; Shen, M. Development of statistical methods for analytical similarity assessment. J. Biopharm. Stat. 2017, 27, 197–205. [Google Scholar] [CrossRef]
- FDA. FDA Takes Steps to Foster Greater Efficiency in Biosimilar Development by Reconsidering Draft Guidance on Evaluating Analytical Studies. The United States Food and Drug Administrations, June 2018. Available online: https://fda.gov/news-events/fda-brief/fda-takes-steps-foster-greater-efficiency-biosimilar-development-reconsidering-draft-guidance (accessed on 15 September 2020).
- FDA. Guidance on Development of Therapeutic Protein Biosimilar: Comparative Analytical Assessment and other Quality-Related Considerations; The United States Food and Drug Administrations: Silver Spring, MD, USA, 2019.
- Son, S.; Oh, M.; Choo, M.; Chow, S.C.; Lee, S.J. Some thoughts on the QR method for analytical similarity evaluation. J. Biopharm. Stat. 2020, 1–16. [Google Scholar] [CrossRef] [PubMed]
- Chow, S.-C.; Lee, S.J. Current issues in analytical similarity assessment. Stat. Biopharm. Res. 2020, 13, 203–209. [Google Scholar] [CrossRef]
- Yang, H.; Burdick, R.K.; Cheng, A.; Montes, R.O. In statistical considerations for demonstrating of analytical similarity. In Biosimilars, AAPS Advances in the Pharmaceutical Sciences, Series 34; Guka, H.J., Yang, H., Kakar, S., Eds.; Springer: Cham, Switzerland, 2018; Chapter 17; pp. 431–468. [Google Scholar] [CrossRef]
- European Medicines Agency. Workshop on the Reflection Paper on Statistical Methodology for the Comparative Assessment of Quality Attributes in Drug Development, London, 2018. Available online: https://www.ema.europa.eu/en/events/workshop-reflection-paper-statistical-methodology-comparative-assessment-quality-attributes-drug (accessed on 23 October 2020).
- Wang, T.R.; Chow, S.C. On establishment of equivalence acceptance criterion in analytical similarity assessment. J. Biopharm. Stat. 2017, 27, 206–212. [Google Scholar] [CrossRef]
- Chow, S.C. Challenging issues in assessing analytical similarity in biosimilar studies. Biosimilars 2015, 5, 1–7. [Google Scholar] [CrossRef][Green Version]
- Oliva, A.; Llabrés, M. Validation of a size-exclusion chromatography method for Bevacizumab quantitation in pharmaceutical preparations: Application in a biosimilar study. Separations 2019, 6, 43. [Google Scholar] [CrossRef]
- Oliva, A.; Llabrés, M. Limitations of the quality range approach in analytical similarity assessment: Effect of mean shift and relative variability. J. Pharm. Biomed. Anal. 2021, 198. [Google Scholar] [CrossRef] [PubMed]
- Montes, R.O.; Burdick, R.; Leblond, D.J. Simple approach to calculate random effects model tolerance intervals to set release and shelf-life specification limits of pharmaceutical products PDA. J. Pharm. Sci. Tech. 2019, 73, 39–59. [Google Scholar] [CrossRef] [PubMed]
- Oliva, A.; Fariña, J.B.; Llabrés, M. Pre-study and in-study validation of a size-exclusion chromatography method with different detection modes for the analysis of monoclonal antibody aggregates. J. Chromatogr. B 2016, 1022, 206–212. [Google Scholar] [CrossRef] [PubMed]
- Bouabidi, A.; Ziemons, E.; Marini, R.; Hubert, C.; Talbi, M.; Bouklouze, A.; Bourichi, H.; El Karbane, M.; Boulanger, B.; Hubert, P.H.; et al. Usefulness of capability indices in the framework of analytical methods validation. Anal. Chim. Acta 2012, 714, 47–56. [Google Scholar] [CrossRef]
- Oliva, A.; Llabrés, M. Application of capability indices and control charts in the analytical method control strategy. J. Sep. Sci. 2017, 40, 3046–3053. [Google Scholar] [CrossRef] [PubMed]
- Box, G.P.; Tiao, G. Bayesian Inference in Statistical Analysis; Addison-Wesley Publishing Company Inc.: Boston, MA, USA, 1973. [Google Scholar]
- Montgomery, D. Introduction to Statistical Quality Control, 6th ed.; Wiley: New York, NY, USA, 2008. [Google Scholar]
- Bates, D.M.; Bolker, B.; Walker, S. Fitting linear mixed-effects models using lme4. J. Stat. Softw. 2015, 67, 1. [Google Scholar] [CrossRef]
- R Core Team, R: A Language and Environment for Statistical Computing. R Foundation for Statistical Computing, Vienna, Austria, 2018. Available online: https://www.R-project.org (accessed on 10 March 2021).
- Oliva, A.; Llabrés, M.; Fariña, J.B. Capability measurement of size-exclusion chromatography with a light-scattering detection method in a stability study of bevacizumab using the process capability indices. J. Chromatogr. A 2014, 1353, 89–98. [Google Scholar] [CrossRef] [PubMed]


| Batch | 1 | 2 | 3 | 4 | 5 | 6 | 7 | |
| Sample Size | 10 | 23 | 4 | 4 | 4 | 6 | 4 | |
| Mw (kDa) | Mean | 148.98 | 148.64 | 149.03 | 147.43 | 148.55 | 149.70 | 149.20 |
| SD | 1.151 | 1.014 | 0.299 | 0.512 | 0.947 | 2.070 | 0.294 | |
| Dimer (%) | Mean | 1.532 | 1.544 | 1.545 | 1.562 | 1.587 | 1.527 | 1.478 |
| SD | 0.178 | 0.132 | 0.050 | 0.198 | 0.130 | 0.125 | 0.034 | |
| CQA | Parameter | Estimation | Lower Bound | Upper Bound |
|---|---|---|---|---|
| Mw (kDa) | 0.403 | 0.000 | 1.010 | |
| 1.128 | 0.936 | 1.416 | ||
| 148.81 | 148.32 | 149.29 | ||
| Dimer (%) | 0.000 | 0.000 | 0.048 | |
| 0.1330 | 0.1106 | 0.1609 | ||
| 1.539 | 1.504 | 1.5750 |
| CQA | QR Bounds | Lower | Estimate | Upper |
|---|---|---|---|---|
| Mw (kDa) | Lower | 144.33 | 145.21 | 146.13 |
| Upper | 151.50 | 152.40 | 153.27 | |
| Dimer (%) | Lower | 1.055 | 1.140 | 1.225 |
| Upper | 1.854 | 1.938 | 2.026 |
| QR | |||
|---|---|---|---|
| Lower | Upper | ||
| 1.25 | 0.1 | 88.1 | 118.6 |
| 0.3 | 93.2 | 106.8 | |
| 0.5 | 94.7 | 105.3 | |
| 2.50 | 0.1 | 76.3 | 123.7 |
| 0.3 | 86.3 | 113.7 | |
| 0.5 | 89.4 | 110.6 | |
| 5.00 | 0.1 | 52.6 | 147.4 |
| 0.3 | 72.6 | 127.4 | |
| 0.5 | 78.8 | 121.2 | |
Publisher’s Note: MDPI stays neutral with regard to jurisdictional claims in published maps and institutional affiliations. |
© 2021 by the authors. Licensee MDPI, Basel, Switzerland. This article is an open access article distributed under the terms and conditions of the Creative Commons Attribution (CC BY) license (https://creativecommons.org/licenses/by/4.0/).
Share and Cite
Oliva, A.; Llabrés, M. New Quality-Range-Setting Method Based on Between- and Within-Batch Variability for Biosimilarity Assessment. Pharmaceuticals 2021, 14, 527. https://doi.org/10.3390/ph14060527
Oliva A, Llabrés M. New Quality-Range-Setting Method Based on Between- and Within-Batch Variability for Biosimilarity Assessment. Pharmaceuticals. 2021; 14(6):527. https://doi.org/10.3390/ph14060527
Chicago/Turabian StyleOliva, Alexis, and Matías Llabrés. 2021. "New Quality-Range-Setting Method Based on Between- and Within-Batch Variability for Biosimilarity Assessment" Pharmaceuticals 14, no. 6: 527. https://doi.org/10.3390/ph14060527
APA StyleOliva, A., & Llabrés, M. (2021). New Quality-Range-Setting Method Based on Between- and Within-Batch Variability for Biosimilarity Assessment. Pharmaceuticals, 14(6), 527. https://doi.org/10.3390/ph14060527

