Abstract
The human immunodeficiency virus (HIV) is the primary cause of acquired immune deficiency syndrome (AIDS), one of the deadliest pandemic diseases. Various mechanisms and procedures have been pursued to synthesise several anti-HIV agents, but due to the severe side effects and multidrug resistance spawning from the treatment of HIV/AIDS using highly active retroviral therapy (HAART), it has become imperative to design and synthesise novel anti-HIV agents. Literature has shown that natural sources, particularly the plant kingdom, can release important metabolites that have several biological, mechanistic and structural representations similar to chemically synthesised compounds. Certainly, compounds from natural and ethnomedicinal sources have proven to be effective in the management of HIV/AIDS with low toxicity, fewer side effects and affordability. From plants, fungi and bacteria, coumarin can be obtained, which is a secondary metabolite and is well known for its actions in different stages of the HIV replication cycle: protease, integrase and reverse transcriptase (RT) inhibition, cell membrane fusion and viral host attachment. These, among other reasons, are why coumarin moieties will be the basis of a good building block for the development of potent anti-HIV agents. This review aims to outline the synthetic pathways, structure–activity relationship (SAR) and POM analyses of coumarin hybrids with anti-HIV activity, detailing articles published between 2000 and 2023.
1. Introduction
For over thirty years, human immunodeficiency virus type 1 (HIV-1) infection has been a major global health problem, affecting more than 37 million people worldwide [1]. Acquired immunodeficiency syndrome (AIDS), which is a result of the human immunodeficiency virus (HIV), provokes fatal infections and numerous related diseases. The human immunodeficiency virus is characterised by the destruction of the immune system, which leads to improper functioning of the human immune system, the latter being characterised by the ability to fight any incoming infection and resulting in the well-being of the body [2]. HIV is a lentivirus, otherwise known as a “slow” virus, which ultimately causes acquired immunodeficiency syndrome (HIV-1 and HIV-2). This is commonly known as acquired immunodeficiency syndrome (AIDS) [1,3]. According to the World Health Organisation (WHO), approximately 38 million people worldwide have been infected with HIV, and about 2 million new cases are diagnosed each year [4].
One of the well-known methods, Petra/Osiris/Molinspiration (POM) analysis, has been used frequently to create two-dimensional models to discover and suggest the kind of pharmacophore site that influences the biological activity with a change in the chemical. POM can predict molecule biological activities and depict the relationships between steric/electrostatic properties and biological activity as pharmacophore sites [5].
2. Bibliometric Analysis
There are only a few linked publications available in the WOS database about the keywords we used for the search. Keywords such as “coumarin”, “coumarin-hybrids”, “HIV”, and “SAR” were used to search for the topic search criteria on 3 September 2023, and 1302 research items were discovered from 2000 to 2023.
Recently, the development of various anti-HIV therapies has changed AIDS infection from a deadly disease to a more manageable yet chronic ailment. Such agents include nucleoside and nucleotide reverse transcriptase inhibitors, non-nucleoside reverse transcriptase inhibitors, protease inhibitors, fusion inhibitors, and co-receptor inhibitors. The treatment, however, of HIV infection has experienced many challenges, ranging from the severe side effects experienced to the mutation of the virus; these two have been lingering problems in the therapy of the disease, making the development of novel anti-HIV drugs necessary [6]. In response to the issue, scientists have developed novel anti-HIV agents that can effectively address the resistance and consequent toxicity problems reported by some anti-HIV agents currently used to treat HIV/AIDS. Due to this, “highly active antiretroviral therapy,” also known by the acronym (HAART), has become a new treatment [5,7], which has yielded a positive response from patients as reported by [8,9]. Antiretroviral therapy (ART) or combined antiretroviral therapy (cART) are other terms for this treatment regimen. The co-administration of different drugs that inhibit viral replication by distinct methods, so that the propagation of a virus resistant to a single agent is stopped by the action of the other agents in the combined regimen, is a major component of HAART. This therapy, HAART” is a type of medication that involves the simultaneous usage and administration of both non-nucleoside HIV-1 RT inhibitors and some protease inhibitors to increase the drug’s efficacy as reported by Olomola et al. [10]. Reports have shown that typical tenofovir–emtricitabine combination (nucleoside reverse transcriptase inhibitors) in combination with integrase strand transfer inhibitors or non-nucleoside reverse transcriptase inhibitors is used as a standard treatment for treatment-naive patients [11,12,13]. Another and most important goal of the HAART regimen is to reduce HIV transmission to others. In certain studies, the HAART regimen has been shown to lower the risk of sexual transmission to partners to practically zero [14]. Mother-to-child transmission during breastfeeding and pregnancy has also been drastically reduced [15,16,17]. Although highly active antiretroviral therapy (HAART) enables long-term control of virus replication in many individuals, it is not without unintended side effects, some of which are already emerging in older populations receiving long-term treatment [18].
Natural products have been used to treat viral illnesses for thousands of years and are increasingly important in medication research and development [19]. The exploration of medicinal plants and natural products that might yield affordable and effective therapeutic agents in the management of HIV/AIDS is a response to the declaration by the World Health Organisation (WHO) in 1989 [20,21]. Natural coumarins (Figure 1) are classified into several types depending on their chemical diversity and complexity: simple coumarins (1), furanocoumarins (2), pyranocoumarins (3), biscoumarins (4), and additional coumarins such as phenylcoumarins (5) [22,23,24]. Coumarins 1 (2H-chromen-2-one or 2H-1-benzopyran-2-one), secondary metabolites that belong to the family of benzopyrones, are found in a variety of plant parts, such as roots, seeds, nuts, flowers, and fruit [25,26].
Figure 1.
Structure of different coumarins.
It has been established that compounds possessing a coumarin moiety have exhibited a variety of intriguing and exciting activities due to their varying pharmacological properties, such as anti-bacterial activity [4,24,25], anti-cancer [4,25,26], anti-coagulant [4,27], anti-oxidant [28], anti-fungal [4,29,30,31], anti-tubercular [4,32,33] and most importantly for this research, anti-viral and anti-HIV activity [4,34,35].
Coumarin possesses the ability to perform several important interactions with diverse proteins, enzymes and receptors, ranging from hydrogen bonding, Van der Waals forces, chelation activities, hydrophobic interaction, and many more, which makes coumarin and its derivatives have a vast application as inhibitors of HIV protease: an integrase (IN) inhibitor, an inhibitor of viral DNA replication, a viral protein regulator (VPR) and also as an inhibitor of reverse transcriptase (RT). The ability to exert and manifest multiple anti-HIV activities as well as having the potential to overcome persistent resistance is a prominent property of coumarin and its derivatives [4,34]. Hybridization of molecules involves the combination of more than one pharmacophore to produce one hybrid compound that could inhibit HIV by single or multiple mechanisms and counterbalance the side effects that manifest because of the usage of a particular compound, or different hybrids that provide a novel anti-HIV activity with a much better result [4,36].
Many studies have shown that coumarin and the analogues of coumarin have exhibited a range of antiviral characteristics and more specifically act as HIV-1 inhibitors [2,4,5,34,35]. To the best of our knowledge, there has never been a comprehensive review that has detailed the coumarin hybrids with anti-HIV potential. This review aims to provide a comprehensive analysis of coumarin hybrids, focusing on their synthesis, biological activities, and structure–activity relationship (SAR). Specifically, it will explore their potential as anti-HIV agents, with a particular emphasis on articles published between 2000 and 2023.
3. Coumarin Hybrids
In 2004, Lan Xie and colleagues [36] conducted a study in which they synthesised hydroxymethyl (3′R,4′R)-3′,4′-di-O-(S)-camphanoyl-(+)-cis-khellactone (DCK) derivatives. The aim was to enhance the oral bioavailability and water solubility of dicamphanoyl khelactone analogues [37] while evaluating their potential to inhibit HIV-1 replication in CD4 cells. These DCK derivatives belong to the category of pyranocoumarins, which are considered anti-HIV inhibitors and can be classified into four distinct structural classes.
The synthesis process for the analogues began with the preparation of methylated DCKs from methylated 7-hydroxycoumarin, as reported [38,39]. The methylated DCKs (6, 7 and 8) were treated with N-bromosuccinimide to yield 3-bromomethyl (6a and 7a) and 6-bromomethyl (8a) substituted DCKs with a product yield range of 67–77%. Depending on the quantity of bromosuccinimide used, small amounts of 3- or 6-dibromoethyl compounds were also formed. By employing sodium acetate, the bromomethyl-DCK derivatives (6a, 7a and 8a) were reacted with acetic anhydride to generate the corresponding acetoxymethyl-DCK derivatives (6b, 7b and 8b) with 79–84% as the product yield. Subsequent acidic hydrolysis of these compounds produced the corresponding hydroxymethyl-DCK derivatives (6c, 7c and 8c) and the yield was found to be above 85%. Further treatment of 6a and 8a with hexanemethylenetetramine, followed by hydrolysis, led to the formation of aminomethyl DCK (6d and 8d). Additionally, the treatment of compound 6a with diethylamine resulted in the production of 3-dimethylaminomethyl DCK (6e) with 71% yield of product [36], as illustrated in Scheme 1.
Scheme 1.
Synthetic pathways for the synthesis of hydroxymethyl DCK analogues. Conditions and reagents: (i) N-bromosuccinimide in benzene, reflux; (ii) NaOAc, acetic anhydride, reflux; (iii) reflux, HCl (2N) in EtOH; (iv) diethylamine in toluene, reflux; (v) hexanemethylenetetramine in CHCl3, reflux; (vi) EtOH, HCl (2N), 100 °C.
The anti-HIV activity of all the newly synthesised analogues was tested using 4-methyl-DCK, DCK and AZT (zidovudine/azidothymidine) as the reference drugs. Based on the biological studies, the EC50 values of compounds 7c and 6c (0.004 and 0.029 µM) were the most active compounds when compared to AZT and DCK standards. Compounds 6b, 7b and 6a showed EC50 values better than those of AZT but similar to the values of DCK. The excellent potency exhibited by compound 7a with 0.00011 µM, as the EC50 value is worth noting, was more potent than the 4-methyl-DCK standard. Moderate anti-viral activity was observed in the compounds 8a, 8c and 8d but even then, they exhibited better potency than AZT, although not as potent as DCK and the 4-methyl-DCK standards.
The structure–activity relationship (SAR) of the synthesised compounds indicates that bromomethyl, hydroxymethyl, or acetoxymethyl groups at the 3-position show better or similar activity than seen in compound 7a. A negative effect was seen in compounds that possess amino moieties, as seen in compounds 6d and 6e, which is an indication that the anti-HIV activity is not favoured by a diethylaminomethyl or aminomethyl group at the 3-position. The SAR can be generalised by saying favourability in anti-HIV activity is better in the 3-position of DCK but not the 6-position (Figure 2).
Figure 2.
SAR representation of hydroxymethyl DCK analogues.
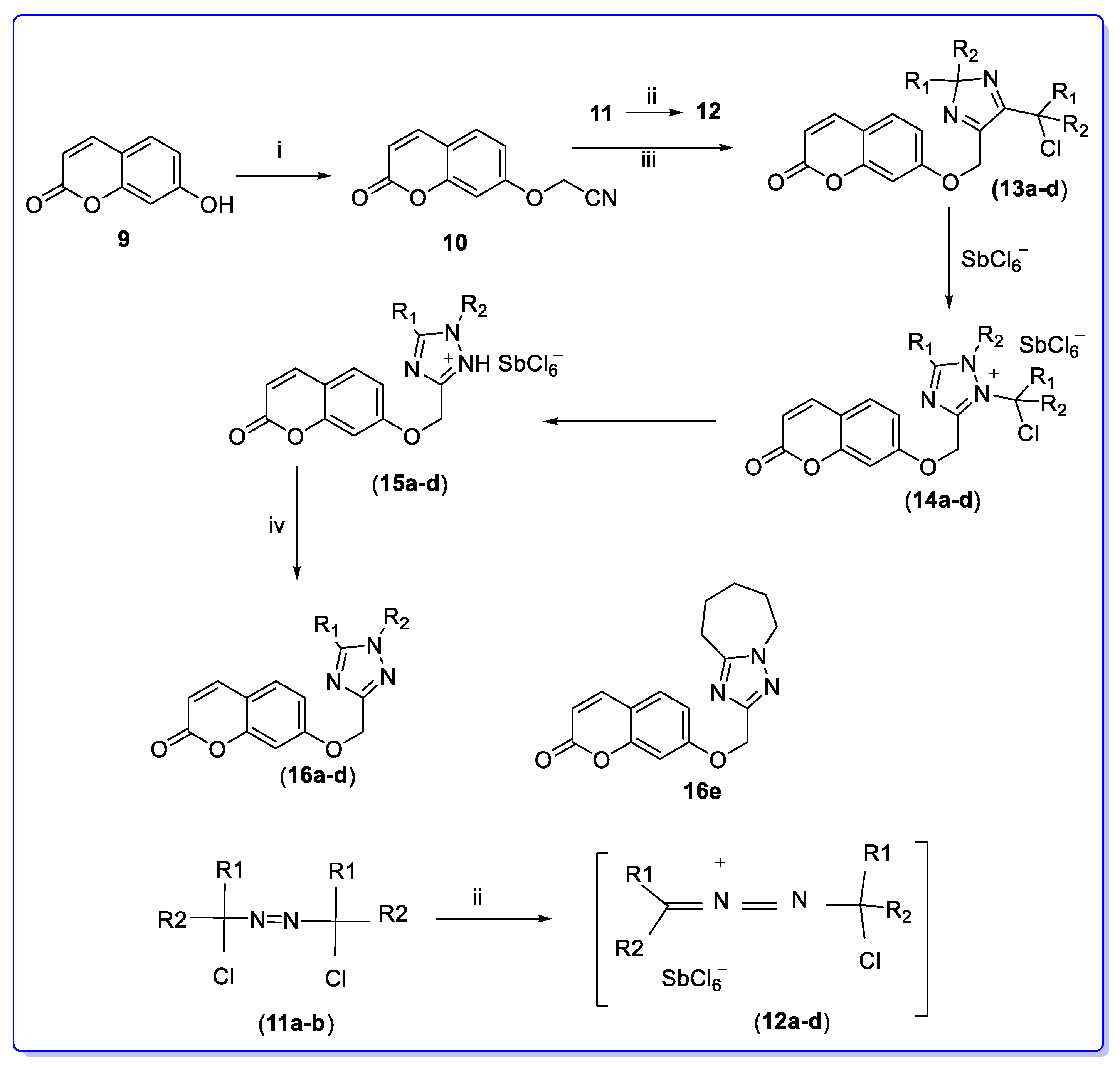
Al-Soud et al. [39] synthesised a new hybrid of 1H-1,2,4-triazolylcoumarin due to the enormous biological activities exhibited by 1,2,4-triazole [40] and coumarin [41]. The synthetic pathway for the synthesis of triazolylcoumarin hybrids is shown in Scheme 2, starting with 7-hydroxycoumarin 9. 2-Chloroacetontrile was treated with 7-hydroxycoumarin 9 to prepare 2-(2H-benzopyran-7-yloxy)acetonitrile 10 with 82% as the reaction yield, which was used as the precursor to synthesise 1,2,4-triazole in DMF containing K2CO3. On treatment with SbCl5 at −60 °C, intermediate 12 was afforded from α,α′-dichloroazo compounds 11. The colour of the mixture changes from orange to brown at around −30 °C, an indication that a cycloaddition reaction has occurred between nitrile 10 and cumulenes 12a–e to generate inseparable 1,2,4-triazolium hexachloroantimonates 13a–e. A spontaneous rearrangement occurred from compounds 13a–e to the intermediate 14a–e with an increase in temperature above −30 °C. The coumarin salts 15a–e were produced from 14a-e via 1,2-migration and the subsequent elimination of the CMe2Cl group. In the presence of NaHCO3 and aqueous NH3, an in situ deprotonation of coumarin salts 15a–e afforded the desired compound 16a–e with a percentage yield of 72–85% [39].
Scheme 2.
Synthetic route for the synthesis of 1,2,4-triazolylcoumarin hybrid. Reagents and conditions: (i) ClCH2CN; (ii) CH2Cl2, SbCl5, −60 °C; (iii) −60 °C to 23 °C, CH2Cl2; (iv) NH3, NaHCO3, MeCN, 2 h, 0 °C. 11a–16a R1 = R2 = CH3; b R1 = R2 = Et; c R1 = R2 = Et; d R1 = CH3, R2 = i-Pr, e R1 = R2 = (CH2)5.
To further explore the potentiality of coumarin with 1,2,4 triazole, the scientists also synthesised another analogue following the same route as depicted in their previous work shown in Scheme 2 above. However, in this case, the research was extended on coumarin derivatives with 1,2,4-triazoles by adding a cyanomethyl group in position 7 of the backbone, so the resulting starting material was now (2-(5-methoxy-4-methyl-2H-benzopyran-7-yloxy) acetonitrile) 16. Scheme 3 illustrates the cycloaddition reaction that occurs between cumulenes 12a–e and compound 2-(5-methoxy-4-methyl-2H-benzopyran-7-yloxy) acetonitrile. Compounds 17a and b were synthesised in 85 and 75% yield.
Scheme 3.
Synthetic pathway for the synthesis of novel hybrid 17. Reagents and conditions: (i) NH3, NaHCO3, MeCN, 2 h, 0 °C.
The anti-HIV activity of the newly synthesised compounds was carried out on compounds 10, 16a–e and 17b using the HIV-2 ROD strain and the IIIB strain for HIV-1. The inhibition was monitored in MT-4 cells by virus-induced cytopathy (in vitro). A very weak inhibitory activity was noticed in all the tested compounds. Both HIV-2 and HIV-1 replication were not inhibited by the compounds. A promising activity was noticed in compound 17b with IC50 value >0.17 µM, selectivity index of <1.0 and CC50 of 0.17 µg/mol. The suggestion obtained from the SAR studies is that a higher anti-HIV activity was exteriorized by coumarin hybrids possessing carbon–coumarin linkage than the corresponding series of hybrids possessing oxygen linkage (Figure 3).
Figure 3.
SAR representation of 1H-1,2,4-triazolycoumarin hybrids.
Still on the hunt for a novel and potent anti-HIV drug, Trivedi et al. synthesised new coumarinyl chalcone analogues from two closely structurally related coumarins: 4-hydroxy-6-chloro-7-methylcoumarin and 4-hydroxy-8-isopropyl-5-methylcoumarin. The duo were their respective chalcones. The synthetic procedure is depicted in Scheme 4. The starting materials used for this synthesis are malonic acid 19 and phenol 18. In the presence of anhydrous ZnCl2, Lewis acid and phosphorus oxychloride (POCl3), substituted coumarins 20 are prepared by the condensation of appropriately substituted malonic acid 19 and phenol 18. The resulting substituted coumarin is acetylated using POCl3 and glacial acetic acid as acetylating agents. The reaction proceeds to completion with the reaction with piperidine and CHCl3 to produce the target compounds 23a–i and 24a–i with a percentage yield range of 69–79% [42].
Scheme 4.
A synthesis pathway for the synthesis of 23a–i and 24a–i. Reaction and condition; (i) POCl3, anhydrous ZnCl2, 70 °C; (ii) POCl3, glacial acetic acid; (iii) piperidine, CHCl3, 80 °C.
Using MT-4 cells, the antiviral activity screening of all the synthesised compounds was carried out against HIV-1 (IIIB) and HIV-2 (ROD) using zidovudine (AZT) as the reference drug for comparison purposes. Unfortunately, all the synthesised compounds exhibited no anti-HIV activity against all the viruses evaluated. Each activity showed a cut-off concentration of ≥5-fold lower than the cytotoxic concentration. The structure–activity relationship is presented in Figure 4.
Figure 4.
SAR presentation of new coumarinyl chalcone analogues 23a–i and 24a–i.
As a result of the mass interest garnered recently by thiourea as an interesting moiety for the design of novel and potent anti-HIV compounds, the hybridization of s-triazine derivatives, coumarin derivatives, and phenyl ethyl amine derivatives has been performed by Patel et al. to synthesise novel PETT (phenyl ethyl thiazolyl thiourea) analogues as possible novel HIV inhibitors. The synthesis of the novel PETT analogues (Scheme 5) was initiated by the condensation of 2,4,6-trichloro-1,3,5-s-triazine 25 with 4-hydroxycoumarin 26 in the presence of acetone and 10% NaHCO3 to yield compound 27 as an intermediate. The intermediate formed is then further condensed with 3,4-dimethoxy phenyl ethyl thiourea 28 to afford an important intermediate 29, which further undergoes substitution with various substituted phenyl thiourea/ureas (30a–o/31a–o) to produce the derivatives (32a–o) and (33a–o) of 3,4-dimethoxy phenyl ethyl-1,3,5-triazinyl thiourea with yield ranges of 53–79% and 50–75%, respectively [43].
Scheme 5.
A synthetic pathway for the synthesis of PETT analogues.
The MTT (4,5-dimethyl thiazol-2-yl)-2,5-diphenyl tetrazolium bromide) method for the screening of antiviral activity was used for the biological activity to determine the inhibition of replication of HIV. The anti-HIV screening of these derivatives shows no selectivity for HIV-1 and HIV-2. Compound 30h shows an EC50 value of >124 µM/g mL which indicates poor activity. A moderate activity against both HIV-1 and HIV-2 was noticed in compound 31k with a selectivity index of 3 for both HIV-1 and HIV-2. Compounds 31c, 31h and 31n with S.I of 9,3 and 11, respectively, against HIV-1 were also observed. So generally, both analogues exert poor potency and selectivity.
The structure–activity relationship (SAR) analysis (Figure 5) reveals that the poor activity of the synthesised analogue may be a result of the fact that the heterocyclic ring of the synthesised analogues contains a bulky triazine group. Overcrowding is also observed in the structure, which is a result of the ether linkage with the 4-hydroxycoumarin present, which disturbs the overall structure of the synthesised hybrids.
Figure 5.
SAR representation of PETT analogues.
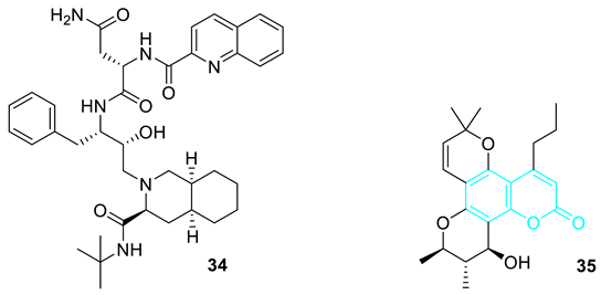
In the year 2008, Reddy et al. [44], on the basis of the anti-HIV activity exhibited by Saquinavir 34 as the first inhibitor of protease to inhibit both HIV-2 and HIV-1 proteases and also the anti-HIV potency of (+)-calanolide A 35, which is a pyranocoumarin derivative, prompted them to synthesise a new substituted N1-[1-benzyl-3-(3-tert-butylcarbamoyl-octahydroisoquinolin-2yl)-2-hydroxypropyl]-2-[(2-oxo-2H-chromene-3-carbonyl)amino] succinimide as a novel anti-HIV agent.

The synthesis (Scheme 6) began with the condensation of 2-(3-amino-2-hydroxy-4-phenyl-butyl) decahydroisoquinoline-3-carboxylic acid tert-butylamide 36 with N-benzyloxy carbonyl-L-asparagine 37 using triethylamine in dry hydrofuran for 24 h at room temperature and dicyclohexylcarbodiimide (DCC). The reaction was then deprotected with 5% Pd-C and hydrogen to prepare 2-amino-N1-[l-benzyl-3-(l-tert-butylcarbamoyloctahydroisoquinolin-2-yl)2-hydroxypropyl] succinamide 38. Using the appropriate coumarin-3-carboxylic acid (39a–h), compound 38 was then condensed in the presence of triethylamine for 24 h at room temperature in dry hydrofuran and dicyclohexylcarbodiimide (DCC) to afford the product N1-[1-benzyl-3-(3-tert-butylcarbamoyl-octahydroisoquinolin-2yl)-2-hydroxy- propyl]-2-[(2-oxo-2H-chromene-3-carbonyl)amino] succinimide 40.
Scheme 6.
Synthetic pathway for the synthesis of hybrid 40a–h. Reagents and conditions: (i) THF, DCC, TEA, 24 h, 20–25 °C, N2; (ii) EtOAc, H2, 5% Pd/C, 20–25 °C, 48 h; (iii) THF, DCC, TEA, 20–25 °C, 24 h, N2.
MT-4 cells were used to monitor the inhibition of the induced cytopathic effect, and the activity was estimated by the MTT method. Using azidothymidine (AZT) as the reference drug, the synthesised compounds 40a–h were tested for anti-HIV activity against HIV-1 and HIV-2. Compound 40g exhibited greater activity against both HIV-1 and HIV-2 infections, but compound 40c showcased poor anti-HIV activity when tested against both HIV-1 and HIV-2. Moderate activity against both HIV-1 and HIV-2 was manifested by compounds 40d and 40f, while compounds 40e and 40h showed no activity against HIV-1 and HIV-2.
In summary, the structure–activity relationship (SAR) for compounds 40b, 40d, 40f, and 40g demonstrate that appropriate substitutions at positions 6 and 8 of the coumarin ring are necessary for the anti-HIV activity of the synthesized compounds.
Compound 40g shows that the chlorine atom at position 8 of the coumarin ring enhanced the anti-HIV activity of the hybrids (Figure 6).
Figure 6.
SAR representation of hybrids 40a–h.
In the year 2008, Al-Soud and co-workers [45] synthesised coumarin hybrids on the basis of the anti-HIV activity exhibited by coumarin derivatives and also the anti-HIV activity displayed by capravirine 41 with an EC50 value of 0.0014 µg mL−1, CC50 value of 11 µg mL−1 and SI (selectivity index) value of 7857, which is a compound containing an imidazole moiety [45,46,47]. The standard drug used for comparison in this research is efavirenz which has an EC50 of 0.003 and CC50 of 40 µg mL−1 respectively.

The starting material for the synthesis was compound 42. The two 4-bromomethylcoumarins 43 and 44 interacted with 42 in dimethyl formamide (DMF) to give the corresponding derivatives 45 and 46 with 43% and 46% yields, respectively. Following purification, Scheme 7 illustrates the synthesis of compounds 48 and 49 by treating 47 in DMF with 43 and 44, with yields of 70 and 78%, respectively.
Scheme 7.
A synthetic pathway for the synthesis of 45, 46, 48 and 49.
Al-Soud et al. [45] further synthesised another coumarin derivative that contains benzothiazole and benzoxazole moieties (Scheme 8). The derivatives of benzoxazole 50 gave the compound 52 with 95% yield in the presence of NaH in DMF. 2-Chloroacetylchloride reacted with compound 51 to afford compound 53 (67% yield), which was treated with potassium phthalimide in the presence of K2CO3 to produce compound 54 (90% yield). Treatment of the resulting mixture with hydrazine hydrate converted it to the corresponding amine 55 (82% yield). Coumarin sulfonyl chloride 56 was used to sulfonate compound 55 in the presence of triethylamine to give the sulphonamide derivative 57 as the final product with 71% yield.
Scheme 8.
Synthesis of compound 57. Reagents: (i) chloroacetyl chloride; (ii) K2CO3, potassium phthalimide; (iii) hydrazine hydrate.
Still on the work of Al-Soud, Scheme 9 depicts the synthesis of imidazole analogues 59 and 60. In the presence of benzofuran, the imidazole derivatives 59 and 60 with a yield of 63 and 48%, respectively were synthesised by the treatment of 42 and 47 with 58 in the presence of NaH in DMF.
Scheme 9.
Synthesis of compounds 59 and 60.
Using in vitro anti-HIV assay, compounds 45, 46, 48, 49, 59 and 60 were screened against both HIV-1 (strain IIIB) and HIV-2 (strain ROD) in MT-4 (human T-lymphocyte) cells. The result shows no inhibition at CC50 higher than EC50 with the standard anti-HIV agents capravirine and efavirenz (EFV). However excellent activity when compared to other compounds was displayed by compounds 48 and 49. HIV-1 inhibition was shown by compound 48 with an EC50 value of 1.22 µg/mL and an EC50 value of 0.51 µg/mL for HIV-2 inhibition. For compound 49, HIV-1 inhibition was noted as possessing an EC50 value of 1.45 µg/mL and HIV-2 inhibition with an EC50 value of 1.78 µg/mL [45].
Based on the anti-HIV activity exhibited by s-triazine (probably as a result of the possession of the characteristics of Het–NH–Ph–U motif derivatives [48], 2-coumarin-4-yloxy-4,6-substituted-s-triazine derivatives were synthesised and their in vitro anti-HIV activities were tested, as reported by [49].
As shown in Scheme 10, 2,4,6-trichloro-1,3,5-s-triazine 61 was condensed with 4-hydroxycoumarin 26 to afford an intermediate 62 (85% yield). In the presence of NaHCO3, the intermediate 62 reacted with 3,4-dimethoxyphenylethylamine 63 to form compound 64 (72% yield). To prepare the novel 3,4-dimethoxyphenylethyl-1,3,5-triazinyl amine derivatives 67a–m with a percentage yield range of 56–74% and 68a–m with a percentage yield of 55–75%, variously substituted phenyl urea/thiourea compounds 65a–m and 66a–m were reacted with intermediate 64 in the presence of NaHCO3 in dioxane.
Scheme 10.
Synthetic pathway for hybrids 67a–m and 68a–m. Reagents and conditions: (i) 10% NaHCO3/acetone (ii) acetone/10% NaHCO3 (iii) 10% NaHCO3/dioxane.
Another synthetic pathway (Scheme 11) showed the replacement of two chlorine atoms on intermediate 62, where intermediate 62 was reacted with glycine ethyl ester hydrochloride 69 to afford an important intermediate 70 (60% yield). On further treatment of 70 with various aryl ureas, new compounds 71a–m were formed with the yield range of 54–69%, and several aryl amines afforded 72a–m with a yield range of 56–67%.
Scheme 11.
Synthesis of compounds 71a–m and 72a–m. Reagents and conditions: (i) 10% NaHCO3/acetone (ii) acetone/10% NaHCO3 (iii) 10% NaHCO3/dioxane.
To determine the ability of the synthesised compounds to inhibit the replication of HIV-1 (IIIB) and HIV-2, MT-4 cells were used for the screening utilising the in vitro screening method. For the purpose of comparison, nevirapine was used as a standard reference drug. To further test the efficacy of the synthesised compounds, the compounds that proved to be potent were also tested against HIV-RT double mutant strains (K103N and Y181C) using efavirenz as the standard reference drug. Compounds 68d and 68l were found to be active against HIV-1 with IC50 values of 8.33 µg/mL and 10 µg/mL, respectively. For the modified analogues, compound 68d, with an IC50 value of 1.07 µg/mL and SI of 4.3, was found to be the most potent of the synthesised compounds. A significant inhibition potential was noticed in compounds 66g and 66j with IC50 values of 6.86 µg/mL and 7.16 µg/mL, respectively, and a common SI of 7.
The structure–activity relationship (SAR) indicates that compound 68d, with a methyl group at position 4 (4-CH3), and compound 68c, which possesses an ethoxy group at position 4 (4-OEt) displayed selective inhibition of HIV-1. The SAR studies on the modified compounds (65 and 66a–m) also deduced that compounds 66d and 66g, which have para-substituted chloro and methyl groups, exhibited a selective inhibition of HIV-1. The highest potency against HIV-1 was observed in compound 66d with a para-substituted methyl group (4-CH3). As part of the research programme embarked on by Olomola et al. [10] for the design, synthesis and evaluation of coumarin derivatives, a group of coumarin hybrids was designed that contain both triazolothymidine and coumarin moieties as potential dual-action RT and HIV-1 PR inhibitors.
The synthesis started with the production of the corresponding adducts 75a–e (Scheme 12), which were afforded by the DABCO (1,4-diazabicyclo[2.2.2]octane/triethylenediamine) catalysed Baylis–Hillman reaction of t-butyl acrylate 74 and the salicylaldehyde 73a–e. Compounds 76a–e 3-(chloromethyl)coumarins were formed from the cyclisation of 75a–e with HCl-AcOH. Propargylamine 77 further reacted with 76a–e in THF to give the corresponding 78a–e in a yield range of 52–80%. In the presence of copper (II) sulphate and ascorbic acid, the cycloaddition of 78a–e with azidothymidine 79 catalysed by Cu(I), resulted in the analogues 80a–e as the final hybrid with the yield range of 64–75% [50].
Scheme 12.
Synthesis of AZT-coumarin derivatives 80a–e. Reagents and conditions (i) CHCl3, DABCO, rt; (ii) AcOH, HCl, reflux; (iii) THF, propargylamine; (iv) Cu2SO4.5H2O, C6H7NaO6 (sodium ascorbate), H2O-THF.
To screen the anti-HIV activity of the synthesised compounds, commercially available HIV-1 RT and HIV-1 PR kits were utilised. Promising anti-HIV activity against HIV-1 PR was apparent on the synthesised analogues with an IC50 value range of 21–29 µM which is as much as two or three times higher than the IC50 value of ritonavir with an IC50 value of 9.85 µM. When compared with the IC50 value of AZT 73, compounds 80a and 80b show comparable inhibitory activity.
The structure–activity relationship (SAR) reveals that the unsubstituted analogue (80a) and the analogue (80b), which contain a bromine atom at the C-6 position of coumarin, are essential for the anti-HIV activity. However, a significant decrease in activity is observed in the compound that contains a chlorine atom at the C-6 position and an alkoxy group at the C-8 position of coumarin (Figure 7).
Figure 7.
SAR representation of hybrids 80a–e.
Interestingly, in their quest to design and synthesise a potent compound with HIV-1 protease inhibition potential, Olomola et al. [10] further synthesised a new series of coumarin derivatives in the form of N-benzylated amido group derivatives 85a–e. The synthesis of the modified analogues 85a–e is illustrated in Scheme 13. The hybrids of 80a–e and 85a–e possess a common intermediate, 76a–e. To form the secondary amine 82a–e, the intermediate 76a–e was reacted with benzylamine 81. The corresponding chloroacetamide 83a–e (78–98% yield) was afforded by the acylation of 82a–e with chloroacetyl chloride, and subsequently, in THF, the resulting compound was reacted with propargylamine to give the alkynylated product 84a–e (79–86% yield). Finally, with azidothymidine (AZT) 79, compounds 84a–e underwent cycloaddition in the presence of copper (II) sulphate and ascorbic acid to afford the hybrid 85a–e with an isolated yield range of 70–80%.
Scheme 13.
Synthetic pathways for the synthesis of coumarin–AZT hybrids 85a–e. Reagents and condition: (i) CHCl3, DABCO, rt; (ii) AcOH, HCl, reflux.
Under a variety of conditions, the hybrids 85a–e were screened for HIV-1 RT and HIV-1 PR inhibition. Compounds 85a–e showed an inhibition potential of up to 99% of HIV-1 RT. The compounds also showed HIV-1 PR inhibition, but not like that of the corresponding 80a–e. They concluded that all the newly synthesised analogues 85a–e exhibited a better IC50 value than azidothymidine 79. The most active compounds against HIV-1 PR and HIV-1 RT were determined to be compounds 85a and 85b. From the anti-HIV result, the structure–activity relationship (SAR) revealed that the introduction of –OMe and –OEt (alkoxy groups) at the C-8 position of the coumarin will enhance the activity (Figure 8).
Figure 8.
SAR representation of hybrids 85a–e.
In 2018, new diazocoumarin derivatives were designed and synthesised by Livani and co-workers to study the anti-HIV activity (integrase inhibition) of the synthesised analogues [51]. The anti-HIV activity evidenced in the bis-azo compound and coumarin scaffold was the reason for the hybridization, and so the 5-(halo-substituted) benzylthio-1,3,4-oxadiazole moiety and coumarin core were fused together to form the newly designed compound. Using ethanol and 4-aminobenzoic acid 86, ethyl aminobenzoate 87 (74% yield) was first prepared via Fischer esterification using sulphuric acid as a catalyst. In absolute ethanol and excess hydrazine hydrate under reflux, ethyl 4-aminobenzoate 87 was converted to 4-aminobenzohydrazide 88 with a yield of 82%. In the presence of alcoholic potash and carbon disulfide, the mercaptho-1,3,4-oxadiazole ring 89 was closed on the carbohydrazide intermediate. In the presence of 10% NaOH as a base and methanol as a solvent, an S-alkylation or benzylation reaction was performed with alkyl or substituted benzyl halides to afford 90a–h derivatives with a product yield range of 55–87%. In 10% sodium nitrite and 6M HCl, the diazonium salts of compound 91a–h were prepared. Through the coupling reaction of 4-hydroxycoumarin 92 with the diazonium salts, the final derivatives 93a–h were obtained in the range of 58–81% product yield (Scheme 14).
Scheme 14.
Synthetic pathways for the synthesis of diazocoumarin derivatives. Reagents and condition: (i) H2SO4, ethanol, reflux, 24 h (ii) NH2-NH2.OH, ethanol (6 eq.), reflux, 96 h (iii) CS2, ethanol, KOH, reflux, 4h (iv) 10% aq. NaOH, methanol, substituted aryl/alkyl halides, r.t (v) 10% sodium nitrite, 6 M HCl, 0–5 °C (vi) 10% aq. Na2CO3, stir, 0–5 °C.
Via the single-cycle replication method, compounds 93a–h were assayed for anti-HIV activity, which was measured as the inhibition rate (%) of HIV-1 in P24 expression in the Hela cell culture. At 100 µM concentration, all compounds 93a–h showed anti-HIV activity in the range of 5–79%. Compound 93a, with an inhibition rate of 79%, and compound 87f, with cell viability of 52%, were superior to azidothymidine (AZT), with 58% viability. The results indicate that compound 87f with 4-chlorobenzyl possesses the best anti-HIV activity.
The structure–activity relationships (SAR) indicate that compound 87c tolerates propyl substitution reasonably well, which shows similar inhibition to that of compound 93e. Also, compound 93d shows that introducing an unsubstituted benzyl group leads to a drastic reduction in activity. So, it was concluded that compound 93f with a 4-chlorobenzyl group at C-5 shows the best anti-HIV activity (Figure 9).
Figure 9.
SAR representation of hybrids 93a–h.
Jesumoroti et al. [52] designed and synthesised a series of novel N′-(3-hydroxybenzoyl)-2-oxo-2H-chromene-3-carbohydrazide derivatives as potential HIV-1 integrase inhibitors by employing an approach called “scaffold-hopping”. The hybrids were produced by the combination of the coumarin moiety and hydrazide with the hope that 3-acyl-coumarin could mimic the diketo-acid moiety of raltegravir.
Adapting the Knoevenagel condensation reaction process, ethyl 2-oxo-2H-chromene-3-carboxylate analogues 89a–e were produced by synthesising the acid precursors 91a–e from the condensation of salicylic aldehyde 88a–e with diethyl malonate. Compounds 90a-e were formed by the process of alkaline hydrolysis using NaOH. To afford the key intermediates, compounds 90a–e were reacted with oxalyl chloride to form 91a–e. Using H2SO4, esterification of substituted salicylic acid 92a–d in methanol produced 2-hydroxybenzoate derivatives 93a–d which on further hydrazinolysis afforded substituted 2-hydroxy benzohydrazides 94a–d. Finally, in the presence of saturated Na2CO3, stirring 94a–d with 91a–e overnight produced 95a–t with a variable yield range of 38–83% (attributed to the substitution pattern on the two rings (Scheme 15).
Scheme 15.
Synthetic pathways for synthesis of coumarin-3-carbohydrazide derivatives. Reagents and conditions: (i) piperidine, diethyl malonate, ethanol, CH3COOH, 80 °C, 12 h (ii) ethanol, NaOH, reflux (iii) oxalyl chloride, reflux, 8 h. (iv) CH3OH, Conc. H2SO4, reflux, 24 h (v) 65% N2H4.H2O, 80–90 °C, overnight. (vi) Na2CO3, room temperature, overnight.
Chicoric acid was used as a standard in evaluating the HIV-1 IN inhibition of coumarin-3-carbohydrazide 98a–t in the nanomolar range. The result of the HIV-1 IN activity showed that both hybrids 98a and 98c have an inhibition ability (IC50 = 14 nM) comparable to that of standard chicoric acid (IC50 = 10 nM). Structure–activity relationship (SAR) analysis revealed that the highest HIV-1 IN inhibiting activity was observed in hybrids that contain bromo- or chloro-substituents on ring A of the coumarin moiety while also having only the OH group on the salicyl moiety (ring C). The introduction of the methoxy group into the system decreased the HIV-1 IN activity. So generally, SAR revealed that the introduction of the chloro-group at the C-5 position (R2) of the phenyl group and the general introduction of the halogen atom in the C-6 position (R1) of the coumarin moiety enhanced the activity (Figure 10).
Figure 10.
SAR representation of hybrids 98a–t.
To achieve multiple inhibitions of virally coded enzymatic functions, coumarin-based scaffolds were exploited to synthesise sixteen novel 4-hydroxy-2H,5H-pyrano (3,2-c) chromene-2,5-dione hybrids [53]. The theoretical binding affinity of all the synthesised hybrids was calculated via modelling studies on both RT-associated ribonuclease H (RNase H) and HIV-1 IN sites. The compounds were later subjected to a biological assay to determine RNase H inhibitors and dual HIV-1 IN inhibitor hybrids.
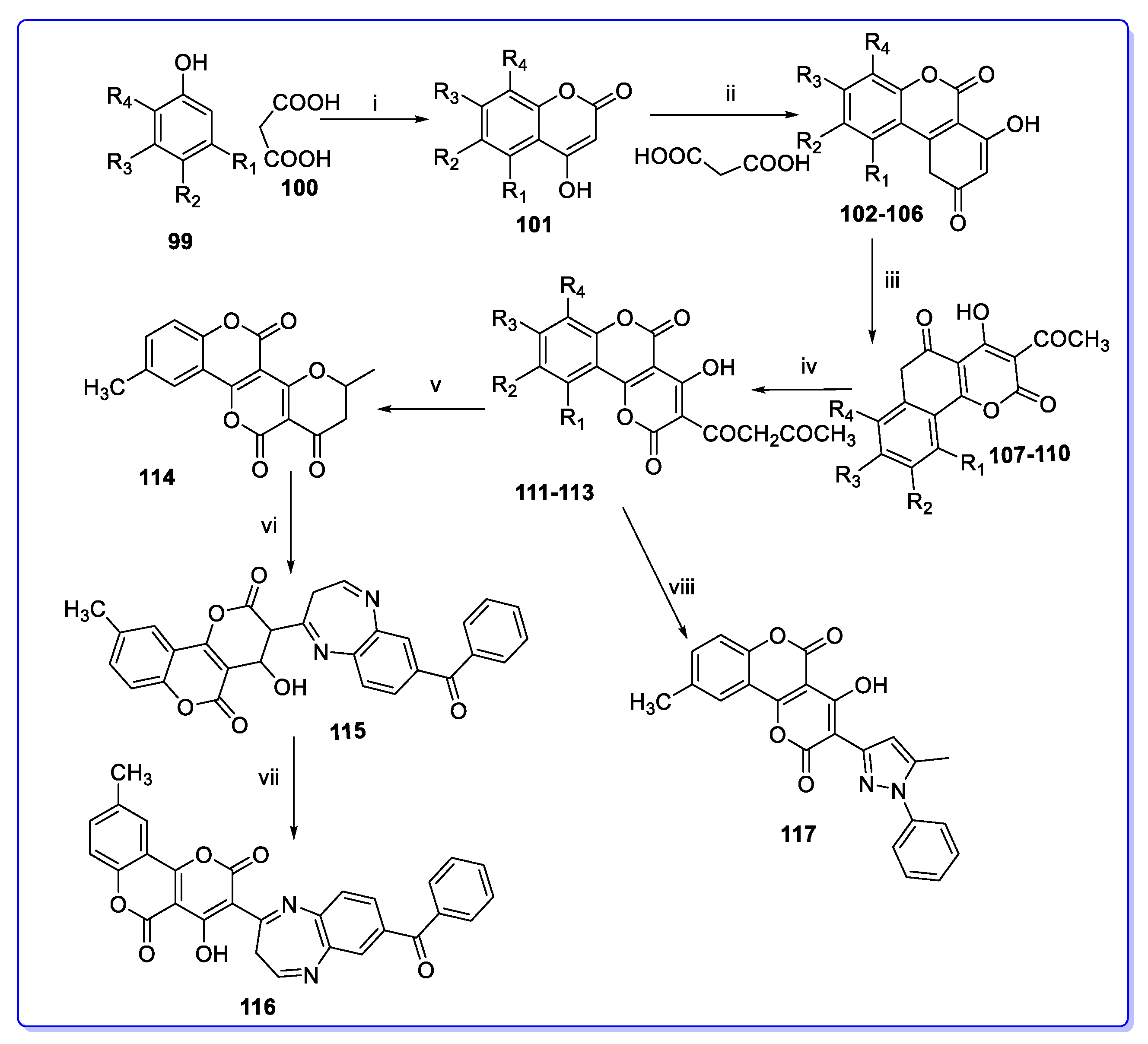
The reaction of malonic acid and phenol in the presence of phosphorus oxychloride and zinc chloride afforded the 4-hydroxycoumarin derivatives. The further treatment of these 4-hydroxycoumarin derivatives with zinc chloride, malonic acid and phosphorus oxychloride resulted in the production of 4-hydroxy-2-methylenepyrano [3,2-c] chromene-2,5-dione (102–106). Compounds (102–106) were further acylated to give various acetyl-substituted compounds (107–110). Compounds (107–110) were further reacted with sodium metal and ethyl acetate to afford 4-hydroxy-3-(3-oxobutanoyl) pyrano [3,2-c] chromene-2,5-dione (111–113). The acidic hydrolysis of compounds (111–113) afforded hybrid 114. Using phenyl hydrazine and 3,4-diaminobenzophenone, compounds (111–113) underwent cyclization to form 3-(7-benzoyl-3H-benzo [b] [1,4] diazepin-2-yl)-4-hydroxypyrano [3,2-c] chromene-2,5-dione 115 and 116 and 4-hydroxy-3-(5-methyl-1-phenyl-1H-pyrazol-3-yl) pyrano [3,2-c] chromene-2,5-dione 117, respectively, in good yield of 56–82% (Scheme 16).
Scheme 16.
Synthetic pathways for the synthesis of hybrids 116 and 117. Reagents and conditions: (i) POCl3, ZnCl2; (ii) POCl3, ZnCl2 (iii) gla CH3COOH, POCl3 (iv) ethylacetate, Na; (v) Ethanol, HCl (vi) 3,4-DABP (vii) POCl3, 1,2-dichloromethane, Pd-C/H2 (viii) Ph-NHNH2.
The molecular docking studies against the RNase H protein active site indicated that compounds 105, 103, 104, 101 and 99 have the best binding affinity against the protein. Important hydrophobic interactions with binding pocket residues were also observed in the active site of the protein. The most interesting derivative was compound 105 for its ability to inhibit both RNase H and HIV-1 IN in the low micromolar range. To maintain excellent potency against PR while obtaining RT inhibition, coumarin moieties were fused into HIV-1 protease inhibitors to produce a more potent hybrid according to “portmanteau inhibitors” or designed multifunctional ligands (DMLs). Zhu and co-workers designed various coumarin hybrids with different linkers that exhibited weak inhibition of RT and excellent potency against PR [54].
The synthetic procedures began with the production of amine derivatives (122–125) which were afforded from commercially available (2S, 3S)1,2-epoxy-3-(boc-amino)-4-phenylbutane as shown in Scheme 17a. Scheme 17b depicts the synthetic pathways for synthesising coumarin–amide hybrids 123a–125i, which proceed from the coupling of amines 123–125 with coumarin acids 122a–d under an EDCI/HOBt/DMAP-mediated coupling method. The synthesis of coumarin–carbamate hybrids 123j–124k shown in Scheme 17c shows the reaction of amines 123, 124 with hydroxycoumarins 122j, 122k using bis(trichloromethyl) carbonate (BTC) as a condensing agent adapting to a one-pot reaction. The refluxing of chlorocoumarin 122 and amines 123–125 using DIEA as a catalyst afforded the target coumarin–amine hybrids 123–125l with a wide variation in the yield ranging from 22–98%, as shown in Scheme 17d.

Scheme 17.
Molecular structure of compounds 126a–128i. (a) A synthetic pathway for the synthesis of amine derivatives. Reagents and conditions: (i) CH3CN, i-BuNH2, 80 °C, 6 h; (ii) DIEA, aryl sulfonyl chloride, DMAP(Cat.), THF, 0 °C~r.t, 3–5 h; (iii) CH2Cl2-CF3COOH (1:1), 0 °C~r.t, 3 h; (iv) 50 psi, H2 (gas), 10% Pd/C, CH3OH, r.t, 2 h. (b) Synthetic pathways for the synthesis of coumarin–amide hybrids 126a–128i. Reagents and conditions: (i) HOBt, EDCI, anhydrous DMF, DMAP, Argon, 0 °C~r.t, 3 h. (c) Synthetic pathways for the synthesis of coumarin–carbide hybrids 126j–128k. Reagents and condition: (i) Anhydrous DCM, DIEA, anhydrous THF, 0 °C~r.t, 1.5 h. (d) Synthetic pathways for the synthesis of coumarin–amine hybrids 123–125l. Reagents and conditions: (i) anhydrous EtOH, DIEA, reflux, 7 h.
RT activity and the HIV-1 PR assay were used to test all the synthesised hybrids. Coumarin–amide hybrids show PR inhibition with an IC50 value range of (298.4 nM–0.40 nM) which indicates that the derivatives are active PR inhibitors except for hybrids 127h and 127i (557 nM and 563 nM, respectively). A four-fold activity with an IC50 value of 0.40 nM was observed in hybrid 128a, indicating the best activity. A comparable potency as darunavir (1.72 ± 0.73 nm) was noticed in hybrid 126e with an IC50 value of 1.62 nM, and a 54.46% inhibition ratio against WT HIV-1 was also noticed at a concentration of 100 nM. Generally, the synthesised hybrids show better inhibitory activity against PR than RT inhibition. Hybrid 128b with an IC50 value of 75.25 µM against RT revealed its weakness when compared to the potency of efavirenz with IC50 of 0.091 ± 0.008 µM.
4. Coumarin Hybrids with Weak Activity against HIV Infections
Through the synthesis of modified aminocoumarin as a leaving group, 7-amino-4-carbamoylmethylcoumarin (ACC) was synthesised via the solid-phase synthetic procedure for the inhibition of HIV-PR. However, relatively weak activity was observed in all the synthesised hybrids [55]. 6,6,10,10-Tetramethyl-6H,10H-dipyranocoumarin (dipetalactone) also exhibited no anti-HIV activity (using HIV-1 strain IIIB of human immunodeficiency virus type 1). The molecular docking studies revealed weak to no significant amino acid interactions occurring within the binding pocket of the HIV proteins, which demonstrated its weak activity [56]. Drzewiecka et al. suggested that if only a methyl group is substituted in the dipyranocoumarin system, the compound will have no biological activity [56]. Novel chromeno–chromenones exhibit weak anti-HIV activity and were synthesised by the reaction of indole catalysed by L-pyroline and 4-hydroxycoumarin [57]. The synthetic pathway (Scheme 18) depicts the reaction between the coumarin derivative and the indole. Some derivatives of coumarins have been synthesised and have exhibited weak to no activity against HIV [58,59].
Scheme 18.
Synthesis of novel chromeno–-chromenone hybrids. Reagents and conditions: (i) EtOH, L-proline, reflux, 12–14 h, 78–90%.
5. POM Analyses: Identification of Anti-HIV Pharmacophore Sites
The first point of the conclusion is that comparing the activities of molecules as cited above by calculating chemical parameters and using theoretical calculations has now become much easier. Developing technology and breakthroughs have improved both programmes and computers. The use of DFT theory and docking analysis is a robust tool that provides valuable information on the chemical, electronic, and physical properties of molecules, allowing us to explain their biological activities; however, only several of these techniques are effective in some situations. This is especially true when the prominent, active one is a metabolite, not the parent molecule. Hence, the theoretical study of prodrugs is a mistake, and this should be taken into consideration as well as stopped. As an alternative solution, we developed the POM (Petra/Osiris/Molinspiration) theory in collaboration with the NCI and TAACF of the USA [60,61,62,63,64].
The POM theory, invented by the group of Taibi Ben Hadda in collaboration with the American National Cancer Institute (NCI) and Tunisian–American Association for Cancer Research and Training Foundation (TAACF), led us to real success in the pharmacology and drug design fields [65,66,67,68,69,70,71,72]. Here we treat the coumarin moiety of the selected compounds to clarify the origin of their antiviral activity and to identify their pharmacophore sites according to the POM organigram (Figure 11).
Current research has been encouraged by the potential pharmacological properties of coumarin compounds. As an extension of our study, it has also focused more on the identification of novel antiviral heterocyclic compounds for therapeutic purposes [73]. The objective of this research is to evaluate a series of hybrid coumarin congeners for their activities against HIV infections. Moreover, POM analyses were conducted to explain the experimental results of biological activity [65,69,70,71,72,74,75].
Figure 11.
The Concept and Applications of POM Theory in the identification and optimisation of pharmacophore sites of various classes of drugs developed by Prof. T. Ben Hadda (the principal inventor of POM Theory) in collaboration with the NCI and TAACF of the USA [76,77].
Figure 11.
The Concept and Applications of POM Theory in the identification and optimisation of pharmacophore sites of various classes of drugs developed by Prof. T. Ben Hadda (the principal inventor of POM Theory) in collaboration with the NCI and TAACF of the USA [76,77].

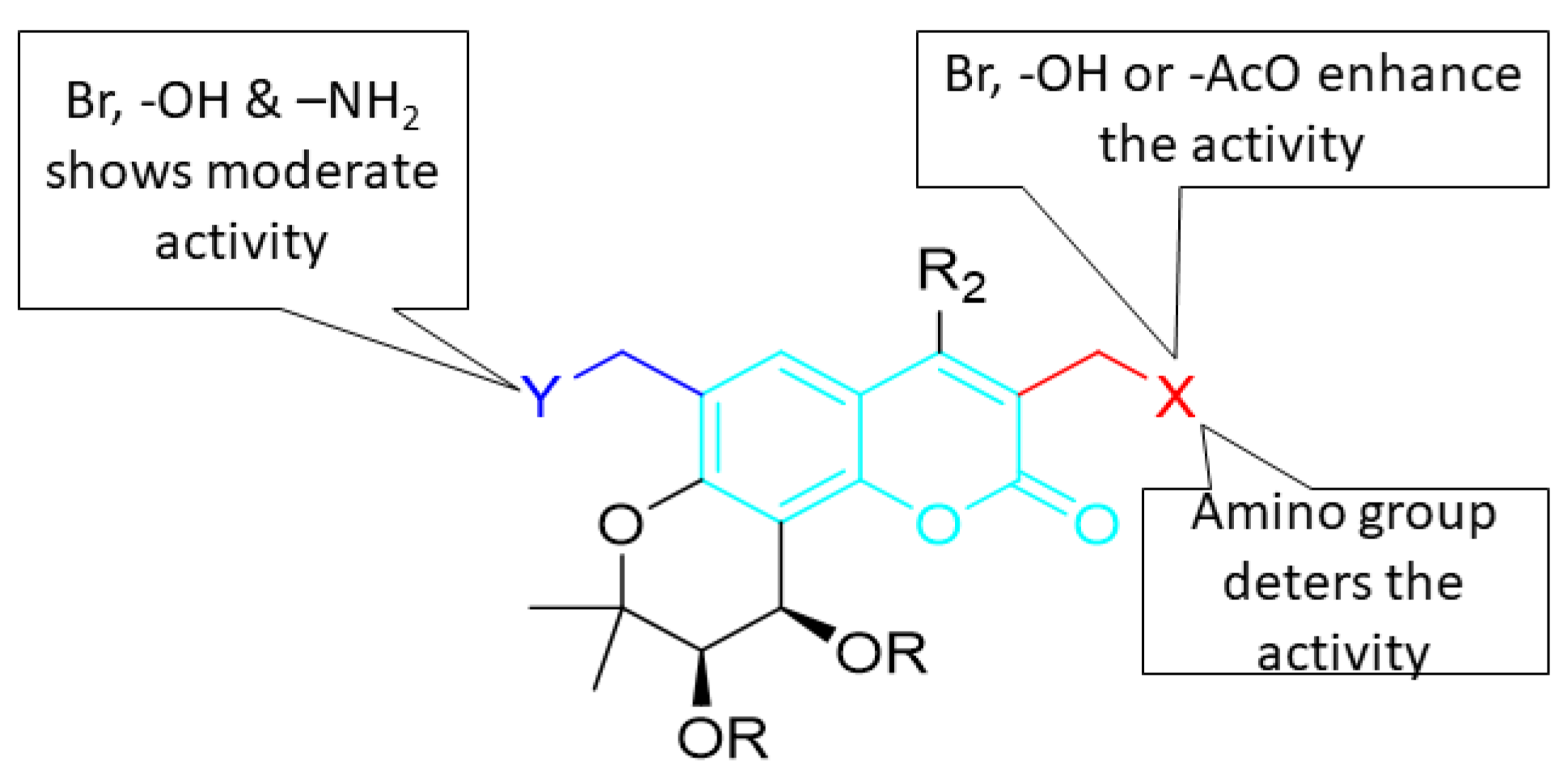
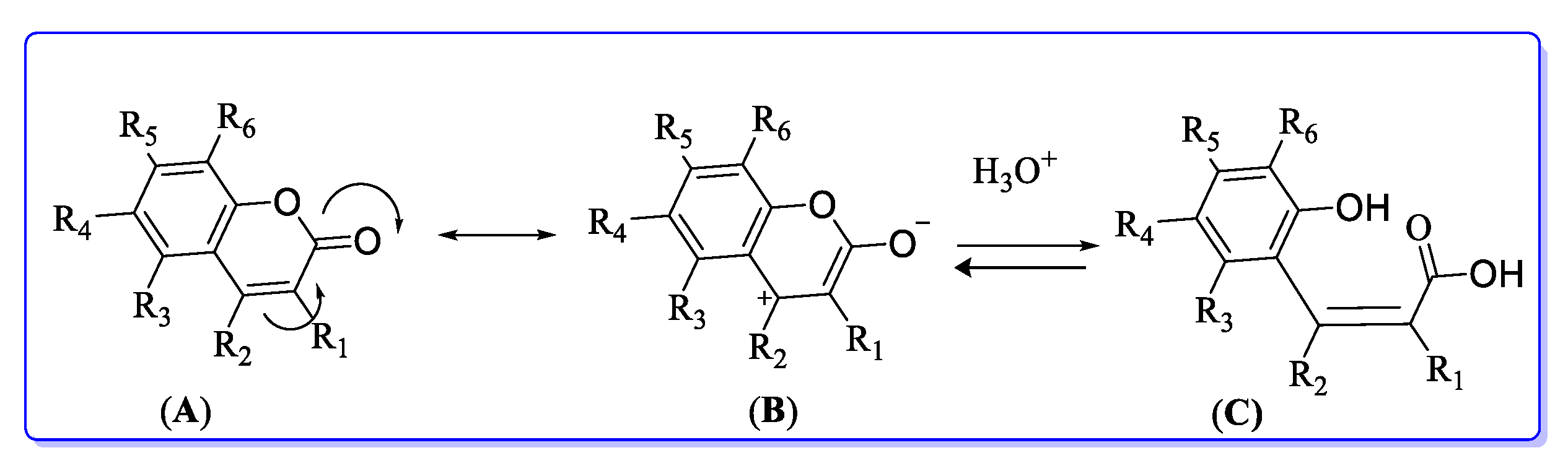
The identification of the type of pharmacophore sites of these compounds was derived from the physical and chemical properties of the metabolites of the tested coumarin-hybrid by using the bioinformatics POM platform. Although the mechanism of the ring opening of coumarin was not well clarified, it appeared that the first step essentially seems to be the formation of the enolate from (A), resulting in the formation of the hemiacetal (B). The hemiacetal, being very unstable, opens immediately to a new formation (C) (Figure 12).
Figure 12.
Opening/closing ring of coumarin moiety [75].
The probable mechanism of the opening/closing ring reaction was described previously after 1980 [75]. Unfortunately, no chemist or pharmacologist, until now, has indicated the impact and importance of these processes on the bioactivity of coumarin. Therefore, it was for the first time that we attempted to do it, and hopefully it will be of benefit in the future. In contrast to all substituents (R1, R3, R4, R5 and R6), the sole and exceptional substituent is R1, which plays a crucial role in the arrangement of the antiviral pharmacophore site according to POM theory (Figure 11 and Figure 13). Once again, POM theory works, gives more clarification, and helps in the drug design of new coumarin-hybrid candidates, allowing for more efficiency and selectivity.
Figure 13.
Identification of antiviral pharmacophore sites of coumarin-hybrid compounds.
6. Conclusions and Future Viewpoint
Although it still has its own drawbacks and difficulties, the introduction of the HAART regimen has changed the dynamics of HIV disease, converting it from a nearly fatal illness into a chronic but seemingly stable condition. These setbacks among other reasons, made medicinal chemists and scientists plunge headfirst into the field of drug discovery due to the obvious necessity of developing a novel anti-HIV drug candidate having less prevalent complications than the HAART regimen. HAART has reduced the deadly impact of AIDS/HIV from its original status as a deadly disease to what is now considered a manageable infection and consequently scaled down the far-reaching destruction of the ailment throughout the world. Unfortunately, some patients suffer various side effects as well as the development of multi-drug resistance, thus inhibiting a smooth treatment for patients.
Natural sources, which are generally applicable to various infections, are currently one of the most common sources of medication. This led to the exploration of the coumarin moiety due to its versatility and druggability, as seen in the development of warfarin (anti-coagulants), methoxsalen (anti-dermatosis), novobiocin (antibiotics), etc. (+)-Calanolide A, a clinically-evaluated coumarin derivative, inhibits RT, IN, PR, Tat, and Vpr. The review considered in great detail the many reactions and pathways used in synthesis that resulted in the development of numerous coumarin hybrids with anti-HIV activity.
This compilation has shown that coumarin hybrids possess multiple anti-HIV mechanisms or can mitigate side effects, making their hybridization an effective strategy for developing novel agents with high potency against drug-resistant HIV strains and low toxicity compared to that experienced by patients under the current regime of HAART. Several potent hybrids have been designed and synthesised using coumarin synthesis methods. They can reduce toxicity and atone for the hybrid’s negative effects when combined with anti-HIV actions of coumarin hybrids. The structure–activity relationship of the synthesised hybrids will assist in understanding the correlation between their structural properties and anti-HIV activity, enabling the development of more effective anti-HIV hybrids.
Author Contributions
J.J., A.B., S.C., S.M.—supervision, investigation and critical review; F.A.A., T.B.H., S.M.A.K., A.R.B.—methodology, software’s and revision; M.S., original draft. All authors critically reviewed and approved the manuscript before submission. All authors have read and agreed to the published version of the manuscript.
Funding
This work was supported by Grant No. BR10965178 of Ministry of Education and Science of the Republic of Kazakhstan (A. Bogoyavlenskiy, from Almaty, Kazakhstan). J. Jamalis wish to thank the Ministry of Higher Education (MOHE) Malaysia for funding this research under the Fundamental Research Grant Scheme (FRGS/1/2022/STG04/UTM/02/4).
Institutional Review Board Statement
Not applicable.
Informed Consent Statement
Not applicable.
Data Availability Statement
The data and materials supporting the findings or analyses in their study are all readily accessible upon request.
Acknowledgments
The authors would like to acknowledge the Deanship of Scientific Research at Umm Al-Qura University, for supporting this work by Grant code: (23UQU4290462DSR1).
Conflicts of Interest
The authors declare no conflict of interest.
Abbreviations
| POM | Petra/Osiris/Molinspiration |
| SAR | Structure–Activity Relationship |
| HIV | Human Immunodeficiency Syndrome |
| AIDS | Acquired Immunodeficiency Syndrome |
| HAART | Highly Active Antiretroviral Therapy |
| RT | Reverse Transcriptase |
| WHO | World Health Organisation |
| WOS | Web of Science |
| ART | Antiretroviral therapy |
| cART | Combined Antiretroviral Therapy |
| IN | Integrase |
| DNA | Deoxyribonucleic acid |
| VPR | Viral Protein Regulator |
| DCK | Hydroxymethyl (3′R,4′R)-3′,4′-di-O-(S)-camphanoyl-(+)-cis-khellactone |
| AZT | Azidothymidine |
| PETT | Phenyl Ethyl Thiazolyl Thiourea |
| MTT | 4,5-dimethyl thiazol-2-yl)-2,5-diphenyl tetrazolium bromide |
| TEA | Triethylamine |
| DMF | Dimethyl formamide |
| EFV | Efavirenz |
| DABCO | 1,4-diazabicyclo[2.2.2]octane/triethylenediamine |
| PR | Protease |
| DMLs | Designed Multifunctional Ligands |
| EDCI | 1-Ethyl-3-(3-dimethylaminopropyl)carbodiimide |
| DMAP | 4-Dimethylaminopyridine |
| BTC | Bis(trichloromethyl)carbonate |
| DIEA | N,N-Diisopropylethylamine |
| DCM | Dimethylamonopyridine |
| DCC | Dicyclocarbodiimide |
| WT | Wild-Type |
| DFT | Density Functional Theory |
| NCI | American National Cancer Institute |
| TAAF | Tunisian–American Association for Cancer Research and Training Foundation |
References
- Mohamed, H.; Gurrola, T.; Berman, R.; Collins, M.; Sariyer, I.K.; Nonnemacher, M.R.; Wigdahl, B. Targeting CCR5 as a Component of an HIV-1 Therapeutic Strategy. Front. Immunol. 2022, 12, 816515. [Google Scholar] [CrossRef]
- Yu, D.; Suzuki, M.; Xie, L.; Morris-natschke, S.L.; Lee, K. Recent Progress in the Development of Coumarin Derivatives as Potent. Med. Res. Rev. 2003, 23, 322–345. [Google Scholar] [CrossRef]
- Kumar, V.; Joshi, H.C.; Pandey, I.P. Reverse Transcriptase Inhibition: A Way to Defeat HIV. HIV AIDS Rev. 2022, 21, 3–9. [Google Scholar] [CrossRef]
- Xu, Z.; Chen, Q.; Zhang, Y.; Liang, C. Coumarin-Based Derivatives with Potential Anti-HIV Activity. Fitoterapia 2021, 150, 104863. [Google Scholar] [CrossRef] [PubMed]
- Tariq, M.; Sirajuddin, M.; Ali, S.; Khalid, N.; Tahir, M.N.; Khan, H.; Ansari, T.M. Pharmacological Investigations and Petra/Osiris/Molinspiration (POM) Analyses of Newly Synthesized Potentially Bioactive Organotin(IV) Carboxylates. J. Photochem. Photobiol. B 2016, 158, 174–183. [Google Scholar] [CrossRef] [PubMed]
- Suleiman, M.; Hasan, A.H.; Murugesan, S.; Amran, S.I.; Jamalis, J. Advances in the Synthesis of Diarylpyrimidine as Potent Non-Nucleoside Reverse Transcriptase Inhibitors: Biological Activities, Molecular Docking Studies and Structure-Activity Relationship: A Critical Review. Curr. Org. Chem. 2023, 27, 661–691. [Google Scholar] [CrossRef]
- Falagas, M.E.; Pitsouni, E.I.; Malietzis, G.A.; Pappas, G. Comparison of PubMed, Scopus, Web of Science, and Google Scholar: Strengths and Weaknesses. FASEB J. 2008, 22, 338–342. [Google Scholar] [CrossRef]
- Cunningham, W.E.; Tisnado, D.M.; Hu Lui, H.; Nakazono, T.T.; Carlisle, D.M. The Effect of Hospital Experience on Mortality among Patients Hospitalized with Acquired Immunodeficiency Syndrome in California. Am. J. Med. 1999, 107, 137–143. [Google Scholar] [CrossRef]
- Kitahata, M.M.; Koepsell, T.D.; Deyo, R.A.; Maxwell, C.L.; Dodge, W.T.; Wagner, E.H. Physicians’ Experience with the Acquired Immunodeficiency Syndrome as a Factor in Patients’ Survival. N. Engl. J. Med. 1996, 334, 701–707. [Google Scholar] [CrossRef]
- Olomola, T.O.; Klein, R.; Mautsa, N.; Sayed, Y.; Kaye, P.T. Synthesis and Evaluation of Coumarin Derivatives as Potential Dual-Action HIV-1 Protease and Reverse Transcriptase Inhibitors. Bioorg. Med. Chem. 2013, 21, 1964–1971. [Google Scholar] [CrossRef]
- Thompson, M.A.; Aberg, J.A.; Hoy, J.F.; Telenti, A.; Benson, C.; Cahn, P.; Eron, J.J.; Gü Nthard, H.F.; Hammer, S.M.; Reiss, P.; et al. Antiretroviral Treatment of Adult HIV Infection 2012 Recommendations of the International Antiviral Society-USA Panel. JAMA 2012, 308, 387–402. [Google Scholar] [CrossRef] [PubMed]
- Post, F.A.; Moyle, G.J.; Stellbrink, H.J.; Domingo, P.; Podzamczer, D.; Fisher, M.; Norden, A.G.; Cavassini, M.; Rieger, A.; Khuong-Josses, M.-A.; et al. Randomized Comparison of Renal Effects, Efficacy, and Safety with Once-Daily Abacavir/Lamivudine Versus Tenofovir/Emtricitabine, Administered with Efavirenz, in Antiretroviral-Naive, HIV-1-Infected Adults: 48-Week Results from the ASSERT Study. J. Acquir. Immune Defic. Syndr. 2010, 55, 49–57. [Google Scholar] [CrossRef] [PubMed]
- Günthard, H.F.; Saag, M.S.; Benson, C.A.; Del Rio, C.; Eron, J.J.; Gallant, J.E.; Hoy, J.F.; Mugavero, M.J.; Sax, P.E.; Thompson, M.A.; et al. Antiretroviral Drugs for Treatment and Prevention of HIV Infection in Adults: 2016 Recommendations of the International Antiviral Society-USA Panel. JAMA—J. Am. Med. Assoc. 2016, 316, 191–210. [Google Scholar] [CrossRef] [PubMed]
- Rodger, A.J.; Cambiano, V.; Bruun, T.; Vernazza, P.; Collins, S.; Van Lunzen, J.; Corbelli, G.M.; Estrada, V.; Geretti, A.M.; Beloukas, A.; et al. Sexual Activity without Condoms and Risk of HIV Transmission in Serodifferent Couples When the HIV-Positive Partner Is Using Suppressive Antiretroviral Therapy. JAMA—J. Am. Med. Assoc. 2016, 316, 171–181. [Google Scholar] [CrossRef]
- Read, P.J.; Mandalia, S.; Khan, P.; Harrisson, U.; Naftalin, C.; Gilleece, Y.; Anderson, J.; Hawkins, D.A.; Taylor, G.P.; De Ruiter, A. When Should HAART Be Initiated in Pregnancy to Achieve an Undetectable HIV Viral Load by Delivery? AIDS 2012, 26, 1095–1103. [Google Scholar] [CrossRef]
- Hoffman, R.M.; Black, V. Effects of Highly Active Antiretroviral Therapy Duration and Regimen on Risk for Mother-to-Child Transmission of HIV in Johannesburg, South Africa. J. Acquir. Immune Defic. Syndr. 2010, 54, 35–41. [Google Scholar] [CrossRef]
- Forbes, J.C.; Alimenti, A.M.; Singer, J.; Brophy, J.C.; Bitnun, A.; Samson, L.M.; Money, D.M.; Lee, T.C.K.; Lapointe, N.D.; Read, S.E. A National Review of Vertical HIV Transmission. AIDS 2012, 26, 757–763. [Google Scholar] [CrossRef]
- Esté, J.A.; Cihlar, T. Current Status and Challenges of Antiretroviral Research and Therapy. Antivir. Res. 2010, 85, 25–33. [Google Scholar] [CrossRef]
- Li, Z.; Kong, D.; Liu, Y.; Li, M. Pharmacological Perspectives and Molecular Mechanisms of Coumarin Derivatives against Virus Disease. Genes Dis. 2022, 9, 80–94. [Google Scholar] [CrossRef]
- World Health Assembly. 42 Forty-Second World Health Assembly, Geneva, 8–19 May 1989: Resolutions and Decisions, Annexes. 1989. Available online: https://apps.who.int/iris/handle/10665/171211 (accessed on 3 June 2022).
- World Health Organization; Onchocerciasis Control Programme in West Africa. Progress Report of the World Health Organization for 1989 (1 September 1988–31 August 1989); Onchocerciasis Control Programme in West Africa, 1989. Available online: https://apps.who.int/iris/handle/10665/345231 (accessed on 3 June 2022).
- Annunziata, F.; Pinna, C.; Dallavalle, S.; Tamborini, L.; Pinto, A. An Overview of Coumarin as a Versatile and Readily Accessible Scaffold with Broad-Ranging Biological Activities. Int. J. Mol. Sci. 2020, 21, 4618. [Google Scholar] [CrossRef]
- Borges, F.; Roleira, F.; Milhazes, N.; Santana, L.; Uriarte, E. Simple Coumarins and Analogues in Medicinal Chemistry: Occurrence, Synthesis and Biological Activity. Curr. Med. Chem. 2005, 12, 887–916. [Google Scholar] [CrossRef] [PubMed]
- Krogsgaard Thomsen, M.; Bokvist, K.; Høy, M.; Buschard, K.; Holst, J.J.; Lindström, P.; Gromada, J. Repaglinide at a Cellular Level. Diabetes Nutr. Metab. 2002, 15, 15–18. [Google Scholar] [PubMed]
- Hasan, A.H.; Murugesan, S.; Amran, S.I.; Chander, S.; Alanazi, M.M.; Ben Hadda, T.; Shakya, S.; Pratama, M.R.F.; Das, B.; Biswas, S.; et al. Novel Thiophene Chalcones-Coumarin as Acetylcholinesterase Inhibitors: Design, Synthesis, Biological Evaluation, Molecular Docking, ADMET Prediction and Molecular Dynamics Simulation. Bioorg. Chem. 2022, 119, 105572. [Google Scholar] [CrossRef]
- Ramli, N.; Mohd Sobani, S.S. Jurnal Teknologi. J. Teknol. 2013, 2, 19–25. [Google Scholar]
- Tang, T.; Liu, J.; Zuo, K.; Cheng, J.; Chen, L.; Lu, C.; Han, S.; Xu, J.; Jia, Z.; Ye, M.; et al. Genotype-Guided Dosing of Coumarin Anticoagulants: A Meta-Analysis of Randomized Controlled Trials. J. Cardiovasc. Pharmacol. Ther. 2015, 20, 387–394. [Google Scholar] [CrossRef]
- Jumal, J. Norhanis Sakinah Synthesis, Characterization, and Applications of Coumarin Derivatives: A Short Review. Malays. J. Sci. Health Technol. 2021, 7, 62–68. [Google Scholar] [CrossRef]
- Song, M.Q.; Min, W.; Wang, J.; Si, X.X.; Wang, X.J.; Liu, Y.W.; Shi, D.H. Design, Synthesis and Biological Evaluation of New Carbazole-Coumarin Hybrids as Dual Binding Site Inhibitors of Acetylcholinesterase. J. Mol. Struct. 2021, 1229, 129784. [Google Scholar] [CrossRef]
- Srivastav, V.K.; Tiwari, M. QSAR and Docking Studies of Coumarin Derivatives as Potent HIV-1 Integrase Inhibitors. Arab. J. Chem. 2017, 10, S1081–S1094. [Google Scholar] [CrossRef]
- Singh, V.K.; Srivastava, R.; Gupta, P.S.S.; Naaz, F.; Chaurasia, H.; Mishra, R.; Rana, M.K.; Singh, R.K. Anti-HIV Potential of Diarylpyrimidine Derivatives as Non-Nucleoside Reverse Transcriptase Inhibitors: Design, Synthesis, Docking, TOPKAT Analysis and Molecular Dynamics Simulations. J. Biomol. Struct. Dyn. 2021, 39, 2430–2446. [Google Scholar] [CrossRef]
- Reddy, D.S.; Kongot, M.; Kumar, A. Coumarin Hybrid Derivatives as Promising Leads to Treat Tuberculosis: Recent Developments and Critical Aspects of Structural Design to Exhibit Anti-Tubercular Activity. Tuberculosis 2021, 127, 102050. [Google Scholar] [CrossRef]
- Hu, Y.Q.; Xu, Z.; Zhang, S.; Wu, X.; Ding, J.W.; Lv, Z.S.; Feng, L.S. Recent Developments of Coumarin-Containing Derivatives and Their Anti-Tubercular Activity. Eur. J. Med. Chem. 2017, 136, 122–130. [Google Scholar] [CrossRef] [PubMed]
- Gao, P.; Song, S.; Wang, Z.; Sun, L.; Zhang, J.; Pannecouque, C.; de Clercq, E.; Zhan, P.; Liu, X. Design, Synthesis and Anti-HIV Evaluation of Novel 5-Substituted Diarylpyrimidine Derivatives as Potent HIV-1 NNRTIs. Bioorg. Med. Chem. 2021, 40, 116195. [Google Scholar] [CrossRef] [PubMed]
- Rojekar, S.; Fotooh Abadi, L.; Pai, R.; Mahajan, K.; Kulkarni, S.; Vavia, P.R. Multi-Organ Targeting of HIV-1 Viral Reservoirs with Etravirine Loaded Nanostructured Lipid Carrier: An in vivo Proof of Concept. Eur. J. Pharm. Sci. 2021, 164, 105916. [Google Scholar] [CrossRef] [PubMed]
- Jashari, A.; Hey-Hawkins, E.; Mikhova, B.; Draeger, G.; Popovski, E. An Improved Synthesis of 4-Chlorocoumarin-3-Sulfonyl Chloride and Its Reactions with Different Bidentate Nucleophiles to Give Pyrido[1′,2′:2,3]- and Thiazino[3′,2′:2,3]-1,2,4-Thiadiazino[6,5-c]Benzopyran-6-One 7,7-Dioxides. Molecules 2007, 12, 2017–2028. [Google Scholar] [CrossRef] [PubMed]
- Wadhwa, P.; Jain, P.; Rudrawar, S.; Jadhav, H.R.A. Quinoline, Coumarin and Other Heterocyclic Analogs Based HIV-1 Integrase Inhibitors. Curr. Drug Discov. Technol. 2017, 15, 2–19. [Google Scholar] [CrossRef]
- Mishra, S.; Pandey, A.; Manvati, S. Coumarin: An Emerging Antiviral Agent. Heliyon 2020, 6, e03217. [Google Scholar] [CrossRef]
- Al-Soud, Y.A.; Al-Masoudi, I.A.; Saeed, B.; Beifuß, U.; Al-Masoudi, N.A. Synthesis of New 1H-1,2,4-Triazolylcoumarins and Their Antitumor and Anti-HIV Activities. Chem. Heterocycl. Compd. 2006, 42, 583–590. [Google Scholar] [CrossRef]
- Kumar, S.; Khokra, S.L.; Yadav, A. Triazole Analogues as Potential Pharmacological Agents: A Brief Review. Future J. Pharm. Sci. 2021, 7, 106. [Google Scholar] [CrossRef]
- Jebir, R.M.; Mustafa, Y.F. Natural Coumarin-Lead Compounds: A Review of Their Medicinal Potentials. Iraqi J. Pharm. 2022, 18, 139–161. [Google Scholar] [CrossRef]
- Trivedi, J.C.; Bariwal, J.B.; Upadhyay, K.D.; Naliapara, Y.T.; Joshi, S.K.; Pannecouque, C.C.; de Clercq, E.; Shah, A.K. Improved and Rapid Synthesis of New Coumarinyl Chalcone Derivatives and Their Antiviral Activity. Tetrahedron Lett. 2007, 48, 8472–8474. [Google Scholar] [CrossRef]
- Patel, R.B.; Chikhalia, K.H.; Pannecouque, C.; de Clercq, E. Synthesis of Novel PETT Analogues: 3,4-Dimethoxy Phenyl Ethyl 1,3,5-Triazinyl Thiourea Derivatives and Their Antibacterial and Anti-HIV Studies. J. Braz. Chem. Soc. 2007, 18, 312–321. [Google Scholar] [CrossRef]
- Reddy, Y.T.; Reddy, P.N.; Crooks, P.A.; De Clercq, E.; Rao, G.V.P.; Rajitha, B. Synthesis and biological evaluation of novel substituted n1-[1-benzyl-3-(3-tert-butylcarbamoyl-octahydroisoquinolin-2yl)-2-hydroxy-propyl]-2-[(2-oxo-2h-chromene-3-carbonyl) amino] succinamide analogs as αντι-viral and αντι-hiv agents. Heterocycl. Commun. 2008, 14, 419–426. [Google Scholar] [CrossRef]
- Al-Soud, Y.A.; Al-Sa’doni, H.H.; Amajaour, H.A.S.; Salih, K.S.M.; Mubarak, M.S.; Al-Masoudi, N.A.; Jaber, I.H. Synthesis, Characterization and Anti-HIV and Antitumor Activities of New Coumarin Derivatives. Z. Naturforschung B 2008, 63, 83–89. [Google Scholar] [CrossRef]
- Al-Masoudi, N.A.; Pfleiderer, W.; Pannecouque, C. Nitroimidazoles Part 7. Synthesis and Anti-HIV Activity of New 4-Nitroimidazole Derivatives. Z. Naturforschung-Sect. B J. Chem. Sci. 2012, 67, 835–842. [Google Scholar] [CrossRef]
- Al-Soud, Y.A.; Al-Masoudi, N.A.; de Clercq, E.; Paneccoque, C. Nitroimidazoles, Part 4: Synthesis and Anti-HIV Activity of New 5-Alkylsulfanyl and 5-(4′-Arylsulfonyl)Piperazinyl-4-Nitroimidazole Derivatives. Heteroat. Chem. 2007, 18, 333–340. [Google Scholar] [CrossRef]
- Jorgensen, W.L. Efficient Drug Lead Discovery and Optimization. Acc. Chem. Res. 2009, 42, 724–733. [Google Scholar] [CrossRef]
- Mahajan, D.H.; Pannecouque, C.; de Clercq, E.; Chikhalia, K.H. Synthesis and Studies of New 2-(Coumarin-4-Yloxy)-4,6-(Substituted)-s- Triazine Derivatives as Potential Anti-HIV Agents. Arch. Pharm. 2009, 342, 281–290. [Google Scholar] [CrossRef]
- Olomola, T.O.; Klein, R.; Lobb, K.A.; Sayed, Y.; Kaye, P.T. Towards the Synthesis of Coumarin Derivatives as Potential Dual-Action HIV-1 Protease and Reverse Transcriptase Inhibitors. Tetrahedron Lett. 2010, 51, 6325–6328. [Google Scholar] [CrossRef]
- Livani, Z.A.; Safakish, M.; Hajimahdi, Z.; Soleymani, S.; Zabihollahi, R.; Aghasadeghi, M.R.; Alipour, E.; Zarghi, A. Design, Synthesis, Molecular Modeling, In Silico ADME Studies and Anti-HIV-1 Assay of New Diazocoumarin Derivatives. Iran J. Pharm. Res. 2018, 17, 65–77. [Google Scholar] [CrossRef]
- Jesumoroti, O.J.; Faridoon; Mnkandhla, D.; Isaacs, M.; Hoppe, H.C.; Klein, R. Evaluation of Novel N′-(3-Hydroxybenzoyl)-2-Oxo-2H-Chromene-3-Carbohydrazide Derivatives as Potential HIV-1 Integrase Inhibitors. Medchemcomm 2019, 10, 80–88. [Google Scholar] [CrossRef]
- Esposito, F.; Ambrosio, F.A.; Maleddu, R.; Costa, G.; Rocca, R.; Maccioni, E.; Catalano, R.; Romeo, I.; Eleftheriou, P.; Karia, D.C.; et al. Chromenone Derivatives as a Versatile Scaffold with Dual Mode of Inhibition of HIV-1 Reverse Transcriptase-Associated Ribonuclease H Function and Integrase Activity. Eur. J. Med. Chem. 2019, 182, 111617. [Google Scholar] [CrossRef] [PubMed]
- Zhu, M.; Ma, L.; Wen, J.; Dong, B.; Wang, Y.; Wang, Z.; Zhou, J.; Zhang, G.; Wang, J.; Guo, Y.; et al. Rational Design and Structure−Activity Relationship of Coumarin Derivatives Effective on HIV-1 Protease and Partially on HIV-1 Reverse Transcriptase. Eur. J. Med. Chem. 2020, 186, 111900. [Google Scholar] [CrossRef] [PubMed]
- Maly, D.J.; Leonetti, F.; Backes, B.J.; Dauber, D.S.; Harris, J.L.; Craik, C.S.; Ellman, J.A. Expedient Solid-Phase Synthesis of Fluorogenic Protease Substrates Using the 7-Amino-4-Carbamoylmethylcoumarin (ACC) Fluorophore. J. Org. Chem. 2002, 67, 910–915. [Google Scholar] [CrossRef]
- Drzewiecka, A.; Koziol, A.E.; Borowski, P.; Sanna, G.; Giliberti, G.; La Colla, P.; Zawadowski, T.; Struga, M. Structural and Antivirial Studies of Dipetalactone and Its Methyl Derivative. J. Mol. Struct. 2013, 1054–1055, 150–156. [Google Scholar] [CrossRef]
- Kasralikar, H.M.; Jadhavar, S.C.; Bhusare, S.R. Synthesis and Molecular Docking Study of Novel Chromeno-Chromenones as Anti-HIV-1 NNRT Inhibitors. Synlett 2015, 26, 1969–1972. [Google Scholar] [CrossRef]
- Kasralikar, H.M.; Jadhavar, S.C.; Bhusare, S.R. Synthesis and Molecular Docking Studies of Oxochromenyl Xanthenone and Indolyl Xanthenone Derivatives as Anti-HIV-1 RT Inhibitors. Bioorg. Med. Chem. Lett. 2015, 25, 3882–3886. [Google Scholar] [CrossRef]
- Rashamuse, T.J.; Klein, R.; Kaye, P.T. Synthesis of Baylis-Hillman-Derived Phosphonated 3-(Benzylaminomethyl) Coumarins. Synth. Commun. 2010, 40, 3683–3690. [Google Scholar] [CrossRef]
- Chalkha, M.; Nakkabi, A.; Ben Hadda, T.; Berredjem, M.; El Moussaoui, A.; Bakhouch, M.; Saadi, M.; El Ammari, L.; Almalki, F.A.; Laaroussi, H.; et al. Crystallographic Study, Biological Assessment and POM/Docking Studies of Pyrazoles-Sulfonamide Hybrids (PSH): Identification of a Combined Antibacterial/Antiviral Pharmacophore Sites Leading to in-Silico Screening the Anti-COVID-19 Activity. J. Mol. Struct. 2022, 1267, 133605. [Google Scholar] [CrossRef]
- Lakhrissi, Y.; Rbaa, M.; Tuzun, B.; Hichar, A.; Anouar, E.H.; Ounine, K.; Almalki, F.; Ben Hadda, T.; Zarrouk, A.; Lakhrissi, B. Synthesis, Structural Confirmation, Antibacterial Properties and Bio-Informatics Computational Analyses of New Pyrrole Based on 8-Hydroxyquinoline. J. Mol. Struct. 2022, 1259, 132683. [Google Scholar] [CrossRef]
- Rbaa, M.; Haida, S.; Tuzun, B.; Hichar, A.; El Hassane, A.; Kribii, A.; Lakhrissi, Y.; Ben Hadda, T.; Zarrouk, A.; Lakhrissi, B.; et al. Synthesis, Characterization and Bioactivity of Novel 8-Hydroxyquinoline Derivatives: Experimental, Molecular Docking, DFT and POM Analyses. J. Mol. Struct. 2022, 1258, 132688. [Google Scholar] [CrossRef]
- Esharkawy, E.R.; Almalki, F.; Ben Hadda, T. In Vitro Potential Antiviral SARS-CoV-19- Activity of Natural Product Thymohydroquinone and Dithymoquinone from Nigella Sativa. Bioorg. Chem. 2022, 120, 105587. [Google Scholar] [CrossRef] [PubMed]
- Titi, A.; Messali, M.; Alqurashy, B.A.; Touzani, R.; Shiga, T.; Oshio, H.; Fettouhi, M.; Rajabi, M.; Almalki, F.A.; Ben Hadda, T. Synthesis, Characterization, X-Ray Crystal Study and Bioctivities of Pyrazole Derivatives: Identification of Antitumor, Antifungal and Antibacterial Pharmacophore Sites. J. Mol. Struct. 2020, 1205, 127625. [Google Scholar] [CrossRef]
- Alawadi, D.Y.; Saadeh, H.A.; Kaur, H.; Goyal, K.; Sehgal, R.; Ben Hadda, T.; Elsawy, N.A.; Mubarak, M.S. Metronidazole Derivatives as a New Class of Antiparasitic Agents: Synthesis, Prediction of Biological Activity, and Molecular Properties. Med. Chem. Res. 2015, 24, 1196–1209. [Google Scholar] [CrossRef]
- Lahsasni, S.; Ben Hadda, T.; Masand, V.; Pathan, N.B.; Parvez, A.; Warad, I.; Shaheen, U.; Bader, A.; Aljofan, M. POM Analyses of Raltegravir Derivatives: A New Reflection Enlightening the Mechanism of HIV-Integrase Inhibition. Res. Chem. Intermed. 2015, 41, 5121–5136. [Google Scholar] [CrossRef]
- Hakkou, Z.; Maciuk, A.; Leblais, V.; Bouanani, N.E.; Mekhfi, H.; Bnouham, M.; Aziz, M.; Ziyyat, A.; Rauf, A.; Ben Hadda, T.; et al. Antihypertensive and Vasodilator Effects of Methanolic Extract of Inula Viscosa: Biological Evaluation and POM Analysis of Cynarin, Chlorogenic Acid as Potential Hypertensive. Biomed. Pharmacother. 2017, 93, 62–69. [Google Scholar] [CrossRef] [PubMed]
- Ben Hadda, T.; Khardli, F.Z.; Mimouni, M.; Daoudi, M.; Kerbal, A.; Salgado-Zamora, H.; Gandhare, N.; Parvez, A.; Lahsasni, S. Impact of Geometric Parameters, Charge, and Lipophilicity on Bioactivity of Armed Quinoxaline, Benzothiaole, and Benzothiazine: Pom Analyses of Antibacterial and Antifungal Activity. Phosphorus Sulfur Silicon Relat. Elem. 2014, 189, 753–761. [Google Scholar] [CrossRef]
- Rachedi, K.O.; Ouk, T.S.; Bahadi, R.; Bouzina, A.; Djouad, S.E.; Bechlem, K.; Zerrouki, R.; Ben Hadda, T.; Almalki, F.; Berredjem, M. Synthesis, DFT and POM Analyses of Cytotoxicity Activity of α-Amidophosphonates Derivatives: Identification of Potential Antiviral O,O-Pharmacophore Site. J. Mol. Struct. 2019, 1197, 196–203. [Google Scholar] [CrossRef]
- Berredjem, M.; Bouzina, A.; Bahadi, R.; Bouacida, S.; Rastija, V.; Djouad, S.E.; Sothea, T.O.; Almalki, F.A.; Ben Hadda, T.; Aissaoui, M. Antitumor Activity, X-Ray Crystallography, in Silico Study of Some-Sulfamido-Phosphonates. Identification of Pharmacophore Sites. J. Mol. Struct. 2022, 1250, 131886. [Google Scholar] [CrossRef]
- Ben Hadda, T.; Berredjem, M.; Almalki, F.A.; Rastija, V.; Jamalis, J.; Bin Emran, T.; Abu-Izneid, T.; Esharkawy, E.; Rodriguez, L.C.; Alqahtani, A.M. How to Face COVID-19: Proposed Treatments Based on Remdesivir and Hydroxychloroquine in the Presence of Zinc Sulfate. Docking/DFT/POM Structural Analysis. J. Biomol. Struct. Dyn. 2022, 40, 9429–9442. [Google Scholar] [CrossRef]
- Mabkhot, Y.N.; Alatibi, F.; El-Sayed, N.N.E.; Al-Showiman, S.; Kheder, N.A.; Wadood, A.; Rauf, A.; Bawazeer, S.; Ben Hadda, T. Antimicrobial Activity of Some Novel Armed Thiophene Derivatives and Petra/Osiris/Molinspiration (POM) Analyses. Molecules 2016, 21, 222. [Google Scholar] [CrossRef]
- Bhat, A.R.; Dongre, R.S.; Almalki, F.A.; Berredjem, M.; Aissaoui, M.; Touzani, R.; Ben Hadda, T.; Akhter, M.S. Synthesis, Biological Activity and POM/DFT/Docking Analyses of Annulated Pyrano[2,3-d]Pyrimidine Derivatives: Identification of Antibacterial and Antitumor Pharmacophore Sites. Bioorg. Chem. 2021, 106, 104480. [Google Scholar] [CrossRef] [PubMed]
- Chalkha, M.; Bakhouch, M.; Akhazzane, M.; Bourass, M.; Nicolas, Y.; Al Houari, G.; El Yazidi, M. Design, Synthesis and Characterization of Functionalized Pyrazole Derivatives Bearing Amide and Sulfonamide Moieties from Aza-Aurones. J. Chem. Sci. 2020, 132, 86. [Google Scholar] [CrossRef]
- Taneja, S.C.; Uhar, K.L.; Atal, C.K. A Novel Ring Opening of Coumarins. Synth. Commun. 1980, 10, 37–42. [Google Scholar] [CrossRef]
- Available online: https://Www.maroc.ma/fr/actualites/research-excellence-awards-une-vingtaine-de-travaux-de-recherche-et-dinnovation-primes (accessed on 4 July 2023).
- Ben Hadda, T. Ranking 2023- Taibi BEN HADDA. 2022. Available online: https://www.adscientificindex.com/scientist/taibi-ben-hadda/91200 (accessed on 4 July 2023).
Disclaimer/Publisher’s Note: The statements, opinions and data contained in all publications are solely those of the individual author(s) and contributor(s) and not of MDPI and/or the editor(s). MDPI and/or the editor(s) disclaim responsibility for any injury to people or property resulting from any ideas, methods, instructions or products referred to in the content. |
© 2023 by the authors. Licensee MDPI, Basel, Switzerland. This article is an open access article distributed under the terms and conditions of the Creative Commons Attribution (CC BY) license (https://creativecommons.org/licenses/by/4.0/).






























