Abstract
A methanol extract of the flowers of Mammea siamensis (Miq.) T. Anders. (Calophyllaceae) showed anti-proliferative activity against human prostate carcinoma LNCaP cells (IC50 = 2.0 µg/mL). Two new coumarin-related polysubstituted benzofurans, mammeasins P (1) and Q (2), and a known polysubstituted coumarin mammea B/AC cyclo F (39) were isolated from the extract along with 44 previously reported polysubstituted coumarin constituents (3–38 and 40–47). The structures of two new compounds (1 and 2) were determined based on their spectroscopic properties derived from the physicochemical evidence including NMR and MS analyses and taking the plausible generative pathway into account. Among the coumarin constituents, mammeasins A (3, IC50 = 1.2 µM) and B (4, 0.63 µM), sugangin B (18, 1.5 µM), kayeassamins E (24, 3.0 µM) and G (26, 3.5 µM), and mammeas E/BA (40, 0.88 µM), E/BB (41, 0.52 µM), and E/BC (42, 0.12 µM) showed relatively potent anti-proliferative activity.
1. Introduction
Prostate cancer, a hormonally driven cancer, is the second most frequent malignancy in men worldwide [1,2,3,4]. It may be asymptomatic at an early stage, often has an indolent course, and may require minimal or even no treatment. However, the most frequent complaints are difficulty with urination, increased urination frequency, and nocturia, all of which may also arise from prostatic hypertrophy. A more advanced stage of the disease may present with urinary retention and back pain, as the axial skeleton is the most common site of bone metastasis [4]. The main therapeutic option for advanced prostate cancer is androgen deprivation therapy, which has limited clinical outcomes. However, its therapeutic benefit does not last long, and most patients develop metastatic castration-resistant prostate cancer. After progression into castration-resistant prostate cancer, several chemotherapeutic drugs are used. Chemotherapy is the standard first-line treatment for recurrent metastatic castration-resistant prostate cancer, and relapse eventually occurs due to drug resistance [5]. Therefore, there is a strong demand for the development of new therapeutic molecules against prostate cancer.
The Calophyllaceae plant Mammea siamensis (Miq.) T. Anders., which is the name recorded by the World Flora Online [6], is a small evergreen tree with fragrant yellow or white flowers distributed throughout Thailand (locally known as Sarapi or Saraphi), Laos, Cambodia, Vietnam, and Myanmar [7,8,9,10,11]. In Thailand, the flower part of this medicinal plant has been used as a heart tonic for lowering fever, and for boosting appetite [12,13]. Previously, several coumarin [9,10,11,14,15,16,17,18,19,20,21,22,23,24], xanthone [8,10,17,21], flavonoid [7,23], triterpene [10,12], and steroid [10,12,24] constituents have been reported from the flowers [7,9,10,11,12,13,14,15,16,20,23,24], seeds [18,21], twigs [8,17,19], and bark [22] of M. siamensis. This plant and its constituents have been reported to possess anti-proliferative and apoptotic activities [9,13,22,23,24], B-cell-specific Moloney murine leukemia virus insertion region 1 promoter inhibitory activity [11], and anti-malarial activity [10]. In our study, the coumarin constituents obtained from the flowers of M. siamensis were reported to have suppressive effects on inducible nitric oxide synthase expression in RAW264.7 cells [25], aromatase [26,27], and 5α-reductase [28] inhibitory activities as well as anti-proliferative activities against human digestive tract carcinoma cells, such as human gastric carcinoma HSC-2, HSC-4, and MKN-45 cells [29]. Coumarins have also attracted much attention for their anti-proliferative activity against prostate cancer cells, such as the human prostate carcinoma cell line LNCaP [30,31,32]. Further studies on the flowers of M. siamensis revealed that a methanol extract exhibited anti-proliferative activity against LNCaP cells. Thus, this study deals with further separation studies on the chemical constituents of this extract for the isolation and structure determination of two new compounds, mammeasins P (1) and Q (2), as well as the identification of active coumarin constituents with anti-proliferative activity against LNCaP cells.
2. Results and Discussion
2.1. Anti-Proliferative Effects of the Methanol Extract and Its Fractions against Human Prostate Carcinoma LNCaP Cells
LNCaP, one of the most commonly used cell lines for prostate cancer research, is derived from a human lymph node metastatic lesion in prostate adenocarcinoma [33,34,35]. These cells are androgen-responsive because they show mRNA and protein expression of the androgen receptor and prostate-specific antigen [36,37]. As shown in Table 1, the anti-proliferative effect of a methanol extract of the dried flowers of M. siamensis (25.66% dried material) against human prostate carcinoma LNCaP cells was observed (IC50 = 2.0 µg/mL). Bioassay-guided fractionation of the methanol extract with ethyl acetate (EtOAc)-H2O (1:1, v/v) yielded an EtOAc-soluble fraction (6.84%) and aqueous phase. The latter was subjected to Diaion HP-20 column chromatography (H2O→MeOH) according to previously reported protocols, which yielded H2O- and MeOH-eluted fractions (13.50% and 4.22%, respectively) [25]. The EtOAc-soluble fraction showed the highest activity (IC50 = 2.7 µg/mL), whereas the other fractions showed no noticeable activity.
Table 1.
Anti-proliferative effects of the methanol extract of M. siamensis flower and its fractions against LNCaP cells.
2.2. Isolation
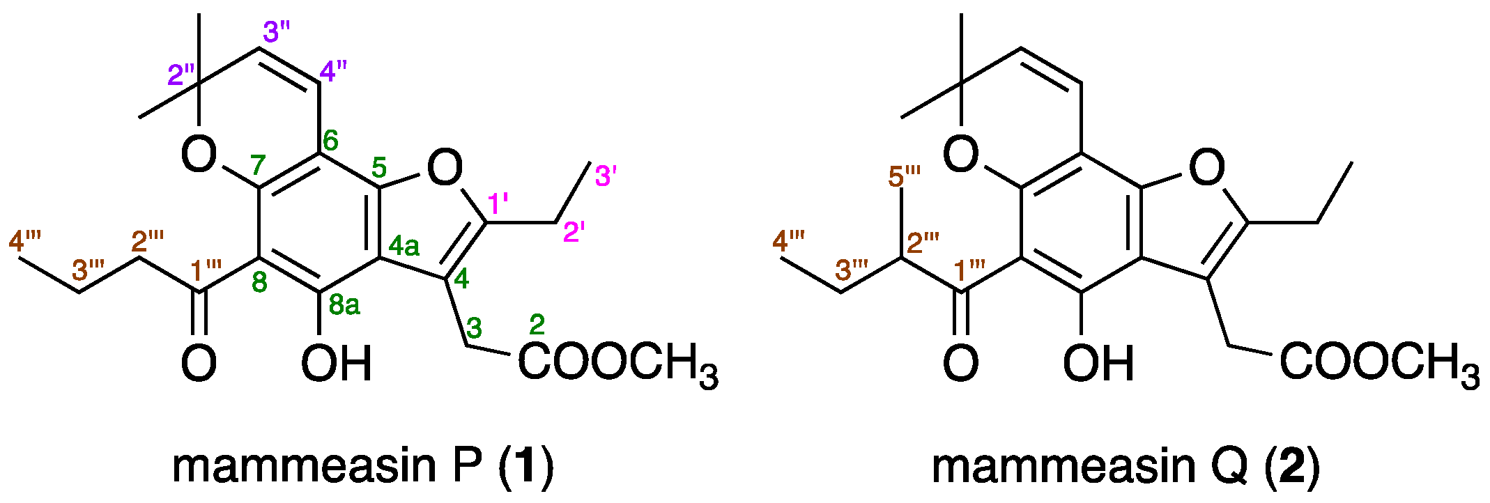
From the active EtOAc-soluble fraction, we isolated 45 known coumarin constituents (3–38 and 40–47), including the newly obtained compound mammea B/AC cyclo F (39, 0.0005%) [15], using normal-phase silica gel and reversed-phase ODS column chromatographic purification and finally HPLC [27,28,29]. In this study, mammeasins P (1, 0.0004%) and Q (2, 0.0005%) were newly isolated (Figure 1).
Figure 1.
Structures of mammeasins P (1) and Q (2).
2.3. Structure Determination for Mammeasins P (1) and Q (2)
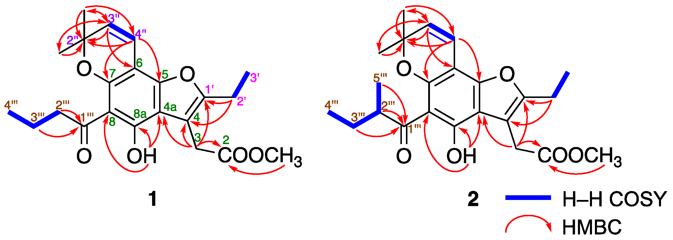
Mammeasin P (1) was obtained as a pale-yellow oil, and its molecular formula was determined to be C22H26O6 via high-resolution electron ionization (EI)-MS at m/z 386.1724 (M+, calcd for 386.1729). The 1H- and 13C-NMR spectra of 1 (Table 2, CDCl3) were assigned with the aid of distortionless enhancement by polarization transfer (DEPT), 1H–1H correlation spectroscopy (COSY), heteronuclear single-quantum coherence (HSQC), and heteronuclear multiple-bond connectivity (HMBC) (Figure 2). The 1H-NMR spectrum showed signals for five methyl moieties [δ 1.01 (3H, t, J = 7.4 Hz, H3-4’’’), 1.27 (3H, t, J = 7.6 Hz, H3-3’), 1.52 (6H, s, 2’’-CH3 × 2), and 3.71 (3H, s, 2-COOCH3)], four methylene moieties [δ 1.73 (2H, qt, J = 7.4, 7.4 Hz, H2-3’’’), 2.67 (2H, q, J = 7.6 Hz, H2-2’), 3.07 (2H, t, J = 7.4 Hz, H2-2’’’), and 3.75 (2H, s, H2-3)], a pair of cis-substituted olefinic protons [δ 5.51 and 6.65 (1H each, both d, J = 9.7 Hz, H-3’’ and H-4’’)], and a hydrogen-bonded hydroxy proton [δ 14.12 (1H, s, 8a-OH)]. 1H−1H COSY experiments on 1 indicated the presence of partial structures (bold lines in Figure 2). In HMBC experiments, long-range correlations were observed between the following proton and carbon pairs: H2-3 and C-2, 4, 4a, 1’; H2-2’ and C-4, 1’; H-3’’ and C-6, 2’’, CH3-2’’; H-4’’ and C-5, 7, 2’’; CH3-2’’ and C-2’’, 3’’; H2-2’’’, H2-3’’’ and C-1’’’; 8a-OH and C-4a, 8, 8a. Thus, a polysubstituted benzofuran skeleton in 1 was constructed, and the linkage positions of the n-butyryl and 2,2-dimethyl-2H-pyran groups in 1 were clarified. This benzofuran skeleton is speculated to be derived from 4-(1’-acetoxypropyl)coumarin, a common structure of many mammeacoumarins, via intramolecular displacements to the furocoumarins, acid-catalyzed double-bond migration, and lactone opening (Figure 3) [38,39]. Thus, the structure of 1 was determined.
Table 2.
1H and 13C NMR spectroscopic data (500 and 125 MHz, CDCl3) of mammeasins P (1) and Q (2).
Figure 2.
1H–1H COSY and HMBC correlations of 1 and 2.
Figure 3.
Plausible generative pathway of 1 and 2.
The molecular formula of mammeasin Q (2) was determined to be C23H28O6, showing a molecular ion peak at m/z 400.1880 (M+, calcd for 400.1886), using high-resolution EI-MS measurements. The 1H- and 13C-NMR spectra (Table 1, CDCl3) of 2 were similar to those of 1, except for the signals owing to a 2-methyl-butyryl moiety in C-8 position [δ 0.92 (3H, t, J = 7.5 Hz, H3-4’’), 1.17 (3H, d, J = 6.9 Hz, H3-5’’’), 1.42, 1.87 (1H each, both m, H2-3’’’), and 3.81 (1H, m, H-2’’’)] instead of an n-butyryl moiety, as seen in 1. As shown in Figure 2, the connectivity of the quaternary carbons in 2 was elucidated via 1H–1H COSY and HMBC experiments. 1H−1H COSY correlations indicated the presence of the following partial structures of 2, shown in bold lines: linkage of C-2’–C-3’; C-3‘–C-4’’; C-2’’’–C-5’’’. HMBC correlations revealed long-range correlations between the following proton and carbon pairs: H2-3 [δ 3.75 (2H, s)] and C-2, 4, 4a, 1’; H2-2’ [δ 2.67 (2H, q, J = 7.5 Hz)] and C-4, 1’; H-3’’ [δ 5.51 (1H, d, J = 9.8 Hz)] and C-6, 2’’, CH3-2’’; H-4’’ [δ 6.65 (1H, d, J = 9.8 Hz)] and C-5, 7, 2’’; CH3-2’’ [δ 1.52 (6H, s)] and C-2’’, 3’’; 8a-OH [δ 14.09 (1H, s)] and C-4a, 8, 8a; H2-2’’’, H2-3’’’, H3-5’’’ and C-1’’’. Therefore, the structure of 2 was established.
2.4. Anti-Proliferative Effects of the Coumarin Constituents against Human Prostate Carcinoma LNCaP Cells
Chemical studies on the flowers of M. siamensis allowed the isolation of the two above-mentioned new coumarin-related polysubstituted benzofurans, mammeasins P (1) and Q (2), and 45 coumarin constituents (3–47) (Figure 4). As has been previously reported [25,26,27,28,29], these isolates were obtained from the active EtOAc-soluble fraction of the methanol extract to furnish the following isolation yields from the dried material: mammeasins A (3, 0.0250%), B (4, 0.0083%), C (5, 0.0008%), D (6, 0.0047%), E (7, 0.0102%), F (8, 0.0015%), G (9, 0.0025%), H (10, 0.0009%), I (11, 0.0008%), J (12, 0.0006%), K (13, 0.0008%), L (14, 0.0006%), M (15, 0.0021%), N (16, 0.0007%), and O (17, 0.0015%); surangins B (18, 0.0272%), C (19, 0.0571%), and D (20, 0.0600%); kayeassamin A (21, 0.0578%), 8-hydroxy-5-methyl-7-(3,7-dimethylocta-2,6-dienyl)-9-(2-methyl-1-oxobutyl)-4,5-dihydropyrano [4,3,2-de]chromen-2-one (22, 0.0015%), 8-hydroxy-5-methyl-7-(3,7-dimethylocta-2,6-dienyl)-9-(3-methyl-1-oxobutyl)-4,5-dihydropyrano [4,3,2-de]chromen-2-one (23, 0.0012%); kayeassamins E (24, 0.0125%), F (25, 0.0435%), G (26, 0.0196%), and I (27, 0.0107%); mammeas A/AA (28, 0.0528%), A/AB (29, 0.0054%), A/AC (30, 0.1055%), A/AD [=mesuol (31, 0.0036%)], A/AA cyclo D (32, 0.0039%), A/AB cyclo D (33, 0.0363%), A/AC cyclo D (34, 0.0109%), A/AA cyclo F (35, 0.0010%), A/AC cyclo F (36, 0.0119%), B/AB cyclo D (37, 0.0016%), B/AC cyclo D (38, 0.0062%), B/AC cyclo F (39, 0.0005%), E/BA (40, 0.0045%), E/BB (41, 0.0288%), E/BC (42, 0.0130%), E/BC cyclo D (43, 0.0058%), and E/BD cyclo D (44, 0.0007%); and deacetylmammeas E/AA cyclo D (45, 0.0025%), E/BB cyclo D (46, 0.0056%), and E/BC cyclo D (47, 0.0078%). To characterize the active constituents, the anti-proliferative effects of the isolates against LNCaP cells were examined. However, evaluation of the coumarin constituents (21–23, 29, 31, 32, and 39), including the new compounds 1 and 2, for which we did not have a sufficient sample amount to assess biological activity, could not be performed. As shown in Table 3, seven coumarin constituents, including mammeasins A (3, IC50 = 1.2 µM) and B (4, 0.63 µM), sugangin B (18, 1.5 µM), kayeassamins E (24, 3.0 µM) and G (26, 3.5 µM), and mammeas E/BA (40, 0.88 µM), E/BB (41, 0.52 µM), and E/BC (42, 0.12 µM), showed relatively potent anti-proliferative activity. The structural requirements of the coumarins for the activity were suggested as the following: (1) regardless of the structure of the substitutions at C-4, C-5, C-6, and C-8, coumarins with 7-OH group (e.g., 3, 4, 18, 24, 26, 40, 41, and 42) were essential for the strong activity; (2) compounds with the 6-prenylcoumarin moieties showed stronger or equivalent activity to those with the geranyl moiety [41 > 18, 42 > 3, 40 ≒ 4] or those forming the 2,2-dimethyl-2H-pyran structure with 5-OH group [41 > mammea E/BD cyclo D (44, IC50 = 53.9 µM), 42 > mammea E/BC cyclo D (43, 23.1 µM)]; (3) compounds with the 4-propylcoumarin moieties with the 1’-acetoxy group showed stronger activity than those of the corresponding deacetylcoumarins [4 > surangin D (20, 24.7 µM), 18 > surangin C (19, 11.8 µM)] or those forming the 2-methyl-3,4-dihydro-2H-pyran structure with 5-OH group [3 > mammeasin D (6, 25.0 µM), 4 > mammeasin C (5, 30.5 µM)].
Figure 4.
Coumarin constituents (3–47) from the flowers of M. siamensis.
Table 3.
IC50 values of anti-proliferative effects of coumarin constituents (3–20, 24–28, 30, 33–38, 40–47) from M. siamensis flower against LNCaP cells.
3. Materials and Methods
3.1. Spectroscopy and Column Chromatography
The following instruments were used to obtain spectroscopic data: specific rotation, JASCO P-2200 polarimeter (JASCO Corporation, Tokyo, Japan, l = 5 cm); UV spectra, Shimadzu UV-1600 spectrometer; IR spectra, IRAffinity-1 spectrophotometer (Shimadzu, Kyoto, Japan); 1H NMR spectra, JNM-ECA800 (800 MHz), JNM-LA500 (500 MHz), JNM-ECS400 (400 MHz), and JNM-AL400 (400 MHz) spectrometers; 13C NMR spectra, JNM-ECA800 (200 MHz), JNM-LA500 (125 MHz), JNM-ECA400 (100 MHz), and JNM-AL400 (100 MHz) spectrometers (JEOL, Tokyo, Japan); EI-MS and high-resolution EI-MS, JMS-GCMATE mass spectrometer (JEOL, Tokyo, Japan); HPLC detector, SPD-10Avp UV-VIS detector; and HPLC columns, Cosmosil 5C18-MS-II (Nacalai Tesque, Kyoto, Japan). For NMR, the samples were dissolved in deuterated chloroform (CDCl3) at room temperature with tetramethylsilane as an internal standard. Columns of 4.6 mm × 250 mm and 20 mm × 250 mm were used for analytical and preparative purposes, respectively.
The following chromatographic materials were used for column chromatography (CC): highly porous synthetic resin, Diaion HP-20 (Mitsubishi Chemical, Tokyo, Japan); normal-phase silica gel CC, silica gel 60 N (Kanto Chemical, Tokyo, Japan; 63–210 mesh, spherical, neutral); reversed-phase ODS CC, Chromatorex ODS DM1020T (Fuji Silysia Chemical, Aichi, Japan; 100–200 mesh); TLC, pre-coated TLC plates with silica gel 60F254 (Merck, Darmstadt, Germany, 0.25 mm) (normal-phase) and silica gel RP-18 WF254S (Merck, 0.25 mm) (reversed-phase); and reversed-phase HPTLC, pre-coated TLC plates with silica gel RP-18 WF254S (Merck, 0.25 mm). Detection was performed by spraying with 1% Ce(SO4)2–10% aqueous H2SO4, followed by heating.
3.2. Plant Material
M. siamensis flowers were collected from Nakhonsithammarat Province, Thailand, in September 2006, as previously described [25,26,27,28,29]. The plant material was identified by one of the authors (Y.P.). A voucher specimen (2006.09. Raj-04) was deposited in our laboratory.
3.3. Extraction and Isolation
The methanolic extract (25.66% dried material) of the dried flowers of M. siamensis (1.8 kg) was partitioned using a solution of EtOAc-H2O (1:1, v/v) to yield an EtOAc-soluble fraction (6.84%) and aqueous phase. The EtOAc-soluble fraction (89.45 g) was subjected to normal-phase silica gel column chromatography [3.0 kg, n-hexane-EtOAc (10:1→7:1→5:1, v/v)→EtOAc→MeOH] to produce 11 fractions [Fr. 1 (3.05 g), Fr. 2 (2.86 g), Fr. 3 (11.71 g), Fr. 4 (1.62 g), Fr. 5 (4.15 g), Fr. 6 (6.29 g), Fr. 7 (2.21 g), Fr. 8 (2.94 g), Fr. 9 (10.23 g), Fr. 10 (11.17 g), and Fr. 11 (21.35 g)], as previously reported [25]. Fraction 2 (2.86 g) was subjected to reversed-phase silica gel CC [74 g, MeOH–H2O (70:30→90:10, v/v)→MeOH→acetone] to yield nine fractions [Fr. 2-1 (21.0 mg), Fr. 2-2 (26.2 mg), Fr. 2-3 (114.1 mg), Fr. 2-4 (425.0 mg), Fr. 2-5 (182.8 mg), Fr. 2-6 (79.6 mg), Fr. 2-7 (94.8 mg), Fr. 2-8 (1211.4 mg), and Fr. 2-9 (328.8 mg)], as described previously [27]. Fraction 2-3 (114.1 mg) was purified via HPLC [Cosmosil 5C18-MS-II, MeOH–1% aqueous AcOH (80:20, v/v)] to give mammeasins P (1, 4.8 mg, 0.0004%) and Q (2, 6.7 mg, 0.0005%). Fraction 5 (4.15 g) was subjected to reversed-phase silica gel CC [120 g, MeOH–H2O (80:20→85:15, v/v)→MeOH→acetone] to obtain six fractions [Fr. 5-1 (115.7 mg), Fr. 5-2 (2789.8 mg), Fr. 5-3 (515.4 mg), Fr. 5-4 (430.0 mg), Fr. 5-5 (119.2 mg), and Fr. 5-6 (1110.0 mg)], as previously reported [28]. Fraction 5-2 (517.0 mg) was purified via HPLC [Cosmosil 5C18-MS-II, MeOH–1% aqueous AcOH (85:15, v/v) or MeOH–1% aqueous AcOH (80:20, v/v)] to give mammea B/AC cyclo F (39, 1.2 mg, 0.0005%) together with mammeasins M (15, 5.0 mg, 0.0021%) and O (17, 3.7 mg, 0.0015%) and mammeas A/AA (28, 101.2 mg, 0.0418%), A/AC (30, 112.9 mg, 0.0466%), A/AA cyclo D (32, 3.7 mg, 0.0015%), A/AC cyclo F (36, 4.6 mg, 0.0019%), E/BC cyclo D (43, 14.0 mg, 0.0058%), and E/BD cyclo D (44, 1.8 mg, 0.0007%) [27,28,29].
3.3.1. Mammeasin P (1)
Pale-yellow oil; UV [MeOH, nm (log ε)]: 247 (4.23), 267 (4.03), 354 (3.29); IR (film): 1743, 1622, 1456, 1167, 1120; 1H-NMR (500 MHz, CDCl3) δ: see Table 1; 13C-NMR data (125 MHz, CDCl3) δC: see Table 1; 2D-NMR spectra: see Figures S1–S5; EIMS m/z (%): 386 (M+, 71), 371 (100); high-resolution EIMS m/z 386.1724 (calculated for C22H26O6, 386.1729).
3.3.2. Mammeasin Q (2)
Pale-yellow oil; [α]22D 0 (c = 0.34, CHCl3); UV [MeOH, nm (log ε)]: 247 (4.23), 268 (4.04), 352 (3.36); IR (film): 1743, 1622, 1456, 1169, 1123 cm–1; 1H-NMR (500 MHz, CDCl3) δ: see Table 1; 13C-NMR data (125 MHz, CDCl3) δC: see Table 1; 2D-NMR spectra: see Figures S6–S10; EIMS m/z (%): 400 (M+, 100); high-resolution EIMS m/z 400.1880 (calculated for C23H28O6, 400.1886).
3.4. Bioassay
3.4.1. Reagents
RPMI 1640 medium was purchased from FUJIFILM Wako Pure Chemical Industries (Osaka, Japan), fetal bovine serum (FBS) from Biosera (Nuaille, France), other chemicals from FUJIFILM Wako Pure Chemical Industries (Osaka, Japan), and 96-well microplates from Sumitomo Bakelite (Tokyo, Japan).
3.4.2. Cell Culture Assay
Experiments were performed in accordance with previously reported methods [40,41], with slight modifications. LNCaP clone FGC (89110211) was purchased from KAC (Kyoto, Japan). Cells were cultured in RPMI 1640 medium (FUJIFILM Wako) supplemented with 10% FBS, 1 mM sodium pyruvate, 100 U/mL penicillin G, and 100 µg/mL streptomycin at 37 °C in a 5% CO2 environment. LNCaP cells were seeded in 96-well plates at a density of 5 × 103 cells/well in 100 µL/well medium, and 100 μL/well of medium containing a test sample was added after an initial incubation of 24 h. Cell viability was detected after 96 h of incubation using the Cell Counting Kit-8 (CCK-8). CCK-8 was purchased from Dojindo Molecular Technologies (Kumamoto, Japan). The O.D. of the yellow-colored formazan solution was measured using a microplate reader at 450 nm (reference: 650 nm) (Table S1). The IC50 value was determined graphically, and the inhibition (%) was calculated using the following formula:
Inhibition (%) = [(O.D. (sample) − O.D. (control))/(O.D. (normal) − O.D. (control))] × 100
Each test compound was dissolved in DMSO and added to the medium (final concentration in 0.1% DMSO).
3.4.3. Statistical Analysis
Values are expressed as the mean ± standard error (S.E.M.). One-way analysis of variance (ANOVA) followed by Dunnett’s test was used for statistical analysis. Probability (p) values less than 0.05 were considered significant.
4. Conclusions
The methanol extract of the flowers of M. siamensis (Miq.) showed anti-proliferative activity against human prostate carcinoma LNCaP cells (IC50 = 2.0 µg/mL). Two new coumarin-related polysubstituted benzofurans, mammeasins P (1) and Q (2), were isolated, and their structures were elucidated based on their spectroscopic properties derived from the physicochemical evidence including NMR and MS analyses as well as considering the plausible generative pathway. We have already achieved the total syntheses of mammeasins C (5) and D (6), which were isolated as new compounds from the same plant material [42], and we would like to conduct the similar synthetic studies for 1 and 2 to further confirm the stated properties in the future.
Among the isolates, seven coumarin constituents, including mammeasins A (3, IC50 = 1.2 µM) and B (4, 0.63 µM), sugangin B (18, 1.5 µM), kayeassamins E (24, 3.0 µM) and G (26, 3.5 µM), and mammeas E/BA (40, 0.88 µM), E/BB (41, 0.52 µM), and E/BC (42, 0.12 µM), showed relatively potent anti-proliferative activity. The results suggest the following structural requirements of the coumarins: (1) 7-OH group was essential for the strong activity; (2) the 6-prenylcoumarin moieties showed stronger or equivalent activity to those with the geranyl moiety or those forming the 2,2-dimethyl-2H-pyran structure with 5-OH group; (3) the 4-propylcoumarin moieties with the 1’-acetoxy group showed stronger activity than those of the corresponding deacetyl analogs or those forming the 2-methyl-3,4-dihydro-2H-pyran structure with 5-OH group. We previously reported that several of these coumarins, which exhibit potent anti-proliferative activity against LNCaP cells, have moderate enzymatic inhibitory activity against testosterone 5α-reductase [3 (IC50 = 19.0 µM), 4 (24.0 µM), 24 (33.8 µM), 26 (17.7 µM), 40 (16.2 µM), 41 (16.8 µM), and finasteride (0.12 µM), a commercially available 5α-reductase inhibitor] (Table S2) [27]. The role of 5α-reductase inhibitors in prostate cancer chemoprevention remains controversial [43,44,45]. Tindall and Rittmaster reported that the inhibition of 5α-reductase represents a valid target for prostate cancer risk reduction and treatment strategy [43]. In contrast, Chau and Figg reported that cancer prevention trials with 5α-reductase inhibitors have shown a decreased incidence of low-grade prostate cancer but a potentially increased risk of high-grade disease [44]. Furthermore, a large population-based prospective study on the risk of prostate cancer in men treated with 5α-reductase inhibitors was conducted by Wallerstedt et al. They concluded that treatment with 5α-reductase inhibitors for lower urinary tract symptoms is safe with respect to prostate cancer risk [45]. Therefore, further studies are needed to elucidate whether these coumarins, which have potent anti-proliferative activity against LNCaP cells with moderate 5α-reductase inhibitory activity, are promising therapeutic candidates for prostate cancer.
Supplementary Materials
The following supporting information can be downloaded at https://www.mdpi.com/article/10.3390/ph16020231/s1, Figures S1–S10: NMR spectra of mammeasins P (1) and Q (2); Table S1: Anti-proliferative effects of coumarin constituents (3–20, 24–28, 30, 33–38, 40–47) from M. siamensis flowers against LNCaP cells; Table S2: IC50 values of coumarin constituents (3–12, 15, 16, 18–21, 24–38, 40–47) from M. siamensis flowers against testosterone 5α-reductase.
Author Contributions
Conceptualization, O.M. and T.M.; Methodology, F.L.; Formal Analysis, F.L.; Investigation, F.L. and Y.M.; Resources, S.C. and Y.P.; Data Curation, F.L. and Y.M.; Writing —original draft preparation, F.L.; Writing—review and editing, T.M.; Visualization, F.L. and Y.M.; Supervision, O.M. and T.M.; Project Administration, T.M.; Funding Acquisition, O.M. and T.M. All authors have read and agreed to the published version of the manuscript.
Funding
This research was funded by JSPS KAKENHI, Japan (Grant Number 22K06688 (T.M.)).
Institutional Review Board Statement
Not applicable.
Informed Consent Statement
Not applicable.
Data Availability Statement
Data supporting the findings of this study are available from the corresponding author upon reasonable request.
Acknowledgments
The authors thank the Division of Joint Research Center of Kindai University for NMR and MS measurements.
Conflicts of Interest
The authors declare no conflict of interest.
References
- Agoulnik, I.U.; Weigel, N.L. Androgen receptor action in hormone-dependent and recurrent prostate cancer. J. Cell. Biochem. 2006, 99, 362–372. [Google Scholar] [CrossRef] [PubMed]
- Kallifatidis, G.; Hoy, J.J.; Lokeshwar, B.L. Bioactive natural products for chemoprevention and treatment of castration-resistant prostate cancer. Semin. Cancer Biol. 2016, 40–41, 160–169. [Google Scholar] [CrossRef]
- Sawada, N. Risk and preventive factors for prostate cancer in Japan: The Japan public health center-based prospective (JPHC) study. J. Epidemiol. 2017, 27, 2–7. [Google Scholar] [CrossRef]
- Rawla, P. Epidemiology of prostate cancer. World J. Oncol. 2019, 10, 63–89. [Google Scholar] [CrossRef]
- Erdogan, S.; Dognalar, O.; Dogaanlar, Z.B.; Turkekul, K. Naringin sensitizes human prostate cancer cells to paclitaxel therapy. Prostate Int. 2018, 6, 126–135. [Google Scholar] [CrossRef] [PubMed]
- The World Flora Online. Mammea siamensis (Miq.) T. Anderson. Available online: http://www.worldfloraonline.org/taxon/wfo-0000376586 (accessed on 29 January 2023).
- Manneesri, J.; Masniyom, P.; Pongpiriyadacha, Y. Bacterial cellulose film containing flavonoids from “Sarapee” (Mammea siamensis) flower extract against Salmonella typhimurium TISTR 292. J. Agric. Sci. Technol. A 2012, 2, 86–89. [Google Scholar]
- Poobrasert, O.; Constant, H.L.; Beecher, C.W.; Farnsworth, N.R.; Kinghorn, A.D.; Pezzuto, J.M.; Cordell, G.A.; Santisuk, T.; Reutrakul, V. Xanthones from the twigs of Mammea siamensis. Phytochemistry 1998, 47, 1661–1663. [Google Scholar] [CrossRef]
- Uto, T.; Tung, N.H.; Thongjankaew, P.; Lhieochaiphant, S.; Shoyama, Y. Kayeassamine A isolated from the flower of Mammea siamensis triggers apoptosis by activating caspase-3/-8 in HL-60 human leukemia cells. Pharcogn. Res. 2016, 8, 244–248. [Google Scholar] [CrossRef]
- Chaniad, P.; Chukaew, A.; Payaka, A.; Phuwajaroanpong, A.; Techarang, T.; Plirat, W.; Punsawad, C. Antimalarial potential of compounds isolated from Mammea siamensis T. Anders. flowers.: In vitro and molecular docking studies. BMC Comlement. Med. Ther. 2022, 22, 226. [Google Scholar] [CrossRef]
- Fujii, K.; Hara, Y.; Arai, M.A.; Sadhu, S.K.; Ahmed, F.; Ishibashi, M. Natural compounds with BMI1 promoter inhibitory activity from Mammea siamensis and Andrographis paniculate. Chem. Pharm. Bull. 2022, 70, 885–891. [Google Scholar] [CrossRef]
- Subhadirasakul, S.; Pechpongs, P.A. A terpenoid and two steroids from the flowers of Mammea siamensis. Songklanakarin J. Sci. Technol. 2005, 27, 555–561. [Google Scholar]
- Sangkaruk, R.; Rungrojsakul, M.; Tima, S.; Anuchapreede, S. Effect of Thai saraphi flower extracts on WT1 and Bcr/Abl protein expression in leukemic cell lines. Afr. J. Tradit. Complement. Altern. Med. 2017, 14, 16–24. [Google Scholar] [CrossRef]
- Kaweetripob, W.; Mahidol, C.; Prawat, H.; Puchirawat, S. Chemical investigation of Mammea siamensis. Pharm. Biol. 2000, 38, 55–57. [Google Scholar] [CrossRef]
- Prachyawarakorn, V.; Mahidol, C.; Ruchirawat, S. NMR study of seven coumarins from Mammea siamansis. Pharm. Biol. 2000, 38, 58–62. [Google Scholar] [CrossRef]
- Mahidol, C.; Kaweetripob, W.; Prawat, H.; Ruchirawat, S. Mammea coumarins from the flowers of Mammea siamensis. J. Nat. Prod. 2002, 65, 757–760. [Google Scholar] [CrossRef]
- Prachyawarakorn, V.; Mahidol, C.; Ruchirawai, S. Siamenols A–D, four new coumarins from Mammea siamensis. Chem. Pharm. Bull. 2006, 54, 884–886. [Google Scholar] [CrossRef]
- Laphookhieo, S.; Maneerat, W.; Kiattansakul, R. Phenolic compounds from Mammea siamensis seeds. Can. J. Chem. 2006, 84, 1546–1549. [Google Scholar] [CrossRef]
- Prachyawarakorn, V.; Mahidol, C.; Ruchirawat, S. Pyranocoumarins from the twigs of Mammea siamensis. Phytochemistry 2006, 67, 924–928. [Google Scholar] [CrossRef]
- Mahidol, C.; Prawat, H.; Kaweetripob, W.; Ruchirawat, S. Regioisomers of acylcoumarins from the flowers of Mammea siamensis. Nat. Prod. Commun. 2007, 2, 557–564. [Google Scholar] [CrossRef]
- Laphookhieo, S.; Promnart, P.; Syers, J.K.; Kanjana-Opas, A.; Ponglimanont, C.; Karalai, C. Coumarins and xanthones from the seeds of Mammea siamensis. J. Braz. Chem. Soc. 2007, 18, 1077–1080. [Google Scholar] [CrossRef]
- Ngo, N.T.N.; Nguyen, V.T.; Van Vo, H.; Vang, O.; Duus, F.; Ho, T.-D.H.; Pham, H.D.; Nguyen, L.-H.D. Cytotoxic coumarins from the bark of Mammea siamensis. Chem. Pharm. Bull. 2010, 58, 1487–1491. [Google Scholar] [CrossRef] [PubMed]
- Tung, N.H.; Uto, T.; Sakamoto, A.; Hayashida, Y.; Hidaka, Y.; Morinaga, O.; Lhieochaiphant, S.; Shoyama, Y. Antiproliferative and apoptotic effects of compounds from the flower of Mammea siamensis (Miq.) T. Anders. on human cancer cell lines. Bioorg. Med. Chem. 2013, 23, 158–162. [Google Scholar] [CrossRef] [PubMed]
- Noysang, C.; Mahringer, A.; Zeino, M.; Saeed, M.; Luanratana, O.; Fricker, G.; Bauer, R.; Efferth, T. Cytotoxicity and inhibition of P-glycoprotein by selected medicinal plants from Thailand. J. Ethnopharmacol. 2014, 155, 633–641. [Google Scholar] [CrossRef]
- Morikawa, T.; Sueyoshi, M.; Chaipech, S.; Matsuda, H.; Nomura, Y.; Yabe, M.; Matsumoto, T.; Ninomiya, K.; Yoshikawa, M.; Pongpiriyadacha, Y.; et al. Suppressive effects of coumarins from Mammea siamensis on inducible nitric oxide synthase expression in RAW264.7 cells. Bioorg. Med. Chem. 2012, 20, 4968–4977. [Google Scholar] [CrossRef] [PubMed]
- Ninomiya, K.; Shibatani, K.; Sueyoshi, M.; Chaipech, S.; Pongpiriyadacha, Y.; Hayakawa, T.; Muraoka, O.; Morikawa, T. Aromatase inhibitory activity of geranylated coumarins, mammeasins C and D, isolated from the flowers of Mammea siamensis. Chem. Pharm. Bull. 2016, 64, 880–885. [Google Scholar] [CrossRef] [PubMed]
- Luo, F.; Manse, Y.; Chaipech, S.; Pongpiriyadacha, Y.; Muraoka, O.; Morikawa, T. Phytochemicals with chemopreventive activity obtained from the Thai medicinal plant Mammea siamensis (Miq.) T. Anders.: Isolation and structure determination of new prenylcoumarins with inhibitory activity against aromatase. Int. J. Mol. Sci. 2022, 23, 11233. [Google Scholar] [CrossRef]
- Morikawa, T.; Luo, F.; Manse, Y.; Sugita, H.; Saeki, S.; Chaipech, S.; Pongpiriyadacha, Y.; Muraoka, O.; Ninomiya, K. Geranylated coumarins from Thai medicinal plant Memmea siamensis with testosterone 5α-reductase inhibitory activity. Front. Chem. 2020, 8, 199. [Google Scholar] [CrossRef]
- Luo, F.; Sugita, H.; Muraki, K.; Saeki, S.; Chaipech, S.; Pongpiriyadacha, Y.; Muraoka, O.; Morikawa, T. Anti-proliferative activities of coumarins from the Thai medicinal plant Mammea siamensis (Miq.) T. Anders. Against human digestive tract carcinoma cell lines. Fitoterapia 2021, 148, 104780. [Google Scholar] [CrossRef]
- Mayers, R.B.; Parker, M.; Grizzle, W.E. The effects of coumarin and suramin on the growth of malignant renal and prostate cell lines. J. Cancer Res. Clin. Oncol. 1994, 120 (Suppl. 1), S11–S13. [Google Scholar] [CrossRef]
- Han, H.-Y.; Wen, P.; Liu, H.-W.; Wang, N.-L.; Yao, X.-S. Coumarins from Campylotropis hirtella (Franch.) Schindl. And their inhibitory activity on prostate specific antigen secreted from LNCaP cells. Chem. Pharm. Bull. 2008, 56, 1338–1341. [Google Scholar] [CrossRef]
- Akkol, E.K.; Genç, Y.; Karpuz, B.; Sobarzo-Sánchez, E. Coumarins and coumarin-related compounds in pharmacotherapy of cancer. Cancers 2020, 12, 1959. [Google Scholar] [CrossRef] [PubMed]
- Horoszewicz, J.S.; Leong, S.S.; Chu, T.M.; Wajsman, Z.L.; Friedman, M.; Papsidero, L.; Kim, U.; Chai, L.S.; Kakati, S.; Arya, S.K.; et al. The LNCaP cell line–A new model for studies on human prostatic carcinoma. Prog. Clin. Biol. Res. 1980, 37, 115–132. [Google Scholar] [PubMed]
- Chuu, C.-P.; Kokontis, J.M.; Hiipakka, R.A.; Liao, S. Modulation of liver X receptor signalling as novel therapy for prostate cancer. J. Biomed. Sci. 2007, 14, 543–553. [Google Scholar] [CrossRef]
- Chuu, C.-P.; Kokontis, J.M.; Hiipakka, R.A.; Fukuchi, J.; Lin, H.-P.; Lim, C.-Y.; Huo, C.; Su, L.-C. Androgens as therapy for androgen receptor-positive castration-resistant prostate cancer. J. Biomed. Sci. 2011, 18, 63. [Google Scholar] [CrossRef]
- Horoszewicz, J.S.; Leong, S.S.; Kawinski, E.; Karr, J.P.; Rosenthal, H.; Chu, T.M.; Mirand, E.A.; Murphy, G.P. LNCaP model of human prostatic carcinoma. Cancer Res. 1983, 43, 1809–1818. [Google Scholar] [PubMed]
- Namekawa, T.; Ikeda, K.; Horie-Inoue, K.; Inoue, S. Application of prostate cancer models for preclinical study: Advantages and limitations of cell lines, patient-derived xenografts, and three-dimensional culture of patient-derived cells. Cells 2019, 8, 74. [Google Scholar] [CrossRef]
- Crombie, L.; Jones, R.C.F.; Palmer, C.J. Synthesis of the insecticidal 1'-acetoxy-mammeins and surangin B. Tetrahedron Lett. 1985, 26, 2933–2936. [Google Scholar] [CrossRef]
- Crombie, L.; Jones, R.C.F.; Palmer, C.J. Synthesis of the Mammea coumarins. Part 2. Experiments in the mammea E series and synthesis of mammea E/AC. J. Chem. Soc. Perkin Trans. I 1987, 333–343. [Google Scholar] [CrossRef]
- Liew, S.Y.; Looi, C.Y.; Paydar, M.; Cheah, F.K.; Leong, K.H.; Wong, W.F.; Mustafa, M.R.; Litaudon, M.; Awang, K. Subditine, a new monoterpenoid indole alkaloid from bark of Nauclea subdita (Korth.) steud. Induces apoptosis in human prostate cancer cells. PLoS ONE 2014, 9, e87286. [Google Scholar] [CrossRef]
- Pandey, S.; Walpole, C.; Shaw, P.N.; Cabot, P.J.; Hewavitharana, A.K.; Batra, J. Bio-guided fractionation of papaya leaf juice for delineation the components responsible for the selective anti-proliferative effects on prostate cancer cells. Front. Pharmacol. 2018, 9, 1319. [Google Scholar] [CrossRef]
- Tanabe, G.; Tsutsui, N.; Shibatani, K.; Marumoto, S.; Ishikawa, F.; Ninomiya, K.; Muraoka, O.; Morikawa, T. Total syntheses of the aromatase inhibitors, mammeasins C and D, from Thai medicinal plant Mammea siamensis. Tetrahedron 2017, 73, 4481–4486. [Google Scholar] [CrossRef]
- Tindall, D.J.; Rittmaster, R.S. The rationale for inhibiting 5α-reductase isoenzymes in the prevention and treatment of prostate cancer. J. Urol. 2008, 179, 1235–1242. [Google Scholar] [CrossRef]
- Chau, C.H.; Figg, W.D. Revisiting 5α-reductase inhibitors and the risk of prostate cancer. Nat. Rev. Urol. 2018, 15, 400–401. [Google Scholar] [CrossRef]
- Wallerstedt, A.; Strom, P.; Gronberg, H.; Nordstrom, T.; Eklund, M. Risk of prostate cancer in men treated with 5α-reductase inhibitors–A large population-based prospective study. J. Natl. Cancer Inst. 2018, 110, 1216–1221. [Google Scholar] [CrossRef]
Disclaimer/Publisher’s Note: The statements, opinions and data contained in all publications are solely those of the individual author(s) and contributor(s) and not of MDPI and/or the editor(s). MDPI and/or the editor(s) disclaim responsibility for any injury to people or property resulting from any ideas, methods, instructions or products referred to in the content. |
© 2023 by the authors. Licensee MDPI, Basel, Switzerland. This article is an open access article distributed under the terms and conditions of the Creative Commons Attribution (CC BY) license (https://creativecommons.org/licenses/by/4.0/).



