The Potential of TRPA1 as a Therapeutic Target in Cancer—A Study Using Bioinformatic Tools
Abstract
1. Introduction
2. Results
2.1. TRPA1 Gene Expression and Prognostic Value in Pan-Cancer Patients
2.2. TRPA1 Expression Correlates with Cancer Stages and Metastasis
2.3. TRPA1 Expression Is Modified in Tumor-Infiltrating Immune Cells
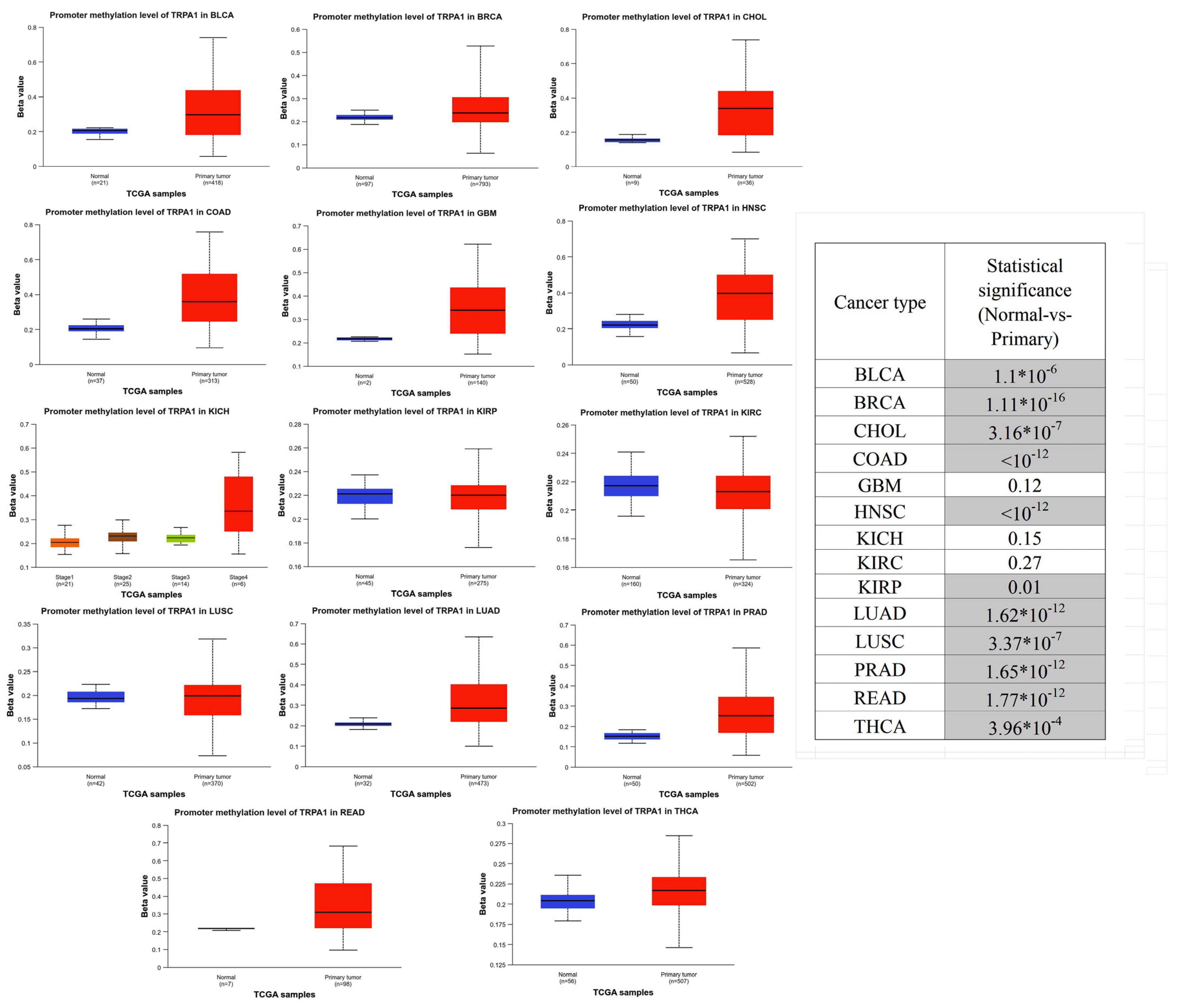
2.4. Gene Promoter Methylation
2.5. TRPA1 Expression Correlates with Genes Important in Inflammation, Oxidative Stress and Cellular Migration
3. Discussion
4. Materials and Methods
4.1. Expression Analysis of TRPA1
4.2. Survival Analysis of TRPA1
4.3. Correlation Analysis of TRPA1 Expression and Cancer Stages or Metastasis
4.4. Correlation Between TRPA1 and Immune Cells
4.5. Hypermethylation of TRPA1 Gene Promoter with UALCAN
4.6. Correlation of TRPA1 with Other Genes
5. Conclusions
Funding
Institutional Review Board Statement
Informed Consent Statement
Data Availability Statement
Conflicts of Interest
Abbreviations
| Acronym | Full Name/Description |
| BRCA | invasive breast carcinoma |
| CHOL | cholangiocarcinoma |
| HNSC | head and neck squamous cell carcinoma |
| KIRC | kidney renal clear cell carcinoma |
| LIHC | liver hepatocellular carcinoma |
| LUAD | lung adenocarcinoma |
| LUSC | lung squamous cell carcinoma |
| PRAD | prostate adenocarcinoma |
| THCA | thyroid carcinoma |
| BLCA | bladder urothelial carcinoma |
| COAD | colon adenocarcinoma |
| KICH | kidney chromophobe |
| GBM | glioblastoma multiforme |
| READ | rectum adenocarcinoma |
| STAD | stomach adenocarcinoma |
| SKCM | skin cutaneous melanoma |
| UVM | uveal melanoma |
| PAX6 | Paired Box 6 gene encoding a transcription factor important in neurogenesis and proliferation |
| ANK1 | ankyrin 1 gene encoding for ankyrin proteins that organize, transport and anchor ion transporters to the actin and spectrin cytoskeleton |
| CALM3 | Calmodulin 3 gene encoding for Calmodulin 3, a protein important in calcium signalling |
| BCL11B | B-cell lymphoma/leukaemia 11B, a protein connected to immune regulation |
| CUX1 | cut like homeobox 1 gene, encoding a homeodomain-containing transcription factor that is essential for the development and differentiation of multiple tissues and a haplo-insufficient tumour suppressor |
| EMX1 | empty spiracles homeobox 1 gene, encoding a transcription factor important in neuronal development and proliferation |
| FGFR2 | Fibroblast Growth Factor Receptor 2 gene |
| MCOL1/2 | Mucolipin TRP Cation Channel 1 and 2 gene, encodes a member of the TRPML channels |
| PKD1 | Polycystin 1, Transient Receptor Potential Channel Interacting gene |
References
- Story, G.M.; Peier, A.M.; Reeve, A.J.; Eid, S.R.; Mosbacher, J.; Hricik, T.R.; Earley, T.J.; Hergarden, A.C.; Andersson, D.A.; Hwang, S.W.; et al. ANKTM1, a TRP-like channel expressed in nociceptive neurons, is activated by cold temperatures. Cell 2003, 112, 819–829. [Google Scholar] [CrossRef] [PubMed]
- Yao, K.; Dou, B.; Zhang, Y.; Chen, Z.; Li, Y.; Fan, Z.; Ma, Y.; Du, S.; Wang, J.; Xu, Z.; et al. Inflammation-the role of TRPA1 channel. Front. Physiol. 2023, 14, 1093925. [Google Scholar] [CrossRef] [PubMed]
- Piciu, F.; Balas, M.; Badea, M.A.; Cucu, D. TRP Channels in Tumoral Processes Mediated by Oxidative Stress and Inflammation. Antioxidants 2023, 12, 1327. [Google Scholar] [CrossRef] [PubMed]
- Buch, T.R.; Schafer, E.A.; Demmel, M.T.; Boekhoff, I.; Thiermann, H.; Gudermann, T.; Steinritz, D.; Schmidt, A. Functional expression of the transient receptor potential channel TRPA1, a sensor for toxic lung inhalants, in pulmonary epithelial cells. Chem.-Biol. Interact. 2013, 206, 462–471. [Google Scholar] [CrossRef]
- Cojocaru, F.; Selescu, T.; Domocos, D.; Marutescu, L.; Chiritoiu, G.; Chelaru, N.R.; Dima, S.; Mihailescu, D.; Babes, A.; Cucu, D. Functional expression of the transient receptor potential ankyrin type 1 channel in pancreatic adenocarcinoma cells. Sci. Rep. 2021, 11, 2018. [Google Scholar] [CrossRef]
- Wu, Y.T.; Yen, S.L.; Li, C.F.; Chan, T.C.; Chen, T.J.; Lee, S.W.; He, H.L.; Chang, I.W.; Hsing, C.H.; Shiue, Y.L. Overexpression of Transient Receptor Protein Cation Channel Subfamily A Member 1, Confers an Independent Prognostic Indicator in Nasopharyngeal Carcinoma. J. Cancer 2016, 7, 1181–1188. [Google Scholar] [CrossRef]
- Hudhud, L.; Rozmer, K.; Kecskes, A.; Pohoczky, K.; Bencze, N.; Buzas, K.; Szoke, E.; Helyes, Z. Transient Receptor Potential Ankyrin 1 Ion Channel Is Expressed in Osteosarcoma and Its Activation Reduces Viability. Int. J. Mol. Sci. 2024, 25, 3760. [Google Scholar] [CrossRef]
- Faris, P.; Rumolo, A.; Pellavio, G.; Tanzi, M.; Vismara, M.; Berra-Romani, R.; Gerbino, A.; Corallo, S.; Pedrazzoli, P.; Laforenza, U.; et al. Transient receptor potential ankyrin 1 (TRPA1) mediates reactive oxygen species-induced Ca(2+) entry, mitochondrial dysfunction, and caspase-3/7 activation in primary cultures of metastatic colorectal carcinoma cells. Cell Death Discov. 2023, 9, 213. [Google Scholar] [CrossRef]
- Deveci, H.A.; Akyuva, Y.; Nur, G.; Naziroglu, M. Alpha lipoic acid attenuates hypoxia-induced apoptosis, inflammation and mitochondrial oxidative stress via inhibition of TRPA1 channel in human glioblastoma cell line. Biomed. Pharmacother. 2019, 111, 292–304. [Google Scholar] [CrossRef]
- Chen, H.; Li, C.; Hu, H.; Zhang, B. Activated TRPA1 plays a therapeutic role in TMZ resistance in glioblastoma by altering mitochondrial dynamics. BMC Mol. Cell Biol. 2022, 23, 38. [Google Scholar] [CrossRef]
- Piciu, F.; Domocos, D.; Chiritoiu, G.; Chiritoiu-Butnaru, M.; Mernea, M.; Popescu, C.G.; Mihai, D.P.; Galateanu, B.; Hudita, A.; Babes, A.; et al. Transient Receptor Potential Ankyrin 1 (TRPA1) Modulation by 4-Hydroxynonenal (4-HNE) in Pancreatic Adenocarcinoma Cell Lines: Putative Roles for Therapies. Pharmaceuticals 2024, 17, 344. [Google Scholar] [CrossRef] [PubMed]
- Chelaru, N.R.; Chiosa, A.; Sorop, A.; Spiridon, A.; Cojocaru, F.; Domocos, D.; Cucu, D.; Popescu, I.; Dima, S.O. The Association between TRP Channels Expression and Clinicopathological Characteristics of Patients with Pancreatic Adenocarcinoma. Int. J. Mol. Sci. 2022, 23, 9045. [Google Scholar] [CrossRef] [PubMed]
- Bartha, A.; Gyorffy, B. TNMplot.com: A Web Tool for the Comparison of Gene Expression in Normal, Tumor and Metastatic Tissues. Int. J. Mol. Sci. 2021, 22, 2622. [Google Scholar] [CrossRef] [PubMed]
- Meng, J.; Wang, J.; Steinhoff, M.; Dolly, J.O. TNFalpha induces co-trafficking of TRPV1/TRPA1 in VAMP1-containing vesicles to the plasmalemma via Munc18-1/syntaxin1/SNAP-25 mediated fusion. Sci. Rep. 2016, 6, 21226. [Google Scholar] [CrossRef]
- Zhang, J.; Gao, Q.; Hou, S.; Chi, X.; Zheng, M.; Zhang, Q.; Shan, H.; Zhang, X.; Kang, C. Role of PAX6, TRPA1, BCL11B, MCOLN2, CUX1, EMX1 in colorectal cancer and osteosarcoma. Medicine 2024, 103, e37056. [Google Scholar] [CrossRef]
- Moccia, F.; Montagna, D. Transient Receptor Potential Ankyrin 1 (TRPA1) Channel as a Sensor of Oxidative Stress in Cancer Cells. Cells 2023, 12, 1261. [Google Scholar] [CrossRef]
- Naziroglu, M.; Radu, B.M.; Cucu, D. Editorial: Transient receptor potential (TRP) ion channels in non-excitable cells. Front. Physiol. 2023, 14, 1213332. [Google Scholar] [CrossRef]
- Landini, L.; Souza Monteiro de Araujo, D.; Titiz, M.; Geppetti, P.; Nassini, R.; De Logu, F. TRPA1 Role in Inflammatory Disorders: What Is Known So Far? Int. J. Mol. Sci. 2022, 23, 4529. [Google Scholar] [CrossRef]
- Park, Y.R.; Chun, J.N.; So, I.; Kim, H.J.; Baek, S.; Jeon, J.H.; Shin, S.Y. Data-driven Analysis of TRP Channels in Cancer: Linking Variation in Gene Expression to Clinical Significance. Cancer Genom. Proteom. 2016, 13, 83–90. [Google Scholar]
- Feng, F.; Xu, W.; Lian, C.; Wang, L.; Wang, Z.; Chen, H.; Wang, X.; Wang, H.; Zhang, J. Tuberculosis to lung cancer: Application of tuberculosis signatures in identification of lung adenocarcinoma subtypes and marker screening. J. Cancer 2024, 15, 5329–5350. [Google Scholar] [CrossRef]
- Bernardini, M.; Brossa, A.; Chinigo, G.; Grolez, G.P.; Trimaglio, G.; Allart, L.; Hulot, A.; Marot, G.; Genova, T.; Joshi, A.; et al. Transient Receptor Potential Channel Expression Signatures in Tumor-Derived Endothelial Cells: Functional Roles in Prostate Cancer Angiogenesis. Cancers 2019, 11, 956. [Google Scholar] [CrossRef] [PubMed]
- Liu, Y.; Yao, X.; Zhao, W.; Xu, J.; Zhang, H.; Huang, T.; Wu, C.; Yang, J.; Tang, C.; Ye, Q.; et al. A comprehensive analysis of TRP-related gene signature, and immune infiltration in patients with colorectal cancer. Discov. Oncol. 2024, 15, 357. [Google Scholar] [CrossRef] [PubMed]
- Gombert, S.; Rhein, M.; Winterpacht, A.; Munster, T.; Hillemacher, T.; Leffler, A.; Frieling, H. Correction to: Transient receptor potential ankyrin 1 promoter methylation and peripheral pain sensitivity in Crohn’s disease. Clin. Epigenetics 2021, 13, 67. [Google Scholar] [CrossRef] [PubMed]
- Bell, J.T.; Loomis, A.K.; Butcher, L.M.; Gao, F.; Zhang, B.; Hyde, C.L.; Sun, J.; Wu, H.; Ward, K.; Harris, J.; et al. Differential methylation of the TRPA1 promoter in pain sensitivity. Nat. Commun. 2014, 5, 2978. [Google Scholar] [CrossRef]
- Nummenmaa, E.; Hamalainen, M.; Moilanen, L.J.; Moilanen, T.; Vuolteenaho, K.; Moilanen, E. TRPA1 expression is downregulated by dexamethasone and aurothiomalate in human chondrocytes: TRPA1 as a novel factor and drug target in arthritis. RMD Open 2017, 3, e000556. [Google Scholar] [CrossRef]
- Wang, X.L.; Cui, L.W.; Liu, Z.; Gao, Y.M.; Wang, S.; Li, H.; Liu, H.X.; Yu, L.J. Effects of TRPA1 activation and inhibition on TRPA1 and CGRP expression in dorsal root ganglion neurons. Neural Regen. Res. 2019, 14, 140–148. [Google Scholar] [CrossRef]
- Srivastava, S.; Siddiqui, S.; Singh, S.; Chowdhury, S.; Upadhyay, V.; Sethi, A.; Kumar Trivedi, A. Dexamethasone induces cancer mitigation and irreversible senescence in lung cancer cells via damaging cortical actin and sustained hyperphosphorylation of pRb. Steroids 2023, 198, 109269. [Google Scholar] [CrossRef]
- Takahashi, N.; Chen, H.Y.; Harris, I.S.; Stover, D.G.; Selfors, L.M.; Bronson, R.T.; Deraedt, T.; Cichowski, K.; Welm, A.L.; Mori, Y.; et al. Cancer Cells Co-opt the Neuronal Redox-Sensing Channel TRPA1 to Promote Oxidative-Stress Tolerance. Cancer Cell 2018, 33, 985–1003.e7. [Google Scholar] [CrossRef]
- Liu, P.; Behray, M.; Wang, Q.; Wang, W.; Zhou, Z.; Chao, Y.; Bao, Y. Anti-cancer activities of allyl isothiocyanate and its conjugated silicon quantum dots. Sci. Rep. 2018, 8, 1084. [Google Scholar] [CrossRef]
- Liao, C.L.; Peng, S.F.; Chen, J.C.; Chen, P.Y.; Huang, A.C.; Lien, J.C.; Chueh, F.S.; Chiang, T.A.; Wu, P.P.; Lin, K.I. Allyl Isothiocyanate Induces DNA Damage and Impairs DNA Repair in Human Breast Cancer MCF-7 Cells. Anticancer Res. 2021, 41, 4343–4351. [Google Scholar] [CrossRef]
- Ren, X.; Zhang, G.; Ling, X.; Zhang, L.; Tian, Y.; Zhu, G.; Wang, P.; Leavenworth, J.W.; Luo, L.; Li, F. Allyl-isothiocyanate against colorectal cancer via the mutual dependent regulation of p21 and Nrf2. Eur. J. Pharmacol. 2023, 957, 176016. [Google Scholar] [CrossRef] [PubMed]
- Wu, Y.; Xu, J.; Liu, Y.; Zeng, Y.; Wu, G. A Review on Anti-Tumor Mechanisms of Coumarins. Front. Oncol. 2020, 10, 592853. [Google Scholar] [CrossRef] [PubMed]
- Sallomy, C.; Awolade, P.; Rahnasto-Rilla, M.; Hamalainen, M.; Nousiainen, L.P.; Johansson, N.G.; Hiltunen, S.; Turhanen, P.; Moilanen, E.; Lahtela-Kakkonen, M.; et al. TRPA1 Inhibition Effects by 3-Phenylcoumarin Derivatives. ACS Med. Chem. Lett. 2024, 15, 1221–1226. [Google Scholar] [CrossRef] [PubMed]
- Yang, T.; Zhang, J.; Zhou, J.; Zhu, M.; Wang, L.; Yan, L. Resveratrol inhibits Interleukin-6 induced invasion of human gastric cancer cells. Biomed. Pharmacother. 2018, 99, 766–773. [Google Scholar] [CrossRef] [PubMed]
- Subedi, L.; Venkatesan, R.; Kim, S.Y. Neuroprotective and Anti-Inflammatory Activities of Allyl Isothiocyanate through Attenuation of JNK/NF-kappaB/TNF-alpha Signaling. Int. J. Mol. Sci. 2017, 18, 1423. [Google Scholar] [CrossRef]
- Zhang, M.; Chen, X.; Zhang, L.; Li, J.; Sun, C.; Zhou, G.; Wan, H.; Lu, W.; Dong, H. Zinc pyrithione ameliorates colitis in mice by interacting on intestinal epithelial TRPA1 and TRPV4 channels. Life Sci. 2024, 358, 123090. [Google Scholar] [CrossRef]
- Francesconi, O.; Corzana, F.; Kontogianni, G.I.; Pesciullesi, G.; Gualdani, R.; Supuran, C.T.; Angeli, A.; Kavasi, R.M.; Chatzinikolaidou, M.; Nativi, C. Lipoyl-Based Antagonists of Transient Receptor Potential Cation A (TRPA1) Downregulate Osteosarcoma Cell Migration and Expression of Pro-Inflammatory Cytokines. ACS Pharmacol. Transl. Sci. 2022, 5, 1119–1127. [Google Scholar] [CrossRef]
- Zhang, L.; An, X.; Wang, Q.; He, M. Activation of Cold-Sensitive Channels TRPM8 and TRPA1 Inhibits the Proliferative Airway Smooth Muscle Cell Phenotype. Lung 2016, 194, 595–603. [Google Scholar] [CrossRef]
- Park, J.; Shim, M.K.; Jin, M.; Rhyu, M.R.; Lee, Y. Methyl syringate, a TRPA1 agonist represses hypoxia-induced cyclooxygenase-2 in lung cancer cells. Phytomed. Int. J. Phytother. Phytopharm. 2016, 23, 324–329. [Google Scholar] [CrossRef]












Disclaimer/Publisher’s Note: The statements, opinions and data contained in all publications are solely those of the individual author(s) and contributor(s) and not of MDPI and/or the editor(s). MDPI and/or the editor(s) disclaim responsibility for any injury to people or property resulting from any ideas, methods, instructions or products referred to in the content. |
© 2024 by the author. Licensee MDPI, Basel, Switzerland. This article is an open access article distributed under the terms and conditions of the Creative Commons Attribution (CC BY) license (https://creativecommons.org/licenses/by/4.0/).
Share and Cite
Cucu, D. The Potential of TRPA1 as a Therapeutic Target in Cancer—A Study Using Bioinformatic Tools. Pharmaceuticals 2024, 17, 1657. https://doi.org/10.3390/ph17121657
Cucu D. The Potential of TRPA1 as a Therapeutic Target in Cancer—A Study Using Bioinformatic Tools. Pharmaceuticals. 2024; 17(12):1657. https://doi.org/10.3390/ph17121657
Chicago/Turabian StyleCucu, Dana. 2024. "The Potential of TRPA1 as a Therapeutic Target in Cancer—A Study Using Bioinformatic Tools" Pharmaceuticals 17, no. 12: 1657. https://doi.org/10.3390/ph17121657
APA StyleCucu, D. (2024). The Potential of TRPA1 as a Therapeutic Target in Cancer—A Study Using Bioinformatic Tools. Pharmaceuticals, 17(12), 1657. https://doi.org/10.3390/ph17121657

