Exploring Biosurfactants as Antimicrobial Approaches
Abstract
1. Introduction
2. Biosurfactants: Classes and Physicochemical Properties
| Micro-Organism | Growth Medium | mBS | Properties | Ref. | |
|---|---|---|---|---|---|
| CMC (mg/L) | γCMC (mNm−1) a | ||||
| P. aeruginosa | Rhamnolipids | [61,62] | |||
| Soybean oil waste | R2C10C10 (pure) b | 110.0 | 28.8 | ||
| Soybean oil waste | M6 (mixture) c | 230.0 | 27.3 | ||
| Soybean oil waste | M7 (mixture) d | 150.0 | 26.8 | ||
| Frying oil waste | RL47T2 (mixture) e | 108.0 | 32.8 | ||
| Sugarcane molasses + corn steep liquor | Mono-rhamnolipids | 50.0 | 25.9 | [63] | |
| Di-rhamnolipids | 15.0 | 33.5 | |||
| Sugarcane molasses + corn steep liquor + NaCl (875 mM) | Mono-rhamnolipids | 25.0 | 25.9 | [64] | |
| Di-rhamnolipids | 15.0 | 31.7 | |||
| S. bombicola | GPY seed medium supplemented oleic acid or borage oil | Sophorolipids | [65] | ||
| L-C18:0 diacetylated | 29.2 | 35.7 | |||
| L-C18:1 diacetylated | 31.2 | 36.3 | |||
| L-C18:2 diacetylated | 35.0 | 38.5 | |||
| L-C18:3 diacetylated | 39.1 | 38.8 | |||
| B. subtilis | Sucrose, peptone, yeast extract, MgSO4·7H2O, Na2HPO4·12H2O, KH2PO4 | Surfactins | 250.0 | 27.9 | [48,66] |
| Mineral Salt Solution with: | [67] | ||||
| Glucose | Surfactins | 325.1 | 29.2 | ||
| Glycerol | Surfactins | 154.1 | 29.7 | ||
| Lactose | Surfactins | 65.3 | 30.7 | ||
3. Biosurfactants’ Antimicrobial Activity
| BS | Micro-Organism and Method | Results | Ref. |
|---|---|---|---|
| RLs | P. aeruginosa AT10 MIC: dilution method | Antibacterial activity against Gram-negative bacteria: A. faecalis (32 µg/mL), B. bronchiseptica (128 µg/mL), E. coli (32 µg/mL), S. thyphinurium (128 µg/mL), S. marcescens (16 µg/mL). Antibacterial activity against Gram-positive bacteria: A. oxidans (16 µg/mL), B. subtilis (64 µg/mL), M. luteus (32 µg/mL), M. phlei (16 µg/mL), S. aureus (128 µg/mL), S. epidermidis (8 µg/mL), S. faecalis (64 µg/mL). | [62] |
| P. aeruginosa 47T2 MIC: dilution method | Antibacterial activity against Gram-negative bacteria: A. faecalis (64 µg/mL), B. bronchiseptica (128 µg/mL), E. aerogenes (4 µg/mL), E. coli (64 µg/mL), K. pneumoniae (0.5 µg/mL), P. aeruginosa (256 µg/mL), S. thyphinurium (128 µg/mL), S. marcescens (8 µg/mL). Antibacterial activity against Gram-positive bacteria: A. oxidans (128 µg/mL), B. subtilis (16 µg/mL), M. luteus (64 µg/mL), M. phlei (128 µg/mL), S. aureus (32 µg/mL), S. epidermidis (32 µg/mL), C. perfringens (128 µg/mL). | [63] | |
| P. aeruginosa BM02 MIC: microdilution method | Antibacterial activity against S. aureus and E. faecium (50 µg/mL) | [77] | |
| P. aeruginosa PAO1 MIC: Microdilution method | Antibacterial activity against Cutibacterium acnes (MIC: 15.62 µg/mL; MBC: 31.25 µg/mL) | [78] | |
| P. aeruginosa MR01 Diffusion test | Inhibition diameters (0.3 mg of biosurfactant): B. cereus (30 mm), E. coli (0 mm), S. aureus (14 mm), S. epidermidis (15 mm), P. aeruginosa (0 mm). | [79] | |
| P. aeruginosa DR1 Diffusion test | Mycelial growth inhibition: 60.46% (9 µg) M. phaseolina, 55% (12 µg) F. oxysporium, and 63.63% (13.5 µg) P. nicotianae. | [80] | |
| P. aeruginosa B5 MIC: microdilution method | Antifungal activity against P. capsici (10 µg/mL); C. cucumerinum and C. orbiculare (25 µg/mL); C. destructans, C. kikuchii, and M. grisea (50 µg/mL). | [81] | |
| SLs | Candida sp. = AH62 MIC: microdilution method | Antimicrobial activity against: B. subtilis (2 mg/mL), S. aureus (1 mg/mL), E. coli and P. aeruginosa (4 mg/mL). | [82] |
| S. bombicola MIC: microdilution method | Antimicrobial activity against S. aureus (31.25 µg/mL) and L. monocytogenes (62.50 µg/mL). | [83] | |
| C. tropicalis RA1 MIC: microdilution method | Antibacterial activity against E. coli (1000 µg/mL), L. monocytogenes (500 µg/mL), S. aureus (250 µg/mL). | [84] | |
| R. babjevae YS3 MIC: microdilution method | Antifungal activity against T. mentgrophytes (1 mg/mL—62% of inhibition); (4 mg/mL—100% of inhibition) | [85] | |
| C. bombicola ATCC 22214 MBEC: microdilution method | % Cell survival for S. aureus: 9.62% (6 µg/mL), 1.03% (8 µg/mL), 0.34% (10 µg/mL); for B. subtilis: 91.04% (0.6 µg/mL), 57.41% (0.8 µg/mL), 5.25% (1.0 µg/mL); for E. coli: 58.01% (10 µg/mL), 34.09% (20 µg/mL), 2.05% (30 µg/mL); for P. aeruginosa: 8.77% (1 µg/mL), 2.19% (3 µg/mL), 0.31% (5 µg/mL); for C. albicans: 10.34% (25 µg/mL), 10.34% (50 µg/mL), 6.89% (75 µg/mL). | [86] | |
| Glycolipids | S. saprophyticus SBPS 15 Diffusion test | Antimicrobial activity against K. pneumoniae (23 mm, 0.2 µg), E. coli (20 mm, 0.6 µg), P. aeruginosa (20 mm, 1.6 µg), V. cholerae (18 mm, 3.2 µg), B. subtilis (15 mm, 2.4 µg), S. paratyphi (13 mm, 1.6 µg), S. aureus (11 mm, 0.6 µg). Antifungal activity against C. neoformans (22 mm, 1.6 µg), C. albicans (21 mm, 1.6 µg), A. niger (15 mm, 0.8 µg). | [87] |
| Surfactins | B. circulans Diffusion test | Zones of inhibition (1000 µg/mL of biosurfactant): M. flavus (17.00 mm), B. pumilis (15.33 mm), M. smegmatis (16.00 mm), E. coli (14.66 mm), S. marcescens (14.00 mm), P. vulgaris (10.66 mm), and A. faecalis and K. aerogenes (12.00 mm). | [76] |
| B. circulans MIC: microdilution method | Antimicrobial activity against M. flavus (200 µg/mL), B. pumilis (30 µg/mL), M. smegmatis (50 µg/mL), E. coli (40 µg/mL), S. marcescens (30 µg/mL), P. vulgaris (10 µg/mL), A. faecalis (10 µg/mL), K. aerogenes (80 µg/mL). | [76] | |
| B. velezensis H3 Diffusion test | Zones of inhibition (100 µg/mL of biosurfactant): C. albicans (14 mm), P. aeruginosa (14 mm), S.aureus (11 mm), K. peneumoniae (10 mm). | [88] | |
| B. subtilis Diffusion test | Percentage of growth inhibition of A. flavus (%) with different concentrations of surfactins: 20 mg/L—36%, 40 mg/L—54%, 80 mg/L—84%, 160 mg/L—100%. | [89] | |
| Surfactins and Fengycin | B. subtilis fmbj MIC: microdilution method | Antimicrobial activity against B. cereus: 156.25 μg/mL. | [90] |
| Fengycin | B. thuringiensis MIC: microdilution method | Antimicrobial activity against C. albicans and A. niger (15.62 µg/mL); S. epidermidis and E. coli (1000 µg/mL). | [91] |
| Iturins | B. subtilis K1 MIC: microdilution method | Iturin was more potent against A. niger and A. brunsii (2.5 μg/mL). | [92] |
| Lipopeptide | B. cereus Diffusion test and MIC: microdilution method | Zones of inhibition with 30 mg/mL of biosurfactant against S. aureus (20.2 mm), E. coli (20.2 mm), P. aeruginosa (16.0 mm), K. pneumoniae (15.0 mm), C. albicans (12.8 mm), A. flavus (11.4 mm). Antimicrobial activity against S. aureus (0.5 mg/mL), E. coli (1.04 mg/mL), P. aeruginosa (2.08 mg/mL), K. pneumoniae (4.16 mg/mL), C. albicans (7.6 mg/mL), A. flavus (7.6 mg/mL). | [93] |
| mBS | Micro-Organism, Method, and Surface | Results | Ref. |
|---|---|---|---|
| RLs | P. aeruginosa DS10-129; crystal violet staining; silicone. | Microbial inhibition (%): R. dentocariosa, 60.9%; S. epidermidis, 53.1%; S. salivarius, 58,2%; S. aureus, 33.8%; C. albicans, 38.2%; C. tropicalis, 35.3%. | [116] |
| P. aeruginosa 89; crystal violet staining and MTT assay; medical-grade silicone. P. aeruginosa JS29; Crystal violet staining; 96-well microtiter plates | Biofilm reduction with 0.12 to 2 mg/mL of biosurfactant: 68–89% for S. aureus; 44–96% for S. epidermidis. 90% inhibition of biofilm formation by S. aureus at 2 mg/mL of RL-Glu and 0.5 mg/mL of RL-Gly, while 0.5 mg/mL of both rhamnolipid disrupted 90% of the preformed | [117] [118] | |
| SLs | S. bombicola MTCC 1910; colorimetrix XTT microscopy; 96-well microtiter plates. | Candida albicans, Candida tropicalis, and Candida lusitaniae biofilms were inhibited when SL concentration was 120 μg/mL. | [119] |
| Surfactins | B. amyloliquefaciens NS6; crystal violet staining; polystyrene surfaces. | The S. mutans adhesion was reduced by 94.8% with 80 mg/mL. | [120] |
| B. safensis F4; crystal violet staining; glass. | Inhibition of the biofilm formation against S. epidermidis: 90% with 10 mg/mL and 80% with 5 mg/mL. | [121] | |
| Glycopeptide | L. agilis CCUG31450; crystal violet staining; 96-well microtiter plates. | Antiadhesive activity (%) against S. aureus: 64.6% (10 mg/L); 50.3% (1 mg/mL) | [122] |
4. Enhancing Antimicrobial/Antibiofilm Activity of Materials with Biosurfactants
4.1. Release-Based Antimicrobial Approaches
4.2. Contact-Killing Antimicrobial Approaches
4.3. Antifouling Approaches
5. Structure–Activity Relationship (SAR) of Biosurfactants
| mBS | Structure | Activity | Ref. | |||||
|---|---|---|---|---|---|---|---|---|
| Rhamnolipids (P. aeruginosa) | Antimicrobial Activity against B. Wiedmannii | [143] | ||||||
| Inhibition zone (mm) | Inhibition rate (%) | IC50 (mg/L) | ||||||
| Mono- | 30.7 ± 2.5 | 98.9 | <5 | |||||
| Di- | 20.3 ± 1.5 | 97.8 | 10 | |||||
| IC50 (μg/mL) against Oomycetes, Ascomycota, and Zygomycetes | [144] | |||||||
| Mono- | 70.8–1271.0 | |||||||
| Di- | 7.0–114.5 | |||||||
| Growth inhibition (%) for A. carbonarius | [64] | |||||||
| Mono- | 30.2 | |||||||
| Di- | 33.1 | |||||||
| Sophorolipids (S. bombicola) | MIC (μg/mL) for S. aureus | [128] | ||||||
| C18:2 DLSL | 200 | |||||||
| C18:1 DLSL | 50 | |||||||
| C18:0 DLSL | 50 | |||||||
| Sophorolipids (synthetics) | MIC (µM) for B. Cereus | [147] | ||||||
| Monoacetylated | 25 | |||||||
| Diacetylated | 12 | |||||||
| Mannosylerythritol Lipids (synthetics) | MIC (μg/mL) for M. luteus | |||||||
| MEL-A | MEL-B | MEL-C | MEL-D | [148] | ||||
| C6 | 128 | >128 | 128 | 128 | ||||
| C8 | 32 | 16 | 32 | 32 | ||||
| C10 | 8 | 10 | 10 | 8 | ||||
| C12 | 128 | 128 | 128 | 64 | ||||
| C14 | 128 | 128 | 128 | 128 | ||||
| Anticancer activity | ||||||||
| Rhamnolipids (P. aeruginosa) | HL-60 | BV-173 | SKW-3 | JMSU-1 | [145] | |||
| Mono- | 67 | 50 | 54 | 60 | ||||
| Di- | 77 | 82 | 108 | 140 | ||||
| Sophorolipids (S. bombicola) | IC50 (μg/mL) of HeLa cancer cells | [146] | ||||||
| C18:2 DLSL | 476.46 | |||||||
| C18:1 DLSL | 12.23 | |||||||
| C18:0 DLSL | 30.24 | |||||||
| C16:1 DLSL | 62.78 | |||||||
| C16:0 DLSL | 62.95 | |||||||
| Surfactins (B. subtilis) | IC50 (μg/mL) of Bcap-37 cancer cells | [149] | ||||||
| C13 | 60.81 | |||||||
| C14 | 41.26 | |||||||
| C15 | 29.7 | |||||||
6. Conclusions and Future Perspectives
Author Contributions
Funding
Conflicts of Interest
References
- Larsson, D.G.J.; Flach, C.-F. Antibiotic resistance in the environment. Nat. Rev. Microbiol. 2022, 20, 257–269. [Google Scholar] [CrossRef] [PubMed]
- Aslam, B.; Khurshid, M.; Arshad, M.I.; Muzammil, S.; Rasool, M.; Yasmeen, N.; Shah, T.; Chaudhry, T.H.; Rasool, M.H.; Shahid, A.; et al. Antibiotic Resistance: One Health One World Outlook. Front. Cell. Infect. Microbiol. 2021, 11, 771510. [Google Scholar] [CrossRef]
- Nações Unidas. OMS: Relatório Alerta para Aumento de Resistência a Antibióticos em Infecções Bacterianas. ONU NEWS. 2022. Available online: https://news.un.org/pt/story/2022/12/1806582 (accessed on 13 December 2022).
- Organização Pan-Americana da Saúde. Relatório Sinaliza Aumento da Resistência a Antibióticos em Infecções Bacterianas em Humanos. OPAS. 2022. Available online: https://www.paho.org/pt/noticias/9-12-2022-relatorio-sinaliza-aumento-da-resistencia-antibioticos-em-infeccoes-bacterianas (accessed on 13 December 2022).
- Coates, A.R.M.; Hu, Y. Novel approaches to developing new antibiotics for bacterial infections. Br. J. Pharmacol. 2007, 152, 1147–1154. [Google Scholar] [CrossRef] [PubMed]
- Murugaiyan, J.; Kumar, P.A.; Rao, G.S.; Iskandar, K.; Hawser, S.; Hays, J.P.; Mohsen, Y.; Adukkadukkam, S.; Awuah, W.A.; Jose, R.A.M.; et al. Progress in Alternative Strategies to Combat Antimicrobial Resistance: Focus on Antibiotics. Antibiotics 2022, 11, 200. [Google Scholar] [CrossRef]
- Simões, N.G.; Bettencourt, A.F.; Monge, N.; Ribeiro, I.A. Novel Antibacterial Agents: An Emergent Need to Win the Battle Against Infections. Mini-Reviews Med. Chem. 2017, 17, 1364–1376. [Google Scholar] [CrossRef]
- Huemer, M.; Shambat, S.M.; Brugger, S.D.; Zinkernagel, A.S. Antibiotic resistance and persistence—Implications for human health and treatment perspectives. Embo Rep. 2020, 21, e51034. [Google Scholar] [CrossRef]
- Ye, J.; Chen, X. Current Promising Strategies against Antibiotic-Resistant Bacterial Infections. Antibiotics 2023, 12, 67. [Google Scholar] [CrossRef]
- Olanbiwoninu, A.; Popoola, B. Biofilms and their impact on the food industry. Saudi J. Biol. Sci. 2023, 30, 103523. [Google Scholar] [CrossRef]
- Jian, Z.; Zeng, L.; Xu, T.; Sun, S.; Yan, S.; Yang, L.; Huang, Y.; Jia, J.; Dou, T. Antibiotic resistance genes in bacteria: Occurrence, spread, and control. J. Basic Microbiol. 2021, 61, 1049–1070. [Google Scholar] [CrossRef]
- Wang, S.; Zhao, Y.; Breslawec, A.P.; Liang, T.; Deng, Z.; Kuperman, L.L.; Yu, Q. Strategy to combat biofilms: A focus on biofilm dispersal enzymes. Npj Biofilms Microbiomes 2023, 9, 63. [Google Scholar] [CrossRef]
- Ricardo, S.I.C.; Anjos, I.I.L.; Monge, N.; Faustino, C.M.C.; Ribeiro, I.A.C. A Glance at Antimicrobial Strategies to Prevent Catheter-Associated Medical Infections. ACS Infect. Dis. 2020, 6, 3109–3130. [Google Scholar] [CrossRef] [PubMed]
- Faustino, C.M.; Lemos, S.M.; Monge, N.; Ribeiro, I.A. A scope at antifouling strategies to prevent catheter-associated infections. Adv. Colloid Interface Sci. 2020, 284, 102230. [Google Scholar] [CrossRef] [PubMed]
- Sobrinho, H.B.; Luna, J.M.; Rufino, R.D.; Porto, A.L.F.; Sarubbo, L.A. Biosurfactants: Classification, Properties and Environmental Applications. Recent Dev. Biotechnol. 2013, 11, 1–29. [Google Scholar]
- Sharma, D. Classification and Properties of Biosurfactants. In Biosurfactants in Food; Springer: Cham, Switzerland, 2016; pp. 21–42. [Google Scholar] [CrossRef]
- Liu, J.-F.; Mbadinga, S.M.; Yang, S.-Z.; Gu, J.-D.; Mu, B.-Z. Chemical Structure, Property and Potential Applications of Biosurfactants Produced by Bacillus subtilis in Petroleum Recovery and Spill Mitigation. Int. J. Mol. Sci. 2015, 16, 4814–4837. [Google Scholar] [CrossRef] [PubMed]
- Vieira, I.M.M.; Santos, B.L.P.; Ruzene, D.S.; Silva, D.P. An overview of current research and developments in biosurfactants. J. Ind. Eng. Chem. 2021, 100, 1–18. [Google Scholar] [CrossRef]
- Nagtode, V.S.; Cardoza, C.; Yasin, H.K.A.; Mali, S.N.; Tambe, S.M.; Roy, P.; Singh, K.; Goel, A.; Amin, P.D.; Thorat, B.R.; et al. Green Surfactants (Biosurfactants): A Petroleum-Free Substitute for Sustainability—Comparison, Applications, Market, and Future Prospects. ACS Omega 2023, 8, 11674–11699. [Google Scholar] [CrossRef]
- Sarubbo, L.A.; Silva, M.d.G.C.; Durval, I.J.B.; Bezerra, K.G.O.; Ribeiro, B.G.; Silva, I.A.; Twigg, M.S.; Banat, I.M. Biosurfactants: Production, properties, applications, trends, and general perspectives. Biochem. Eng. J. 2022, 181, 108377. [Google Scholar] [CrossRef]
- Akbari, S.; Abdurahman, N.H.; Yunus, R.M.; Fayaz, F.; Alara, O.R. Biosurfactants—A new frontier for social and environmental safety: A mini review. Biotechnol. Res. Innov. 2018, 2, 81–90. [Google Scholar] [CrossRef]
- UN. 17 Goals to Transform Our World. United Nations Climate Action. 2022, pp. 1–37. Available online: https://www.un.org/en/climatechange/17-goals-to-transform-our-world (accessed on 15 March 2024).
- Farias, C.B.B.; Almeida, F.C.; Silva, I.A.; Souza, T.C.; Meira, H.M.; Silva, R.d.C.F.S.d.; Luna, J.M.; Santos, V.A.; Converti, A.; Banat, I.M.; et al. Production of green surfactants: Market prospects. Electron. J. Biotechnol. 2021, 51, 28–39. [Google Scholar] [CrossRef]
- Karnwal, A.; Shrivastava, S.; Al-Tawaha, A.R.M.S.; Kumar, G.; Singh, R.; Kumar, A.; Mohan, A.; Yogita, T.; Malik, T. Microbial Biosurfactant as an Alternate to Chemical Surfactants for Application in Cosmetics Industries in Personal and Skin Care Products: A Critical Review. BioMed Res. Int. 2023, 2023, 2375223. [Google Scholar] [CrossRef]
- Shu, Q.; Lou, H.; Wei, T.; Liu, X.; Chen, Q. Contributions of Glycolipid Biosurfactants and Glycolipid-Modified Materials to Antimicrobial Strategy: A Review. Pharmaceutics 2021, 13, 227. [Google Scholar] [CrossRef] [PubMed]
- Kashif, A.; Rehman, R.; Fuwad, A.; Shahid, M.K.; Dayarathne, H.; Jamal, A.; Aftab, M.N.; Mainali, B.; Choi, Y. Current advances in the classification, production, properties and applications of microbial biosurfactants—A critical review. Adv. Colloid Interface Sci. 2022, 306, 102718. [Google Scholar] [CrossRef] [PubMed]
- Santos, D.K.F.; Rufino, R.D.; Luna, J.M.; Santos, V.A.; Sarubbo, L.A. Biosurfactants: Multifunctional Biomolecules of the 21st Century. Int. J. Mol. Sci. 2016, 17, 401. [Google Scholar] [CrossRef] [PubMed]
- Sharma, J.; Sundar, D.; Srivastava, P. Biosurfactants: Potential Agents for Controlling Cellular Communication, Motility, and Antagonism. Front. Mol. Biosci. 2021, 8, 727070. [Google Scholar] [CrossRef] [PubMed]
- Jahan, R.; Bodratti, A.M.; Tsianou, M.; Alexandridis, P. Biosurfactants, natural alternatives to synthetic surfactants: Physicochemical properties and applications. Adv. Colloid Interface Sci. 2020, 275, 102061. [Google Scholar] [CrossRef]
- Inès, M.; Dhouha, G. Glycolipid biosurfactants: Potential related biomedical and biotechnological applications. Carbohydr. Res. 2015, 416, 59–69. [Google Scholar] [CrossRef]
- Mnif, I.; Ellouz-Chaabouni, S.; Ghribi, D. Glycolipid Biosurfactants, Main Classes, Functional Properties and Related Potential Applications in Environmental Biotechnology. J. Polym. Environ. 2018, 26, 2192–2206. [Google Scholar] [CrossRef]
- Moldes, A.; Vecino, X.; Rodríguez-López, L.; Rincón-Fontán, M.; Cruz, J.M. Biosurfactants: The use of biomolecules in cosmetics and detergents. In New and Future Developments in Microbial Biotechnology and Bioengineering; Elsevier: Amsterdam, The Netherlands, 2020; pp. 163–185. [Google Scholar] [CrossRef]
- Thakur, P.; Saini, N.K.; Thakur, V.K.; Gupta, V.K.; Saini, R.V.; Saini, A.K. Rhamnolipid the Glycolipid Biosurfactant: Emerging trends and promising strategies in the field of biotechnology and biomedicine. Microb. Cell Factories 2021, 20, 1. [Google Scholar] [CrossRef]
- Abdel-Mawgoud, A.M.; Lépine, F.; Déziel, E. Rhamnolipids: Diversity of structures, microbial origins and roles. Appl. Microbiol. Biotechnol. 2010, 86, 1323–1336. [Google Scholar] [CrossRef]
- Morita, T.; Fukuoka, T.; Imura, T.; Kitamoto, D. Glycolipid Biosurfactants. In Reference Module in Chemistry, Molecular Sciences and Chemical Engineering; Elsevier: Amsterdam, The Netherlands, 2016; pp. 1–7. [Google Scholar] [CrossRef]
- Chong, H.; Li, Q. Microbial production of rhamnolipids: Opportunities, challenges and strategies. Microb. Cell Factories 2017, 16, 137. [Google Scholar] [CrossRef]
- Kuyukina, M.S.; Ivshina, I.B.; Baeva, T.A.; Kochina, O.A.; Gein, S.V.; Chereshnev, V.A. Trehalolipid biosurfactants from nonpathogenic Rhodococcus actinobacteria with diverse immunomodulatory activities. New Biotechnol. 2015, 32, 559–568. [Google Scholar] [CrossRef] [PubMed]
- Shao, Z. Trehalolipids. In Biosurfactants: From Genes to Applications; Springer-Verlag: Berlin, Germany, 2011; pp. 121–143. [Google Scholar] [CrossRef]
- Wang, Y.; Nie, M.; Diwu, Z.; Lei, Y.; Li, H.; Bai, X. Characterization of trehalose lipids produced by a unique environmental isolate bacterium Rhodococcus qingshengii strain FF. J. Appl. Microbiol. 2019, 127, 1442–1453. [Google Scholar] [CrossRef]
- Cho, W.Y.; Ng, J.F.; Yap, W.H.; Goh, B.H. Sophorolipids—Bio-Based Antimicrobial Formulating Agents for Applications in Food and Health. Molecules 2022, 27, 5556. [Google Scholar] [CrossRef] [PubMed]
- Anjos, I.; Bettencourt, A.F.; Ribeiro, I.A.C. Urinary Stents: Current State and Future Perspectives; Urinary Stents; Soria, F., Rako, D., de Graaf, P., Eds.; Springer International Publishing: Cham, Switzerland, 2022; Volume 11, pp. 291–301. [Google Scholar] [CrossRef]
- Arutchelvi, J.I.; Bhaduri, S.; Uppara, P.V.; Doble, M. Mannosylerythritol lipids: A review. J. Ind. Microbiol. Biotechnol. 2008, 35, 1559–1570. [Google Scholar] [CrossRef] [PubMed]
- Morita, T.; Fukuoka, T.; Imura, T.; Kitamoto, D. Mannosylerythritol Lipids: Production and Applications. J. Oleo Sci. 2015, 64, 133–141. [Google Scholar] [CrossRef]
- Konishi, M.; Morita, T.; Fukuoka, T.; Imura, T.; Kakugawa, K.; Kitamoto, D. Production of different types of mannosylerythritol lipids as biosurfactants by the newly isolated yeast strains belonging to the genus Pseudozyma. Appl. Microbiol. Biotechnol. 2007, 75, 521–531. [Google Scholar] [CrossRef]
- Inès, M.; Dhouha, G. Lipopeptide surfactants: Production, recovery and pore forming capacity. Peptides 2015, 71, 100–112. [Google Scholar] [CrossRef]
- Meena, K.R.; Kanwar, S.S. Lipopeptides as the Antifungal and Antibacterial Agents: Applications in Food Safety and Therapeutics. BioMed Res. Int. 2015, 2015, 473050. [Google Scholar] [CrossRef] [PubMed]
- Zhao, H.; Shao, D.; Jiang, C.; Shi, J.; Li, Q.; Huang, Q.; Rajoka, M.S.R.; Yang, H.; Jin, M. Biological activity of lipopeptides from Bacillus. Appl. Microbiol. Biotechnol. 2017, 101, 5951–5960. [Google Scholar] [CrossRef]
- Mnif, I.; Ghribi, D. Review lipopeptides biosurfactants: Mean classes and new insights for industrial, biomedical, and environmental applications. Pept. Sci. 2015, 104, 129–147. [Google Scholar] [CrossRef]
- Zhen, C.; Ge, X.-F.; Lu, Y.-T.; Liu, W.-Z. Chemical structure, properties and potential applications of surfactin, as well as advanced strategies for improving its microbial production. AIMS Microbiol. 2023, 9, 195–217. [Google Scholar] [CrossRef] [PubMed]
- Gayathiri, E.; Prakash, P.; Karmegam, N.; Varjani, S.; Awasthi, M.K.; Ravindran, B. Biosurfactants: Potential and Eco-Friendly Material for Sustainable Agriculture and Environmental Safety—A Review. Agronomy 2022, 12, 662. [Google Scholar] [CrossRef]
- Cassilly, C.D.; Reynolds, T.B. PS, It’s Complicated: The Roles of Phosphatidylserine and Phosphatidylethanolamine in the Pathogenesis of Candida albicans and Other Microbial Pathogens. J. Fungi 2018, 4, 28. [Google Scholar] [CrossRef] [PubMed]
- Luo, Y.; Javed, M.A.; Deneer, H.; Chen, X. Nutrient depletion-induced production of tri-acylated glycerophospholipids in Acinetobacter radioresistens. Sci. Rep. 2018, 8, 7470. [Google Scholar] [CrossRef]
- Das, S.; Rao, K.V.B. A comprehensive review of biosurfactant production and its uses in the pharmaceutical industry. Arch. Microbiol. 2024, 206, 60. [Google Scholar] [CrossRef]
- Nitschke, M.; Costa, S. Biosurfactants in food industry. Trends Food Sci. Technol. 2007, 18, 252–259. [Google Scholar] [CrossRef]
- Mishra, S.; Lin, Z.; Pang, S.; Zhang, Y.; Bhatt, P.; Chen, S. Biosurfactant is a powerful tool for the bioremediation of heavy metals from contaminated soils. J. Hazard. Mater. 2021, 418, 126253. [Google Scholar] [CrossRef]
- Khamis, N.; Rahim, A.A.; Ibrahim, N.A.; Zaman, K.A.K.P. Microbial surfactants: Classifications, properties, recovery, and applications. J. Teknol. 2022, 84, 35–45. [Google Scholar] [CrossRef]
- Kronberg, B.; Holmberg, K.; Lindman, B. Surface and Interfacial Tension. In Surface Chemistry of Surfactants and Polymers; Wiley: Chichester, UK, 2014; pp. 231–249. [Google Scholar] [CrossRef]
- KRÜSS GmbH. Surface Tension. Available online: https://www.kruss-scientific.com/en/know-how/glossary/surface-tension (accessed on 16 July 2024).
- Bjerk, T.R.; Severino, P.; Jain, S.; Marques, C.; Silva, A.M.; Pashirova, T.; Souto, E.B. Biosurfactants: Properties and Applications in Drug Delivery, Biotechnology and Ecotoxicology. Bioengineering 2021, 8, 115. [Google Scholar] [CrossRef]
- Gecol, H. The Basic Theory. In Chemistry and Technology of Surfactants; Wiley: Oxford, UK, 2006; pp. 24–45. [Google Scholar] [CrossRef]
- Benincasa, M.; Marqués, A.; Pinazo, A.; Manresa, A. Rhamnolipid Surfactants: Alternative Substrates, New Strategies. In Advances in Experimental Medicine and Biology; Springer: New York, NY, USA, 2010; pp. 170–184. [Google Scholar] [CrossRef]
- Abalos, A.; Pinazo, A.; Infante, M.R.; Casals, M.; García, F.; Manresa, A. Physicochemical and Antimicrobial Properties of New Rhamnolipids Produced by Pseudomonas aeruginosa AT10 from Soybean Oil Refinery Wastes. Langmuir 2001, 17, 1367–1371. [Google Scholar] [CrossRef]
- Haba, E.; Pinazo, A.; Jauregui, O.; Espuny, M.J.; Infante, M.R.; Manresa, A. Physicochemical characterization and antimicrobial properties of rhamnolipids produced by Pseudomonas aeruginosa 47T2 NCBIM 40044. Biotechnol. Bioeng. 2003, 81, 316–322. [Google Scholar] [CrossRef] [PubMed]
- Rodrigues, A.I.; Gudiña, E.J.; Teixeira, J.A.; Rodrigues, L.R. Sodium chloride effect on the aggregation behaviour of rhamnolipids and their antifungal activity. Sci. Rep. 2017, 7, 12907. [Google Scholar] [CrossRef]
- Ribeiro, I.A.; Faustino, C.; Guerreiro, P.S.; Frade, R.F.; Bronze, M.R.; Castro, M.F.; Ribeiro, M.H.L. Development of novel sophorolipids with improved cytotoxic activity toward MDA-MB-231 breast cancer cells. J. Mol. Recognit. 2015, 28, 155–165. [Google Scholar] [CrossRef] [PubMed]
- Cao, X.-H.; Liao, Z.-Y.; Wang, C.-L.; Yang, W.-Y.; Lu, M.-F. Evaluation of a lipopeptide biosurfactant from Bacillus natto TK-1 as a potential source of anti-adhesive, antimicrobial and antitumor activities. Braz. J. Microbiol. 2009, 40, 373–379. [Google Scholar] [CrossRef]
- Pereira, J.F.; Gudiña, E.J.; Costa, R.; Vitorino, R.; Teixeira, J.A.; Coutinho, J.A.; Rodrigues, L.R. Optimization and characterization of biosurfactant production by Bacillus subtilis isolates towards microbial enhanced oil recovery applications. Fuel 2013, 111, 259–268. [Google Scholar] [CrossRef]
- Jimoh, A.A.; Lin, J. Biosurfactant: A new frontier for greener technology and environmental sustainability. Ecotoxicol. Environ. Saf. 2019, 184, 109607. [Google Scholar] [CrossRef]
- Liu, K.; Sun, Y.; Cao, M.; Wang, J.; Lu, J.R.; Xu, H. Rational design, properties, and applications of biosurfactants: A short review of recent advances. Curr. Opin. Colloid Interface Sci. 2020, 45, 57–67. [Google Scholar] [CrossRef]
- Kazemzadeh-Narbat, M.; Cheng, H.; Chabok, R.; Alvarez, M.M.; de la Fuente-Nunez, C.; Phillips, K.S.; Khademhosseini, A. Strategies for antimicrobial peptide coatings on medical devices: A review and regulatory science perspective. Crit. Rev. Biotechnol. 2021, 41, 94–120. [Google Scholar] [CrossRef]
- Adu, S.A.; Naughton, P.J.; Marchant, R.; Banat, I.M. Microbial Biosurfactants in Cosmetic and Personal Skincare Pharmaceutical Formulations. Pharmaceutics 2020, 12, 1099. [Google Scholar] [CrossRef]
- Kaczorek, E.; Pacholak, A.; Zdarta, A.; Smułek, W. The Impact of Biosurfactants on Microbial Cell Properties Leading to Hydrocarbon Bioavailability Increase. Colloids Interfaces 2018, 2, 35. [Google Scholar] [CrossRef]
- Saleemi, M.A.; Fang, L.; Lim, V. An overview of antimicrobial resistance and its mechanisms. In Bioengineered Nanomaterials for Wound Healing and Infection Control; Elsevier: Amsterdam, The Netherlands, 2023; pp. 1–28. [Google Scholar] [CrossRef]
- de Araujo, L.V.; Freire, D.M.G.; Nitschke, M. Biossurfactantes: Propriedades anticorrosivas, antibiofilmes e antimicrobianas. Quimica Nova 2013, 36, 848–858. [Google Scholar] [CrossRef][Green Version]
- Banat, I.M.; Franzetti, A.; Gandolfi, I.; Bestetti, G.; Martinotti, M.G.; Fracchia, L.; Smyth, T.J.; Marchant, R. Microbial biosurfactants production, applications and future potential. Appl. Microbiol. Biotechnol. 2010, 87, 427–444. [Google Scholar] [CrossRef] [PubMed]
- Das, P.; Mukherjee, S.; Sen, R. Antimicrobial potential of a lipopeptide biosurfactant derived from a marine Bacillus circulans. J. Appl. Microbiol. 2008, 104, 1675–1684. [Google Scholar] [CrossRef]
- dos Santos, S.C.; Torquato, C.A.; Santos, D.d.A.; Orsato, A.; Leite, K.; Serpeloni, J.M.; Losi-Guembarovski, R.; Pereira, E.R.; Dyna, A.L.; Barboza, M.G.L.; et al. Production and characterization of rhamnolipids by Pseudomonas aeruginosa isolated in the Amazon region, and potential antiviral, antitumor, and antimicrobial activity. Sci. Rep. 2024, 14, 4629. [Google Scholar] [CrossRef]
- Carra, J.B.; Wessel, K.B.B.; Pereira, G.N.; Oliveira, M.C.; Pattini, P.M.T.; Masquetti, B.L.; Amador, I.R.; Bruschi, M.L.; Casagrande, R.; Georgetti, S.R.; et al. Bioadhesive Polymeric Films Containing Rhamnolipids, An Innovative Antimicrobial Topical Formulation. Aaps Pharmscitech 2024, 25, 177. [Google Scholar] [CrossRef]
- Lotfabad, T.; Shahcheraghi, F.; Shooraj, F. Assessment of Antibacterial Capability of Rhamnolipids Produced by Two Indigenous Pseudomonas aeruginosa Strains. Jundishapur J. Microbiol. 2012, 6, 29–35. [Google Scholar] [CrossRef]
- Reddy, K.S.; Khan, M.Y.; Archana, K.; Reddy, M.G.; Hameeda, B. Utilization of mango kernel oil for the rhamnolipid production by Pseudomonas aeruginosa DR1 towards its application as biocontrol agent. Bioresour. Technol. 2016, 221, 291–299. [Google Scholar] [CrossRef]
- Kim, B.S.; Lee, J.Y.; Hwang, B.K. In vivo control andin vitro antifungal activity of rhamnolipid B, a glycolipid antibiotic, against Phytophthora capsici and Colletotrichum orbiculare. Pest Manag. Sci. 2000, 56, 1029–1035. [Google Scholar] [CrossRef]
- Archana, K.; Reddy, K.S.; Parameshwar, J.; Bee, H. Isolation and characterization of sophorolipid producing yeast from fruit waste for application as antibacterial agent. Environ. Sustain. 2019, 2, 107–115. [Google Scholar] [CrossRef]
- Silveira, V.A.I.; Kobayashi, R.K.T.; Junior, A.G.d.O.; Mantovani, M.S.; Nakazato, G.; Celligoi, M.A.P.C. Antimicrobial effects of sophorolipid in combination with lactic acid against poultry-relevant isolates. Braz. J. Microbiol. 2021, 52, 1769–1778. [Google Scholar] [CrossRef]
- Ankulkar, R.; Chavan, M. Characterisation and Application Studies of Sophorolipid Biosurfactant by Candida tropicalis RA1. J. Pure Appl. Microbiol. 2019, 13, 1653–1665. [Google Scholar] [CrossRef]
- Sen, S.; Borah, S.N.; Kandimalla, R.; Bora, A.; Deka, S. Sophorolipid Biosurfactant Can Control Cutaneous Dermatophytosis Caused by Trichophyton mentagrophytes. Front. Microbiol. 2020, 11, 329. [Google Scholar] [CrossRef]
- Dengle-Pulate, V.; Chandorkar, P.; Bhagwat, S.; Prabhune, A.A. Antimicrobial and SEM Studies of Sophorolipids Synthesized Using Lauryl Alcohol. J. Surfactants Deterg. 2014, 17, 543–552. [Google Scholar] [CrossRef]
- Mani, P.; Dineshkumar, G.; Jayaseelan, T.; Deepalakshmi, K.; Kumar, C.G.; Balan, S.S. Antimicrobial activities of a promising glycolipid biosurfactant from a novel marine Staphylococcus saprophyticus SBPS 15. 3 Biotech 2016, 6, 163. [Google Scholar] [CrossRef]
- Liu, X.; Ren, B.; Chen, M.; Wang, H.; Kokare, C.R.; Zhou, X.; Wang, J.; Dai, H.; Song, F.; Liu, M.; et al. Production and characterization of a group of bioemulsifiers from the marine Bacillus velezensis strain H3. Appl. Microbiol. Biotechnol. 2010, 87, 1881–1893. [Google Scholar] [CrossRef] [PubMed]
- Mohammadipour, M.; Mousivand, M.; Jouzani, G.S.; Abbasalizadeh, S. Molecular and biochemical characterization of Iranian surfactin-producing Bacillus subtilis isolates and evaluation of their biocontrol potential against Aspergillus flavus and Colletotrichum gloeosporioides. Can. J. Microbiol. 2009, 55, 395–404. [Google Scholar] [CrossRef]
- Huang, X.; Lu, Z.; Bie, X.; Lü, F.; Zhao, H.; Yang, S. Optimization of inactivation of endospores of Bacillus cereus by antimicrobial lipopeptides from Bacillus subtilis fmbj strains using a response surface method. Appl. Microbiol. Biotechnol. 2007, 74, 454–461. [Google Scholar] [CrossRef]
- Roy, A.; Mahata, D.; Paul, D.; Korpole, S.; Franco, O.L.; Mandal, S.M. Purification, biochemical characterization and self-assembled structure of a fengycin-like antifungal peptide from Bacillus thuringiensis strain SM1. Front. Microbiol. 2013, 4, 66994. [Google Scholar] [CrossRef]
- Pathak, K.V.; Keharia, H. Identification of surfactins and iturins produced by potent fungal antagonist, Bacillus subtilis K1 isolated from aerial roots of banyan (Ficus benghalensis) tree using mass spectrometry. 3 Biotech 2014, 4, 283–295. [Google Scholar] [CrossRef]
- Basit, M.; Rasool, M.H.; Naqvi, S.A.R.; Waseem, M.; Aslam, B. Biosurfactants production potential of native strains of Bacillus cereus and their antimicrobial, cytotoxic and antioxidant activities. Pak J Pharm Sci. 2018, 31 (Suppl. S1), 251–256. [Google Scholar]
- Naughton, P.; Marchant, R.; Naughton, V.; Banat, I. Microbial biosurfactants: Current trends and applications in agricultural and biomedical industries. J. Appl. Microbiol. 2019, 127, 12–28. [Google Scholar] [CrossRef]
- Ferreira, J.D.F.; Vieira, E.A.; Nitschke, M. The antibacterial activity of rhamnolipid biosurfactant is pH dependent. Food Res. Int. 2019, 116, 737–744. [Google Scholar] [CrossRef]
- Lenaerts, L.; Passos, T.F.; Gayán, E.; Michiels, C.W.; Nitschke, M. Hurdle Technology Approach to Control Listeria monocytogenes Using Rhamnolipid Biosurfactant. Foods 2023, 12, 570. [Google Scholar] [CrossRef]
- Passos, T.F.; Nitschke, M. The combined effect of pH and NaCl on the susceptibility of Listeria monocytogenes to rhamnolipids. Food Res. Int. 2024, 192, 114744. [Google Scholar] [CrossRef]
- Crouzet, J.; Arguelles-Arias, A.; Dhondt-Cordelier, S.; Cordelier, S.; Pršić, J.; Hoff, G.; Mazeyrat-Gourbeyre, F.; Baillieul, F.; Clément, C.; Ongena, M.; et al. Biosurfactants in Plant Protection Against Diseases: Rhamnolipids and Lipopeptides Case Study. Front. Bioeng. Biotechnol. 2020, 8, 1014. [Google Scholar] [CrossRef]
- Yan, F.; Xu, S.; Guo, J.; Chen, Q.; Meng, Q.; Zheng, X. Biocontrol of post-harvest Alternaria alternata decay of cherry tomatoes with rhamnolipids and possible mechanisms of action. J. Sci. Food Agric. 2015, 95, 1469–1474. [Google Scholar] [CrossRef]
- Liu, F.; Greenwood, A.I.; Xiong, Y.; Miceli, R.T.; Fu, R.; Anderson, K.W.; McCallum, S.A.; Mihailescu, M.; Gross, R.; Cotten, M.L. Host Defense Peptide Piscidin and Yeast-Derived Glycolipid Exhibit Synergistic Antimicrobial Action through Concerted Interactions with Membranes. JACS Au 2023, 3, 3345–3365. [Google Scholar] [CrossRef]
- Pala, M.; Castelein, M.G.; Dewaele, C.; Roelants, S.L.K.W.; Soetaert, W.K.; Stevens, C.V. Tuning the antimicrobial activity of microbial glycolipid biosurfactants through chemical modification. Front. Bioeng. Biotechnol. 2024, 12, 1347185. [Google Scholar] [CrossRef]
- Coelho, A.L.S.; Feuser, P.E.; Carciofi, B.A.M.; de Andrade, C.J.; de Oliveira, D. Mannosylerythritol lipids: Antimicrobial and biomedical properties. Appl. Microbiol. Biotechnol. 2020, 104, 2297–2318. [Google Scholar] [CrossRef]
- Rodrigues, L.R. Microbial surfactants: Fundamentals and applicability in the formulation of nano-sized drug delivery vectors. J. Colloid Interface Sci. 2015, 449, 304–316. [Google Scholar] [CrossRef]
- Shu, Q.; Niu, Y.; Zhao, W.; Chen, Q. Antibacterial activity and mannosylerythritol lipids against vegetative cells and spores of Bacillus cereus. Food Control. 2019, 106, 106711. [Google Scholar] [CrossRef]
- Carrillo, C.; Teruel, J.A.; Aranda, F.J.; Ortiz, A. Molecular mechanism of membrane permeabilization by the peptide antibiotic surfactin. Biochim. Biophys. Acta (BBA) Biomembr. 2003, 1611, 91–97. [Google Scholar] [CrossRef]
- Virology Research Services. Enveloped vs. Non-Enveloped Viruses. Elsevier: Amsterdam, The Netherlands, 2022. Available online: https://virologyresearchservices.com/2022/05/22/enveloped-vs-non-enveloped-viruses/ (accessed on 24 January 2023).
- U.S. Department of Health and Human Services. National Cancer Institute—Enveloped Virus. Available online: https://www.cancer.gov/publications/dictionaries/cancer-terms/def/enveloped-virus (accessed on 4 December 2022).
- Smith, M.L.; Gandolfi, S.; Coshall, P.M.; Rahman, P.K.S.M. Biosurfactants: A COVID-19 Perspective. Front. Microbiol. 2020, 11, 1341. [Google Scholar] [CrossRef]
- Handa, S.; Aggarwal, Y.; Puri, S.; Chatterjee, M. Pharmaceutical prospects of biosurfactants produced from fungal species. J. Basic Microbiol. 2022, 62, 1307–1318. [Google Scholar] [CrossRef]
- Remichkova, M.; Galabova, D.; Roeva, I.; Karpenko, E.; Shulga, A.; Galabov, A.S. Anti-Herpesvirus Activities of Pseudomonas sp. S-17 Rhamnolipid and its Complex with Alginate. Z. Fur Naturforschung Sect. C-A J. Biosci. 2008, 63, 75–81. [Google Scholar] [CrossRef]
- Daverey, A.; Dutta, K.; Joshi, S.; Daverey, A. Sophorolipid: A glycolipid biosurfactant as a potential therapeutic agent against COVID-19. Bioengineered 2021, 12, 9550–9560. [Google Scholar] [CrossRef]
- Borsanyiova, M.; Patil, A.; Mukherji, R.; Prabhune, A.; Bopegamage, S. Biological activity of sophorolipids and their possible use as antiviral agents. Folia Microbiol. 2016, 61, 85–89. [Google Scholar] [CrossRef]
- Shah, V.; Doncel, G.F.; Seyoum, T.; Eaton, K.M.; Zalenskaya, I.; Hagver, R.; Azim, A.; Gross, R. Sophorolipids, Microbial Glycolipids with Anti-Human Immunodeficiency Virus and Sperm-Immobilizing Activities. Antimicrob. Agents Chemother. 2005, 49, 4093–4100. [Google Scholar] [CrossRef]
- Bakkar, M.R.; Faraag, A.H.I.; Soliman, E.R.S.; Fouda, M.S.; Sarguos, A.M.M.; McLean, G.R.; Hebishy, A.M.S.; Elkhouly, G.E.; Raya, N.R.; Abo-Zeid, Y. Rhamnolipids Nano-Micelles as a Potential Hand Sanitizer. Antibiotics 2021, 10, 751. [Google Scholar] [CrossRef]
- Yuan, L.; Zhang, S.; Wang, Y.; Li, Y.; Wang, X.; Yang, Q. Surfactin Inhibits Membrane Fusion during Invasion of Epithelial Cells by Enveloped Viruses. J. Virol. 2018, 92, 1–19. [Google Scholar] [CrossRef]
- Rodrigues, L.R.; Banat, I.M.; Van Der Mei, H.C.; Teixeira, J.A.; Oliveira, R. Interference in adhesion of bacteria and yeasts isolated from explanted voice prostheses to silicone rubber by rhamnolipid biosurfactants. J. Appl. Microbiol. 2006, 100, 470–480. [Google Scholar] [CrossRef]
- Ceresa, C.; Tessarolo, F.; Maniglio, D.; Tambone, E.; Carmagnola, I.; Fedeli, E.; Caola, I.; Nollo, G.; Chiono, V.; Allegrone, G.; et al. Medical-Grade Silicone Coated with Rhamnolipid R89 Is Effective against Staphylococcus spp. Biofilms. Molecules 2019, 24, 3843. [Google Scholar] [CrossRef]
- Malakar, C.; Kashyap, B.; Bhattacharjee, S.; Kalita, M.C.; Mukherjee, A.K.; Deka, S. Antibiofilm and wound healing efficacy of rhamnolipid biosurfactant against pathogenic bacterium Staphylococcus aureus. Microb. Pathog. 2024, 195, 106855. [Google Scholar] [CrossRef]
- Haque, F.; Alfatah, M.; Ganesan, K.; Bhattacharyya, M.S. Inhibitory Effect of Sophorolipid on Candida albicans Biofilm Formation and Hyphal Growth. Sci. Rep. 2016, 6, 23575. [Google Scholar] [CrossRef]
- Abdollahi, S.; Tofighi, Z.; Babaee, T.; Shamsi, M.; Rahimzadeh, G.; Rezvanifar, H.; Saeidi, E.; Amiri, M.M.; Ashtiani, Y.S.; Samadi, N. Evaluation of Anti-oxidant and Anti-biofilm Activities of Biogenic Surfactants Derived from Bacillus amyloliquefaciens and Pseudomonas aeruginosa. Iran J. Pharm. Res. 2020, 19, 115–126. [Google Scholar] [CrossRef]
- Abdelli, F.; Jardak, M.; Elloumi, J.; Stien, D.; Cherif, S.; Mnif, S.; Aifa, S. Antibacterial, anti-adherent and cytotoxic activities of surfactin(s) from a lipolytic strain Bacillus safensis F4. Biodegradation 2019, 30, 287–300. [Google Scholar] [CrossRef]
- Gudiña, E.J.; Fernandes, E.C.; Teixeira, J.A.; Rodrigues, L.R. Antimicrobial and anti-adhesive activities of cell-bound biosurfactant from Lactobacillus agilis CCUG31450. RSC Adv. 2015, 5, 90960–90968. [Google Scholar] [CrossRef]
- Yu, Q.; Wu, Z.; Chen, H. Dual-function antibacterial surfaces for biomedical applications. Acta Biomater. 2015, 16, 1–13. [Google Scholar] [CrossRef]
- Tambone, E.; Bonomi, E.; Ghensi, P.; Maniglio, D.; Ceresa, C.; Agostinacchio, F.; Caciagli, P.; Nollo, G.; Piccoli, F.; Caola, I.; et al. Rhamnolipid coating reduces microbial biofilm formation on titanium implants: An in vitro study. BMC Oral Health 2021, 21, 49. [Google Scholar] [CrossRef]
- Carvalho, F.S.; Tarabal, V.S.; Livio, D.F.; Cruz, L.F.; Monteiro, A.P.; Parreira, A.G.; Guimarães, P.P.; Scheuerman, K.; Chagas, R.C.R.; da Silva, J.A.; et al. Production and characterization of the lipopeptide with anti-adhesion for oral biofilm on the surface of titanium for dental implants. Arch. Microbiol. 2024, 206, 354. [Google Scholar] [CrossRef]
- Nitschke, M.; Araújo, L.; Costa, S.; Pires, R.; Zeraik, A.; Fernandes, A.; Freire, D.; Contiero, J. Surfactin reduces the adhesion of food-borne pathogenic bacteria to solid surfaces. Lett. Appl. Microbiol. 2009, 49, 241–247. [Google Scholar] [CrossRef]
- Pontes, C.; Alves, M.; Santos, C.; Ribeiro, M.H.; Gonçalves, L.; Bettencourt, A.F.; Ribeiro, I.A. Can Sophorolipids prevent biofilm formation on silicone catheter tubes? Int. J. Pharm. 2016, 513, 697–708. [Google Scholar] [CrossRef]
- Mendes, R.M.; Francisco, A.P.; Carvalho, F.A.; Dardouri, M.; Costa, B.; Bettencourt, A.F.; Costa, J.; Gonçalves, L.; Costa, F.; Ribeiro, I.A. Fighting, S. aureus catheter-related infections with sophorolipids: Electing an antiadhesive strategy or a release one? Colloids Surf. B Biointerfaces 2021, 208, 112057. [Google Scholar] [CrossRef]
- Bettencourt, A.F.; Tomé, C.; Oliveira, T.; Martin, V.; Santos, C.; Gonçalves, L.; Fernandes, M.H.; Gomes, P.S.; Ribeiro, I.A. Exploring the potential of chitosan-based particles as delivery-carriers for promising antimicrobial glycolipid biosurfactants. Carbohydr. Polym. 2021, 254, 117433. [Google Scholar] [CrossRef] [PubMed]
- Marangon, C.A.; Martins, V.C.A.; Ling, M.H.; Melo, C.C.; Plepis, A.M.G.; Meyer, R.L.; Nitschke, M. Combination of Rhamnolipid and Chitosan in Nanoparticles Boosts Their Antimicrobial Efficacy. ACS Appl. Mater. Interfaces 2020, 12, 5488–5499. [Google Scholar] [CrossRef] [PubMed]
- Narciso, F.; Cardoso, S.; Monge, N.; Lourenço, M.; Martin, V.; Duarte, N.; Santos, C.; Gomes, P.; Bettencourt, A.; Ribeiro, I.A. 3D-printed biosurfactant-chitosan antibacterial coating for the prevention of silicone-based associated infections. Colloids Surf. B Biointerfaces 2023, 230, 113486. [Google Scholar] [CrossRef]
- da Silva, C.R.; Sá, L.G.D.A.V.; Neto, J.B.d.A.; Barroso, F.D.D.; Cabral, V.P.d.F.; Rodrigues, D.S.; da Silva, L.J.; Lima, I.S.P.; Pérez, L.; da Silva, A.R.; et al. Antimicrobial potential of a biosurfactant gel for the prevention of mixed biofilms formed by fluconazole-resistant C. albicans and methicillin-resistant S. aureus in catheters. Biofouling 2024, 40, 165–176. [Google Scholar] [CrossRef]
- Stillger, L.; Müller, D. Peptide-coating combating antimicrobial contaminations: A review of covalent immobilization strategies for industrial applications. J. Mater. Sci. 2022, 57, 10863–10885. [Google Scholar] [CrossRef]
- Dardouri, M.; Aljnadi, I.M.; Deuermeier, J.; Santos, C.; Costa, F.; Martin, V.; Fernandes, M.H.; Gonçalves, L.; Bettencourt, A.; Gomes, P.S.; et al. Bonding antimicrobial rhamnolipids onto medical grade PDMS: A strategy to overcome multispecies vascular catheter-related infections. Colloids Surf. B Biointerfaces 2022, 217, 112679. [Google Scholar] [CrossRef]
- Dardouri, M.; Bettencourt, A.; Martin, V.; Carvalho, F.A.; Colaço, B.; Gama, A.; Ramstedt, M.; Santos, N.C.; Fernandes, M.H.; Gomes, P.S.; et al. Assuring the Biofunctionalization of Silicone Covalently Bonded to Rhamnolipids: Antibiofilm Activity and Biocompatibility. Pharmaceutics 2022, 14, 1836. [Google Scholar] [CrossRef]
- Lam, M.; Migonney, V.; Falentin-Daudre, C. Review of silicone surface modification techniques and coatings for antibacterial/antimicrobial applications to improve breast implant surfaces. Acta Biomater. 2021, 121, 68–88. [Google Scholar] [CrossRef] [PubMed]
- Dardouri, M.; Bettencourt, A.; Martin, V.; Carvalho, F.A.; Santos, C.; Monge, N.; Santos, N.C.; Fernandes, M.H.; Gomes, P.S.; Ribeiro, I.A. Using plasma-mediated covalent functionalization of rhamnolipids on polydimethylsiloxane towards the antimicrobial improvement of catheter surfaces. Mater. Sci. Eng. C 2022, 134, 112563. [Google Scholar] [CrossRef] [PubMed]
- Valotteau, C.; Banat, I.M.; Mitchell, C.A.; Lydon, H.; Marchant, R.; Babonneau, F.; Pradier, C.-M.; Baccile, N.; Humblot, V. Antibacterial properties of sophorolipid-modified gold surfaces against Gram positive and Gram negative pathogens. Colloids Surf. B Biointerfaces 2017, 157, 325–334. [Google Scholar] [CrossRef]
- Valotteau, C.; Calers, C.; Casale, S.; Berton, J.; Stevens, C.V.; Babonneau, F.; Pradier, C.-M.; Humblot, V.; Baccile, N. Biocidal Properties of a Glycosylated Surface: Sophorolipids on Au(111). ACS Appl. Mater. Interfaces 2015, 7, 18086–18095. [Google Scholar] [CrossRef] [PubMed]
- Valotteau, C.; Baccile, N.; Humblot, V.; Roelants, S.; Soetaert, W.; Stevens, C.V.; Dufrêne, Y.F. Nanoscale antiadhesion properties of sophorolipid-coated surfaces against pathogenic bacteria. Nanoscale Horiz. 2019, 4, 975–982. [Google Scholar] [CrossRef]
- Bazaka, K.; Jacob, M.V.; Chrzanowski, W.; Ostrikov, K. Anti-bacterial surfaces: Natural agents, mechanisms of action, and plasma surface modification. RSC Adv. 2015, 5, 48739–48759. [Google Scholar] [CrossRef]
- Alves, D.; Pereira, M.O. Mini-review: Antimicrobial peptides and enzymes as promising candidates to functionalize biomaterial surfaces. Biofouling 2014, 30, 483–499. [Google Scholar] [CrossRef]
- Zhao, F.; Wang, B.; Yuan, M.; Ren, S. Comparative study on antimicrobial activity of mono-rhamnolipid and di-rhamnolipid and exploration of cost-effective antimicrobial agents for agricultural applications. Microb. Cell Factories 2022, 21, 221. [Google Scholar] [CrossRef]
- Sha, R.; Jiang, L.; Meng, Q.; Zhang, G.; Song, Z. Producing cell-free culture broth of rhamnolipids as a cost-effective fungicide against plant pathogens. J. Basic Microbiol. 2012, 52, 458–466. [Google Scholar] [CrossRef]
- Christova, N.; Tuleva, B.; Kril, A.; Georgieva, M.; Konstantinov, S.; Terziyski, I.; Nikolova, B.; Stoineva, I. Chemical Structure and In Vitro Antitumor Activity of Rhamnolipids from Pseudomonas aeruginosa BN10. Appl. Biochem. Biotechnol. 2013, 170, 676–689. [Google Scholar] [CrossRef]
- Li, H.; Guo, W.; Ma, X.-J.; Li, J.-S.; Song, X. In Vitro and in Vivo Anticancer Activity of Sophorolipids to Human Cervical Cancer. Appl. Biochem. Biotechnol. 2017, 181, 1372–1387. [Google Scholar] [CrossRef] [PubMed]
- Totsingan, F.; Liu, F.; Gross, R.A. Structure–Activity Relationship Assessment of Sophorolipid Ester Derivatives against Model Bacteria Strains. Molecules 2021, 26, 3021. [Google Scholar] [CrossRef] [PubMed]
- Nashida, J.; Nishi, N.; Takahashi, Y.; Hayashi, C.; Igarashi, M.; Takahashi, D.; Toshima, K. Systematic and Stereoselective Total Synthesis of Mannosylerythritol Lipids and Evaluation of Their Antibacterial Activity. J. Org. Chem. 2018, 83, 7281–7289. [Google Scholar] [CrossRef] [PubMed]
- Liu, X.; Tao, X.; Zou, A.; Yang, S.; Zhang, L.; Mu, B. Effect of themicrobial lipopeptide on tumor cell lines: Apoptosis induced by disturbing the fatty acid composition of cell membrane. Protein Cell 2010, 1, 584–594. [Google Scholar] [CrossRef] [PubMed]
- Kracht, M.; Rokos, H.; Özel, M.; Kowall, M.; Pauli, G.; Vater, J. Antiviral and Hemolytic Activities of Surfactin Isoforms and Their Methyl Ester Derivatives. J. Antibiot. 1999, 52, 613–619. [Google Scholar] [CrossRef]
- Kisil, O.V.; Trefilov, V.S.; Sadykova, V.S.; Zvereva, M.E.; Kubareva, E.A. Surfactin: Its Biological Activity and Possibility of Application in Agriculture. Appl. Biochem. Microbiol. 2023, 59, 1–13. [Google Scholar] [CrossRef]








| Class of mBS | Type | Main Producer Micro-Organism | Structure |
|---|---|---|---|
| Glycolipids | Rhamnolipids | Pseudomonas aeruginosa | ![]() |
| Trehalose Lipids | Rhodococcus erythropolis | ![]() R1 = R2 = OCCH(CH2)nCH3CHOH(CH2)mCH3; R1 = OCCH(CH2)nCH3CHOH(CH2)mCH3 and R2 = H | |
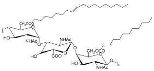
| Sophorolipids | Candida bombicola | ![]() R1 = R2 = H; R1 = H and R2 = OAc; R1 = OAc and R2 = H; R1 = R2 = OAc | |
| Mannosylerythritol Lipids | Pseudozyma antartica and Pseudozyma aphidis | ![]() MEL-A: R1 = R2 = Ac; MEL-B: R1 = Ac R2 = H; MEL-C: R1 = H R2 = Ac; MEL-D: R1 = R2 = H | |
| Lipopeptides and Lipoproteins | Surfactins and Iturins | Bacillus subtilis | ![]() |
| Phospholipids, Fatty acids, and Neutral Lipids | Phosphatidylethanolamine | Acinetobacter radioresistens | ![]() |
| Polymeric Biosurfactants | Emulsan | Acinetobacter calcoaceticus | ![]() |
Disclaimer/Publisher’s Note: The statements, opinions and data contained in all publications are solely those of the individual author(s) and contributor(s) and not of MDPI and/or the editor(s). MDPI and/or the editor(s) disclaim responsibility for any injury to people or property resulting from any ideas, methods, instructions or products referred to in the content. |
© 2024 by the authors. Licensee MDPI, Basel, Switzerland. This article is an open access article distributed under the terms and conditions of the Creative Commons Attribution (CC BY) license (https://creativecommons.org/licenses/by/4.0/).
Share and Cite
Lourenço, M.; Duarte, N.; Ribeiro, I.A.C. Exploring Biosurfactants as Antimicrobial Approaches. Pharmaceuticals 2024, 17, 1239. https://doi.org/10.3390/ph17091239
Lourenço M, Duarte N, Ribeiro IAC. Exploring Biosurfactants as Antimicrobial Approaches. Pharmaceuticals. 2024; 17(9):1239. https://doi.org/10.3390/ph17091239
Chicago/Turabian StyleLourenço, Madalena, Noélia Duarte, and Isabel A. C. Ribeiro. 2024. "Exploring Biosurfactants as Antimicrobial Approaches" Pharmaceuticals 17, no. 9: 1239. https://doi.org/10.3390/ph17091239
APA StyleLourenço, M., Duarte, N., & Ribeiro, I. A. C. (2024). Exploring Biosurfactants as Antimicrobial Approaches. Pharmaceuticals, 17(9), 1239. https://doi.org/10.3390/ph17091239








