Multitarget Compounds Designed for Alzheimer, Parkinson, and Huntington Neurodegeneration Diseases
Abstract
1. Introduction
1.1. Neurodegeneration and Multitarget-Directed Ligands
1.2. Inclusion Criteria
1.3. Multitarget-Directed Ligands
1.4. Alzheimer’s Disease
1.5. Parkinson’s Disease
1.6. Huntington’s Disease
2. Multitarget Compounds Against AD
2.1. Inhibition of Cholinesterases and Aβ Aggregation
2.2. Inhibition of GSK-3β
2.3. Inhibition of HDAC
2.4. Inhibition of Cholinesterases and Histamine Antagonism
2.5. Compounds Against Neuroinflammation
2.6. Inhibition of Cholinesterases and MAOs
2.7. Compounds Against Secretases
| Molecule | Molecule Name | Chemical Class | Primary Targets |
|---|---|---|---|
![]() | AV-2 [69] | Quinazoline derivative | AChE (IC50 = 0.193 μM) BuChE (IC50 > 10 μM) BACE-1 (IC50 = 0.254 μM) Aβ self- induced aggregation inhibition (29.18–48.72%) Aβ AChE-incused aggregation inhibition (60.38–69.00%) |
![]() | 4j [66] | Cinnamamide/ester triazole hybrid | Copper-induced Aβ toxicity inhibition (EC50 = 1.39 μM) AChE inhibition |
![]() | 5s [67] | Capsaicin-tacrine hybrid | AChE (IC50 = 69.8 nM) BuChE (IC50 = 68.0 nM) BACE-1 (IC50 = 3.6 μM) |
![]() | 41 [68] | N-aryl piperazine-chalcone hybrid | AChE (IC50 = 14.84 μM) BuChE (IC50 = 41.39 μM) BACE-1 inhibition (46.60%) self- and AChE-induced Aβ1–42 aggregation inhibition |
![]() | AK-2 [69] | Piperazine-quinazoline hybrid | AChE (IC50 = 0.283 μM) BACE-1 (IC50 = 0.231 μM) self-induced Aβ aggregation inhibition (56.11%) AChE-induced Aβ aggregation inhibition (62.88%) |
![]() | 5AD [70] | Oxadiazole-piperazine conjugate | AChE (IC50 = 0.103 μM) BACE-1 (IC50 = 1.342 μM) Self- and AChE- induced Aβ aggregation inhibition Radical scavenging activity (44.35%) |
![]() | 23a [71] | Indole-piperidine amide | AChE (IC50 = 0.32 μM) BACE-1 (IC50 = 0.39 μM) |
![]() | 1l [72] | Indol-3-yl-phenyl allylidene hydrazine carboximidamide derivative | AChE (IC50 = 60.93 μM) BACE-1 (IC50 = 9.38 μM) |
![]() | SSZ [73] | Pyrrolopyridine and N-cyclohexyl hybrid | BuChE BACE-1 γ-secretase MAO-A MAO-B |
2.8. Compounds Against MAO-B
2.9. Inhibition of Cholinesterases
2.10. Antagonism of NMDA Receptors
2.11. Inhibition of MAO and Carbonic Anhydrase
2.12. Compounds Against Cholinesterases, Diabetes, Cancer, and Inflammation
2.13. Compounds Against Ca2+ Channels, Nrf2 Pathway, Cathepsin S Enzyme, and Oxidation
2.14. Inhibition of MAO and Xanthine Oxidase
3. Multitarget Compounds Against PD
3.1. Compounds with Neuroprotective Potential
| Molecule | Molecule Name | Chemical Class | Primary Targets |
|---|---|---|---|
![]() | NOA [90] | 10-nitro-oleic acid | Oxidative stress α-syn NOX2 inhibition LRRK2 inhibition |
![]() | J24335 [93] | Quinoline derivative | CREB/PGC-1α/NRF-1/TFAM PKA/Akt/GSK-3β |
![]() | 3h [94] | Benzimidazole arylhydrazone derivative | Oxidative stress MAO-B inhibition |
3.2. Compounds Against Neuroinflammation
3.3. Compounds Against MAO-B and Other Pathological Targets
3.4. Compounds Against Cholinesterases, MAOs, and Other Pathological Targets
3.5. Compounds Against Alpha-Synuclein (α-Syn) and Other Pathological Targets
3.6. Agonism of Dopamine Receptor and Antagonism of Adenosine Receptor
3.7. Agonism of Histamine Receptor and Antagonism of Adenosine Receptor
4. Multitarget Compounds Against HD
5. Conclusions
Author Contributions
Funding
Data Availability Statement
Conflicts of Interest
Abbreviations
| AD | Alzheimer’s Disease |
| HD | Huntington’s Disease |
| PD | Parkinson’s diseases |
| Aβ | Amyloid-beta peptides |
| AChEI | Acetylcholinesterase inhibitors |
| ACh | Acetylcholine |
| NMDA | N-methyl-D-aspartate |
| THA | Tacrine |
| ATP | Adenosine Triphosphate |
| ChEs | Cholinesterases |
| MAO | Monoamine oxidase |
| COMT | Catechol-O-methyltransferase |
| L-DOPA | L-3,4-Dihydroxyphenylalanine |
| MTDLs | Multitarget-directed ligands |
| ΒΒΒ | Blood–brain barrier |
| AchE | Acetylcholinesterase |
| BuChE | Butyrylcholinesterase |
| CAS | Catalytic active site |
| PAS | Peripheral anionic site |
| IC50 | Inhibitory Concentration 50 |
| EC50 | Effective Concentration 50 |
| SH-SY5Y | SK-N-SH human neuroblastoma cell lines |
| Neuro2A | Neuroblastoma-2A cell lines |
| PC12 | Pheochromocytoma cell line 12 |
| PAMPA | parallel artificial membrane permeability assay |
| ROS | Reactive Oxygen Species |
| NLRP30 | Nucleotide-binding Oligomerization Domain like receptor 30 |
| SAR | Structure–activity relationship |
| VEGF | Vascular endothelial growth factor |
| BV2 | Murine microglial cell line |
| GSK-3β | Glycogen synthase kinase-3β |
| DYRK1A | Dual-specificity tyrosine phosphorylation-regulated kinase 1A |
| NFTs | Neurofibrillary tangles |
| HL-7702 | Human liver 7702 cell lines |
| HepG2 | Hepatocellular Gep 2 cells |
| THLE2 | Telomerase-Immortalized Human Liver Epithelial Cells 2 |
| CDK2 | Cyclin-Dependent Kinase 2 |
| HDAC | Histone Deacetylase |
| CAP | Catabolite activator protein |
| TNF-α | Tumor Necrosis Factor Alpha |
| IFN-γ | Interferon Gamma |
| A1 | Astrocytes |
| H3R | Antagonism histamine H3 receptor |
| ADME | Absorption, Distribution, Metabolism, and Excretion |
| Ki | Inhibition constant |
| hCMEC/D3 | Human cerebral microvascular endothelial cells |
| hPepT1-MDCK | Human Peptide Transporter 1 Madin-Darby Canine Kidney cells |
| FAAH | Fatty-acid amide hydrolase 1 |
| LOX | Lipoxygenase |
| COX2 | Cyclooxygenase-2 |
| BACE-1 | Beta-site Amyloid precursor protein Cleaving Enzyme-1 |
| APP | Amyloid Precursor Protein |
| NF-κΒ | Nuclear Factor kappa-light-chain-enhancer of activated B cells |
| IL | Interleukin |
| CHL | Chinese Hamster Lung Cell Assay |
| CA | Carbonic anhydrase |
| FDA | Food and Drug Administration |
| Caco-2 | Human colon carcinoma cell line |
| Nrf2 | Nuclear factor erythroid 2-related factor 2 |
| CatS | Cathepsin S |
| Keap1 | Kelch-like ECH-associated protein 1 |
| ARE | Antioxidant Response Element |
| AREc32 | Antioxidant Response Element cell line 32 |
| CD | Concentration |
| NOX2 | NADPH oxidase isoform 2 |
| NADPH | Nicotinamide Adenine Dinucleotide Phosphate |
| LRRK2 | Leucine-rich repeat kinase 2 |
| N27-A | Mouse midbrain dopaminergic neuronal cell lines |
| CYP3A4 | Cytochrome P450 3A4 |
| Δψm | Mitochondrial Membrane Potential |
| 6-OHDA | 6-hydroxydopamine |
| CREB | cAMP Response Element-Binding Protein |
| PGC-1α | Peroxisome Proliferator-Activated Receptor Gamma Coactivator 1-alpha |
| NRF-1 | Nuclear Respiratory Factor 1 |
| TFAM | Transcription Factor A Mitochondria |
| PKA | Protein Kinase A |
| Akt | Protein Kinase B |
| MAPK | Mitogen-activated protein kinase |
| HT-22 | Mouse hippocampal cell lines |
| NO | Nitric Oxide |
| LPS | Lipopolysaccharide |
| MCF-7 | Michigan Cancer Foundation breast cancer cell lines |
| HCT116 | human colon cancer cell lines 116 |
| SK-OV-3 | Sankyo Ovarian 3 human ovarian adenocarcinoma cell lines |
| GABAA | γ-aminobutyric acid A |
| α-syn | Alpha-synuclein |
| FI | Fluorescence Intensity |
| A2AR | Adenosine A2A receptor |
| D2R | Dopamine receptor |
| LIMK-2 | LIM-domain-containing protein kinase 2 |
| DHODH | Dihydroorotate dehydrogenase |
| JNKs | c-Jun N-terminal kinases |
| NMDAR | N-Methyl-D-Aspartate Receptor |
| CB2 | Cannabinoid receptor 2 |
| TrkB | Tropomyosin receptor-kinase B |
| TrkC | Tropomyosin receptor-kinase C |
| LM22B-10 | Microglial cell lines |
| A2AAR | Antagonism of A2A adenosine receptor |
| PDE | Phosphodiesterase |
References
- Monteiro, A.R.; Barbosa, D.J.; Remião, F.; Silva, R. Alzheimer’s Disease: Insights and New Prospects in Disease Pathophysiology, Biomarkers and Disease-Modifying Drugs. Biochem. Pharmacol. 2023, 211, 115522. [Google Scholar] [CrossRef]
- Dorsey, E.R.; Elbaz, A.; Nichols, E.; Abd-Allah, F.; Abdelalim, A.; Adsuar, J.C.; Ansha, M.G.; Brayne, C.; Choi, J.Y.J.; Collado-Mateo, D.; et al. Global, Regional, and National Burden of Parkinson’s Disease, 1990–2016: A Systematic Analysis for the Global Burden of Disease Study 2016. Lancet Neurol. 2018, 17, 939–953. [Google Scholar] [CrossRef]
- Kim, A.; Lalonde, K.; Truesdell, A.; Welter, P.G.; Brocardo, P.S.; Rosenstock, T.R.; Gil-mohapel, J. New Avenues for the Treatment of Huntington’s Disease. Int. J. Mol. Sci. 2021, 22, 8363. [Google Scholar] [CrossRef]
- Rostagno, A.A. Pathogenesis of Alzheimer’s Disease. Int. J. Mol. Sci. 2023, 24, 107. [Google Scholar] [CrossRef]
- Albertini, C.; Salerno, A.; de Sena Murteira Pinheiro, P.; Bolognesi, M.L. From Combinations to Multitarget-Directed Ligands: A Continuum in Alzheimer’s Disease Polypharmacology. Med. Res. Rev. 2021, 41, 2606–2633. [Google Scholar] [CrossRef]
- Cores, Á.; Carmona-Zafra, N.; Clerigué, J.; Villacampa, M.; Menéndez, J.C. Quinones as Neuroprotective Agents. Antioxidants 2023, 12, 1464. [Google Scholar] [CrossRef]
- Cheong, S.L.; Federico, S.; Spalluto, G.; Klotz, K.N.; Pastorin, G. The Current Status of Pharmacotherapy for the Treatment of Parkinson’s Disease: Transition from Single-Target to Multitarget Therapy. Drug Discov. Today 2019, 24, 1769–1783. [Google Scholar] [CrossRef]
- Pathak, C.; Kabra, U.D. A Comprehensive Review of Multi-Target Directed Ligands in the Treatment of Alzheimer’s Disease. Bioorg. Chem. 2024, 144, 107152. [Google Scholar] [CrossRef]
- Pravin, N.; Jozwiak, K. Effects of Linkers and Substitutions on Multitarget Directed Ligands for Alzheimer’s Diseases: Emerging Paradigms and Strategies. Int. J. Mol. Sci. 2022, 23, 6085. [Google Scholar] [CrossRef] [PubMed]
- Scheltens, P.; De Strooper, B.; Kivipelto, M.; Holstege, H.; Chételat, G.; Teunissen, C.E.; Cummings, J.; van der Flier, W.M. Alzheimer’s Disease. Lancet 2021, 397, 1577–1590. [Google Scholar] [CrossRef] [PubMed]
- Kayhan Koçak, F.O.; Kumral, E. The Relationship between Dementia Staging Scales, Cognitive-Behavioral Scales and Functionality in Patients with Cognitive Impairment. PLoS ONE 2025, 20, e0322572. [Google Scholar] [CrossRef]
- Montine, T.J.; Phelps, C.H.; Beach, T.G.; Bigio, E.H.; Cairns, N.J.; Dickson, D.W.; Duyckaerts, C.; Frosch, M.P.; Masliah, E.; Mirra, S.S.; et al. National Institute on Aging-Alzheimer’s Association Guidelines for the Neuropathologic Assessment of Alzheimer’s Disease: A Practical Approach. Acta Neuropathol. 2012, 123, 1–11. [Google Scholar] [CrossRef] [PubMed]
- Abeysinghe, A.A.D.T.; Deshapriya, R.D.U.S.; Udawatte, C. Alzheimer’s Disease; a Review of the Pathophysiological Basis and Therapeutic Interventions. Life Sci. 2020, 256, 117996. [Google Scholar] [CrossRef]
- Liu, R.M. Aging, Cellular Senescence, and Alzheimer’s Disease. Int. J. Mol. Sci. 2022, 23, 1989. [Google Scholar] [CrossRef]
- Mattar, J.M.; Majchrzak, M.; Iannucci, J.; Bartman, S.; Robinson, J.K.; Grammas, P. Sex Differences in Metabolic Indices and Chronic Neuroinflammation in Response to Prolonged High-Fat Diet in ApoE4 Knock-In Mice. Int. J. Mol. Sci. 2022, 23, 3921. [Google Scholar] [CrossRef] [PubMed]
- Lei, P.; Ayton, S.; Bush, A.I. The Essential Elements of Alzheimer’s Disease. J. Biol. Chem. 2021, 296, 100105. [Google Scholar] [CrossRef] [PubMed]
- Forman, H.J.; Zhang, H. Targeting Oxidative Stress in Disease: Promise and Limitations of Antioxidant Therapy. Nat. Rev. Drug Discov. 2021, 20, 689–709. [Google Scholar] [CrossRef]
- Maramai, S.; Benchekroun, M.; Gabr, M.T.; Yahiaoui, S. Multitarget Therapeutic Strategies for Alzheimer’s Disease: Review on Emerging Target Combinations. Biomed. Res. Int. 2020, 2020, 5120230. [Google Scholar] [CrossRef]
- Serrano-Pozo, A.; Das, S.; Hyman, B.T. APOE and Alzheimer’s Disease: Advances in Genetics, Pathophysiology, and Therapeutic Approaches. Lancet Neurol. 2021, 20, 68–80. [Google Scholar] [CrossRef]
- Syed, Y.Y. Sodium Oligomannate: First Approval. Drugs 2020, 80, 441–444. [Google Scholar] [CrossRef]
- Chen, Y.; Lai, M.; Tao, M. Evaluating the Efficacy and Safety of Alzheimer’s Disease Drugs: A Meta-Analysis and Systematic Review. Medicine 2024, 103, e37799. [Google Scholar] [CrossRef]
- Wang, X.; Sun, G.; Feng, T.; Zhang, J.; Huang, X.; Wang, T.; Xie, Z.; Chu, X.; Yang, J.; Wang, H.; et al. Sodium Oligomannate Therapeutically Remodels Gut Microbiota and Suppresses Gut Bacterial Amino Acids-Shaped Neuroinflammation to Inhibit Alzheimer’s Disease Progression. Cell Res. 2019, 29, 787–803. [Google Scholar] [CrossRef]
- Rabinovici, G.D.; Selkoe, D.J.; Schindler, S.E.; Aisen, P.; Apostolova, L.G.; Atri, A.; Greenberg, S.M.; Hendrix, S.B.; Petersen, R.C.; Weiner, M.; et al. Donanemab: Appropriate Use Recommendations. J. Prev. Alzheimer’s Dis. 2025, 12, 100150. [Google Scholar] [CrossRef]
- Arroyo-Pacheco, N.; Sarmiento-Blanco, S.; Vergara-Cadavid, G.; Castro-Leones, M.; Contreras-Puentes, N. Monoclonal Therapy with Lecanemab in the Treatment of Mild Alzheimer’s Disease: A Systematic Review and Meta-Analysis. Ageing Res. Rev. 2025, 104, 102620. [Google Scholar] [CrossRef] [PubMed]
- Dorsey, E.R.; Sherer, T.; Okun, M.S.; Bloemd, B.R. The Emerging Evidence of the Parkinson Pandemic. J. Park. Dis. 2018, 8, S3–S8. [Google Scholar] [CrossRef]
- Ben-Shlomo, Y.; Darweesh, S.; Llibre-Guerra, J.; Marras, C.; Luciano, M.S.; Tanner, C. The Epidemiology of Parkinson’s Disease. Lancet 2024, 403, 283–292. [Google Scholar] [CrossRef]
- Klokkaris, A.; Migdalska-Richards, A. An Overview of Epigenetic Changes in the Parkinson’s Disease Brain. Int. J. Mol. Sci. 2024, 25, 6168. [Google Scholar] [CrossRef]
- Mishra, T.; Singh, S.; Singh, T.G. Therapeutic Implications and Regulations of Protein Post-Translational Modifications in Parkinsons Disease. Cell. Mol. Neurobiol. 2024, 44, 53. [Google Scholar] [CrossRef]
- Morris, H.R.; Spillantini, M.G.; Sue, C.M.; Williams-Gray, C.H. The Pathogenesis of Parkinson’s Disease. Lancet 2024, 403, 293–304. [Google Scholar] [CrossRef]
- Dumbhare, O.; Gaurkar, S.S. A Review of Genetic and Gene Therapy for Parkinson’s Disease. Cureus 2023, 15, e34657. [Google Scholar] [CrossRef]
- Sequeira, L.; Benfeito, S.; Fernandes, C.; Lima, I.; Peixoto, J.; Alves, C.; Machado, C.S.; Gaspar, A.; Borges, F.; Chavarria, D. Drug Development for Alzheimer’s and Parkinson’s Disease: Where Do We Go Now? Pharmaceutics 2024, 16, 708. [Google Scholar] [CrossRef] [PubMed]
- Stoker, T.B.; Mason, S.L.; Greenland, J.C.; Holden, S.T.; Santini, H.; Barker, R.A. Huntington’s Disease: Diagnosis and Management. Pract. Neurol. 2022, 22, 32–41. [Google Scholar] [CrossRef] [PubMed]
- Khakh, B.S.; Goldman, S.A. Astrocytic Contributions to Huntington’s Disease Pathophysiology. Ann. N. Y. Acad. Sci. 2023, 1522, 42–59. [Google Scholar] [CrossRef]
- Teleanu, D.M.; Niculescu, A.G.; Lungu, I.I.; Radu, C.I.; Vladâcenco, O.; Roza, E.; Costăchescu, B.; Grumezescu, A.M.; Teleanu, R.I. An Overview of Oxidative Stress, Neuroinflammation and Neurodegenerative Diseases. Int. J. Mol. Sci. 2022, 23, 5938. [Google Scholar] [CrossRef]
- Tabrizi, S.J.; Estevez-Fraga, C.; van Roon-Mom, W.M.C.; Flower, M.D.; Scahill, R.I.; Wild, E.J.; Muñoz-Sanjuan, I.; Sampaio, C.; Rosser, A.E.; Leavitt, B.R. Potential Disease-Modifying Therapies for Huntington’s Disease: Lessons Learned and Future Opportunities. Lancet Neurol. 2022, 21, 645–658. [Google Scholar] [CrossRef]
- Bon, L.; Banaś, A.; Dias, I.; Melo-Marques, I.; Cardoso, S.M.; Chaves, S.; Santos, M.A. New Multitarget Rivastigmine–Indole Hybrids as Potential Drug Candidates for Alzheimer’s Disease. Pharmaceutics 2024, 16, 281. [Google Scholar] [CrossRef]
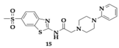
- Mishra, C.B.; Shalini, S.; Gusain, S.; Kumar, P.; Kumari, S.; Choi, Y.S.; Kumari, J.; Moku, B.K.; Yadav, A.K.; Prakash, A.; et al. Multitarget Action of Benzothiazole-Piperazine Small Hybrid Molecule against Alzheimer’s Disease: In Silico, In Vitro, and In Vivo Investigation. Biomed. Pharmacother. 2024, 174, 116484. [Google Scholar] [CrossRef]
- Nasr, E.E.; Tawfik, S.S.; Massoud, M.A.M.; Mostafa, A.S. Unveiling New Thiazole-Clubbed Piperazine Derivatives as Multitarget Anti-AD: Design, Synthesis, and in Silico Studies. Arch. Pharm. 2024, 357, e2400044. [Google Scholar] [CrossRef] [PubMed]
- Singh, G.; Kumar, S.; Panda, S.R.; Kumar, P.; Rai, S.; Verma, H.; Singh, Y.P.; Kumar, S.; Srikrishna, S.; Naidu, V.G.M.; et al. Design, Synthesis, and Biological Evaluation of Ferulic Acid-Piperazine Derivatives Targeting Pathological Hallmarks of Alzheimer’s Disease. ACS Chem. Neurosci. 2024, 15, 2756–2778. [Google Scholar] [CrossRef]
- Manzoor, S.; Gabr, M.T.; Nafie, M.S.; Raza, M.K.; Khan, A.; Nayeem, S.M.; Arafa, R.K.; Hoda, N. Discovery of Quinolinone Hybrids as Dual Inhibitors of Acetylcholinesterase and Aβ Aggregation for Alzheimer’s Disease Therapy. ACS Chem. Neurosci. 2024, 15, 539–559. [Google Scholar] [CrossRef]
- Zeng, X.; Cheng, S.; Li, H.; Yu, H.; Cui, Y.; Fang, Y.; Yang, S.; Feng, Y. Design, Synthesis, and Activity Evaluation of Novel Multitargeted l-Tryptophan Derivatives with Powerful Antioxidant Activity against Alzheimer’s Disease. Arch. Pharm. 2024, 357, e2300603. [Google Scholar] [CrossRef] [PubMed]
- Zaafar, D.; Elghazawy, N.H.; Hassan, A.; Mahmoud, M.Y.; Bakr, A.F.; Arafa, R.K. Unleashing New MTDL AChE and BuChE Inhibitors as Potential Anti-AD Therapeutic Agents: In Vitro, in Vivo and in Silico Studies. Int. J. Biol. Macromol. 2024, 268, 131740. [Google Scholar] [CrossRef] [PubMed]
- Wang, W.; Pan, T.; Su, R.; Chen, M.; Xiong, W.; Xu, C.; Huang, L. Discovery of Novel Melatonin–Mydroxyquinoline Hybrids as Multitarget Strategies for Alzheimer’s Disease Therapy. Front. Chem. 2024, 12, 1374930. [Google Scholar] [CrossRef]
- Qiu, J.; Feng, X.; Chen, H.; Liu, W.; Liu, W.; Wu, L.; Gao, X.; Liu, Y.; Huang, Y.; Gong, H.; et al. Discovery of Novel Harmine Derivatives as GSK-3β/DYRK1A Dual Inhibitors for Alzheimer’s Disease Treatment. Arch. Pharm. 2024, 357, e2300404. [Google Scholar] [CrossRef]
- Wu, X.; Ze, X.; Qin, S.; Zhang, B.; Li, X.; Gong, Q.; Zhang, H.; Zhu, Z.; Xu, J. Design, Synthesis, and Biological Evaluation of Novel Tetrahydroacridin Hybrids with Sulfur-Inserted Linkers as Potential Multitarget Agents for Alzheimer’s Disease. Molecules 2024, 29, 1782. [Google Scholar] [CrossRef] [PubMed]
- Abdo Moustafa, E.; Abdelrasheed Allam, H.; Fouad, M.A.; El Kerdawy, A.M.; Nasser Eid El-Sayed, N.; Wagner, C.; Abdel-Aziz, H.A.; Abdel Fattah Ezzat, M. Discovery of Novel Quinolin-2-One Derivatives as Potential GSK-3β Inhibitors for Treatment of Alzheimer’s Disease: Pharmacophore-Based Design, Preliminary SAR, in Vitro and in Vivo Biological Evaluation. Bioorg. Chem. 2024, 146, 107324. [Google Scholar] [CrossRef] [PubMed]
- Santini, A.; Tassinari, E.; Poeta, E.; Loi, M.; Ciani, E.; Trazzi, S.; Piccarducci, R.; Daniele, S.; Martini, C.; Pagliarani, B.; et al. First in Class Dual Non-ATP-Competitive Glycogen Synthase Kinase 3β/Histone Deacetylase Inhibitors as a Potential Therapeutic to Treat Alzheimer’s Disease. ACS Chem. Neurosci. 2024, 15, 2099–2111. [Google Scholar] [CrossRef]
- Liu, R.; Guo, L.; Zhao, Y.; Wu, D.; Yu, J.; Liu, P. Study on Multi-Target Effects of the Novel HDAC6 Inhibitor W5 on Aβ/Cu2+-Induced Alzheimer’s Disease Model of Rats. Brain Res. 2024, 1832, 148847. [Google Scholar] [CrossRef]
- Diniz, L.P.; Morgado, J.; Bergamo Araujo, A.P.; da Silva Antônio, L.M.; Mota-Araujo, H.P.; de Sena Murteira Pinheiro, P.; Sagrillo, F.S.; Cesar, G.V.; Ferreira, S.T.; Figueiredo, C.P.; et al. Histone Deacetylase Inhibition Mitigates Cognitive Deficits and Astrocyte Dysfunction Induced by Amyloid-β (Aβ) Oligomers. Br. J. Pharmacol. 2024, 181, 4028–4049. [Google Scholar] [CrossRef]
- Pérez-Silanes, S.; Martisova, E.; Moreno, E.; Solas, M.; Plano, D.; Sanmartin, C.; Ramírez, M.J. Novel Pitolisant-Derived Sulfonyl Compounds for Alzheimer Disease. Int. J. Mol. Sci. 2024, 25, 799. [Google Scholar] [CrossRef]
- Michalska, B.; Dzięgielewski, M.; Godyń, J.; Werner, T.; Bajda, M.; Karcz, T.; Szczepańska, K.; Stark, H.; Więckowska, A.; Walczyński, K.; et al. 4-Oxypiperidine Ethers as Multiple Targeting Ligands at Histamine H3 Receptors and Cholinesterases. ACS Chem. Neurosci. 2024, 15, 1206–1218. [Google Scholar] [CrossRef] [PubMed]
- Chen, J.; He, Z.; Luo, K.; Luo, Q.; Wang, Y.; Liu, T.; Li, L.; Dai, Z.; Yang, S.; Li, Y.; et al. Scutellarein Derivatives with Histamine H3 Receptor Antagonism and Cholinesterase Inhibitory Potency as Multi Target-Directed Ligands for Possible Alzheimer’s Disease Therapy. Bioorg. Chem. 2024, 151, 107704. [Google Scholar] [CrossRef] [PubMed]
- Carrieri, A.; Barbarossa, A.; de Candia, M.; Samarelli, F.; Damiano Altomare, C.; Czarnota-Łydka, K.; Sudoł-Tałaj, S.; Latacz, G.; Handzlik, J.; Brunetti, L.; et al. Chiral Pyrrolidines as Multipotent Agents in Alzheimer and Neurodegenerative Diseases. Bioorg. Med. Chem. 2024, 110, 117829. [Google Scholar] [CrossRef]
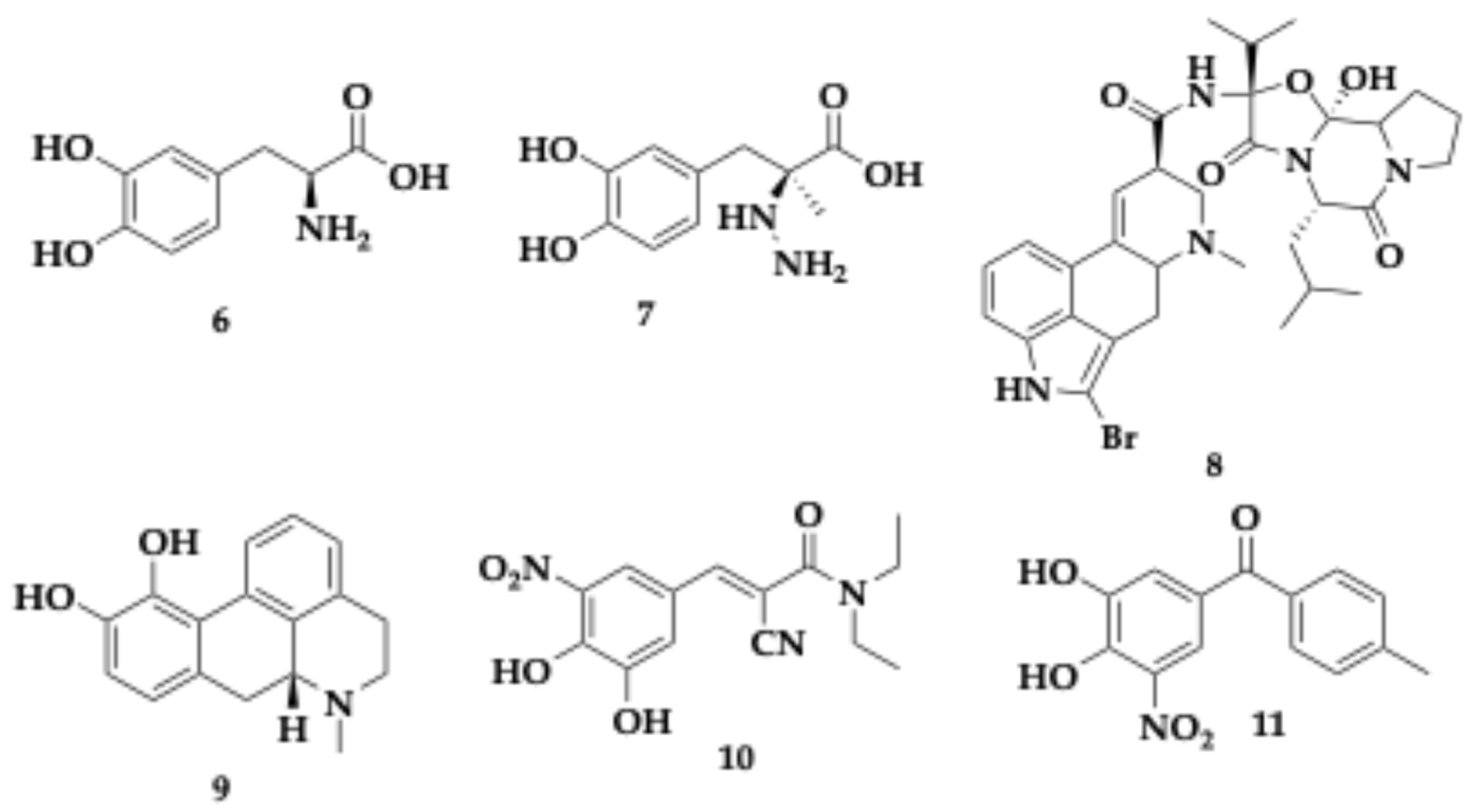
- Fotopoulos, I.; Pontiki, E.; Hadjipavlou-Litina, D. Pharmacochemical Study of Multitarget Amino Acids’ Hybrids: Design, Synthesis, In Vitro, and In Silico Studies. Med. Chem. 2024, 20, 709–720. [Google Scholar] [CrossRef]
- Asghar, S.; Mushtaq, N.; Ahmed, A.; Anwar, L.; Munawar, R.; Akhtar, S. Potential of Tryptamine Derivatives as Multi-Target Directed Ligands for Alzheimer’s Disease: AChE, MAO-B, and COX-2 as Molecular Targets. Molecules 2024, 29, 490. [Google Scholar] [CrossRef]
- Waiker, D.K.; Verma, A.; Gajendra, T.A.; Namrata; Roy, A.; Kumar, P.; Trigun, S.K.; Srikrishna, S.; Krishnamurthy, S.; Davisson, V.J.; et al. Design, Synthesis, and Biological Evaluation of Some 2-(3-Oxo-5,6-diphenyl-1,2,4-triazin-2(3H)-yl)-N-phenylacetamide Hybrids as MTDLs for Alzheimer’s Disease Therapy. Eur. J. Med. Chem. 2024, 271, 116409. [Google Scholar] [CrossRef] [PubMed]
- Moftah, H.K.; Mousa, M.H.A.; Elrazaz, E.Z.; Kamel, A.S.; Lasheen, D.S.; Georgey, H.H. Novel Quinazolinone Derivatives: Design, Synthesis and in Vivo Evaluation as Potential Agents Targeting Alzheimer Disease. Bioorg. Chem. 2024, 143, 107065. [Google Scholar] [CrossRef]
- Zhang, X.Q.; Xiang, Y.N.; Qin, T.; Zou, J.P.; Guo, Q.W.; Han, S.T.; Zhang, Z.Y.; Liu, W.W.; Ding, G.; Dong, J.Q.; et al. Design, Synthesis and Biological Evaluation of Bakuchiol Derivatives as Multi-Target Agents for the Treatment of Alzheimer’s Disease. Fitoterapia 2024, 174, 105867. [Google Scholar] [CrossRef]
- Xia, J.; Dong, S.; Yang, L.; Wang, F.; Xing, S.; Du, J.; Li, Z. Design, Synthesis, and Biological Evaluation of Novel Tryptanthrin Derivatives as Selective Acetylcholinesterase Inhibitors for the Treatment of Alzheimer’s Disease. Bioorg. Chem. 2024, 143, 106980. [Google Scholar] [CrossRef]
- Huang, S.T.; Luo, J.C.; Zhong, G.H.; Teng, L.P.; Yang, C.Y.; Tang, C.L.; Jing, L.; Zhou, Z.B.; Liu, J.; Jiang, N. In Vitro and in Vivo Biological Evaluation of Newly Tacrine-Selegiline Hybrids as Multi-Target Inhibitors of Cholinesterases and Monoamine Oxidases for Alzheimer’s Disease. Drug Des. Dev. Ther. 2024, 18, 133–159. [Google Scholar] [CrossRef]
- Ayoup, M.S.; Ghanem, M.; Abdel-Hamid, H.; Abu-Serie, M.M.; Masoud, A.; Ghareeb, D.A.; Hawsawi, M.B.; Sonousi, A.; Kassab, A.E. New 1,2,4-Oxadiazole Derivatives as Potential Multifunctional Agents for the Treatment of Alzheimer’s Disease: Design, Synthesis, and Biological Evaluation. BMC Chem. 2024, 18, 130. [Google Scholar] [CrossRef] [PubMed]
- Jalil, S.; Hussain, Z.; Abid, S.M.A.; Hameed, A.; Iqbal, J. Quinoline-Sulfonamides as a Multi-Targeting Neurotherapeutic for Cognitive Decline: In Vitro, in Silico Studies and ADME Evaluation of Monoamine Oxidases and Cholinesterases Inhibitors. RSC Adv. 2024, 14, 8905–8920. [Google Scholar] [CrossRef] [PubMed]
- Sarfraz, M.; Ibrahim, M.K.; Ejaz, S.A.; Attaullah, H.M.; Aziz, M.; Arafat, M.; Shamim, T.; Elhadi, M.; Ruby, T.; Mahmood, H.K. An Integrated Computational Approaches for Designing of Potential Piperidine Based Inhibitors of Alzheimer Disease by Targeting Cholinesterase and Monoamine Oxidases Isoenzymes. Appl. Biochem. Biotechnol. 2024, 196, 5875–5902. [Google Scholar] [CrossRef] [PubMed]
- Fayyaz, A.; Ejaz, S.A.; Alsfouk, B.A.; Ejaz, S.R. Investigation of 3-Phenylcoumarin Derivatives as Potential Multi-Target Inhibitors for Human Cholinesterases and Monoamine Oxidases: A Computational Approach. Appl. Biochem. Biotechnol. 2024, 196, 8389–8409. [Google Scholar] [CrossRef]
- Verma, A.; Waiker, D.K.; Singh, N.; Roy, A.; Singh, N.; Saraf, P.; Bhardwaj, B.; Krishnamurthy, S.; Trigun, S.K.; Shrivastava, S.K. Design, Synthesis, and Biological Investigation of Quinazoline Derivatives as Multitargeting Therapeutics in Alzheimer’s Disease Therapy. ACS Chem. Neurosci. 2024, 15, 745–771. [Google Scholar] [CrossRef]
- Tan, L.J.; Lei, W.J.; Liu, M.M.; Cai, Z.D.; Jiang, H.L.; Liu, R.; Li, Z.R. Discovery of Cinnamamide/Ester Triazole Hybrids as Potential Treatment for Alzheimer’s Disease. Bioorg. Chem. 2024, 150, 107584. [Google Scholar] [CrossRef]
- Long, J.; Qin, F.; Luo, J.; Zhong, G.; Huang, S.; Jing, L.; Yi, T.; Liu, J.; Jiang, N. Design, Synthesis, and Biological Evaluation of Novel Capsaicin-Tacrine Hybrids as Multi-Target Agents for the Treatment of Alzheimer’s Disease. Bioorg. Chem. 2024, 143, 107026. [Google Scholar] [CrossRef]
- Bajad, N.G.; Singh, R.B.; Gajendra, T.A.; Gutti, G.; Kumar, A.; Krishnamurthy, S.; Singh, S.K. Development of Multi-Targetable Chalcone Derivatives Bearing N-Aryl Piperazine Moiety for the Treatment of Alzheimer’s Disease. Bioorg. Chem. 2024, 143, 107082. [Google Scholar] [CrossRef]
- Verma, A.; Waiker, D.K.; Singh, N.; Singh, A.; Saraf, P.; Bhardwaj, B.; Kumar, P.; Krishnamurthy, S.; Srikrishna, S.; Shrivastava, S.K. Lead Optimization Based Design, Synthesis, and Pharmacological Evaluation of Quinazoline Derivatives as Multi-Targeting Agents for Alzheimer’s Disease Treatment. Eur. J. Med. Chem. 2024, 271, 116450. [Google Scholar] [CrossRef]
- Singh, A.; Verma, A.; Bhardwaj, B.; Saraf, P.; Kumar, H.; Jain, N.; Waiker, D.K.; Gajendra, T.A.; Krishnamurthy, S.; Shrivastava, S.K. Structure-Guided Design, Synthesis, and Biological Evaluation of Peripheral Anionic Site Selective and Brain Permeable Novel Oxadiazole-Piperazine Conjugates against Alzheimer’s Disease with Antioxidant Potential. ACS Omega 2024, 9, 18169–18182. [Google Scholar] [CrossRef]
- Banoo, R.; Nuthakki, V.K.; Wadje, B.N.; Sharma, A.; Bharate, S.B. Design, Synthesis, and Pharmacological Evaluation of Indole-Piperidine Amides as Blood−brain Barrier Permeable Dual Cholinesterase and β-Secretase Inhibitors. Eur. J. Med. Chem. 2024, 266, 116131. [Google Scholar] [CrossRef] [PubMed]
- Sharma, A.; Rudrawar, S.; Sharma, A.; Bharate, S.B.; Jadhav, H.R. Unveiling the Potential of Novel Indol-3-yl-phenyl Allylidene Hydrazine Carboximidamide Derivatives as AChE/BACE 1 Dual Inhibitors: A Combined in Silico, Synthesis and in Vitro Study. RSC Adv. 2024, 14, 23853–23872. [Google Scholar] [CrossRef] [PubMed]
- Khan, M.S.; Khan, Z.; Jabir, N.R.; Mehan, S.; Suhail, M.; Zaidi, S.K.; Zughaibi, T.A.; Abid, M.; Tabrez, S. Synthesis and Neurobehavioral Evaluation of a Potent Multitargeted Inhibitor for the Treatment of Alzheimer’s Disease. Mol. Neurobiol. 2024, 62, 1558–1576. [Google Scholar] [CrossRef] [PubMed]
- Kumar, N.; Jangid, K.; Kumar, V.; Yadav, R.P.; Mishra, J.; Upadhayay, S.; Kumar, V.; Devi, B.; Kumar, V.; Dwivedi, A.R.; et al. In Vitro and In Vivo Investigations of Chromone Derivatives as Potential Multitarget-Directed Ligands: Cognitive Amelioration Utilizing a Scopolamine-Induced Zebrafish Model. ACS Chem. Neurosci. 2024, 15, 2565–2585. [Google Scholar] [CrossRef]
- Fan, M.; Song, X.; Lu, L.; He, J.; Shen, Y.; Zhang, C.; Wang, F.; Xie, Y. Comprehensive Safety Evaluation of a Novel Multitargeting Compound XYY-CP1106: A Candidate for Alzheimer’s Disease. Biomed. Pharmacother. 2024, 176, 116786. [Google Scholar] [CrossRef]
- Al-Saad, O.M.; Gabr, M.; Darwish, S.S.; Rullo, M.; Pisani, L.; Miniero, D.V.; Liuzzi, G.M.; Kany, A.M.; Hirsch, A.K.H.; Abadi, A.H.; et al. Novel 6-Hydroxybenzothiazol-2-Carboxamides as Potent and Selective Monoamine Oxidase B Inhibitors Endowed with Neuroprotective Activity. Eur. J. Med. Chem. 2024, 269, 116266. [Google Scholar] [CrossRef]
- Kilic, B.; Dogruer, D.S. Synthesis and Investigation of the Cholinesterase Inhibitory and Antioxidant Capacities of Some Novel N′-(Quinolin-4-ylmethylene)propanehydrazides against Alzheimer’s Disease. Drug Dev. Res. 2024, 85, e22183. [Google Scholar] [CrossRef]
- Soliman, A.M.; Abd El-wahab, H.A.A.; Akincioglu, H.; Gülçin, İ.; Omar, F.A. Piperazine-2-Carboxylic Acid Derivatives as MTDLs Anti-Alzheimer Agents: Anticholinesterase Activity, Mechanistic Aspect, and Molecular Modeling Studies. Bioorg. Chem. 2024, 142, 106916. [Google Scholar] [CrossRef]
- Tamaddon-Abibigloo, Y.; Dastmalchi, S.; Razzaghi-Asl, N.; Shahbazi Mojarrad, J. Design, Synthesis, in Vitro and in Silico Evaluations of New Isatin-Triazine- Aniline Hybrids as Potent Anti- Alzheimer Multi-Target Directed Lead Compounds. Bioorg. Chem. 2024, 147, 107355. [Google Scholar] [CrossRef]
- Jevtić, I.I.; Suručić, R.V.; Tovilović-Kovačević, G.; Zogović, N.; Kostić-Rajačić, S.V.; Andrić, D.B.; Penjišević, J.Z. Multi-Target Potential of Newly Designed Tacrine-Derived Cholinesterase Inhibitors: Synthesis, Computational and Pharmacological Study. Bioorg. Med. Chem. 2024, 101, 117649. [Google Scholar] [CrossRef]
- de Sousa, L.F.; Paschoal, D.F.S.; Novato, W.T.G. Molecular Modeling of Multi-Target Analogs of Huperzine A and Applications in Alzheimer’s Disease. J. Mol. Model. 2024, 30, 200. [Google Scholar] [CrossRef] [PubMed]
- Kumar, J.; Shankar, G.; Kumar, S.; Thomas, J.; Singh, N.; Srikrishna, S.; Satija, J.; Krishnamurthy, S.; Modi, G.; Mishra, S.K. Extraction, Isolation, Synthesis, and Biological Evaluation of Novel Piperic Acid Derivatives for the Treatment of Alzheimer’s Disease. Mol. Divers. 2023, 28, 1439–1458. [Google Scholar] [CrossRef]
- Nagani, A.; Shah, M.; Patel, S.; Patel, H.; Parikh, V.; Patel, A.; Patel, S.; Patel, K.; Parmar, H.; Bhimani, B.; et al. Unveiling Piperazine-Quinoline Hybrids as Potential Multi-Target Directed Anti-Alzheimer’s Agents: Design, Synthesis and Biological Evaluation. Mol. Divers. 2024, 29, 1453–1478. [Google Scholar] [CrossRef]
- Mezeiova, E.; Prchal, L.; Hrabinova, M.; Muckova, L.; Pulkrabkova, L.; Soukup, O.; Misiachna, A.; Janousek, J.; Fibigar, J.; Kucera, T.; et al. Morphing Cholinesterase Inhibitor Amiridine into Multipotent Drugs for the Treatment of Alzheimer’s Disease. Biomed. Pharmacother. 2024, 173, 116399. [Google Scholar] [CrossRef]
- Misiachna, A.; Svobodova, B.; Netolicky, J.; Chvojkova, M.; Kleteckova, L.; Prchal, L.; Novak, M.; Hrabinova, M.; Kucera, T.; Muckova, L.; et al. Phenoxytacrine Derivatives: Low-Toxicity Neuroprotectants Exerting Affinity to Ifenprodil-Binding Site and Cholinesterase Inhibition. Eur. J. Med. Chem. 2024, 266, 116130. [Google Scholar] [CrossRef]
- Giovannuzzi, S.; Chavarria, D.; Provensi, G.; Leri, M.; Bucciantini, M.; Carradori, S.; Bonardi, A.; Gratteri, P.; Borges, F.; Nocentini, A.; et al. Dual Inhibitors of Brain Carbonic Anhydrases and Monoamine Oxidase-B Efficiently Protect against Amyloid-β-Induced Neuronal Toxicity, Oxidative Stress, and Mitochondrial Dysfunction. J. Med. Chem. 2024, 67, 4170–4193. [Google Scholar] [CrossRef] [PubMed]
- Naglah, A.M.; Almehizia, A.A.; Al-Wasidi, A.S.; Alharbi, A.S.; Alqarni, M.H.; Hassan, A.S.; Aboulthana, W.M. Exploring the Potential Biological Activities of Pyrazole-Based Schiff Bases as Anti-Diabetic, Anti-Alzheimer’s, Anti-Inflammatory, and Cytotoxic Agents: In Vitro Studies with Computational Predictions. Pharmaceuticals 2024, 17, 655. [Google Scholar] [CrossRef]
- Santos, A.; Pachón-Angona, I.; Bernard, P.J.; Simakov, A.; Maj, M.; Jozwiak, K.; Novotna, A.; Lemke, C.; Gütschow, M.; Martin, H.; et al. Design and Synthesis of Multi-Functional Ligands through Hantzsch Reaction: Targeting Ca2+ Channels, Activating Nrf2 and Possessing Cathepsin S Inhibitory, and Antioxidant Properties. Pharmaceutics 2024, 16, 121. [Google Scholar] [CrossRef] [PubMed]
- D’Errico, A.; Nasso, R.; Rullo, R.; Maiuolo, J.; Costanzo, P.; Bonacci, S.; Oliverio, M.; De Vendittis, E.; Masullo, M.; Arcone, R. Effect of Hydroxytyrosol Derivatives of Donepezil on the Activity of Enzymes Involved in Neurodegenerative Diseases and Oxidative Damage. Molecules 2024, 29, 548. [Google Scholar] [CrossRef]
- Di Maio, R.; Keeney, M.T.; Cechova, V.; Mortimer, A.; Sekandari, A.; Rowart, P.; Greenamyre, J.T.; Freeman, B.A.; Fazzari, M. Neuroprotective Actions of a Fatty Acid Nitroalkene in Parkinson’s Disease. npj Park. Dis. 2023, 9, 55. [Google Scholar] [CrossRef]
- Pan, Z.; Shao, M.; Zhao, C.; Yang, X.; Li, H.; Cui, G.; Liang, X.; Yu, C.W.; Ye, Q.; Gao, C.; et al. J24335 Exerts Neuroprotective Effects against 6-Hydroxydopamine-Induced Lesions in PC12 Cells and Mice. Eur. J. Pharm. Sci. 2024, 194, 106696. [Google Scholar] [CrossRef]
- Anastassova, N.; Aluani, D.; Hristova-avakumova, N.; Tzankova, V.; Kondeva-burdina, M.; Rangelov, M.; Todorova, N.; Yancheva, D. Study on the Neuroprotective, Radical-Scavenging and MAO-B Inhibiting Properties of New Benzimidazole Arylhydrazones as Potential Multi-Target Drugs for the Treatment of Parkinson’s Disease. Antioxidants 2022, 11, 884. [Google Scholar] [CrossRef]
- Pan, B.; Niu, B.; He, Y.; Zhou, C.; Xia, C. Integrative Multilevel Exploration of the Mechanism by Which Er-Zhi-Wan Alleviates the Parkinson’s Disease (PD)-like Phenotype in the MPTP-Induced PD Mouse Model. Biomed. Pharmacother. 2023, 165, 115021. [Google Scholar] [CrossRef] [PubMed]
- Anastassova, N.; Aluani, D.; Kostadinov, A.; Rangelov, M.; Todorova, N.; Hristova-Avakumova, N.; Argirova, M.; Lumov, N.; Kondeva-Burdina, M.; Tzankova, V.; et al. Evaluation of the Combined Activity of Benzimidazole Arylhydrazones as New Anti-Parkinsonian Agents: Monoamine Oxidase-B Inhibition, Neuroprotection and Oxidative Stress Modulation. Neural Regen. Res. 2021, 16, 2299–2309. [Google Scholar] [CrossRef] [PubMed]
- Albertini, C.; Petralla, S.; Massenzio, F.; Monti, B.; Rizzardi, N.; Bergamini, C.; Uliassi, E.; Borges, F.; Chavarria, D.; Fricker, G.; et al. Targeting Lewy Body Dementia with Neflamapimod-Rasagiline Hybrids. Arch. Pharm. 2024, 357, e2300525. [Google Scholar] [CrossRef] [PubMed]
- Wu, J.; Zhang, H.; Wang, Y.; Yin, G.; Li, Q.; Zhuo, L.; Chen, H.; Wang, Z. From Tryptamine to the Discovery of Efficient Multi-Target Directed Ligands against Cholinesterase-Associated Neurodegenerative Disorders. Front. Pharmacol. 2022, 13, 1036030. [Google Scholar] [CrossRef]
- Duarte, P.; Michalska, P.; Crisman, E.; Cuadrado, A.; León, R. Novel Series of Dual NRF2 Inducers and Selective MAO-B Inhibitors for the Treatment of Parkinson’s Disease. Antioxidants 2022, 11, 247. [Google Scholar] [CrossRef]
- Guo, Y.; Ma, Z.; Ning, X.; Chen, Y.; Tian, C.; Wang, X.; Zhang, Z.; Liu, J. A Novel Synthetic Precursor of Styryl Sulfone Neuroprotective Agents Inhibits Neuroinflammatory Responses and Oxidative Stress Damage through the P38 Signaling Pathway in the Cell and Animal Model of Parkinson’s Disease. Molecules 2021, 26, 5371. [Google Scholar] [CrossRef]
- Chavarria, D.; Benfeito, S.; Soares, P.; Lima, C.; Garrido, J.; Serrão, P.; Soares-da-Silva, P.; Remião, F.; Oliveira, P.J.; Borges, F. Boosting Caffeic Acid Performance as Antioxidant and Monoamine Oxidase B/Catechol-O-Methyltransferase Inhibitor. Eur. J. Med. Chem. 2022, 243, 114740. [Google Scholar] [CrossRef]
- Elsherbeny, M.H.; Kim, J.; Gouda, N.A.; Gotina, L.; Cho, J.; Pae, A.N.; Lee, K.; Park, K.D.; Elkamhawy, A.; Roh, E.J. Highly Potent, Selective, and Competitive Indole-Based MAO-B Inhibitors Protect PC12 Cells against 6-Hydroxydopamine-and Rotenone-Induced Oxidative Stress. Antioxidants 2021, 10, 1641. [Google Scholar] [CrossRef]
- Elkamhawy, A.; Woo, J.; Gouda, N.A.; Kim, J.; Nada, H.; Roh, E.J.; Park, K.D.; Cho, J.; Lee, K. Melatonin Analogues Potently Inhibit Mao-b and Protect Pc12 Cells against Oxidative Stress. Antioxidants 2021, 10, 1604. [Google Scholar] [CrossRef] [PubMed]
- Berrino, E.; Carradori, S.; Carta, F.; Melfi, F.; Gallorini, M.; Poli, G.; Tuccinardi, T.; Fernández-Bolaños, J.G.; López, Ó.; Petzer, J.P.; et al. A Multitarget Approach against Neuroinflammation: Alkyl Substituted Coumarins as Inhibitors of Enzymes Involved in Neurodegeneration. Antioxidants 2023, 12, 2044. [Google Scholar] [CrossRef] [PubMed]
- Vicente-Zurdo, D.; Brunetti, L.; Piemontese, L.; Guedes, B.; Cardoso, S.M.; Chavarria, D.; Borges, F.; Madrid, Y.; Chaves, S.; Santos, M.A. Rivastigmine–Benzimidazole Hybrids as Promising Multitarget Metal-Modulating Compounds for Potential Treatment of Neurodegenerative Diseases. Int. J. Mol. Sci. 2023, 24, 8312. [Google Scholar] [CrossRef]
- Naseem, S.; Temirak, A.; Imran, A.; Jalil, S.; Fatima, S.; Taslimi, P.; Iqbal, J.; Tasleem, M.; Tahir, M.N.; Shafiq, Z. Therapeutic Potential of 1,3,4-Oxadiazoles as Potential Lead Compounds for the Treatment of Alzheimer’s Disease. RSC Adv. 2023, 13, 17526–17535. [Google Scholar] [CrossRef]
- Kulikova, L.N.; Purgatorio, R.; Beloglazkin, A.A.; Tafeenko, V.A.; Reza, R.G.; Levickaya, D.D.; Sblano, S.; Boccarelli, A.; de Candia, M.; Catto, M.; et al. Chemical and Biological Evaluation of Novel 1H-Chromeno [3,2-c]Pyridine Derivatives as MAO Inhibitors Endowed with Potential Anticancer Activity. Int. J. Mol. Sci. 2023, 24, 7724. [Google Scholar] [CrossRef]
- Kamecki, F.; Knez, D.; Carvalho, D.; Marcucci, C.; Rademacher, M.; Higgs, J.; Žakelj, S.; Marcos, A.; de Tezanos Pinto, F.; Abin-Carriquiry, J.A.; et al. Multitarget 2′-Hydroxychalcones as Potential Drugs for the Treatment of Neurodegenerative Disorders and Their Comorbidities. Neuropharmacology 2021, 201, 108837. [Google Scholar] [CrossRef]
- Rodríguez-Enríquez, F.; Viña, D.; Uriarte, E.; Laguna, R.; Matos, M.J. 7-Amidocoumarins as Multitarget Agents against Neurodegenerative Diseases: Substitution Pattern Modulation. ChemMedChem 2021, 16, 179–186. [Google Scholar] [CrossRef] [PubMed]
- Ramirez, E.; Ganegamage, S.K.; Min, S.; Patel, H.; Ogunware, A.; Plascencia-Villa, G.; Alnakhala, H.; Shimanaka, K.; Tripathi, A.; Wang, K.W.; et al. Evaluation of N- and O-Linked Indole Triazines for a Dual Effect on α-Synuclein and Tau Aggregation. ACS Chem. Neurosci. 2023, 14, 3913–3927. [Google Scholar] [CrossRef]
- Li, S.; Raja, A.; Noroozifar, M.; Kerman, K. Understanding the Inhibitory and Antioxidant Effects of Pyrroloquinoline Quinone (PQQ) on Copper(II)-Induced α-Synuclein-119 Aggregation. ACS Chem. Neurosci. 2022, 13, 1178–1186. [Google Scholar] [CrossRef]
- Aboushady, Y.; Gabr, M.; Elhady, A.K.; Salah, M.; Abadi, A.H.; Wilms, G.; Becker, W.; Abdel-Halim, M.; Engel, M. Discovery of Hydroxybenzothiazole Urea Compounds as Multitargeted Agents Suppressing Major Cytotoxic Mechanisms in Neurodegenerative Diseases. ACS Chem. Neurosci. 2021, 12, 4302–4318. [Google Scholar] [CrossRef]
- Kampen, S.; Duy Vo, D.; Zhang, X.; Panel, N.; Yang, Y.; Jaiteh, M.; Matricon, P.; Svenningsson, P.; Brea, J.; Loza, M.I.; et al. Structure-Guided Design of G-Protein-Coupled Receptor Polypharmacology. Angew. Chem.-Int. Ed. 2021, 60, 18022–18030. [Google Scholar] [CrossRef] [PubMed]
- Hagenow, S.; Affini, A.; Pioli, E.Y.; Hinz, S.; Zhao, Y.; Porras, G.; Namasivayam, V.; Müller, C.E.; Lin, J.S.; Bezard, E.; et al. Adenosine A2AR/A1R Antagonists Enabling Additional H3R Antagonism for the Treatment of Parkinson’s Disease. J. Med. Chem. 2021, 64, 8246–8262. [Google Scholar] [CrossRef] [PubMed]
- Mousavi, H.; Rimaz, M.; Zeynizadeh, B. Practical Three-Component Regioselective Synthesis of Drug-Like 3-Aryl(or Heteroaryl)-5,6-Dihydrobenzo[h]Cinnolines as Potential Non-Covalent Multi-Targeting Inhibitors To Combat Neurodegenerative Diseases. ACS Chem. Neurosci. 2024, 15, 1828–1881. [Google Scholar] [CrossRef] [PubMed]
- Jena, S.; Gonzalez, G.; Vítek, D.; Kvasnicová, M.; Štěpánková, Š.; Strnad, M.; Voller, J.; Chanda, K. Novel Neuroprotective 5,6-Dihydropyrido [2′,1′:2,3]imidazo[4,5-c]quinoline Derivatives Acting through Cholinesterase Inhibition and CB2 Signaling Modulation. Eur. J. Med. Chem. 2024, 276, 116592. [Google Scholar] [CrossRef]
- Simmons, D.A.; Belichenko, N.P.; Longo, F.M. Pharmacological Co-Activation of TrkB and TrkC Receptor Signaling Ameliorates Striatal Neuropathology and Motor Deficits in Mouse Models of Huntington’s Disease. J. Huntington’s Dis. 2023, 12, 215–239. [Google Scholar] [CrossRef]
- Załuski, M.; Karcz, T.; Drabczyńska, A.; Vielmuth, C.; Olejarz-Maciej, A.; Głuch-Lutwin, M.; Mordyl, B.; Siwek, A.; Satała, G.; Müller, C.E.; et al. Xanthine–Dopamine Hybrid Molecules as Multitarget Drugs with Potential for the Treatment of Neurodegenerative Diseases. Biomolecules 2023, 13, 1079. [Google Scholar] [CrossRef]




| Molecule | Molecule Name | Chemical Class | Primary Targets |
|---|---|---|---|
![]() | 5a3 [36] | Rivastigmine-indole hybrid | AChE (IC50 = 10.9 μM) BuChE (IC50 = 10.4 μM) Aβ42 self-aggregation inhibition (50.3%) Antioxidant activity (EC50 = 14.5 μM) |
![]() | 5c3 [36] | Rivastigmine-indole hybrid | AChE (IC50 = 26.8 μM) BuChE (IC50 = 14.9 μM) Aβ42 self-aggregation inhibition (55.5%) Antioxidant activity (EC50 = 20.7 μM) |
![]() | 1 [37] | Benzothiazole-piperazine hybrid | AChE (IC50 = 0.42 μM) Aβ1–42 self-aggregation inhibition (80.7%) |
![]() | 10 [38] | Thiazole-clubbed piperazine derivative | AChE (IC50 = 0.151 μM) BuChE (IC50 = 0.135 μM) Aβ1–42 self-aggregation inhibition (73.53%) |
![]() | 20 [38] | Thiazole-clubbed piperazine derivative | AChE (IC50 = 0.499 μM) BuChE (IC50 = 0.103 μM) Aβ1–42 self-aggregation inhibition (79.42%) |
![]() | 13α [39] | Ferulic acid-piperazine derivative | AChE (IC50 = 0.59 μM) BuChE (IC50 = 5.02 μM) Antioxidant activity (IC50 = 5.88 μM) Aβ metal-induced and self-aggregation inhibition |
![]() | AM5 [40] | Quinolinone hybrid | AChE (IC50 = 1.29 μM) Aβ42 aggregation inhibition (IC50 = 4.93 μM) Antioxidant activity |
![]() | AM10 [40] | Quinolinone hybrid | AChE (IC50 = 1.72 μM) Aβ42 aggregation inhibition (IC50 = 1.42 μM) Antioxidant activity |
![]() | 3b-1 [41] | L-tryptophan derivative | BuChE (IC50 = 0.44 μM) Aβ1–42 self-aggregation inhibition (52.50%) Radical scavenging (IC50 = 0.72 μM) |
![]() | 5a [42] | 5-substituted-2-anilino-1,3,4-oxadiazole derivative | AChE (IC50 = 46.9 nM) BuChE (IC50 = 3.5 nM) Aβ self-aggregation inhibition Antioxidant activity |
![]() | 6b [43] | Melatonin–mydroxyquinoline hybrid | Aβ Cu-induced and self-aggregation inhibition (63.24%) Radical scavenging |
![]() | 6c [43] | Melatonin–mydroxyquinoline hybrid | Aβ Cu-induced and self-aggregation inhibition (40.33%) Radical scavenging |
| Molecule | Molecule Name | Chemical Class | Primary Targets |
|---|---|---|---|
![]() | ZLQH-5 [44] | Harmine derivative | GSK-3β (IC50 = 66 nM) DYRK1A (IC50 = 111 nM) tau hyperphosphorylation inhibition |
![]() | 18a [45] | Tetrahydroacridin hybrid with sulfur-inserted linker | GSK-3β (IC50 = 0.930 μM) AChE (IC50 = 0.047 μM) |
![]() | 7c [46] | Quianolin-2-one derivative | GSK-3β (IC50 = 6.68 nM) tau aggregation inhibition |
| Molecule | Molecule Name | Chemical Class | Primary Targets |
|---|---|---|---|
![]() | 4 [47] | Benzothiazepine derivative | GSK-3β (IC50 = 0.142 μM) HDAC2 (IC50 = 0.030 μM) HDAC6 (IC50 = 0.045 μM) |
![]() | W5 [48] | Carboxamidoxime derivative | HDAC6 inhibition |
![]() | LASSBio-1911 [49] | Benzohydrazide hybrid | HDAC inhibition |
| Molecule | Molecule Name | Chemical Class | Primary Targets |
|---|---|---|---|
![]() | 2 [50] | Pitolisant-sulfonylureas derivative | AChE (IC50 = 7.65 μM) H3R antagonism (IC50 = 0.13 μM) |
![]() | ADS031 [51] | 4-oxypiperidine ether derivatives | H3R (Ki = 12.5 nΜ) AChE (IC50 = 1.537 μM) BuChE (IC50 = 1.353 μM) |
![]() | 11l [52] | Scutellarein 7 L-amino acid carbamate-4′-cycloalkylamine propyl ether conjugate | AChE (IC50 = 9.73 μM) H3R (IC50 = 1.09 nM) |
| Molecule | Molecule Name | Chemical Class | Primary Targets |
|---|---|---|---|
![]() | 7a [53] | N-substituted pyrrolidine derivative | AChE (IC50 = 0.215 μM) FAAH (IC50 = 8.2 μM) Antioxidant activity (IC50 = 0.4 μM) |
![]() | 14g [53] | N-substituted pyrrolidine derivative | BuChE (IC50 = 0.155 μM) FAAH (IC50 = 0.94 μM) Antioxidant activity (IC50 = 42.7 μM) |
![]() | 18a [54] | Cinnamic amide hybrid | Lipid peroxidation inhibition (99%) |
![]() | 28c [54] | Cinnamic amide hybrid | LOX-1 (IC50 = 8.5 μM) |
![]() | 22a [54] | Cinnamic amide hybrid | COX-2 (IC50 = 5 μM) |
![]() | 23c [54] | Cinnamic amide hybrid | LOX-1 COX-2 |
![]() | SR42 [55] | Tryptamine derivative | AChE (IC50 = 0.70 μM) MAO-B (IC50 = 43.21 μM) COX-2 (75.16%) |
![]() | S-12 [56] | Diaryl triazine hybrid | AChE (IC50 = 0.486 μM) BACE-1 (IC50 = 0.542 μM) Aβ1–42 aggregation inhibition (81.1%) |
![]() | S-02 [56] | Diaryl triazine hybrid | DYRK1A (IC50 = 2 μM) |
![]() | 7b [57] | Quinazolinone-based hybrid | AChE inhibition (23.8%) anti-inflammatory antioxidant activity |
![]() | 3n [58] | Bakuchiol–coumarin hybrid | AChE (IC50 = 34.78 μM) TNF-α (53.89%) IL-6 (86.53%) |
![]() | n1 [59] | Tryptanthrin hybrid | AChE (IC50 = 12.17 nM) Aβ1–42 aggregation inhibition NO (IC50 = 2.13 μM) IL-1β (IC50 = 2.21 μM) TNF-α (IC50 = 2.47 μM) |
| Molecule | Molecule Name | Chemical Class | Primary Targets |
|---|---|---|---|
![]() | 7d [60] | Tacrine-selegiline hybrid | AChE (IC50 = 1.57 μM) BuChE (IC50 = 0.43 μM) MAO-A (IC50 = 2.3 μM) MAO-B (IC50 = 4.75 μM) |
![]() | 3b [61] | 1,2,4-oxadiazole derivative | AChE (IC50 = 0.02330 μM) MAO-B (IC50 = 140.02 μM) Antioxidant activity (IC50 = 536.83 μM) |
![]() | 1a [61] | 1,2,4-oxadiazole derivative | MAO-A (IC50 = 47.25 μM) |
![]() | 2b [61] | 1,2,4-oxadiazole derivative | AChE (IC50 = 0.03393 μM) |
![]() | a12 [62] | Quinoline-base sulfonamide hybrid | AChE (IC50 = 2.65 μM) BuChE (IC50 = 1.16 μM) MAO-A (IC50 = 1.34 μM) MAO-B (IC50 = 0.47 μM) |
![]() | 4kk [63] | Chromen-2-one based piperidine hybrid | AChE BuChE MAO-A MAO-B |
![]() | 5a [64] | 3-phenylcoumarin derivative | AChE BuChE MAO-A MAO-B |
| Molecule | Molecule Name | Chemical Class | Primary Targets |
|---|---|---|---|
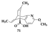
![]() | VN-19 [74] | Chromone derivative | AChE (IC50 = 140 nM) BuChE (IC50 = 11.6 μM) MAO-B (IC50 = 450 nM) Aβ self-induced aggregation (47.3%) Antioxidant activity (68.44%) |
![]() | XYY-CP1106 [75] | Hydroxypyridinone-coumarin hybrid | Iron chelation (pFe3+ = 18.04) MAO-B (IC50 = 14.7 nM) |
![]() | 30 [76] | 6-hydroxybenzothiazol-2-carboxamid derivative | MAO-B (IC50 = 41 nM) tau and α-synuclein aggregation reduction |
| Molecule | Molecule Name | Chemical Class | Primary Targets |
|---|---|---|---|
![]() | 4h [77] | N′-(quinolin-4-ylmethylene)propanehydrazide hybrid | AChE (IC50 = 7.04 μM) BuChE (IC50 = 16.06 μM) |
![]() | 4c [78] | Piperazine-2-carboxylic acid derivative | AChE (Ki = 10.2 μM) |
![]() | 7b [78] | Piperazine-2-carboxylic acid derivative | BuChE (Ki = 1.6 μM) |
![]() | 8n [79] | Isatin-triazine-aniline hybrid | AChE (IC50 = 0.2 nM) BuChE (IC50 = 0.03 μM) Metal chelation |
![]() | 8c [79] | Isatin-triazine-aniline hybrid | AChE BuChE Antioxidant activity (EC50 = 64.4 μM) |
![]() | 16 [80] | Tacrine derivative | AChE (IC50 = 156.0 nM) BuChE (IC50 = 82.5 nM) |
![]() | HupA-A1 [81] | Huperzine A hybrid | AChE inhibition Metal chelation |
![]() | 6j [82] | Piperic acid derivative | AChE (IC50 = 2.13 μM) BuChE (IC50 = 28.19 μM) Antioxidant activity |
![]() | 95 [83] | Piperazine-quinoline hybrid | AChE (IC50 = 3.013 μM) BuChE (IC50 = 3.144 μM) Antioxidant activity Metal chelation |
| Molecule | Molecule Name | Chemical Class | Primary Targets |
|---|---|---|---|
![]() | 5c [84] | Amiridine hybrid | BuChE (IC50 = 0.6 μM) NMDA antagonism |
![]() | 5d [84] | Amiridine hybrid | BuChE (IC50 = 0.1 μM) NMDA antagonism |
![]() | I-52 [85] | Phenoxytacrine derivative | AChE (IC50 = 8.52 μM) BuChE (IC50 = 5.48 μM) NMDA receptor antagonism (IC50 = 2.4 μM) |
| Molecule | Molecule Name | Chemical Class | Primary Targets |
|---|---|---|---|
![]() | 45 [86] | Coumarin-benzesulfonamide hybrid | MAO-B (IC50 = 9.1 nM) CA (Ki = 0.1–90.0 nM) |
![]() | 47 [86] | Coumarin-benzesulfonamide hybrid | MAO-B (IC50 = 6.7 nM) CA (Ki = 0.1–90.0 nM) |
![]() | 75 [86] | Coumarin-benzesulfonamide hybrid | MAO-B (IC50 = 6.7–32.6 nM) CA (Ki = 0.1–90.0 nM) |
![]() | 84 [86] | Coumarin-benzesulfonamide hybrid | MAO-B (IC50 = 6.7–32.6 nM) CA (Ki = 0.1–90.0 nM) |
| Molecule | Molecule Name | Chemical Class | Primary Targets |
|---|---|---|---|
![]() | 7f [87] | Pyrazole-based Schiff bases hybrid | AChE (IC50 = 62.11 μM) α-amylase inhibition α-glucosidase inhibition |
| Molecule | Molecule Name | Chemical Class | Primary Targets |
|---|---|---|---|
![]() | 4i [88] | Dihydropyridine derivative | Ca-channel blockage (11%) Induce Nrf2 activation Antioxidant activity CatS (Ki = 69.3 μΜ) |
| Molecule | Molecule Name | Chemical Class | Primary Targets |
|---|---|---|---|
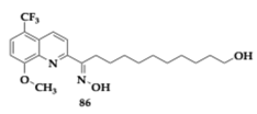
![]() | HT3 [89] | Hydroxytyrosol derivatives of donepezil | MAO-A (IC50 = 23.4 μM) MAO-B (IC50 = 171.0 μM) Xanthine oxidase inhibition |
![]() | HT2 [89] | Hydroxytyrosol derivatives of donepezil | MAO-A inhibition MAO-B inhibition Xanthine oxidase inhibition |
| Molecule | Molecule Name | Chemical Class | Primary Targets |
|---|---|---|---|
![]() | 4 [5] | N-methyl-N-propargyl derivative | p38α-MAPK (IC50 = 98.7 nM) |
![]() | 2j [96] | Carbamylated tryptamine hybrid | BuChE (IC50 = 6.77 nM) COX-2 inhibition |
![]() | 14 [97] | Indole derivative | NRF2 (CD = 5.07 μM) MAO-B (IC50 = 17.0 μM) IL-1β reduction (41.1%) Antioxidant activity |
![]() | 4d [98] | Styryl sulfone hybrid | NO inhibition (94.0%) p38 MAPK NF-κB Nrf2 |
| Molecule | Molecule Name | Chemical Class | Primary Targets |
|---|---|---|---|
![]() | 30 [76] | 6-hydroxybenzothiazol-2-carboxamide | MAO-B (IC50 = 0.041 μM) tau (EC50 = 10.5 μM) α-syn (IC50 = 9.09 μM) |
![]() | 8 [99] | Caffeic acid derivative | COMT (IC50 = 1.33 μM) MAO-B (IC50 = 4.27 μM) |
![]() | 7 [92] | Benzimidazole hybrid | MAO-B inhibition |
![]() | 8a [100] | Indole derivative | MAO-B (IC50 = 0.02 μM) |
![]() | 3n [101,102] | Melatonin hybrid | MAO-B (IC50 = 1.41 μM) |
| Molecule | Molecule Name | Chemical Class | Primary Targets |
|---|---|---|---|
![]() | 9 [102] | Coumarin derivative | MAO-B (IC50 = 0.007 μM) CA inhibition AChE inhibition BuChE inhibition |
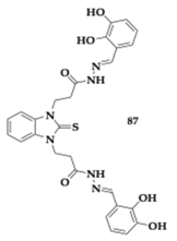
![]() | 5a [103] | Rivastigmine-benzimidazole hybrid | Aβ42 self- and Cu-induced aggregation inhibition (45%) AChE inhibition BuChE inhibition Metal chelation Antioxidant activity |
![]() | 4b [104] | 1,3,4-oxadiazole derivative | AChE (IC50 = 0.83 μM) MAO-A (IC50 = 1.44 μM) MAO-B (IC50 = 1.04 μM) |
![]() | 3a [105] | 1H-chromeno[3,2-c]pyridine derivative | AChE (IC50 = 6.79 μM) MAO-A (IC50 = 8.42 μM) MAO-B (IC50 = 0.510 μM) |
![]() | 6c [105] | 1H-chromeno[3,2-c]pyridine derivative | AChE MAO-A MAO-B |
![]() | 2a [106] | 2′-hydroxychalcone derivative | MAO-B (IC50 = 0.111 μM) Aβ1–42 aggregation inhibition (75.7%) GABAA receptor (Ki = 5.0 μM) AChE inhibition |
![]() | 10 [107] | 7-amidocoumarin derivative | MAO-A MAO-B AChE BuChE BACE-1 |
| Molecule | Molecule Name | Chemical Class | Primary Targets |
|---|---|---|---|
![]() | 10 [108] | Indole triazine derivative | α-syn aggregation inhibition (FI = 13.5%), tau aggregation inhibition hyperphosphorylated tau oligomerization inhibition |
![]() | PQQ [109] | Pyrroloquinoline quinone | Antioxidant activity α-syn Cu-induced aggregation inhibition |
![]() | 24b [110] | Hydroxybenzothiazole hybrid | Dyrk1A inhibition α-syn aggregation inhibition tau aggregation inhibition |
| Molecule | Molecule Name | Chemical Class | Primary Targets |
|---|---|---|---|
![]() | 30 [111] | Benzothiazole derivative | A2AR (Ki = 0.16 μΜ)
D2R (Ki = 0.37 μΜ) |
| Molecule | Molecule Name | Chemical Class | Primary Targets |
|---|---|---|---|
![]() | 12 [112] | Benzimidazolone derivative | A1R A2AR H3R |
| Molecule | Molecule Name | Chemical Class | Primary Targets |
|---|---|---|---|
![]() | 3d [113] | 3-aryl-5,6-dihydrobenzo[h]cinnoline derivative | AChE BuChE MAO-A MAO-B LIMK-2 |
![]() | 3h [113] | 3-aryl-5,6-dihydrobenzo[h]cinnoline derivative | AChE BuChE MAO-A MAO-B DHODH NMDAR JNKs |
![]() | 5p [114] | Quinoline hybrid | AChE BuChE CB2 agonism |
![]() | LM22B [115] | Triarylmethane derivative | TrkB TrkC AKT |
![]() | 11b [116] | Xanthine derivative | MAO-B (IC50 = 47.9 nM) A2AR (Ki = 0.672 μM) |
![]() | 11d [116] | Xanthine derivative | PDE4B1 (IC50 = 2.44 μM) PDE10A (IC50 = 2.30 μM) |
Disclaimer/Publisher’s Note: The statements, opinions and data contained in all publications are solely those of the individual author(s) and contributor(s) and not of MDPI and/or the editor(s). MDPI and/or the editor(s) disclaim responsibility for any injury to people or property resulting from any ideas, methods, instructions or products referred to in the content. |
© 2025 by the authors. Licensee MDPI, Basel, Switzerland. This article is an open access article distributed under the terms and conditions of the Creative Commons Attribution (CC BY) license (https://creativecommons.org/licenses/by/4.0/).
Share and Cite
Katsoulaki, E.-E.; Dimopoulos, D.; Hadjipavlou-Litina, D. Multitarget Compounds Designed for Alzheimer, Parkinson, and Huntington Neurodegeneration Diseases. Pharmaceuticals 2025, 18, 831. https://doi.org/10.3390/ph18060831
Katsoulaki E-E, Dimopoulos D, Hadjipavlou-Litina D. Multitarget Compounds Designed for Alzheimer, Parkinson, and Huntington Neurodegeneration Diseases. Pharmaceuticals. 2025; 18(6):831. https://doi.org/10.3390/ph18060831
Chicago/Turabian StyleKatsoulaki, Eleftheria-Emmanouela, Dimitrios Dimopoulos, and Dimitra Hadjipavlou-Litina. 2025. "Multitarget Compounds Designed for Alzheimer, Parkinson, and Huntington Neurodegeneration Diseases" Pharmaceuticals 18, no. 6: 831. https://doi.org/10.3390/ph18060831
APA StyleKatsoulaki, E.-E., Dimopoulos, D., & Hadjipavlou-Litina, D. (2025). Multitarget Compounds Designed for Alzheimer, Parkinson, and Huntington Neurodegeneration Diseases. Pharmaceuticals, 18(6), 831. https://doi.org/10.3390/ph18060831







































































































