Exogenous Zeaxanthin Alleviates Low Temperature Combined with Low Light Induced Photosynthesis Inhibition and Oxidative Stress in Pepper (Capsicum annuum L.) Plants
Abstract
:1. Introduction
2. Materials and Methods
2.1. Plant Material and Growth Conditions
2.2. Treatments
2.3. Biomass and Morphology
2.4. Measurement of Electrolyte Leakage and Relative Water Content
2.5. Scanning Electron Microscopy
2.6. Determination of Photosynthetic Gas Exchange Parameters
2.7. Determination of Superoxide Anion Content and Tissue Nitroblue Tetrazolium (NBT) Staining
2.8. Determination of Hydrogen Peroxide Content and Tissue Diaminobenzene (DAB) Staining
2.9. Determination of Antioxidant Enzyme Activity
2.10. Determination of AsA, DHA, GSH, and GSSG Contents
2.11. Extraction of Total RNA and RT-PCR Analysis
2.12. Statistical Analysis
3. Results
3.1. Effects of Exogenous Zeaxanthin on the Morphological Characteristics of Pepper under LL Stress
3.2. Electrolyte Leakage and Relative Water Content
3.3. Microscopic Structure of Leaf Tissue Stress
3.4. Effects of Exogenous Zeaxanthin on the Photosynthetic Parameters of Pepper under LL Stress
3.5. Effects of Exogenous Zeaxanthin on Reactive Oxygen Content in Pepper Leaves under LL Stress
3.6. Effects of Exogenous Zeaxanthin on Activities of SOD, POD, and CAT Enzymes in Pepper under LL Stress
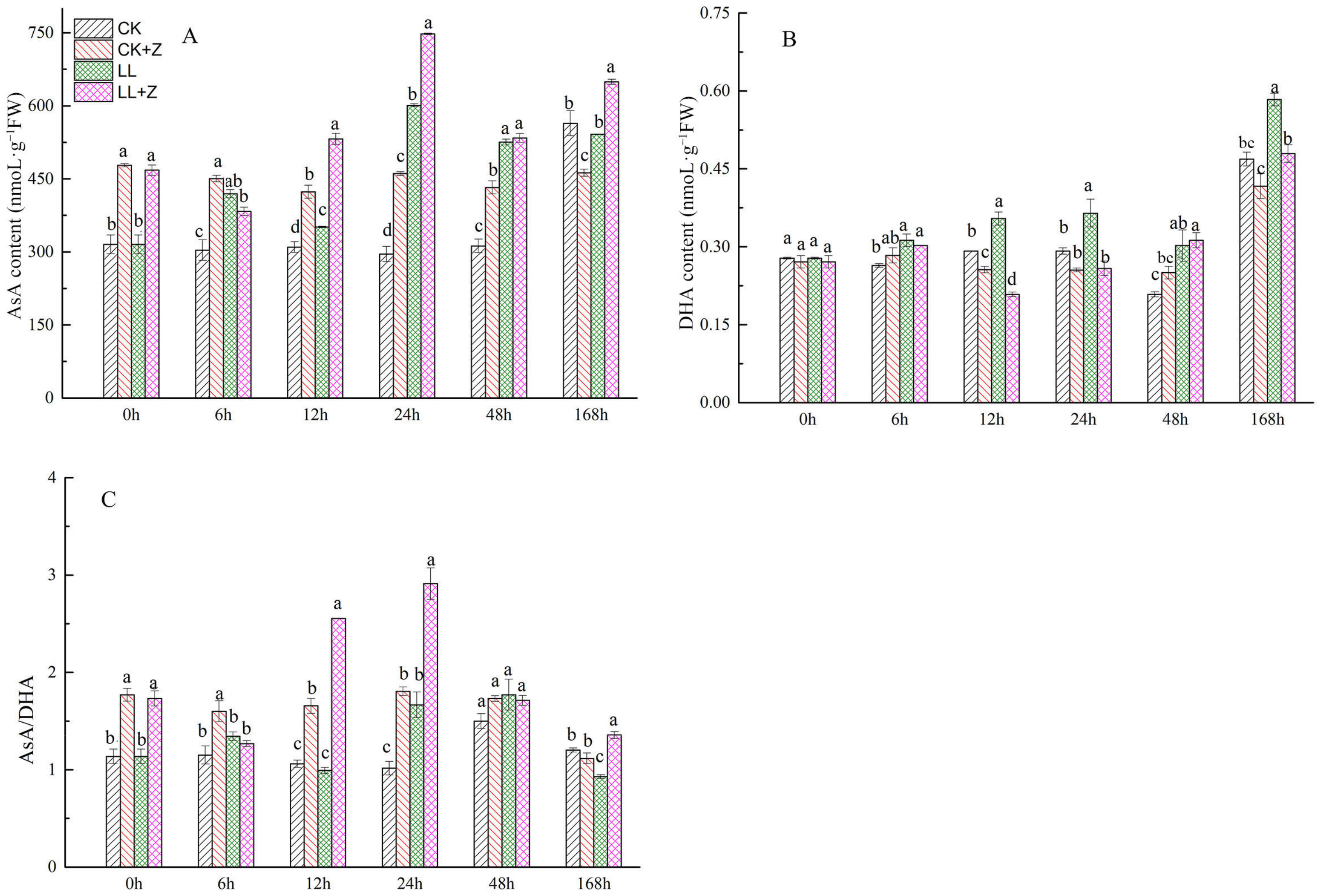
3.7. Effects of Exogenous Zeaxanthin on Ascorbic Acid Content in Pepper under LL Stress
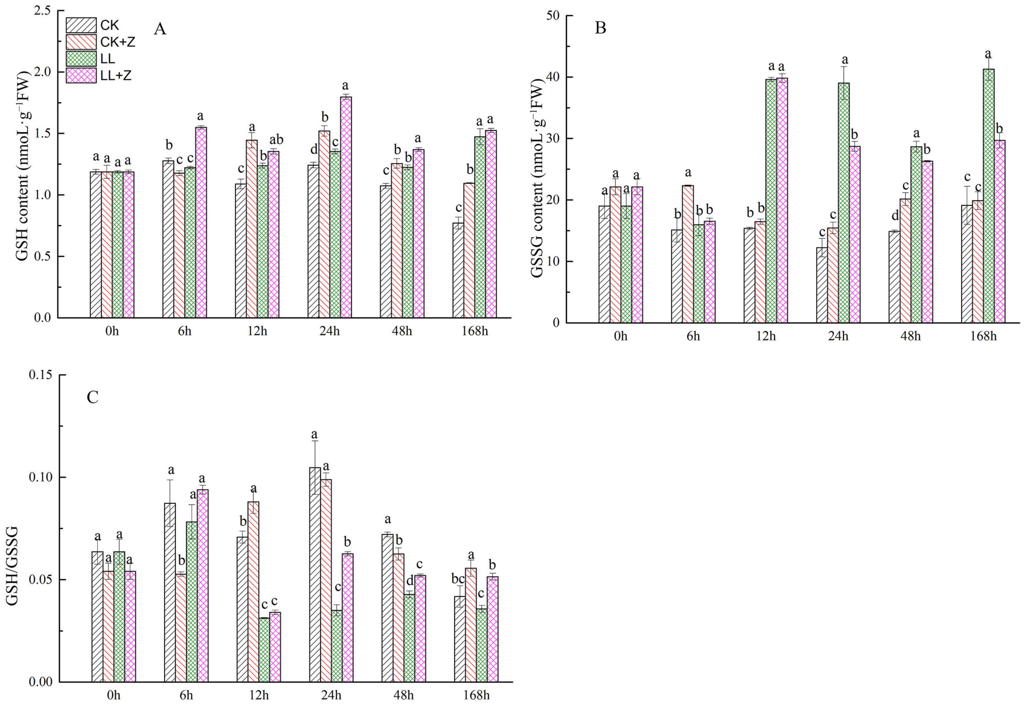
3.8. Effects of Exogenous Zeaxanthin on Glutathione Content in Pepper under LL Stress
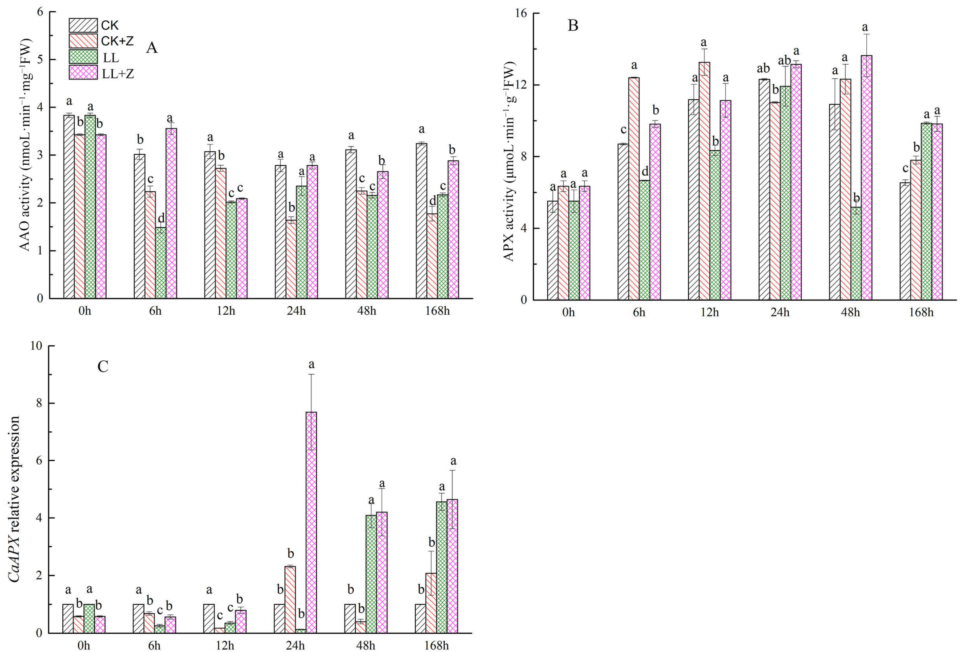
3.9. Effects of Exogenous Zeaxanthin on the Activities of Ascorbate Oxidase and Ascorbate Peroxidase in Pepper under LL Stress
3.10. Effects of Exogenous Zeaxanthin on Activities of Mono Dehydroascorbic Acid Reductase and Dehydroascorbic Acid Reductase and Their Gene Expression Levels in Pepper under LL Stress
4. Discussion
5. Conclusions
Author Contributions
Funding
Data Availability Statement
Conflicts of Interest
References
- Barrero-Gil, J.; Huertas, R.; Rambla, J.L.; Granell, A.; Salinas, J. Tomato plants increase their tolerance to low temperature in a chilling acclimation process entailing comprehensive transcriptional and metabolic adjustments. Plant Cell Environ. 2016, 39, 2303–2318. [Google Scholar] [CrossRef] [PubMed] [Green Version]
- Franklin, K.A.; Gabriela, T.O.; Pyott, D.E.; Halliday, K.J. Interaction of light and temperature signalling. J. Exp. Bot. 2014, 65, 2859–2871. [Google Scholar] [CrossRef] [PubMed] [Green Version]
- Hu, W.H.; Wu, Y.; Zeng, J.Z.; He, L.; Zeng, Q.M. Chill-induced inhibition of photosynthesis was alleviated by 24-epibrassinolide pretreatment in cucumber during chilling and subsequent recovery. Photosynthetica 2010, 48, 537–544. [Google Scholar] [CrossRef]
- Sanghera, G.S.; Wani, S.H.; Hussain, W.; Singh, N.B. Engineering cold stress tolerance in crop plants. Curr. Genom. 2010, 12, 30–43. [Google Scholar] [CrossRef] [PubMed] [Green Version]
- Guo, W.L.; Chen, R.G.; Gong, Z.H.; Yin, Y.X.; Li, D.W.; Pandey, G.K. Suppression subtractive hybridization analysis of genes regulated by application of exogenous abscisic acid in pepper plant (Capsicum annuum L.) leaves under chilling stress. PLoS ONE 2013, 8, e66667. [Google Scholar] [CrossRef] [PubMed]
- Li, J.; Yang, P.; Kang, J.G.; Gan, Y.T.; Xie, J.M. Transcriptome Analysis of pepper (Capsicum annuum L.) revealed a role of 24-Epibrassinolide in response to chilling. Front. Plant Sci. 2016, 7, 1281. [Google Scholar] [CrossRef] [Green Version]
- Hu, L.L.; Liao, W.B.; Dawuda, M.M.; Yu, J.H.; Jian, L. Appropriate NH4+:NO3− ratio improves low light tolerance of mini Chinese cabbage seedlings. BMC Plant Biol. 2017, 17, 22. [Google Scholar] [CrossRef] [Green Version]
- Ma, X.; Chen, C.; Yang, M.; Dong, X.; Lv, W.; Meng, Q. Cold-regulated protein (SlCOR413IM1) confers chilling stress tolerance in tomato plants. Plant Physiol. Biochem. 2018, 124, 29–39. [Google Scholar] [CrossRef]
- Glind, M.H.; Hanslin, H.M.; Mortensen, L.M. Photosynthesis of Lolium perenne L. at low temperatures under low irradiances. Environ. Exp. Bot. 2011, 70, 297–304. [Google Scholar]
- Li, J.; Ping, Y.; Gan, Y.T.; Yu, J.H.; Xie, J.M. Brassinosteroid alleviates chilling-induced oxidative stress in pepper by enhancing antioxidation systems and maintenance of photosystem II. Acta Physiol. Plant. 2015, 37, 222. [Google Scholar] [CrossRef]
- Pallavi, S.; Bhushan, J.A.; Shanker, D.R.; Mohammad, P. Reactive oxygen species, oxidative damage, and antioxidative defense mechanism in plants under stressful conditions. J. Bot. 2012, 2012, 217037. [Google Scholar]
- Pessarakli, M. Handbook of Plant and Crop Stress, 3rd ed.; CRC Press: Boca Raton, FL, USA, 2016. [Google Scholar]
- Mishra, S.; Jha, A.B.; Dubey, R.S. Arsenite treatment induces oxidative stress, upregulates antioxidant system, and causes phytochelatin synthesis in rice seedlings. Protoplasma 2011, 248, 565–577. [Google Scholar] [CrossRef] [PubMed]
- Korkmaz, A.; Korkmaz, Y.; DemirkıRan, A.R. Enhancing chilling stress tolerance of pepper seedlings by exogenous application of 5-aminolevulinic acid. Environ. Exp. Bot. 2010, 67, 495–501. [Google Scholar] [CrossRef]
- Airaki, M.; Leterrier, M.; Mateos, R.M.; Valderrama, R.; Chaki, M.; Barroso, J.B.; Delrío, L.A.; Coepas, F.J. Metabolism of reactive oxygen species and reactive nitrogen species in pepper (Capsicum annuum L.) plants under low temperature stress. Plant Cell Environ. 2012, 35, 281–295. [Google Scholar] [CrossRef] [PubMed]
- Liebthal, M.; Maynard, D.; Dietz, K.J. Peroxiredoxins and redox signaling in plants. Antioxid. Redox Signal. 2018, 28, 609–624. [Google Scholar] [CrossRef]
- Thounaojam, T.C.; Panda, P.; Mazumdar, P.; Kumar, D.; Sharma, G.D.; Sahoo, L.; Panda, S.K. Excess copper induced oxidative stress and response of antioxidants in rice. Plant Physiol. Biochem. 2012, 53, 33–39. [Google Scholar] [CrossRef]
- Mates, J.M. Effects of antioxidant enzymes in the molecular control of reactive oxygen species toxicology. Toxicology 2000, 153, 83–104. [Google Scholar] [CrossRef]
- Qin, S.; Liu, H.; Nie, Z.; Gao, W.; Li, C.; Lin, Y.; Zhao, P. AsA-GSH cycle and antioxidant enzymes play important roles in Cd tolerance of wheat. Bull. Environ. Contam. Toxicol. 2018, 101, 684–690. [Google Scholar] [CrossRef]
- Gupta, M.; Cuypers, A.; Vangronsveld, J.; Clijsters, H. Copper affects the enzymes of the ascorbate-glutathione cycle and its related metabolites in the roots of Phaseolus vulgaris. Physiol. Plant. 2010, 106, 262–267. [Google Scholar] [CrossRef]
- Dai, H.; Jia, G.; Shan, C. Jasmonic acid-induced hydrogen peroxide activates MEK1/2 in upregulating the redox states of ascorbate and glutathione in wheat leaves. Acta Physiol. Plant. 2015, 37, 200. [Google Scholar] [CrossRef]
- Gill, S.S.; Anjum, N.A.; Hasanuzzaman, M.; Gill, R.; Tuteja, N. Glutathione and glutathione reductase: A boon in disguise for plant abiotic stress defense operations. Plant Physiol. Biochem. 2013, 70, 204–212. [Google Scholar] [CrossRef]
- Shao, H.B.; Chu, L.Y.; Shao, M.A.; Cheruth, A.J.; Mi, H.M. Higher plant antioxidants and redox signaling under environmental stresses. C. R. Biol. 2008, 331, 433–441. [Google Scholar] [CrossRef] [PubMed]
- Demmig-Adams, B.; Cohu, C.M.; Amiard, V.; Zadelhoff, G.V.; Veldink, G.A.; Muller, O.; Iii, W. Emerging trade-offs—Impact of photoprotectants (PsbS, xanthophylls, and vitamin E) on oxylipins as regulators of development and defense. New Phytol. 2013, 197, 720–729. [Google Scholar] [CrossRef] [PubMed]
- Zhang, J.F.; Li, J.; Xie, J.M.; Yu, J.H.; Tang, C.N. Changes in photosynthesis and carotenoid composition of pepper (Capsicum annuum L.) in response to low-light stress and low temperature combined with low-light stress. Photosynthetica 2020, 58, 125–136. [Google Scholar] [CrossRef]
- Brugnoli, E.; Scartazza, A.; Tullio, M.; Monteverdi, M.C.; Augusti, A. Zeaxanthin and non-photochemical quenching in sun and shade leaves of C3 and C4 plants. Physiol. Plant. 2010, 104, 727–734. [Google Scholar] [CrossRef]
- Min, W.; Gang, W.; Jing, J. Suppression of the phytoene desaturase gene influence on the organization and function of photosystem II (PSII) and antioxidant enzyme activities in tobacco. Environ. Exp. Bot. 2010, 67, 460–466. [Google Scholar]
- Zhu, Y.; Graham, J.E.; Ludwig, M.; Wei, X.; Alvey, R.M.; Shen, G.; Bryant, D.A. Roles of xanthophyll carotenoids in protection against photoinhibition and oxidative stress in the cyanobacterium Synechococcus sp. strain PCC 7002. Arch. Biochem. Biophys. 2010, 504, 86–99. [Google Scholar] [CrossRef]
- Triantaphylidès, C.; Havaux, M. Singlet oxygen in plants: Production, detoxification and signaling. Trends Plant Sci. 2009, 14, 219–228. [Google Scholar] [CrossRef]
- Wang, N.; Li, B.; Feng, H.L.; Zhang, Q.Y.; Yang, X.H.; Meng, Q.W. Antisense-mediated suppression of tomato zeaxanthin epoxidase alleviates photoinhibition of PSII and PSI during chilling stress under low irradiance. Photosynthetica 2010, 48, 409–416. [Google Scholar] [CrossRef]
- Chen, X.Y.; Han, H.P.; Jiang, P.; Nie, L.L.; Bao, H.; Fan, P.X.; Lv, S.L.; Feng, J.J.; Li, Y.X. Transformation of β-Lycopene cyclase genes from Salicornia europaea and arabidopsis conferred salt tolerance in arabidopsis and tobacco. Plant Cell Physiol. 2011, 52, 909–921. [Google Scholar] [CrossRef] [Green Version]
- Chen, K.; Hong, Z.; Xue, L.; Zhao, N.; He, S.Z.; Liu, Q.C. A lycopene β-cyclase gene, IbLCYB2, enhances carotenoid contents and abiotic stress tolerance in transgenic sweetpotato. Plant Sci. 2018, 272, 243–254. [Google Scholar]
- Havaux, M. Photodamage of the photosynthetic apparatus and its dependence on the leaf developmental stage in the npq1 arabidopsis mutant deficient in the xanthophyll cycle enzyme violaxanthin de-epoxidase. Plant Physiol. 2000, 124, 273–284. [Google Scholar] [CrossRef] [PubMed] [Green Version]
- Havaux, M.; Niyogi, K.K. The violaxanthin cycle protects plants from photooxidative damage by more than one mechanism. Proc. Natl. Acad. Sci. USA 1999, 96, 8762–8767. [Google Scholar] [CrossRef] [PubMed] [Green Version]
- Cao, T.M.; Zhang, Z.Q.; Zhang, T.; You, z.; Geng, J.C.; Wang, Y.F.; Hu, T.M.; Yang, P.Z. Overexpression of zeaxanthin epoxidase gene from Medicago sativa enhances the tolerance to low light in transgenic tobacco. Acta Biochim. Pol. 2018, 65, 431–435. [Google Scholar] [CrossRef]
- Min, Z.; Li, R.; Chen, L.; Zhang, Y.; Li, Z.; Liu, M.; Ju, Y.; Fang, Y. Alleviation of drought stress in grapevine by foliar-applied strigolactones. Plant Physiol. Biochem. 2019, 135, 99–110. [Google Scholar] [CrossRef]
- Li, J.; Xie, J.M.; Yu, J.H.; Lu, J.; Bakpa, E.P.; Zhang, X.D.; Zhang, J.; Tang, C.N.; Ding, D.X.; Li, N.H.; et al. Transcriptome sequence and analysis revealed the roles of carotenoids and photosynthesis under low temperature combined with low-light stress on pepper (Capsicum annuum L.). Photosynthetica 2021, 59, 24–36. [Google Scholar] [CrossRef]
- Ma, N.N.; Zuo, Y.Q.; Liang, X.Q.; Yin, B.; Wang, G.D.; Meng, Q.W. The multiple stress-responsive transcription factor slnac1 improves the chilling tolerance of tomato. Physiol. Plant. 2013, 149, 474–486. [Google Scholar] [CrossRef]
- Tang, C.N.; Xie, J.M.; Lv, J.; Li, L.; Zhang, J.; Wang, C.; Liang, G.P. Alleviating damage of photosystem and oxidative stress from chilling stress with exogenous zeaxanthin in pepper (Capsicum annuum L.) seedlings. Plant Physiol. Biochem. 2021, 124, 29–39. [Google Scholar] [CrossRef]
- Arshad, M.; Ullah, S.; Khurshid, K.; Ali, A. Estimation of leaf water content from mid and thermal infrared spectra by coupling genetic algorithm and partial least squares regression. J. Appl. Remote Sens. 2018, 12, 022203. [Google Scholar] [CrossRef]
- Jin, X.L.; Shi, C.H.; Yu, C.Y.; Toshihiko, Y.; Sacks, E.J. Determination of leaf water content by visible and near-infrared spectrometry and multivariate calibration in Miscanthus. Front. Plant Sci. 2017, 8, 721. [Google Scholar] [CrossRef] [Green Version]
- Duan, M.; Feng, H.L.; Wang, L.Y.; Li, D.; Meng, Q.W. Overexpression of thylakoidal ascorbate peroxidase shows enhanced resistance to chilling stress in tomato. J. Plant Physiol. 2012, 169, 867–877. [Google Scholar] [CrossRef] [PubMed]
- Kamrun, N.; Mirza, H.; Alam, M.M.; Masayuki, F. Exogenous spermidine alleviates low temperature injury in Mung Bean (Vigna radiata L.) seedlings by modulating ascorbate-glutathione and glyoxalase pathway. Int. J. Mol. Sci. 2015, 16, 30117–30132. [Google Scholar] [CrossRef] [Green Version]
- Allen, D.J.; Ort, D.R. Impacts of chilling temperatures on photosynthesis in warm-climate plants. Trends Plant Sci. 2001, 6, 36–42. [Google Scholar] [CrossRef]
- Farquhar, G.D.; Sharkey, T.D. Stomatal conductance and photosynthesis. Annu. Rev. Plant Physiol. 1982, 33, 317–345. [Google Scholar] [CrossRef]
- Flexas, J.; Medrano, H. Drought-inhibition of photosynthesis in C3 plants: Stomatal and non-stomatal limitations revisited. Ann. Bot. 2002, 89, 183–189. [Google Scholar] [CrossRef] [Green Version]
- Pitzschke, A.; Forzani, C.; Hirt, H. Reactive oxygen species signaling in plants. Antioxid. Redox Signal. 2006, 8, 1757. [Google Scholar] [CrossRef]
- Suzuki, N.; Koussevitzky, S.; Mittler, R.; Miller, G. ROS and redox signalling in the response of plants to abiotic stress. Plant Cell Environ. 2012, 35, 259–270. [Google Scholar] [CrossRef]
- Ogweno, J.O.; Song, X.S.; Hu, W.H.; Shi, K.; Zhou, Y.H.; Yu, J.Q. Detached leaves of tomato differ in their photosynthetic physiological response to moderate high and low temperature stress. Sci. Hortic. 2009, 123, 17–22. [Google Scholar] [CrossRef]
- Jin, Y.; Tao, D.; Hao, Z.; Ye, J.; Du, Y.; Liu, H.; Zhou, Y. Environmental stresses and redox status of ascorbate. Acta Bot. Sin. 2003, 45, 795–801. [Google Scholar]
- Chinnusamy, V.; Jagendorf, A.; Zhu, J.K. Understanding and improving salt tolerance in plants. Crop Sci. 2005, 45, 437–448. [Google Scholar] [CrossRef] [Green Version]
- Li, J.H.; Arkorful, E.; Cheng, S.Y.; Zhou, Q.Q.; Li, H.; Chen, X.; Sun, K.; Li, X.H. Alleviation of cold damage by exogenous application of melatonin in vegetatively propagated tea plant (Camellia sinensis (L.) O. Kuntze). Sci. Hortic. 2018, 238, 356–362. [Google Scholar] [CrossRef]
- Wang, C.Q.; Xu, H.J.; Liu, T. Effect of selenium on ascorbate–glutathione metabolism during peg-induced water deficit in Trifolium repens L. J. Plant Growth Regul. 2011, 30, 436–444. [Google Scholar] [CrossRef]
- Foyer, C.H.; Noctor, G. Ascorbate and Glutathione: The heart of the redox hub. Plant Physiol. 2011, 155, 2–18. [Google Scholar] [CrossRef] [PubMed] [Green Version]
- Li, Y.; Liu, Y.; Zhang, J. Advances in the research on the AsA-GSH cycle in horticultural crops. Front. Agric. China 2010, 4, 84–90. [Google Scholar] [CrossRef]
- Chen, Z.Y.; Wang, Y.T.; Pan, X.B.; Xi, Z.M. Amelioration of cold-induced oxidative stress by exogenous 24-epibrassinolide treatment in grapevine seedlings: Toward regulating the ascorbate–glutathione cycle. Sci. Hortic. 2019, 244, 379–387. [Google Scholar] [CrossRef]
- Kwon, S.Y.; Choi, S.M.; Ahn, Y.O.; Lee, H.S.; Lee, H.B.; Park, Y.M.; Kwak, S.S. Enhanced stress-tolerance of transgenic tobacco plants expressing a human dehydroascorbate reductase gene. J. Plant Physiol. 2003, 160, 347–353. [Google Scholar] [CrossRef]
- Liu, T.; Hu, X.; Zhang, J.; Zhang, J.; Du, Q.; Li, J. H2O2 mediates ALA-induced glutathione and ascorbate accumulation in the perception and resistance to oxidative stress in Solanum lycopersicum at low temperatures. BMC Plant Biol. 2018, 18, 34. [Google Scholar] [CrossRef] [Green Version]
- Endo, H.; Miyazaki, K.; Ose, K.; Imahori, Y. Hot water treatment to alleviate chilling injury and enhance ascorbate-glutathione cycle in sweet pepper fruit during postharvest cold storage. Sci. Hortic. 2019, 257, 108715. [Google Scholar] [CrossRef]
- Wu, Y.; Hu, L.; Liao, W.; Dawuda, M.M.; Yu, J. Foliar application of 5-aminolevulinic acid (ALA) alleviates NaCl stress in cucumber (Cucumis sativus L.) seedlings through the enhancement of ascorbate-glutathione cycle. Sci. Hortic. 2019, 257, 108761. [Google Scholar] [CrossRef]
- Sanmartin, M.; Drogoudi, P.D.; Lyons, T.; Pateraki, I.; Kanellis, B. Over-expression of ascorbate oxidase in the apoplast of transgenic tobacco results in altered ascorbate and glutathione redox states and increased sensitivity to ozone. Planta 2003, 216, 918–928. [Google Scholar] [CrossRef]
- Pignocchi, C.; Fletcher, J.M.; Wilkinson, J.E.; Barnes, J.D.; Foyer, C.H. The function of ascorbate oxidase in tobacco. Plant Physiol. 2003, 132, 1631–1641. [Google Scholar] [CrossRef] [PubMed] [Green Version]
- Shah, M.; Guo, S.; Baloch, A.R.; Sun, J.; Kabir, K. Melatonin alleviates nickel phytotoxicity by improving photosynthesis, secondary metabolism and oxidative stress tolerance in tomato seedlings. Ecotoxicol. Environ. Saf. 2020, 197, 110593. [Google Scholar]
- Yao, M.M.; Ge, W.Y.; Zhou, Q.; Zhou, X.; Luo, M.L.; Zhao, Y.B.; Wei, B.D.; Ji, S.J. Exogenous glutathione alleviates chilling injury in postharvest bell pepper by modulating the ascorbate-glutathione (AsA-GSH) cycle. Food Chem. 2021, 352, 129458. [Google Scholar] [CrossRef] [PubMed]








| Gene Name | Sequence (5′–3′) | GenBank Accession Number | 
|---|---|---|
| CaSOD | F:GTGAGCCTCCAAAGGGTTCTCTTG | AF036936.2:35–721 | 
| R: AAACCAAGCCACACCCAACCAG | ||
| CaPOD | F: GCCAGGACAGCAAGCCAAGG | FJ596178.1:68–1042 | 
| R: TGAGCACCTGATAAGGCAACCATG | ||
| CaCAT | F: TTAACGCTCCCAAGTGTGCTCATC | NM_001324674.1:72–1550 | 
| R: GGCAGGACGACAAGGATCAAACC | ||
| CaAPX | F: TGTTGTTGCTGTTGAGGTCACTGG | AF442387.1:24–887 | 
| R: CATCTGGTAACCGCCCTTCCTTTG | ||
| CaDHAR | F: CCATATGTCAAAGGGCAGAA | KJ950368.1:1:64-702 | 
| R: CTTTCAGGCACACTCCACTT | ||
| CaMDHAR | F: TACTTCTACTCCCGTGCCTT | XM_016687442.1:79-1380 | 
| R: GAGGAATGCACCAACGATCT | ||
| Actin | F: GTCCTTCCATCGTCCACAGG | XM_016722297.1 | 
| R: GAAGGGCAAAGGTTCACAACA | 
| Treatment | Height (cm) | Stem (mm) | Fresh Weight of Shoot (g) | Fresh Weight of Root (g) | Dry Weight of Shoot (g) | Dry Weight of Root (g) | 
|---|---|---|---|---|---|---|
| CK | 16.18 ± 0.299 a | 2.86 ± 0.111 a | 5.08 ± 0.153 a | 2.02 ± 0.121 a | 0.444 ± 0.018 a | 0.104 ± 0.005 a | 
| CK + Z | 16.30 ± 0.564 a | 2.82 ± 0.136 a | 5.39 ± 0.372 a | 2.06 ± 0.107 a | 0.443 ± 0.025 a | 0.111 ± 0.011 a | 
| LL | 12.46 ± 0.289 c | 2.39 ± 0.081 b | 3.50 ± 0.083 b | 1.20 ± 0.068 b | 0.359 ± 0.008 b | 0.073 ± 0.004 b | 
| LL + Z | 13.91 ± 0.209 b | 2.72 ± 0.096 a | 3.93 ± 0.068 b | 1.31 ± 0.086 b | 0.418 ± 0.012 a | 0.076 ± 0.001 b | 
| Treatment | Pn (μmol m−2 s−1) | Ci (μmol m−2 s−1) | Tr (mmol m−2 s−1) | Gs (mmol m−2 s−1) | 
|---|---|---|---|---|
| CK | 14.133 ± 0.285 a | 348.000 ± 4.360 b | 3.300 ± 0.058 a | 112.667 ± 6.360 a | 
| CK + Z | 12.067 ± 1.396 a | 375.333 ± 19.471 b | 2.533 ± 0.176 b | 96.000 ± 9.019 a | 
| LL | 0.267 ± 0.067 c | 479.667 ± 5.175 a | 1.167 ± 0.090 c | 40.133 ± 2.862 c | 
| LL + Z | 5.000 ± 0.153 b | 343.667 ± 12.170 b | 1.367 ± 0.033 c | 69.667 ± 2.028 b | 
| Publisher’s Note: MDPI stays neutral with regard to jurisdictional claims in published maps and institutional affiliations. | 
© 2022 by the authors. Licensee MDPI, Basel, Switzerland. This article is an open access article distributed under the terms and conditions of the Creative Commons Attribution (CC BY) license (https://creativecommons.org/licenses/by/4.0/).
Share and Cite
Ding, D.; Li, J.; Xie, J.; Li, N.; Bakpa, E.P.; Han, K.; Yang, Y.; Wang, C. Exogenous Zeaxanthin Alleviates Low Temperature Combined with Low Light Induced Photosynthesis Inhibition and Oxidative Stress in Pepper (Capsicum annuum L.) Plants. Curr. Issues Mol. Biol. 2022, 44, 2453-2471. https://doi.org/10.3390/cimb44060168
Ding D, Li J, Xie J, Li N, Bakpa EP, Han K, Yang Y, Wang C. Exogenous Zeaxanthin Alleviates Low Temperature Combined with Low Light Induced Photosynthesis Inhibition and Oxidative Stress in Pepper (Capsicum annuum L.) Plants. Current Issues in Molecular Biology. 2022; 44(6):2453-2471. https://doi.org/10.3390/cimb44060168
Chicago/Turabian StyleDing, Dongxia, Jing Li, Jianming Xie, Nenghui Li, Emily Patience Bakpa, Kangning Han, Yan Yang, and Cheng Wang. 2022. "Exogenous Zeaxanthin Alleviates Low Temperature Combined with Low Light Induced Photosynthesis Inhibition and Oxidative Stress in Pepper (Capsicum annuum L.) Plants" Current Issues in Molecular Biology 44, no. 6: 2453-2471. https://doi.org/10.3390/cimb44060168
APA StyleDing, D., Li, J., Xie, J., Li, N., Bakpa, E. P., Han, K., Yang, Y., & Wang, C. (2022). Exogenous Zeaxanthin Alleviates Low Temperature Combined with Low Light Induced Photosynthesis Inhibition and Oxidative Stress in Pepper (Capsicum annuum L.) Plants. Current Issues in Molecular Biology, 44(6), 2453-2471. https://doi.org/10.3390/cimb44060168
 
         
                                                

 
       