Genome-Wide Identification and Expression Analysis of the HSF Gene Family in Ammopiptanthus mongolicus
Abstract
1. Introduction
2. Materials and Methods
2.1. Identification and Sequence Characterization of AmHSF Transcription Factors
2.2. Alignment of Multiple Amino Acid Sequence and Phylogenetic Tree Construction of HSFs from Different Species
2.3. Gene Structure and Conserved Motif Analysis
2.4. Chromosomal Localization and Covariance Analysis
2.5. Identification of Cis-Acting Elements on Promoter of HSF
2.6. AmHSF Expressing Pattern under High-Temperature Stress
2.7. GO Enrichment Analysis
2.8. qRT-PCR Analysis of AmHSF
3. Results
3.1. Identification and Phylogenetic Analysis of AmHSF
3.2. Physicochemical Analysis of AmHSFs
3.3. Protein Characteristics of A. mongolicus HSF Family
3.4. Gene Structure and Conservation Motif Analysis
3.5. Chromosomal Localization and Collinearity Analysis of AmHSFs in A. mongolicus
3.6. Analysis of Cis-Elements on Promoter of the HSF Gene in A. mongolicus
3.7. Expression Profiling of the A. mongolicus HSF Gene under High-Temperature Stress
3.8. GO Annotation and Enrichment Analysis of A. mongolicus HSF Genes
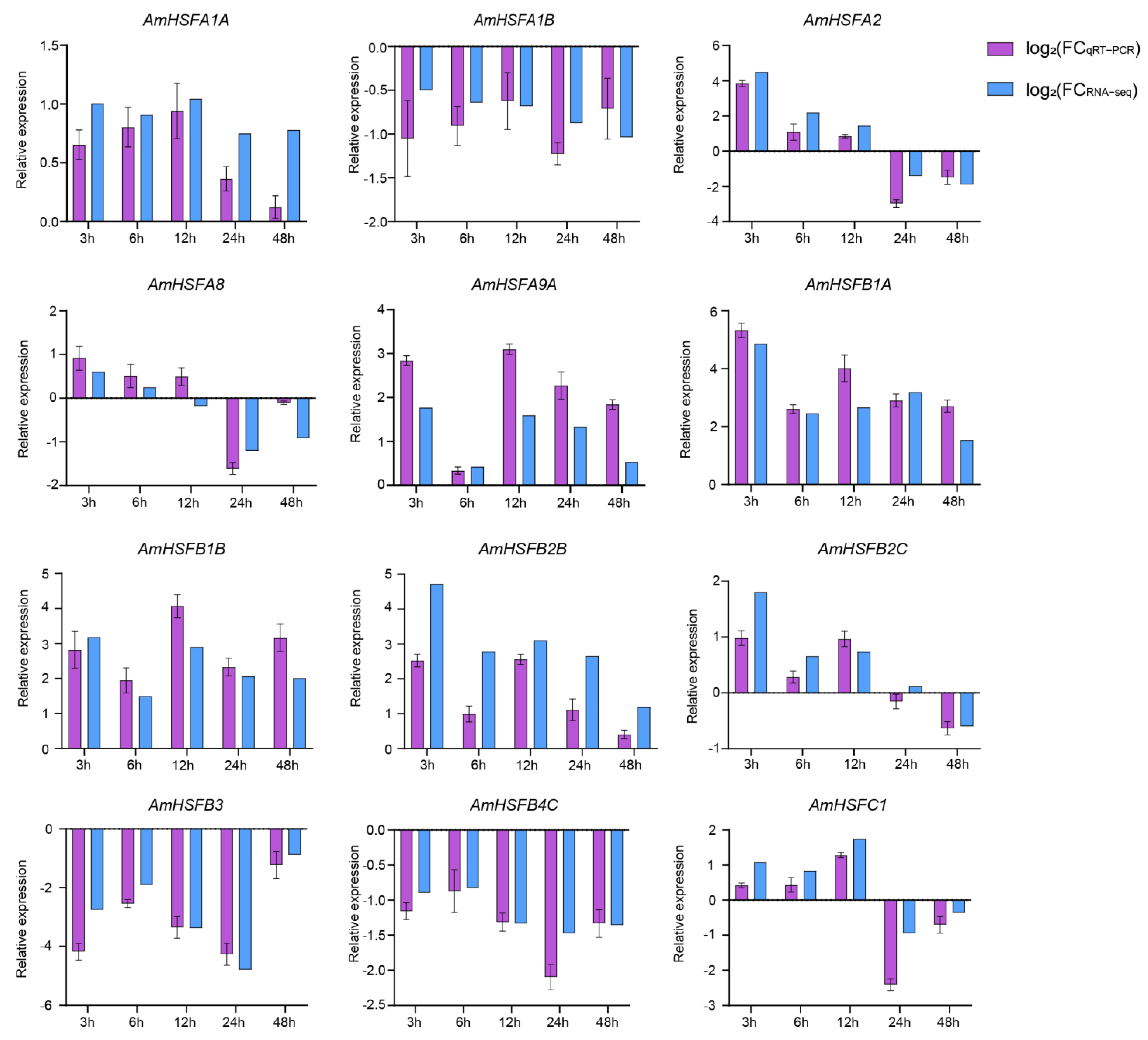
3.9. qRT-PCR Analysis of AmHSFs under High-Temperature Stress
4. Discussion
5. Conclusions
Supplementary Materials
Author Contributions
Funding
Institutional Review Board Statement
Informed Consent Statement
Data Availability Statement
Acknowledgments
Conflicts of Interest
References
- Zhu, J.K. Abiotic Stress Signaling and Responses in Plants. Cell 2016, 2, 313–324. [Google Scholar] [CrossRef] [PubMed]
- Wang, L.; Liu, Y.; Chai, M.; Chen, H.; Aslam, M.; Niu, X.; Qin, Y.; Cai, H. Genome-wide identification, classification, and expression analysis of the HSF gene family in pineapple (Ananas comosus). PeerJ 2021, 9, e11329. [Google Scholar] [CrossRef] [PubMed]
- Chung, E.; Kim, K.M.; Lee, J.H. Genome-Wide Analysis and Molecular Characterization of Heat Shock Transcription Factor Family in Glycine max-ScienceDirect. J. Genet. Genom. 2013, 40, 127–135. [Google Scholar] [CrossRef]
- Ali, S.; Rizwan, M.; Arif, M.S.; Ahmad, R.; Hussain, A. Approaches in Enhancing Thermotolerance in Plants: An Updated Review. J. Plant Growth Regul. 2020, 39, 456–480. [Google Scholar] [CrossRef]
- Li, X.T.; Feng, X.Y.; Zeng, Z.; Liu, Y.; Shao, Z.Q. Comparative Analysis of HSF Genes From Secale cereale and its Triticeae Relatives Reveal Ancient and Recent Gene Expansions. Front. Genet. 2021, 12, 801218. [Google Scholar] [CrossRef]
- Wiederrecht, G.; Seto, D.; Parker, C.S. Isolation of the gene encoding the S. cerevisiae heat shock transcription factor. Cell 1988, 54, 841–853. [Google Scholar] [CrossRef]
- Scharf, K.D.; Rose, S.; Zott, W.; Schöffl, F.; Schöff, F. Three tomato genes code for heat stress transcription factors with a region of remarkable homology to the DNA-binding domain of the yeast HSF. EMBO J. 1990, 9, 4495–4501. [Google Scholar] [CrossRef]
- Hübel, A.; Schffl, F. Arabidopsis heat shock factor: Isolation and characterization of the gene and the recombinant protein. Plant Mol. Biol. 1994, 26, 353–362. [Google Scholar] [CrossRef]
- Yamanouchi, U.; Yano, M.; Lin, H.; Ashikari, M.; Yamada, K. A rice spotted leaf gene, SpI7, encodes a heat stress transcription factor protein. Proc. Natl. Acad. Sci. USA 2002, 99, 7530–7535. [Google Scholar] [CrossRef]
- Guo, J.; Wu, J.; Ji, Q.; Wang, C.; Luo, L.; Yuan, Y.; Wang, Y.; Wang, J. Genome-wide analysis of heat shock transcription factor families in rice and Arabidopsis. J. Genet. Genom. 2008, 35, 105–118. [Google Scholar] [CrossRef]
- Wang, C.; Zhang, Q.; Shou, H.X. Identification and expression analysis of OsHsfs in rice. J. Zhejiang Univ. 2009, 10, 291–300. [Google Scholar] [CrossRef] [PubMed]
- Lin, Y.X.; Jiang, H.Y.; Chu, Z.X.; Tang, X.L.; Zhu, S.W.; Cheng, B.J. Genome-wide identification, classification and analysis of heat shock transcription factor family in maize. BMC Genom. 2011, 12, 76. [Google Scholar] [CrossRef] [PubMed]
- Wang, F.; Dong, Q.; Jiang, H.; Zhu, S.; Chen, B.; Xiang, Y. Genome-wide analysis of the heat shock transcription factors in Populus trichocarpa and Medicago truncatula. Mol. Biol. Rep. 2012, 39, 1877–1886. [Google Scholar] [CrossRef] [PubMed]
- Zhou, S.; Zhang, P.; Jing, Z.; Shi, J. Genome-wide identification and analysis of heat shock transcription factor family in cucumber (Cucumis sativus L.). Plant Omics 2013, 6, 449–455. [Google Scholar]
- Xue, G.-P.; Sadat, S.; Drenth, J.; McIntyre, C.L. The heat shock factor family from Triticum aestivum in response to heat and other major abiotic stresses and their role in regulation of heat shock protein genes. J. Exp. Bot. 2014, 65, 539–557. [Google Scholar] [CrossRef] [PubMed]
- Ma, J.; Zhang, G.; Ye, Y.; Shang, L.; Hong, S.; Ma, Q.; Zhao, Y.; Gu, C. Genome-Wide Identification and Expression Analysis of HSF Transcription Factors in Alfalfa (Medicago sativa) under Abiotic Stress. Plants 2022, 11, 2763. [Google Scholar] [CrossRef] [PubMed]
- Fragkostefanakis, S.; Mesihovic, A.; Simm, S.; Paupière, M.J.; Hu, Y.; Paul, P.; Mishra, S.K.; Tschiersch, B.; Theres, K.; Bovy, A. HsfA2 controls the activity of developmentally and stress-regulated heat stress protection mechanisms in tomato male reproductive tissues. Plant Physiol. 2016, 170, 2461–2477. [Google Scholar] [CrossRef]
- Lili, Z.; Wei, C.; Jian, W.; Jingjin, Y.; Zhimin, Y.; Bingru, H. Characterization and Functional Analysis of FaHsfC1b from Festuca arundinacea Conferring Heat Tolerance in Arabidopsis. Int. J. Mol. Sci. 2018, 19, 2702. [Google Scholar] [CrossRef]
- Guo, M.; Liu, J.-H.; Ma, X.; Luo, D.-X.; Gong, Z.-H.; Lu, M.-H. The plant heat stress transcription factors (HSFs): Structure, regulation, and function in response to abiotic stresses. Front. Plant Sci. 2016, 7, 114. [Google Scholar] [CrossRef]
- Zhang, N.; Wang, Y.; Wang, Z.; Yue, Z.; Niu, Y. Heat shock transcription factor family in plants: A review. Sheng Wu Gong Cheng Xue Bao 2021, 37, 1155–1167. [Google Scholar]
- Shao, K.-Z.; Lyu, X.-P.; Li, J.-L.; Chen, J.; Zhao, L.-Y.; Ren, W.; Zhang, J.-L. Biological characteristics of heat shock transcription factors and their roles in abiotic stress adaptation of higher plant. J. Appl. Ecol. 2022, 33, 2286–2296. [Google Scholar]
- Harrison, C.J.; Bohm, A.A.; Nelson, H.C. Crystal structure of the DNA binding domain of the heat shock transcription factor. Science 1994, 263, 224–227. [Google Scholar] [CrossRef] [PubMed]
- Nover, L.; Scharf, K.-D.; Gagliardi, D.; Vergne, P.; Czarnecka-Verner, E.; Gurley, W.B. The Hsf world: Classification and properties of plant heat stress transcription factors. Cell Stress Chaperones 1996, 1, 215. [Google Scholar] [CrossRef]
- Scharf, K.-D.; Berberich, T.; Ebersberger, I.; Nover, L. The plant heat stress transcription factor (Hsf) family: Structure, function and evolution. Biochim. Biophys. Acta Gene Regul. Mech. 2012, 1819, 104–119. [Google Scholar] [CrossRef] [PubMed]
- Zhang, M.; Wang, Z.; Jian, S. Functional Characterization of Heat Shock Factor (CrHsf) Families Provide Comprehensive Insight into the Adaptive Mechanisms of Canavalia rosea (Sw.) DC. to Tropical Coral Islands. Int. J. Mol. Sci. 2022, 23, 12357. [Google Scholar] [CrossRef] [PubMed]
- Döring, P.; Treuter, E.; Kistner, C.; Lyck, R.; Chen, A.; Nover, L. The role of AHA motifs in the activator function of tomato heat stress transcription factors HsfA1 and HsfA2. Plant Cell 2000, 12, 265–278. [Google Scholar] [CrossRef] [PubMed]
- Wang, X.; Shi, X.; Chen, S.; Ma, C.; Xu, S. Evolutionary origin, gradual accumulation and functional divergence of heat shock factor gene family with plant evolution. Front. Plant Sci. 2018, 9, 71. [Google Scholar] [CrossRef]
- Jiao, S.; Yao, W.; Zhang, N.; Xu, W. Research progress of heat stress transcription factors (HsFs) in horticultural plants. J. Fruit Sci. 2019, 37, 419–430. [Google Scholar]
- Dong, X.; Zhang, J.; Xin, Z.; Huang, Y.; Han, C.; Li, Y.; Lu, Q. Ecological Stoichiometric Characteristics in Organs of Ammopiptanthus mongolicus in Different Habitats. Plants 2023, 12, 414. [Google Scholar] [CrossRef]
- Hua, W.; Guixia, J.; Qiong, D. Research progress of abiotic stress tolerant mechanisms and application prospect of Ammopiptanthus mongolicus Maxim. Chin. Sci. Bull 2005, 21, 121–125. [Google Scholar]
- Qu, S.; Jiao, Y.; Abraham, L.; Wang, P. Correlation analysis of new soybean [Glycine max (L.) Merr] gene Gm15G117700 with oleic acid. Phyton 2021, 90, 1177. [Google Scholar] [CrossRef]
- Chen, C.; Wu, Y.; Li, J.; Wang, X.; Zeng, Z.; Xu, J.; Liu, Y.; Feng, J.; Chen, H.; He, Y. TBtools-II: A “one for all, all for one” bioinformatics platform for biological big-data mining. Mol. Plant 2023, 16, 1733–1742. [Google Scholar] [CrossRef] [PubMed]
- Andrási, N.; Pettkó-Szandtner, A.; Szabados, L. Diversity of plant heat shock factors: Regulation, interactions, and functions. J. Exp. Bot. 2021, 72, 1558–1575. [Google Scholar] [CrossRef]
- Zhang, Q.; Geng, J.; Du, Y.; Zhao, Q.; Zhang, W.; Fang, Q.; Yin, Z.; Li, J.; Yuan, X.; Fan, Y. Heat shock transcription factor (Hsf) gene family in common bean (Phaseolus vulgaris): Genome-wide identification, phylogeny, evolutionary expansion and expression analyses at the sprout stage under abiotic stress. BMC Plant Biol. 2022, 22, 33. [Google Scholar] [CrossRef] [PubMed]
- Li, S.; Wang, R.; Jin, H. Molecular characterization and expression profile analysis of heat shock transcription factors in mungbean. Front. Genet 2019, 9, 736. [Google Scholar] [CrossRef] [PubMed]
- Zhang, H.; Yang, J.; Chen, Y.; Mao, X.; Wang, Z.; Li, C. Identification and expression analysis of the heat shock transcription factor (HSF) gene family in Populus trichocarpa. Plant Omics 2013, 6, 6. [Google Scholar]
- Li, W.; Wan, X.-L.; Yu, J.-Y.; Wang, K.-L.; Zhang, J. Genome-wide identification, classification, and expression analysis of the Hsf gene family in carnation (Dianthus caryophyllus). Int. J. Mol. Sci 2019, 20, 5233. [Google Scholar] [CrossRef]
- Lohani, N.; Golicz, A.A.; Singh, M.B.; Bhalla, P.L. Genome-wide analysis of the Hsf gene family in Brassica oleracea and a comparative analysis of the Hsf gene family in B. oleracea, B. rapa and B. napus. Funct. Integr. Genom. 2019, 19, 515–531. [Google Scholar] [CrossRef]
- Shen, C.; Yuan, J. Genome-wide characterization and expression analysis of the heat shock transcription factor family in pumpkin (Cucurbita moschata). BMC Plant Biol. 2020, 20, 1–20. [Google Scholar] [CrossRef]
- Agarwal, P.; Khurana, P. Functional characterization of HSFs from wheat in response to heat and other abiotic stress conditions. Funct. Integr. Genom. 2019, 19, 497–513. [Google Scholar] [CrossRef] [PubMed]
- Ducy, P.; Karsenty, G. Two distinct osteoblast-specific cis-acting elements control expression of a mouse osteocalcin gene. Mol. Cell Biol. 1995, 15, 1858–1869. [Google Scholar] [CrossRef] [PubMed]
- Wang, R.; Zhong, Y.; Liu, X.; Zhao, C.; Zhao, J.; Li, M.; Ul Hassan, M.; Yang, B.; Li, D.; Liu, R. Cis-regulation of the amino acid transporter genes ZmAAP2 and ZmLHT1 by ZmPHR1 transcription factors in maize ear under phosphate limitation. J. Exp. Bot. 2021, 72, 3846–3863. [Google Scholar] [CrossRef] [PubMed]
- Mallick, B.; Kumari, M.; Pradhan, S.; Acharya, G.; Naresh, P.; Das, B.; Shashankar, P. Genome-wide analysis and characterization of heat shock transcription factors (Hsfs) in common bean (Phaseolus vulgaris L.). Funct. Integr. Genom. 2022, 22, 743–756. [Google Scholar] [CrossRef] [PubMed]










| Name | Gene ID | Size (aa) | MW (kDa) | PI | Stability | AI | GRAVY | Predicted Location |
|---|---|---|---|---|---|---|---|---|
| AmHSFA1A | Chr01.g02523.m1 | 512 | 56,088.54 | 4.86 | U | 68.79 | −0.582 | Nuclear |
| AmHSFA1B | Chr04.g17440.m1 | 489 | 54,257.51 | 5.29 | U | 68.55 | −0.585 | Nuclear |
| AmHSFA2 | Chr03.g12796.m1 | 403 | 45,411.64 | 5.12 | U | 72.78 | −0.648 | Nuclear |
| AmHSFA3 | Chr05.g25548.m1 | 517 | 58,431.1 | 4.87 | U | 68.8 | −0.635 | Nuclear |
| AmHSFA4A | Chr02.g11467.m1 | 398 | 45,240.57 | 5.33 | U | 70.75 | −0.716 | Nuclear |
| AmHSFA4B | Chr08.g41187.m1 | 398 | 45,509.92 | 5.5 | U | 71.76 | −0.682 | Nuclear |
| AmHSFA5A | Chr08.g41064.m1 | 487 | 54,911.89 | 5.86 | U | 64.31 | −0.762 | Nuclear |
| AmHSFA5B | Chr01.g04780.m1 | 169 | 18,980.93 | 6.19 | S | 55.38 | −0.705 | Nuclear |
| AmHSFA6A | Chr09.g43173.m1 | 383 | 44,040.33 | 5.41 | U | 59.84 | −0.884 | Nuclear |
| AmHSFA6B | Chr05.g23740.m1 | 361 | 41,696.03 | 5.08 | U | 75.54 | −0.722 | Nuclear |
| AmHSFA8 | Chr01.g00197.m1 | 410 | 46,486.16 | 4.86 | U | 71.05 | −0.68 | Nuclear |
| AmHSFA9A | Chr08.g42499.m1 | 436 | 49,066.2 | 5.3 | U | 72.13 | −0.604 | Nuclear |
| AmHSFA9B | Chr03.g16772.m1 | 353 | 40,735.42 | 5.94 | U | 82.49 | −0.642 | Nuclear |
| AmHSFA9C | Chr03.g16773.m1 | 381 | 43,963.71 | 5.23 | U | 84.07 | −0.631 | Nuclear |
| AmHSFB1A | Chr01.g05312.m1 | 561 | 63,113.67 | 6 | S | 62.23 | −0.816 | Nuclear |
| AmHSFB1B | Chr01.g01208.m1 | 266 | 29,358.79 | 8.18 | S | 64.51 | −0.694 | Nuclear |
| AmHSFB2A | Chr01.g00693.m1 | 291 | 32,464.26 | 5.03 | U | 71.68 | −0.66 | Nuclear |
| AmHSFB2B | Chr04.g19853.m1 | 360 | 39,629.05 | 6.09 | U | 65 | −0.669 | Nuclear |
| AmHSFB2C | Chr01.g03279.m1 | 202 | 23,495.74 | 7.7 | U | 67.57 | −0.708 | Nuclear |
| AmHSFB3 | Chr09.g43837.m1 | 132 | 15,105.3 | 6.4 | U | 92.2 | −0.204 | Cytoplasm |
| AmHSFB4A | Chr03.g12658.m1 | 370 | 41,648.89 | 8.87 | U | 71.11 | −0.641 | Nuclear |
| AmHSFB4B | Chr07.g37622.m1 | 378 | 42,610.86 | 7.26 | U | 68.33 | −0.556 | Nuclear |
| AmHSFB4C | Chr06.g29087.m1 | 270 | 31,458.64 | 6.83 | U | 70.41 | −0.724 | Nuclear |
| AmHSFC1 | Chr07.g38211.m1 | 348 | 39,295.4 | 5.81 | U | 67.84 | −0.556 | Nuclear |
| Gene | ABRE | ARE | DRE1 | ERE | LTR | MBS | MRE | Myb | MYC | P-Box | STRE |
|---|---|---|---|---|---|---|---|---|---|---|---|
| AmHSFA1A | 1 | 2 | 0 | 3 | 5 | 0 | 0 | 3 | 2 | 0 | 1 |
| AmHSFA1B | 4 | 1 | 0 | 1 | 0 | 0 | 1 | 7 | 7 | 0 | 5 |
| AmHSFA2 | 0 | 1 | 0 | 3 | 0 | 1 | 1 | 7 | 6 | 0 | 1 |
| AmHSFA3 | 11 | 4 | 1 | 0 | 3 | 0 | 0 | 10 | 3 | 0 | 2 |
| AmHSFA4A | 0 | 3 | 0 | 1 | 2 | 0 | 1 | 4 | 2 | 0 | 0 |
| AmHSFA4B | 1 | 0 | 0 | 2 | 2 | 0 | 0 | 6 | 2 | 0 | 2 |
| AmHSFA5A | 0 | 2 | 0 | 1 | 0 | 0 | 1 | 7 | 3 | 0 | 4 |
| AmHSFA5B | 3 | 2 | 1 | 2 | 0 | 0 | 0 | 10 | 2 | 0 | 2 |
| AmHSFA6A | 5 | 2 | 0 | 1 | 1 | 0 | 0 | 8 | 4 | 0 | 3 |
| AmHSFA6B | 0 | 2 | 0 | 0 | 0 | 0 | 0 | 2 | 4 | 2 | 2 |
| AmHSFA8 | 7 | 2 | 0 | 1 | 0 | 0 | 1 | 4 | 4 | 1 | 3 |
| AmHSFA9A | 1 | 0 | 0 | 1 | 0 | 0 | 0 | 5 | 4 | 0 | 2 |
| AmHSFA9B | 8 | 1 | 0 | 2 | 1 | 1 | 3 | 5 | 4 | 0 | 2 |
| AmHSFA9C | 2 | 0 | 0 | 5 | 0 | 0 | 1 | 5 | 5 | 0 | 0 |
| AmHSFB1A | 3 | 2 | 0 | 0 | 0 | 1 | 0 | 9 | 4 | 1 | 2 |
| AmHSFB1B | 1 | 1 | 0 | 2 | 0 | 0 | 0 | 1 | 2 | 0 | 1 |
| AmHSFB2A | 4 | 4 | 0 | 1 | 1 | 1 | 1 | 8 | 5 | 0 | 2 |
| AmHSFB2B | 0 | 5 | 0 | 0 | 2 | 2 | 1 | 7 | 5 | 0 | 3 |
| AmHSFB2C | 3 | 1 | 0 | 1 | 0 | 0 | 0 | 2 | 6 | 2 | 0 |
| AmHSFB3 | 1 | 0 | 0 | 2 | 0 | 0 | 0 | 3 | 4 | 1 | 2 |
| AmHSFB4A | 2 | 1 | 0 | 0 | 0 | 0 | 2 | 4 | 4 | 0 | 1 |
| AmHSFB4B | 2 | 1 | 0 | 2 | 1 | 0 | 1 | 1 | 2 | 0 | 1 |
| AmHSFB4C | 0 | 1 | 0 | 1 | 0 | 0 | 0 | 4 | 6 | 0 | 4 |
| AmHSFC1 | 4 | 1 | 0 | 4 | 0 | 0 | 0 | 2 | 4 | 0 | 3 |
Disclaimer/Publisher’s Note: The statements, opinions and data contained in all publications are solely those of the individual author(s) and contributor(s) and not of MDPI and/or the editor(s). MDPI and/or the editor(s) disclaim responsibility for any injury to people or property resulting from any ideas, methods, instructions or products referred to in the content. |
© 2024 by the authors. Licensee MDPI, Basel, Switzerland. This article is an open access article distributed under the terms and conditions of the Creative Commons Attribution (CC BY) license (https://creativecommons.org/licenses/by/4.0/).
Share and Cite
Zhao, S.; Qing, J.; Yang, Z.; Tian, T.; Yan, Y.; Li, H.; Bai, Y. Genome-Wide Identification and Expression Analysis of the HSF Gene Family in Ammopiptanthus mongolicus. Curr. Issues Mol. Biol. 2024, 46, 11375-11393. https://doi.org/10.3390/cimb46100678
Zhao S, Qing J, Yang Z, Tian T, Yan Y, Li H, Bai Y. Genome-Wide Identification and Expression Analysis of the HSF Gene Family in Ammopiptanthus mongolicus. Current Issues in Molecular Biology. 2024; 46(10):11375-11393. https://doi.org/10.3390/cimb46100678
Chicago/Turabian StyleZhao, Shuai, Jun Qing, Zhiguo Yang, Tian Tian, Yanqiu Yan, Hui Li, and Yu’e Bai. 2024. "Genome-Wide Identification and Expression Analysis of the HSF Gene Family in Ammopiptanthus mongolicus" Current Issues in Molecular Biology 46, no. 10: 11375-11393. https://doi.org/10.3390/cimb46100678
APA StyleZhao, S., Qing, J., Yang, Z., Tian, T., Yan, Y., Li, H., & Bai, Y. (2024). Genome-Wide Identification and Expression Analysis of the HSF Gene Family in Ammopiptanthus mongolicus. Current Issues in Molecular Biology, 46(10), 11375-11393. https://doi.org/10.3390/cimb46100678

