Next Article in Journal
Bioinformatics Analysis Reveals E6 and E7 of HPV 16 Regulate Metabolic Reprogramming in Cervical Cancer, Head and Neck Cancer, and Colorectal Cancer through the PHD2-VHL-CUL2-ELOC-HIF-1α Axis
Next Article in Special Issue
The Mitogenome of the Subarctic Octocoral Alcyonium digitatum Reveals a Putative tRNAPro Gene Nested within MutS
Previous Article in Journal / Special Issue
Molecular Approaches Detect Early Signals of Programmed Cell Death in Hippolyte inermis Leach
 
 
Font Type:
Arial Georgia Verdana
Font Size:
Aa Aa Aa
Line Spacing:
Column Width:
Background:
Article

Structure and Phylogenetic Relationships of Scolopacidae Mitogenomes (Charadriiformes: Scolopacidae)

1
School of Life Sciences, Nanjing Normal University, Nanjing 210023, China
2
Jiangsu Key Laboratory for Biodiversity and Biotechnology, School of Life Sciences, Nanjing Normal University, Nanjing 210023, China
3
Analytical and Testing Center, Nanjing Normal University, Nanjing 210046, China
*
Authors to whom correspondence should be addressed.
Curr. Issues Mol. Biol. 2024, 46(6), 6186-6198; https://doi.org/10.3390/cimb46060369
Submission received: 10 May 2024 / Revised: 9 June 2024 / Accepted: 15 June 2024 / Published: 19 June 2024
(This article belongs to the Special Issue Mitochondrial Genome 2024)

Abstract

The family Scolopacidae presents a valuable subject for evolutionary research; however, molecular studies of Scolopacidae are still relatively understudied, and the phylogenetic relationships of certain species remain unclear. In this study, we sequenced and obtained complete mitochondrial DNA (mtDNA) from Actitis hypoleucos and partial mtDNA from Numenius arquata, Limosa limosa, and Limnodromus semipalmatus. The complete mtDNA contained 13 protein-coding genes (PCGs), two ribosomal RNA genes, 22 tRNA genes, and a control region. Scolopacidae contained three types of start codons and five types of stop codons (including one incomplete stop codon, T--). In 13 protein-coding genes, average uncorrected pairwise distances (Aupd) revealed that ATP8 was the least conserved while COX3 had the lowest evolutionary rate. The ratio of Ka/Ks suggested that all PCGs were under purifying selection. Using two methods (maximum likelihood and Bayesian inference) to analyze the phylogenetic relationships of the family Scolopacidae, it was found that the genera Xenus and Actitis were clustered into another sister group, while the genus Phalaropus is more closely related to the genus Tringa. The genera Limnodromus, Gallinago, and Scolopax form a monophyletic group. This study improves our understanding of the evolutionary patterns and phylogenetic relationships of the family Scolopacidae.

1. Introduction

The order Charadriiformes is a complex group with 390 extant species [1,2]. It has a wide distribution and occupies diverse habitats. The phylogenetic relationships within Charadriiformes based on morphological characteristics and biochemical methods show distinct differences [3,4]. Molecular studies have classified Charadriiformes into the three monophyletic suborders Scolopaci, Lari, and Charadrii [5,6]. The family Scolopacidae, which includes a diverse array of bird species with about 97 species in 15 genera [7], is known for its strong migratory capabilities. These birds breed in the Arctic and sub-Arctic regions and winter in tropical areas, making them a representative group for bird migration studies. Mitochondrial genomes (mitogenomes), characterized by their small size, maternal inheritance, high mutation rate, low occurrence of recombination, and fast evolution, have become one of the most commonly used molecular markers in evolutionary studies. They are widely used in molecular systematics, phylogenetics, conservation genetics, and evolutionary analysis [8,9]. Animal mitogenomes are generally circular molecules ranging from 15–20 kb in size [10], containing 22 tRNA genes, 13 protein-coding genes (PCGs), two rRNA genes (12S RNA and 16S rRNA), and one control region (D-loop) that includes signals necessary for replication and transcription [11,12]. Phylogenetic analyses based on the Cyt b and the whole mtDNA sequences revealed that the slender-billed curlew (Numenius tenuirostris) was closely related to the Eurasian curlew (N. arquata), the Eastern curlew (N. madagascariensis), and long-billed curlew (N. americanus) [13]. Lopez et al., using newly sequenced mitogenomes, clarified the taxonomic status of the Tahiti sandpiper (Prosobonia leucoptera) and Tuamotu sandpiper (P. parvirostris) within the family Scolopacidae and relationships with turnstones and calidrine sandpipers, providing insights into the evolutionary mechanisms of sedentary populations within highly migratory Scolopacidae [14].
At present, the main threats to Scolopacidae include habitat loss in breeding, migration, and wintering areas, while increased hunting pressure and adverse climate factors exacerbated their survival crisis, attracting the attention of researchers [15,16]. Many species in the family Scolopacidae were capable of long-distance migration, and inevitably faced challenges in energy synthesis, storage, and metabolic efficiency during migration. However, the current research on Scolopacidae still fails to provide a clear explanation for their evolutionary mechanisms. Molecular-level studies of Scolopacidae are not only helpful in clarifying their phylogenetic relationships but also offer new insights into the evolution of Scolopacidae [17,18].
Currently, compared to other biological groups, basic genomic data on Scolopacidae are still relatively scarce, limiting the study of their taxonomic status and evolution. Common sandpiper (Actitis hypoleucos), Asian dowitcher (Limnodromus semipalmatus), black-tailed godwit (Limosa limosa), and N. arquata are representative species of Scolopacidae, and their tissue samples are well stocked in laboratories. Considering the lack of basic molecular research on Scolopacidae, this study was conducted to sequence and analyze the whole mitogenomes of the four species mentioned above, to clarify the phylogeny and evolution of the family Scolopacidae. The results may help to clarify the phylogenetic relationships of the family Scolopacidae and provide useful information and data for understanding evolutionary and taxonomic research on Scolopacidae.

2. Materials and Methods

2.1. Sampling and DNA Extraction

After being identified using morphological methods, feathers and muscle tissues of N. arquata, A. hypoleucos, L. limosa, and L. semipalmatus collected in the eastern coastal areas of China were preserved in absolute ethanol at −20 °C under the voucher numbers of NJNU-Narq02, NJNU-Ahyp07, NJNU-Llim08, and NJNU-Lsem09, respectively. The species morphological identification was according to A Checklist on the Classification and Distribution of the Birds of China (Third Edition) [19]. Feathers and muscle tissues were preserved in absolute ethanol at −20 °C under the voucher numbers of NJNU-Narq02, NJNU-Ahyp07, NJNU-Llim08, and NJNU-Lsem09, respectively. DNA was extracted from the samples using phenol–chloroform [20] and ethanol, and the concentration of DNA was determined by a Nanodrop 1000 spectrophotometer (Thermo Scientific, Waltham, MA, USA) to ensure DNA purity with an A260/A280 ratio between 1.8 and 2.0. Subsequently, DNA quality was analyzed using agarose gel electrophoresis. An amount of 5 µL of the DNA sample was electrophoresed in a 1% agarose gel at 130 V for 30 min to check for contamination or degradation. Qualified DNA samples were then diluted and stored at −20 °C for further experiments.

2.2. PCR Amplification and Mitochondrial Genome Sequencing

We used 13 pairs of PCR primers obtained from previous studies to amplify the mitogenomes [21]. PCR amplifications were carried out in a final reaction volume of 30 µL, which contained 15 µL of 2× Rapid Taq Master Mix, 0.7 µL of each forward and reverse primer, 12.6 µL of sterile distilled water (ddH2O), and 1 µL of template DNA. The PCR cycling conditions with universal primers consisted of 35 cycles, each comprising an initial denaturation at 95 °C for 5 min, denaturation at 95 °C for 30 s, annealing at 55 °C for 30 s, and extension at 72 °C for 90 s. The PCR products were assessed through electrophoresis in a 1.00% agarose gel, and were sequenced directly by Beijing Tsingke Biotech Co., Ltd. (Beijing, China).

2.3. Mitogenome Annotation and Sequence Analysis

The SeqMan program (DNAstar, Madison, WI, USA) was used for splicing, assembly, and proof-reading. The circular map was generated using CGView (https://proksee.ca/, accessed on 13 April 2024) [22], ORF Finder was used to identify 13 PCGs, and MEGA11 was used to compare the mitochondrial sequences. tRNAscan-SE2.0 [23] (https://github.com/tRNAscan-SE/tRNAscan-SE, accessed on 13 April 2024) and ARWEN version 1.2 [24] (http://130.235.244.92/ARWEN/, accessed on 13 April 2024) were used for predicting and illustrating all tRNAs’ secondary structures encoded in the mitogenomes. Publicly available mitogenome data of Scolopacidae were retrieved from the GenBank database. Although there are many misidentifications in data from GenBank, it is the most accurate database available to us. MEGA11 was used to analyze the nucleotide composition and codon usage of the mitogenomes of 40 nucleotide sequences from 33 species of Scolopacidae [25], including the four species mentioned above. The mitogenomes’ strand asymmetry was calculated by the following formulas: AT skew = (A − T)/(A + T) and GC skew = (G − C)/(G + C) [26]. MEGA11 was also used to calculate the number of variable sites (Vs), parsimony informative sites (Pis), singletons (S), average uncorrected pairwise distances (Aupds), and the estimated transition/transversion bias (ts/tv) for the 33 species of Scolopacidae and a total of 40 protein-coding sequences [27]. Non-synonymous substitution rates (Ka, π modified) and synonymous substitution rates (Ks, π modified) for each protein-coding gene were calculated in DnaSP V6 for selective pressure analysis [28].

2.4. Phylogenetic Analysis

The 40 nucleotide sequences of 13 PCGs, 12S rRNA and 16S rRNA genes, from 33 species of Scolopacidae (Table 1), were aligned using MAFFT version 7.313 [29] implemented in PhyloSuite version 1.2.3 with 13,600 bp in length [30,31]. ModelFinder was used to select the best partitioning strategy and evolutionary model for the gene dataset, with model fit assessed using the Bayesian information criterion (BIC). Phylogenetic trees were constructed using the maximum likelihood (ML) and Bayesian inference (BI) methods, with ML analysis performed using IQ-TREE version 1.6.8 [32] and BI analysis using MrBayes version 3.2.6 [33]. For ML analysis, node support values were evaluated using 1000-bootstrap resampling with the optimal partition model (GTR+F+I+I+R4). For BI analysis, two simultaneous runs (4 chains) were conducted for 50 million generations, sampling every 1000 generations, with each data partition applying an independent model. When the average standard deviation of split frequencies (ASDSF) is below 0.01, it indicates that the runs have converged. All phylogenetic trees were visualized using iTOL v6.8.2 [34].

3. Results and Discussion

3.1. Structure of Mitogenome

We sequenced and annotated the mitogenomes of A. hypoleucos (PP727181), L. semipalmatus (PP737170), N. arquata (PP737172), and L. limosa (PP737171) and obtained one complete (A. hypoleucos) and three nearly complete mitogenomes (L. semipalmatus, N. arquata, and L. limosa) (Figure 1 and Tables S1–S4). The gene arrangement pattern of vertebrate mitogenomes is highly conserved, and the four species conform to this arrangement [9]. The complete mitogenome of A. hypoleucos is 16,732 bp in length, containing 13 PCGs, 12S rRNA, 16S rRNA, and 22 tRNA genes, and one D-loop. Compared to the complete mitogenomes, the sequencing results of L. semipalmatus and L. limosa are missing parts of the D-loop, while N. arquata is missing one PCG (ND6), one tRNA gene (tRNAGlu), and the D-loop.
Twenty-four intergenic spacers or overlaps were found in the mitogenome of A. hypoleucos, which ranged from 1 to 15 bp, and the longest spacer was located between tRNALeu(UUR) and ND1. The longest overlap was located between COX1 and tRNASer(UCN). We found 25 intergenic spacers or overlaps in the partial mitogenome of L. semipalmatus, and the longest spacer was located between tRNAPro and ND6, with the longest overlap occurring between ATP8 and ATP6. The partial mitogenome of L. limosa contains 23 gene spacers and overlaps; the longest gene overlap, identical to that in A. hypoleucos, is between COX1 and tRNASer(UCN); the longest spacer, the same as in L. semipalmatus, is between tRNAPro and ND6. These features had also been observed in other species of Charadriiformes and Passeriformes [15,35,36,37,38]. Furthermore, a 10 bp gene overlap between ATP8 and ATP6 and a 7 bp overlap between ND4 and ND4L were observed in these three species, consistent with observations in most vertebrate mitogenomes [39]. An extra nucleotide (C: cytosine) was identified at position 174 in the ND3 gene of L. semipalmatus, L. limosa, and A. hypoleucos. In fact, this untranslated “C” also appeared in other species such as C. pygmeus, Charadrius dubius, and Elanus caeruleus, as well as some sea turtles [40,41,42,43].
The base composition and the values of the AT and GC skews for 30 species of Scolopacidae were calculated and are shown in Table S5. The complete mitogenome of A. hypoleucos consists of 25.99% T, 29.21% C, 31.37% A, and 13.43% G, which showed a higher A+T content (57.36%) than the average A+T content (56.71%) of Scolopacidae. The A+T content of Scolopacidae varied, ranging from 55.34% (A. interpres) to 58.70% (P. parvirostris). A positive value of AT skew (0.09) and a negative value of GC skew (−0.37) was observed in A. hypoleucos, a characteristic that is common among all Scolopacidae species (Table S5). The positive AT skew values ranged from 0.09 to 0.13 and the negative GC skew values ranged from −0.39 to −0.35, which suggested more A, C than T, G in the mitogenomes of Scolopacidae.

3.2. Composition and Mutations of Protein-Coding Genes

The total length of the PCGs in A. hypoleucos was 11,394 bp, accounting for 68.10% of the entire length, with the sizes of PCGs ranging from 168 bp (ATP8) to 1815 bp (ND5). The total lengths of the 13 PCGs for L. semipalmatus and L. limosa were the same as that of A. hypoleucos. All PCGs were located on the H-strand except for ND6. Most PCGs showed a positive AT skew value and a negative GC skew value (Table S6). ND1 showed slight negative AT skew values in A. hypoleucos, L. semipalmatus, N. arquata, and L. limosa (−0.05, −0.02, −0.03, and −0.02, respectively), and significant negative AT skews were observed in ND6 of A. hypoleucos and L. semipalmatus (both −0.54) and of L. limosa (−0.50). Moreover, COX1 of A. hypoleucos and ND4L of N. arquata also showed slight negative AT skew values of −0.03 and −0.01, respectively. Additionally, ND6 in A. hypoleucos, L. semipalmatus, and L. limosa presented significant positive GC skew values (0.58, 0.62, and 0.53 respectively).
A comparison of each PCG revealed the variation in the family Scolopacidae (Table 2). ATP8 showed the highest proportion of variable sites (52.12%), parsimony informative sites (44.85%), and singleton sites (7.27%) among PCGs, while COX1 had the lowest proportion of variable sites (35.59%) and singleton sites (3.94%), and COX3 had the lowest parsimony informative sites (31.16%). The average uncorrected pairwise distance ranged from 0.11 (COX3) to 0.16 (ATP8), suggesting that ATP8 is the least conserved and COX3 the most conserved. Single base substitution is mainly divided into two categories: transition (ts) and transversion (tv), and tv is more likely to change the sequence of amino acids within a protein than ts [44]. The ts/tv ratios of PCGs reveal the evolutionary patterns of different genes, and, therefore, are widely used in the analysis of selection pressures at the DNA level [45]. Analysis revealed that ND1 exhibited the highest ts/tv ratio (4.43), and that Cyt b exhibited the lowest ts/tv ratio (2.31).
To better understand the evolutionary patterns of 13 PCGs and further investigate the role of selection on Scolopacidae, Ks, Ka, and Ka/Ks were calculated for each PCG, respectively (ND5 of T. semipalmata and T. guttifer were deleted from the calculation of Ks, Ka, and Ka/Ks). The values of Ks ranged from 0.564 (ND3) to 0.800 (ATP8) and the values of Ka ranged from 0.010 (COX2) to 0.080 (ND6). The highest and the lowest ratios of Ka/Ks appeared in ND6 (0.127) and COX1 (0.007), respectively. The ratios of Ka/Ks of 13 PCGs were less than 1, indicating that their evolution was all subjected to varying degrees of purification selection.

3.3. rRNA and tRNA Analysis

The length of 12S rRNA for A. hypoleucos, L. semipalmatus, N. arquata, and L. limosa was 973 bp, while the lengths of 16S rRNA were 1590, 1598, 1593, and 1592 bp, respectively. The two rRNAs and 14 tRNAs were identified on the H-strand. The 12S rRNA was located between tRNAPhe and tRNAVal, and the 16S rRNA was located between tRNAVal and tRNALeu(UUR), which were separated by tRNAVal. In A. hypoleucos, the length of the two rRNAs (2563 bp) accounted for 15.32% of the total length. In addition, the A+T content of the rRNA genes accounted for 57.00%, with an AT skew value of 0.18 and a GC skew value of −0.14.
The 22 tRNAs lengths of the four species varied from 64–80 bp, with tRNASer(UCN) encoding the longest tRNA and tRNASer(AGN) encoding the shortest tRNA. For A. hypoleucos, the total length of tRNAs was 1559 bp, which accounted for 9.32% of the mitogenome length, whereas the total lengths of tRNAs for L. semipalmatus and L. limosa were 1554 and 1562 bp, respectively. High A+T content was observed in tRNAs of A. hypoleucos, L. semipalmatus, and L. limosa, reaching 58.37%, 58.49%, and 57.81%, respectively. All tRNA secondary structures showed a typical cloverleaf structure, except for tRNASer(AGN), which did not contain the dihydrouridine arm (Figures S1–S4).

3.4. The Usage of Start and Stop Codon

The start and stop codon usage of the 13 PCGs (excluding ND6 of N. arquata) in the mitogenomes of 40 sequences from 33 species of Scolopacidae is shown in Figure 2. Three start codons (ATG, GTG, and ATA) and five stop codons (AGG, TAG, TAA, AGA, and T--) were observed in 13 PCGs. ATG was the most common start codon, accounting for 79.80% of the total start codons in 13 PCGs, followed by GTG (10.96%) and ATA (9.24%). Eight PCGs (ATP6, ATP8, COX2, COX3, Cyt b, ND1, ND4, and ND4L) use only ATG as the start codon. COX1 used GTG as the start codon. Of ND2, 87.50% used ATG as the start codon, and the rest were ATA, including S. rusticola (KM434134), G. gallinago (MZ157405 and MW865755), and G. stenura (KY056596 and KY888681). Only T. guttifer (MK905885) uses ATA as the start codon for ND6, while the other species use ATG as the start codon. ND5 contained three types of start codons, ATG (52.50%), GTG (42.50%), and ATA (5.00%).
PCGs ended with either a complete stop codon (TAA, TAG, AGG, AGA) or an incomplete stop codon (T--), which are thought to be completed by posttranscriptional modifications like polyadenylation [45]. Four PCGs (ATP6, ATP8, COX2, and ND4L) used TAA as the stop codon, two PCGs (COX1 and ND1) used AGG as the stop codon, and one PCG (COX3) used T-- as the stop codon. TAA was the most common stop codon, accounting for 48.12% of the total stop codons, followed by T-- (20.38%). The stop codon T-- was also detected in ND2 and ND4, accounting for 75.00% and 85.00%, respectively, and this phenomenon also occurred in other species [46]. The remaining 25.00% of ND2 used TAG as the stop codon, including L. semipalmatus, L. limosa, and A. hypoleucos, while 15.00% of ND4 used TAA as the stop codon. Almost all Cyt b used TAA as the stop codon, but it is worth mentioning that only S. rusticola used TAG as the stop codon. In ND3, TAA was used as the stop codon in all species except P. parvirostris and N. madagascariensis (KY230384 and MW930394), which used AGA and TAG as the stop codons, respectively. ND5 mainly used AGA as the stop codon, and only G. stenura (KY888681) and A. hypoleucos used TAG and AGG as the stop codons, respectively. ND6 in most species used TAG as the stop codon, while a few used TAA as the stop codon.

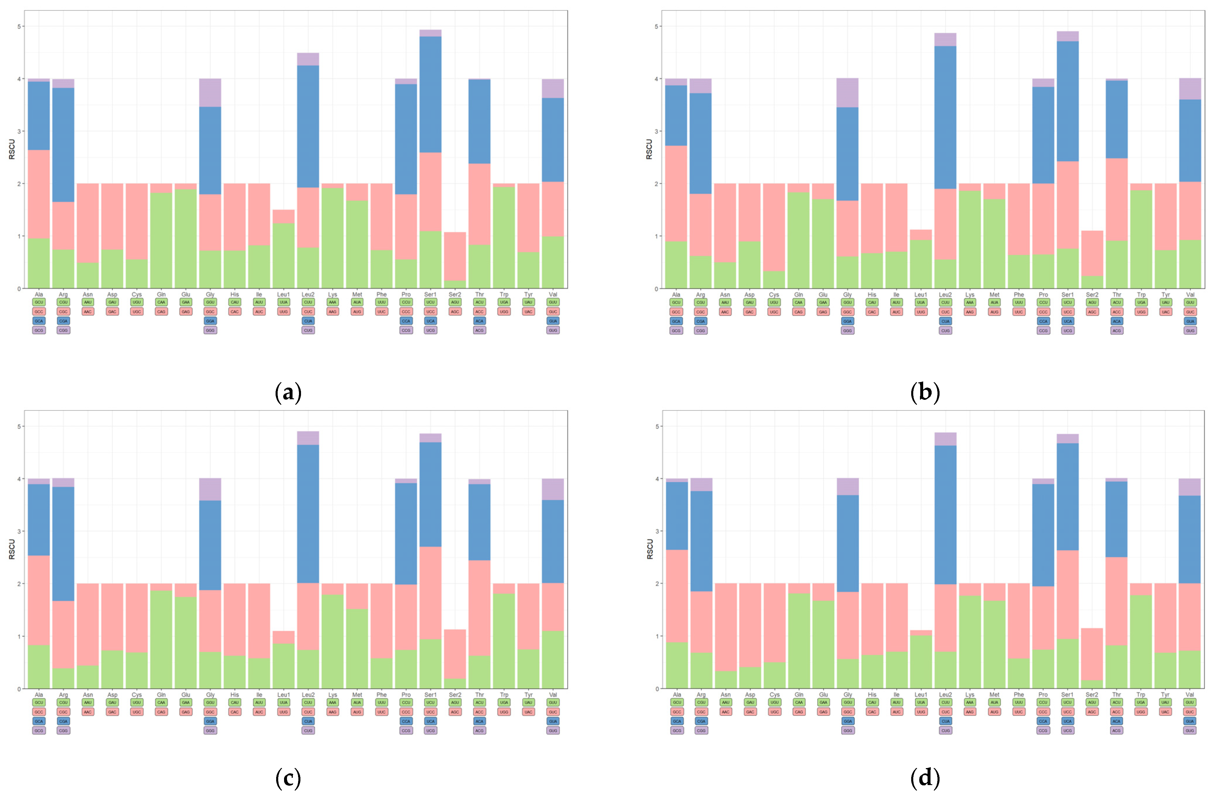
3.5. Analysis of Codon Usage for A. hypoleucos, L. semipalmatus, L. limosa, and N. arquata

The relative synonymous codon usage (RSCU) values for the 13 PCGs of four species (A. hypoleucos, L. semipalmatus, L. limosa, and N. arquata) is summarized in Figure 3, and their base composition is calculated in Table 3. The PCGs of three species consisted of 3787 codons, excluding the start and stop codons. The most frequently used amino acid in A. hypoleucos, L. semipalmatus, L. limosa, and N. arquata was leucine (Leu), with 17.59%, 17.51%, 17.45%, and 16.90%, respectively, followed by threonine (Thr), with 9.40%, 9.51%, 9.16%, and 9.45%, while the least frequently used was cysteine (Cys) with 0.77%, 0.79% 0.77%, and 0.63%, respectively. All PCGs of the three species showed a slight positive value of AT skew (0.03, 0.04, 0.04, and 0.06 for A. hypoleucos, L. semipalmatus, L. limosa, and N. arquata, respectively) and a larger negative value of GC skew (−0.39, −0.40, −0.39, and −0.43 for A. hypoleucos, L. semipalmatus, L. limosa, and N. arquata, respectively). The skew rate at different codon positions showed some regularity. All of the second-codon positions showed a negative value of the AT skew. Additionally, the positive values of the AT skew and negative values of the GC skew at the third-codon positions (wobble positions) were particularly prominent, with the highest positive values of the AT skew being 0.38 (L. semipalmatus and L. limosa) and the lowest negative value of GC skew being −0.77 (A. hypoleucos), except for N. arquata.

3.6. Phylogenetic Analysis

Phylogenetic analysis with two inference methods (ML and BI) of 13 mitochondrial protein-coding genes (excluding ND6 of N. arquata), the 12S gene, and the 16S gene for 33 species of Scolopacidae revealed identical topologies, which were highly supported by bootstrap and posterior probabilities at most nodes, and in the analyses, N. semicollaris and J. spinosa were considered as outgroups (Figure 4). Based on the currently known mitogenomes of the family Scolopacida, we classified the family into the genera Numenius, Limosa, Limnodromus, Scolopax, Gallinago, Actitis, Xenus, Phalaropus, Tringa, Prosobonia, Arenaria, and Calidris, which was in agreement with previous research [1]. The phylogenetic tree results showed that N. arquata and N. tenuirostris were closely related, and the group of N. arquata, N. tenuirostris plus N. madagascariensis was sister to the N. minutus plus N. phaeopus group. Genus Phalaropus was found to be more closely related to genus Tringa, and genera Xenus and Actitis were clustered into another sister group, contrary to previous findings suggesting that Xenus was closer to Tringa [1,15]. The genera Limnodromus, Gallinago, and Scolopax formed a monophyletic group. Our result was also in congruence with previous findings that genus Calidris is not monophyletic [47]. In addition, another phylogenetic tree for 33 Scolopacidae species was constructed by using two methods (ML and BI), based on 12 PCGs (excluding ND6 in family Scolopacidae), the 12S gene, and the 16S gene, with N. semicollaris and J spinosa as outgroups, which had the same results as the previous ones (Figure S5).

4. Conclusions

We sequenced and annotated the mitogenome of four species of Scolopacidae (A. hypoleucos, L. semipalmatus, L. limosa, and N. arquata). An extra non-coding “C” was found at position 174 in the ND3 of L. semipalmatus, L. limosa, and A. hypoleucos. The mitogenomes of the Scolopacidae family exhibited a bias toward A over T, resulting in a positive AT skew, and a preference for C over G, leading to a negative GC skew. The average uncorrected pairwise distances revealed that out of the 13 PCGs, ATP8 demonstrates the lowest level of conservation, whereas COX3 exhibits the least rapid evolutionary rate. Analysis of the mitogenome start and stop codons showed that ATG was the most common start codon, while TAA was the most common stop codon. The third-codon position contributes the most to the overall GC bias of the PCGs. Based on 13 PCGs and two ribosomal RNAs, phylogenetic analysis has categorized the family Scolopacidae into 12 genera according to currently available mitogenome data. Our findings suggest that the genus Phalaropus is closer to Tringa, contrary to previous studies. Additionally, we observed that genera Gallinago and Scolopax clustered into one group, which was sister to genus Limnodromus.

Supplementary Materials

The following supporting information can be downloaded at https://www.mdpi.com/article/10.3390/cimb46060369/s1, Figure S1: Secondary structures of the 22 tRNA genes of A. hypoleucos; Figure S2: Secondary structures of the 22 tRNA genes of L. semipalmatus; Figure S3: Secondary structures of the 21 tRNA genes of N. arquata; Figure S4: Secondary structures of the 22 tRNA genes of L. limosa; Figure S5: Phylogenetic relationships among Scolopacidae species based on mitochondrial genes (concatenated 12 protein-coding genes, 12S and 16S rRNA); Table S1: Organization of the complete mitogenome of A. hypoleucos; Table S2: Organization of the partial mitogenome of L. semipalmatus; Table S3: Organization of the partial mitogenome of N. arquata; Table S4: Organization of the partial mitogenome of L. limosa; Table S5: The base composition and skew rate of the family Scolopacidae; Table S6: The base composition and skew rate of PCGs.

Author Contributions

Conceptualization, C.H. and Q.C.; methodology, C.H.; software, P.J. and M.L.; validation, C.H. and Q.C.; formal analysis, Q.L., C.H., N.C, J.D. and J.S.; investigation, C.H..; resources, C.H.; data curation, Q.L., P.J. and C.H.; writing—original draft preparation, Q.L, M.L., J.D., J.S., N.C. and Y.W.; writing—review and editing, Q.L. and C.H.; visualization, Y.W. and Q.L.; supervision, C.H. and Q.C.; project administration, Q.C.; funding acquisition, Q.C. All authors have read and agreed to the published version of the manuscript.

Funding

This research was funded by the Program of Nature Science Fund of Jiangsu Province, grant number BK20181076, Natural Science Research of Jiangsu Higher Education Institutions of China, grant number 20KJD180004, National College Students’ innovation and entrepreneurship training program, grant number 202310319051Z.

Institutional Review Board Statement

The animal study protocol was approved by the Ethics Committee of Nanjing Normal University (protocol code IACUC—20230258, 23 February 2023).

Informed Consent Statement

Not applicable.

Data Availability Statement

The genome sequence data that support the findings of this study are openly available in GenBank of NCBI at https://www.ncbi.nlm.nih.gov/ under accession no. PP727181, PP737170, PP737172 and PP737171.

Conflicts of Interest

The authors declare no conflict of interest.

References

  1. Chen, P.; Li, J.; Zhang, J.; Liu, W. The Complete Mitochondrial Genome of Numenius minutus (Charadriiformes: Scolopacidae): Comparative and Phylogenetic Analysis. Mitochondrial DNA Part B Resour. 2022, 7, 2009–2011. [Google Scholar] [CrossRef]
  2. Gill, F.; Donsker, D.; Rasmussen, P. IOC World Bird List (v14.1). Available online: https://www.worldbirdnames.org/new/ (accessed on 13 April 2024).
  3. Strauch, J.G. The Phylogeny of the Charadriiformes (Aves): A New Estimate Using the Method of Character Compatibility Analysis. Trans. Zool. Soc. Lond. 1978, 34, 263–345. [Google Scholar] [CrossRef]
  4. Chu, P.C. Phylogenetic Reanalysis of Strauch’s Osteological Data Set for the Charadriiformes. Condor 1995, 97, 174–196. [Google Scholar] [CrossRef]
  5. Fain, M.G.; Houde, P. Multilocus Perspectives on the Monophyly and Phylogeny of the Order Charadriiformes (Aves). BMC Evol. Biol. 2007, 7, 35. [Google Scholar] [CrossRef]
  6. Baker, A.J.; Pereira, S.L.; Paton, T.A. Phylogenetic Relationships and Divergence Times of Charadriiformes Genera: Multigene Evidence for the Cretaceous Origin of at Least 14 Clades of Shorebirds. Biol. Lett. 2007, 3, 205–209. [Google Scholar] [CrossRef]
  7. Winkler, D.W.; Billerman, S.M.; Lovette, I.J. Sandpipers and Allies (Scolopacidae), Version 1.0. In Birds World; Cornell Lab of Ornithology: Ithaca, NY, USA, 2020. [Google Scholar]
  8. Dhorne-Pollet, S.; Barrey, E.; Pollet, N. A New Method for Long-Read Sequencing of Animal Mitochondrial Genomes: Application to the Identification of Equine Mitochondrial DNA Variants. BMC Genomics 2020, 21, 785. [Google Scholar] [CrossRef]
  9. Boore, J.L. Animal Mitochondrial Genomes. Nucleic Acids Res. 1999, 27, 1767–1780. [Google Scholar] [CrossRef]
  10. Wolstenholme, D.R. Animal Mitochondrial DNA: Structure and Evolution. Int. Rev. Cytol. 1992, 141, 173–216. [Google Scholar] [CrossRef]
  11. Ruokonen, M.; Kvist, L. Structure and Evolution of the Avian Mitochondrial Control Region. Mol. Phylogenet. Evol. 2002, 23, 422–432. [Google Scholar] [CrossRef]
  12. Gonçalves, V.F. Mitochondrial Genetics. Adv. Exp. Med. Biol. 2019, 1158, 247–255. [Google Scholar] [CrossRef]
  13. Sharko, F.S.; Boulygina, E.S.; Rastorguev, S.M.; Tsygankova, S.V.; Tomkovich, P.S.; Nedoluzhko, A.V. Phylogenetic Position of the Presumably Extinct Slender-Billed Curlew, Numenius tenuirostris. Mitochondrial DNA Part A 2019, 30, 626–631. [Google Scholar] [CrossRef]
  14. Lopez De Pietri, V.; Worthy, T.; Scofield, R.P.; Cole, T.; Wood, J.; Mitchell, K.; Cibois, A.; Jansen, J.; Cooper, A.; Feng, S.; et al. A New Extinct Species of Polynesian Sandpiper (Charadriiformes: Scolopacidae: Prosobonia) from Henderson Island, Pitcairn Group, and the Phylogenetic Relationships of Prosobonia. Zool. J. Linn. Soc. 2021, 192, 1045–1070. [Google Scholar] [CrossRef]
  15. Liu, W.; Hu, C.; Xie, W.; Chen, P.; Zhang, Y.; Yao, R.; Li, K.; Chang, Q. The Mitochondrial Genome of Red-Necked Phalarope Phalaropus lobatus (Charadriiformes: Scolopacidae) and Phylogeny Analysis among Scolopacidae. Genes Genom. 2018, 40, 455–463. [Google Scholar] [CrossRef]
  16. Dhanjal-Adams, K.L.; Fuller, R.A.; Murray, N.J.; Studds, C.E.; Wilson, H.B.; Milton, D.A.; Kendall, B.E. Distinguishing Local and Global Correlates of Population Change in Migratory Species. Divers. Distrib. 2019, 25, 797–808. [Google Scholar] [CrossRef]
  17. Shen, Y.-Y.; Shi, P.; Sun, Y.-B.; Zhang, Y.-P. Relaxation of Selective Constraints on Avian Mitochondrial DNA Following the Degeneration of Flight Ability. Genome Res. 2009, 19, 1760–1765. [Google Scholar] [CrossRef]
  18. Wu, L.; Tong, Y.; Ayivi, S.P.G.; Storey, K.B.; Zhang, J.-Y.; Yu, D.-N. The Complete Mitochondrial Genomes of Three Sphenomorphinae Species (Squamata: Scincidae) and the Selective Pressure Analysis on Mitochondrial Genomes of Limbless Isopachys Gyldenstolpei. Anim. Open Access J. 2022, 12, 2015. [Google Scholar] [CrossRef]
  19. Zheng, G. A Checklist on the Classification and Distribution of the Birds of China, 3rd ed.; CSPM; Science Press: Beijing, China, 2017; ISBN 978-7-03-054751-4. [Google Scholar]
  20. Sambrook, J.F.; Fritsch, E.F.; Maniatis, T. Molecular Cloning: A Laboratory Manual; Cold Spring Harbor Laboratory Press: Cold Spring Harbor, NY, USA, 2001. [Google Scholar]
  21. Hu, C.; Zhang, Y.; Zhang, C.; Wu, Y.; Chen, W.; Li, K.; Chang, Q. Strategy of Amplification and Sequencing of the Mitochondrial Genome of Charadriiformes. Chin. J. Zool. 2018, 53, 769–780. [Google Scholar] [CrossRef]
  22. Grant, J.R.; Enns, E.; Marinier, E.; Mandal, A.; Herman, E.K.; Chen, C.-Y.; Graham, M.; Van Domselaar, G.; Stothard, P. Proksee: In-Depth Characterization and Visualization of Bacterial Genomes. Nucleic Acids Res. 2023, 51, W484–W492. [Google Scholar] [CrossRef]
  23. Chan, P.P.; Lowe, T.M. tRNAscan-SE: Searching for tRNA Genes in Genomic Sequences. Methods Mol. Biol. Clifton NJ 2019, 1962, 1–14. [Google Scholar] [CrossRef]
  24. Laslett, D.; Canbäck, B. ARWEN: A Program to Detect tRNA Genes in Metazoan Mitochondrial Nucleotide Sequences. Bioinformatics 2008, 24, 172–175. [Google Scholar] [CrossRef]
  25. Tamura, K.; Stecher, G.; Kumar, S. MEGA11: Molecular Evolutionary Genetics Analysis Version 11. Mol. Biol. Evol. 2021, 38, 3022–3027. [Google Scholar] [CrossRef]
  26. Lobry, J.R. Asymmetric Substitution Patterns in the Two DNA Strands of Bacteria. Mol. Biol. Evol. 1996, 13, 660–665. [Google Scholar] [CrossRef]
  27. Perna, N.T.; Kocher, T.D. Patterns of Nucleotide Composition at Fourfold Degenerate Sites of Animal Mitochondrial Genomes. J. Mol. Evol. 1995, 41, 353–358. [Google Scholar] [CrossRef]
  28. Rozas, J.; Ferrer-Mata, A.; Sánchez-DelBarrio, J.C.; Guirao-Rico, S.; Librado, P.; Ramos-Onsins, S.E.; Sánchez-Gracia, A. DnaSP 6: DNA Sequence Polymorphism Analysis of Large Data Sets. Mol. Biol. Evol. 2017, 34, 3299–3302. [Google Scholar] [CrossRef]
  29. Katoh, K.; Standley, D.M. MAFFT Multiple Sequence Alignment Software Version 7: Improvements in Performance and Usability. Mol. Biol. Evol. 2013, 30, 772–780. [Google Scholar] [CrossRef]
  30. Zhang, D.; Gao, F.; Jakovlić, I.; Zou, H.; Zhang, J.; Li, W.X.; Wang, G.T. PhyloSuite: An Integrated and Scalable Desktop Platform for Streamlined Molecular Sequence Data Management and Evolutionary Phylogenetics Studies. Mol. Ecol. Resour. 2020, 20, 348–355. [Google Scholar] [CrossRef]
  31. Xiang, C.; Gao, F.; Jakovlić, I.; Lei, H.; Hu, Y.; Zhang, H.; Zou, H.; Wang, G.; Zhang, D. Using PhyloSuite for Molecular Phylogeny and Tree-based Analyses. iMeta 2023, 2, e87. [Google Scholar] [CrossRef]
  32. Nguyen, L.-T.; Schmidt, H.A.; von Haeseler, A.; Minh, B.Q. IQ-TREE: A Fast and Effective Stochastic Algorithm for Estimating Maximum-Likelihood Phylogenies. Mol. Biol. Evol. 2015, 32, 268–274. [Google Scholar] [CrossRef]
  33. Ronquist, F.; Teslenko, M.; van der Mark, P.; Ayres, D.L.; Darling, A.; Höhna, S.; Larget, B.; Liu, L.; Suchard, M.A.; Huelsenbeck, J.P. MrBayes 3.2: Efficient Bayesian Phylogenetic Inference and Model Choice across a Large Model Space. Syst. Biol. 2012, 61, 539–542. [Google Scholar] [CrossRef]
  34. Letunic, I.; Bork, P. Interactive Tree of Life (iTOL) v6: Recent Updates to the Phylogenetic Tree Display and Annotation Tool. Nucleic Acids Res. 2024, gkae268. [Google Scholar] [CrossRef]
  35. Liu, W.; Zhang, Y.; Hu, D.; Ge, X.; Chen, P.; Chang, Q. The Complete Mitochondrial Genome of Terek Sandpiper, Xenus cinereus (Charadriiformes: Scolopacidae). Mitochondrial DNA Part B Resour. 2016, 1, 732–733. [Google Scholar] [CrossRef][Green Version]
  36. Diniz Sander Morais, B.; Lemos Queiroz, A.L.; Pereira, A.H.; Kalapothakis, E. The Complete Mitochondrial Genome of Sporophila nigricollis (Aves, Passeriformes). Mol. Biol. Rep. 2023, 50, 2919–2923. [Google Scholar] [CrossRef]
  37. Pham, L.D.; Giang, T.T.N.; Nguyen, V.B.; Pham, T.P.M.; Tran, T.T.T.; Nguyen, T.Q.C.; Van Nguyen, K.; Do, D.N. The Complete Mitochondrial Genome and Phylogenetic Analyses of To Chicken in Vietnam. Genes 2023, 14, 1088. [Google Scholar] [CrossRef]
  38. Dong, Y.; Zhou, L.; Li, B.; Zhao, G. The Complete Mitochondrial Genome of the Black-Headed Gull Chroicocephalus ridibundus (Charadriiformes: Laridae). Mitochondrial DNA Part DNA Mapp. Seq. Anal. 2016, 27, 1991–1992. [Google Scholar] [CrossRef]
  39. Sun, C.-H.; Liu, H.-Y.; Lu, C.-H. Five New Mitogenomes of Phylloscopus (Passeriformes, Phylloscopidae): Sequence, Structure, and Phylogenetic Analyses. Int. J. Biol. Macromol. 2020, 146, 638–647. [Google Scholar] [CrossRef]
  40. Mindell, D.P.; Sorenson, M.D.; Dimcheff, D.E. An Extra Nucleotide Is Not Translated in Mitochondrial ND3 of Some Birds and Turtles. Mol. Biol. Evol. 1998, 15, 1568–1571. [Google Scholar] [CrossRef]
  41. Lee, D.Y.; Roh, S.J.; Kim, S.H.; Jung, T.W.; Lee, D.J.; Kim, H.K.; Jung, J.H.; Cho, S.-Y.; Kim, Y.J.; Kook, J.W.; et al. Complete Mitochondrial Genome of Little Ringed Plover Charadrius dubius (Charadriiformes, Charadriidae). Mitochondrial DNA Part B Resour. 2022, 7, 1896–1898. [Google Scholar] [CrossRef]
  42. Luo, H.; Fang, W.; Lin, Q.; Chen, X.; Zhou, X. Characterization of the Complete Mitochondrial Genome of Elanus caeruleus Desfontaines, 1789 (Accipitriformes: Accipitridae). Mitochondrial DNA Part B Resour. 2022, 7, 627–628. [Google Scholar] [CrossRef]
  43. Joen, H.-S.; Lee, M.-Y.; Choi, Y.-S.; An, J. Mitochondrial Genome Analysis of the Spoon-Billed Sandpiper (Eurynorhynchus pygmeus). Mitochondrial DNA Part B Resour. 2017, 2, 150–151. [Google Scholar] [CrossRef]
  44. Guo, C.; McDowell, I.C.; Nodzenski, M.; Scholtens, D.M.; Allen, A.S.; Lowe, W.L.; Reddy, T.E. Transversions Have Larger Regulatory Effects than Transitions. BMC Genom. 2017, 18, 1. [Google Scholar] [CrossRef]
  45. Chen, L.; Lin, Y.; Xiao, Q.; Lin, Y.; Du, Y.; Lin, C.; Ward-Fear, G.; Hu, C.; Qu, Y.; Li, H. Characterization of the Complete Mitochondrial Genome of the Many-Lined Sun Skink (Eutropis multifasciata) and Comparison with Other Scincomorpha Species. Genomics 2021, 113, 2526–2536. [Google Scholar] [CrossRef]
  46. Pacheco, M.A.; Battistuzzi, F.U.; Lentino, M.; Aguilar, R.F.; Kumar, S.; Escalante, A.A. Evolution of Modern Birds Revealed by Mitogenomics: Timing the Radiation and Origin of Major Orders. Mol. Biol. Evol. 2011, 28, 1927–1942. [Google Scholar] [CrossRef]
  47. Chen, W.; Miao, K.; Wang, J.; Wang, H.; Sun, W.; Yuan, S.; Luo, S.; Hu, C.; Chang, Q. Five New Mitogenomes Sequences of Calidridine Sandpipers (Aves: Charadriiformes) and Comparative Mitogenomics of Genus Calidris. PeerJ 2022, 10, e13268. [Google Scholar] [CrossRef]
Figure 1. Gene maps of the mitogenomes of (a) A. hypoleucos, (b) L. semipalmatus, (c) L. limosa, and (d) N. arquata. Arrows indicate the orientation of gene transcription. PCGs are shown as blue-purple arrows, rRNA genes as green arrows, tRNA genes as pink arrows, and the control region as dark pink arrows. Ticks in the inner cycle indicate the sequence length. The black ring indicates the GC content (outward and inward peaks showing above- or below-average GC content, respectively). The purple ring indicates the GC skew.
Figure 1. Gene maps of the mitogenomes of (a) A. hypoleucos, (b) L. semipalmatus, (c) L. limosa, and (d) N. arquata. Arrows indicate the orientation of gene transcription. PCGs are shown as blue-purple arrows, rRNA genes as green arrows, tRNA genes as pink arrows, and the control region as dark pink arrows. Ticks in the inner cycle indicate the sequence length. The black ring indicates the GC content (outward and inward peaks showing above- or below-average GC content, respectively). The purple ring indicates the GC skew.
Cimb 46 00369 g001
Figure 2. The usage of start (a) codons and stop (b) codons in the 13 mitochondrial protein-coding genes of family Scolopacidae. All genes are shown in the order of occurrence in the mitogenome starting from ND1.
Figure 2. The usage of start (a) codons and stop (b) codons in the 13 mitochondrial protein-coding genes of family Scolopacidae. All genes are shown in the order of occurrence in the mitogenome starting from ND1.
Cimb 46 00369 g002
Figure 3. The relative synonymous codon usage (RSCU) of the 13 PCGs of (a) A. hypoleucos, (b) L. semipalmatus, (c) L. limosa, and (d) N. arquata; the stop codons were not included.
Figure 3. The relative synonymous codon usage (RSCU) of the 13 PCGs of (a) A. hypoleucos, (b) L. semipalmatus, (c) L. limosa, and (d) N. arquata; the stop codons were not included.
Cimb 46 00369 g003
Figure 4. The phylogenetic trees of family Scolopacidae constructed with mitochondrial genes (concatenated 13 protein-coding genes, 12S and 16S rRNA), using Bayesian inference (BI) and maximum likelihood (ML). Numbers at nodes represent the Bayesian posterior probabilities and maximum likelihood bootstrap values, separated by “/”.
Figure 4. The phylogenetic trees of family Scolopacidae constructed with mitochondrial genes (concatenated 13 protein-coding genes, 12S and 16S rRNA), using Bayesian inference (BI) and maximum likelihood (ML). Numbers at nodes represent the Bayesian posterior probabilities and maximum likelihood bootstrap values, separated by “/”.
Cimb 46 00369 g004
Table 1. All complete mitogenomes of family Scolopacidae deposited in GenBank. Bold represents that the mitogenome was sequenced in this study.
Table 1. All complete mitogenomes of family Scolopacidae deposited in GenBank. Bold represents that the mitogenome was sequenced in this study.
FamilyCommon NameScientific NameLength (bp)Accession
ScolopacidaeCommon sandpiperActitis hypoleucos16,732PP727181
Ruddy turnstoneArenaria interpres16,725AY074885
SanderlingCalidris alba16,642MW168384
DunlinCalidris alpina16,791MW168383
RuffCalidris pugnax16,902MN956840
Spoon-billed sandpiperCalidris pygmeus16,709KY434065
Calidris pygmeus16,707KP742478
Red-necked stintCalidris ruficollis16,860MG736926
Long-toed stintCalidris subminuta16,765MW168385
Great knotCalidris tenuirostris16,775MK992912
Calidris tenuirostris16,732MK341548
Calidris tenuirostris16,678MW160419
Broad-billed sandpiperCalidris falcinellus15,555MW160420
Common snipeGallinago gallinago16,919MZ157405
Gallinago gallinago16,814MW865755
Pintail snipeGallinago stenura16,899KY056596
Gallinago stenura18,153KY888681
Bar-tailed godwitLimosa lapponica16,773MK341549
Limosa lapponica baueri16,732KX371106
Black-tailed godwitLimosa limosa15,587PP737171
Asian dowitcherLimnodromus semipalmatus15,739PP737170
Eurasian curlewNumenius arquata14,978PP737172
Eastern curlewNumenius madagascariensis17,668KY230384
Numenius madagascariensis17,117MW930394
Little curlewNumenius minutus17,047OK552672
WhimbrelNumenius phaeopus17,091KP308149
Slender-billed curlewNumenius tenuirostris16,705MK108195
Red-necked phalaropePhalaropus lobatus16,714KY765409
Tuamotu sandpiperProsobonia parvirostris15,590MT880247
Eurasian woodcockScolopax rusticola16,984KM434134
Spotted redshankTringa erythropus16,683KX230491
Wood sandpiperTringa glareola16,804KY128485
Nordmann’s greenshankTringa guttifer16,835MK905885
Common greenshankTringa nebularia16,682MK460251
Tringa nebularia16,689MG883743
Green sandpiperTringa ochropus16,906KX668223
WilletTringa semipalmata16,603MF036175
Marsh sandpiperTringa stagnatilis16,799MT572847
Common redshankTringa totanus16,818MK922124
Terek sandpiperXenus cinereus16,817KX644890
JacanidaeNorthern jacanaJacana spinosa17,079KJ631048
RostratulidaeSouth American painted-snipeNycticryphes semicollaris18,584MN356246
Table 2. Variation and evolution analysis of 13 PCGs in Scolopacidae.
Table 2. Variation and evolution analysis of 13 PCGs in Scolopacidae.
Gene%Vs%Pis%S%Aupdts/tvKsKaKa/Ks
ND142.26%37.54%4.72%0.14 4.430.7930.0200.025
ND248.51%42.16%6.35%0.15 3.280.7830.0420.054
COX135.59%31.65%3.94%0.12 3.960.7620.0050.007
COX236.56%31.57%4.99%0.12 4.000.7390.0100.014
ATP852.12%44.85%7.27%0.16 2.360.8000.0630.079
ATP644.93%37.89%7.05%0.14 2.710.7040.0200.028
COX336.14%31.16%4.98%0.11 3.490.6460.0110.017
ND343.84%38.97%4.87%0.13 4.350.5640.0420.074
ND4L43.54%37.07%6.46%0.12 4.330.6470.0160.025
ND446.41%39.29%7.04%0.14 2.660.6870.0330.048
ND545.68%38.64%7.04%0.13 3.360.6620.0780.118
Cyt b41.49%34.65%6.84%0.13 2.310.6550.0210.032
ND650.00%40.80%9.00%0.14 2.400.6320.0800.127
Vs: variable sites, Pis: parsimony informative sites, S: singleton sites, Aupd: the average uncorrected pairwise distances. ts/tv: the estimated transition/transversion bias.
Table 3. Nucleotide composition and skew rate at different sites of codons in four species.
Table 3. Nucleotide composition and skew rate at different sites of codons in four species.
SpeciesCodon SiteProportion of Nucleotides (%)AT SkewGC Skew
TCAGA+T
A. hypoleucos1st23.1126.0129.0521.8452.150.11−0.09
2nd40.3528.7618.3012.6058.65−0.38−0.39
3rd20.0234.5140.934.5460.950.34−0.77
Total27.8229.7629.4312.9957.250.03−0.39
L. semipalmatus1st21.7327.3628.8922.0250.620.14−0.11
2nd40.0828.9718.2212.7358.30−0.38−0.39
3rd18.1736.5240.165.1558.330.38−0.75
Total26.6630.9529.0913.3055.750.04−0.40
L. limosa1st21.8627.2028.6822.2650.540.13−0.10
2nd40.1428.7618.2712.8358.41−0.37−0.38
3rd17.7237.3639.405.5257.120.38−0.74
Total26.5731.1128.7813.5455.360.04−0.39
N. arquata1st21.6427.6829.7520.9251.390.16−0.14
2nd39.7229.5918.6512.0458.37−0.36−0.42
3rd17.4137.8640.134.5957.540.39−0.78
Total26.2631.7129.5112.5255.770.06−0.43
Disclaimer/Publisher’s Note: The statements, opinions and data contained in all publications are solely those of the individual author(s) and contributor(s) and not of MDPI and/or the editor(s). MDPI and/or the editor(s) disclaim responsibility for any injury to people or property resulting from any ideas, methods, instructions or products referred to in the content.

Share and Cite

MDPI and ACS Style

Li, Q.; Jiang, P.; Li, M.; Du, J.; Sun, J.; Chen, N.; Wu, Y.; Chang, Q.; Hu, C. Structure and Phylogenetic Relationships of Scolopacidae Mitogenomes (Charadriiformes: Scolopacidae). Curr. Issues Mol. Biol. 2024, 46, 6186-6198. https://doi.org/10.3390/cimb46060369

AMA Style

Li Q, Jiang P, Li M, Du J, Sun J, Chen N, Wu Y, Chang Q, Hu C. Structure and Phylogenetic Relationships of Scolopacidae Mitogenomes (Charadriiformes: Scolopacidae). Current Issues in Molecular Biology. 2024; 46(6):6186-6198. https://doi.org/10.3390/cimb46060369

Chicago/Turabian Style

Li, Quanheng, Peiyue Jiang, Mingxuan Li, Jingjing Du, Jianxiang Sun, Nuo Chen, Yu Wu, Qing Chang, and Chaochao Hu. 2024. "Structure and Phylogenetic Relationships of Scolopacidae Mitogenomes (Charadriiformes: Scolopacidae)" Current Issues in Molecular Biology 46, no. 6: 6186-6198. https://doi.org/10.3390/cimb46060369

APA Style

Li, Q., Jiang, P., Li, M., Du, J., Sun, J., Chen, N., Wu, Y., Chang, Q., & Hu, C. (2024). Structure and Phylogenetic Relationships of Scolopacidae Mitogenomes (Charadriiformes: Scolopacidae). Current Issues in Molecular Biology, 46(6), 6186-6198. https://doi.org/10.3390/cimb46060369

Article Metrics

Back to TopTop