Abstract
Five new 7α-hydroxyeunicellin-based diterpenoids, designated as cladieunicellins M–Q (1–5), were isolated from a Formosan octocoral Cladiella sp. The structures of 1–5 were elucidated on the basis of spectroscopic methods and by comparison of the data with those of the related metabolites. Cytotoxicity of metabolites 1–5 against the human leukemia Molt 4 and HL 60 is also described. Among them, compounds 1, 3 and 5 exhibited moderate cytotoxicity toward Molt 4 cells with IC50 values 16.43, 14.17 and 15.55 μM, respectively. Preliminary SAR (structure activity relationship) information was obtained from these compounds and their analogues.
1. Introduction
During the course of our search for novel metabolites from marine invertebrates of Taiwanese waters, a series of eunicellin-type diterpenoids including cladieunicellins A–J, have been isolated from a soft coral identified as Cladiella sp. (family Alcyoniidae) collected in Taiwan waters [1,2,3]. Because of our interest in the chemistry of new natural products, the continuing investigation on the chemical constituents of the soft coral Cladiella sp. was carried out and resulted in the isolation of five new eunicellin-based diterpenoids, cladieunicellins M–Q (1–5) (Chart 1). This paper deals with the isolation, structure elucidation and cytotoxicity of compounds 1–5.
Chart 1.
The structures of cladieunicellins M–Q (1–5), krempfielins C and L (6 and 7) and cladieunicellin L (8).
Chart 1.
The structures of cladieunicellins M–Q (1–5), krempfielins C and L (6 and 7) and cladieunicellin L (8).

2. Results and Discussion
Cladieunicellin M (1) was obtained as colorless oil and its molecular formula of 1 was established as C28H44O9 (7° of unsaturation) by the HRESIMS at m/z 547.28760 (calcd for C28H44O9Na, 547.28775). The IR absorptions at υmax 3462 (broad) and 1734 cm−1 revealed the presence of hydroxy and ester carbonyl functionalities. The 13C NMR of 1 showed 28 carbon signals (Table 1), which were assigned with the assistance of the DEPT spectrum to six methyls, seven sp3 methylenes (including an oxymethylene), an sp2 methylene, eight sp3 methines (including four oxymethines), two sp3 oxygenated quaternary carbons and four sp2 quaternary carbons (including three carbonyls). The 13C resonances at δC 172.3, 171.9 and 171.2 demonstrated the presence of three ester carbonyls. Two of these signals were identified as acetate carbonyls by the presence of two methyl resonances in the 1H NMR spectrum at δH 2.09 and 2.08 (each 3H × s) and the other one was identified as an n-butyrate carbonyl by the presence of seven contiguous protons at δH 0.99 (3H, t, J = 7.2 Hz), 1.66 (2H, m) and 2.32 (2H, m). From the 13C NMR data, an exocyclic carbon-carbon double bond was deduced from the signals at δC 147.8 (C-11) and 111.1 (CH2-17), and confirmed by two olefin proton signals at δH 4.91 (1H, br s, H-17) and 4.79 (1H, dd, J = 2.0, 1.6 Hz, H-17) in the 1H NMR spectrum. In addition, a suite of resonances of proton signals at δH 3.84 (1H, dd, J = 8.8, 6.8 Hz, H-9), 3.57 (1H, s, H-2), 3.38 (1H, dd, J = 7.2, 6.8 Hz, H-10) and 2.23 (1H, dd, J = 10.8, 7.2 Hz, H-1) and carbon signals at δC 92.7 (CH-2), 81.5 (CH-9), 53.5 (CH-10) and 45.1 (CH-1), indicated the presence of a tetrahydrofuran moiety. Comparison of the 13C NMR and DEPT spectra with the molecular formula indicated that there must be two exchangeable protons, requiring the presence of two hydroxy groups. From the above data, compound 1 was proven to be a diterpenoid with three rings.
Table 1.
1H (400 MHz, CDCl3) and 13C (100 MHz, CDCl3) NMR data, 1H–1H COSY and HMBC correlations for eunicellin 1.
| Position | δH ( J in Hz) | δC, Multiple | 1H–1H COSY | HMBC |
|---|---|---|---|---|
| 1 | 2.23 dd (10.8, 7.2) | 45.1, CH | H-10, H-14 | C-3, -9, -10, -14, -18 |
| 2 | 3.57 s | 92.7, CH | n.o. a | C-1, -3, -10, -14, -15 |
| 3 | 86.0, C | |||
| 4 | 2.59 dd (13.6, 7.2) | 35.4, CH2 | H2-5 | C-2, -3, -6, -15 |
| 2.00 m | ||||
| 5 | 1.55–1.40 m | 28.5, CH2 | H2-4, H-6 | C-3, -6, -7 |
| 6 | 5.72 d (4.8) | 82.2, CH | H2-5 | C-4, -5, -7, -16, acetate carbonyl |
| 7 | 78.3, C | |||
| 8 | 3.58 dd (9.6, 8.8) | 80.0, CH | H-9, OH-8 | C-9, -10 |
| 9 | 3.84 dd (8.8, 6.8) | 81.5, CH | H-8, H-10 | C-2, -8, -11 |
| 10 | 3.38 dd (7.2, 6.8) | 53.5, CH | H-1, H-9 | C-1, -2, -8, -9, -11, -12, -14, -17 |
| 11 | 147.8, C | |||
| 12 | 2.28 m; 2.03 m | 31.5, CH2 | H2-13 | n.o. |
| 13 | 1.69 m; 1.10 m | 25.4, CH2 | H2-12, H-14 | n.o. |
| 14 | 1.48 m | 39.0, CH | H-1, H2-13, H-18 | C-18 |
| 15 | 1.38 s | 22.9, CH3 | C-2, -3, -4 | |
| 16 | 1.29 s | 18.4, CH3 | C-6, -7, -8 | |
| 17 | 4.91 br s | 111.1, CH2 | C-10, -11, -12 | |
| 4.79 dd (2.0, 1.6) | ||||
| 18 | 1.92 m | 34.0, CH | H-14, H2-19, H3-20 | C-19 |
| 19 | 3.95 d (6.4) | 67.5, CH2 | H-18 | C-14, -18, -20, acetate carbonyl |
| 20 | 0.84 d (7.2) | 10.7, CH3 | H-18 | C-14, -18, -19 |
| 3-n-butyrate | 172.3, C | |||
| 2.32 m | 37.3, CH2 | H2-3′ | C-1′, -3′, -4′ | |
| 1.66 m | 18.4, CH2 | H2-2′, H3-4′ | C-1′, -2′, -4′ | |
| 0.99 t (7.2) | 13.7, CH3 | H2-3′ | C-2′, -3′ | |
| 6-OAc | 171.9, C | |||
| 2.08 s | 21.4, CH3 | Acetate carbonyl | ||
| 19-OAc | 171.2, C | |||
| 2.09 s | 21.1, CH3 | Acetate carbonyl | ||
| OH-7 | 2.36 s | C-6, -7, -16 | ||
| OH-8 | 1.82 d (9.6) | H-8 | C-7, -8 |
a n.o. = not observed.
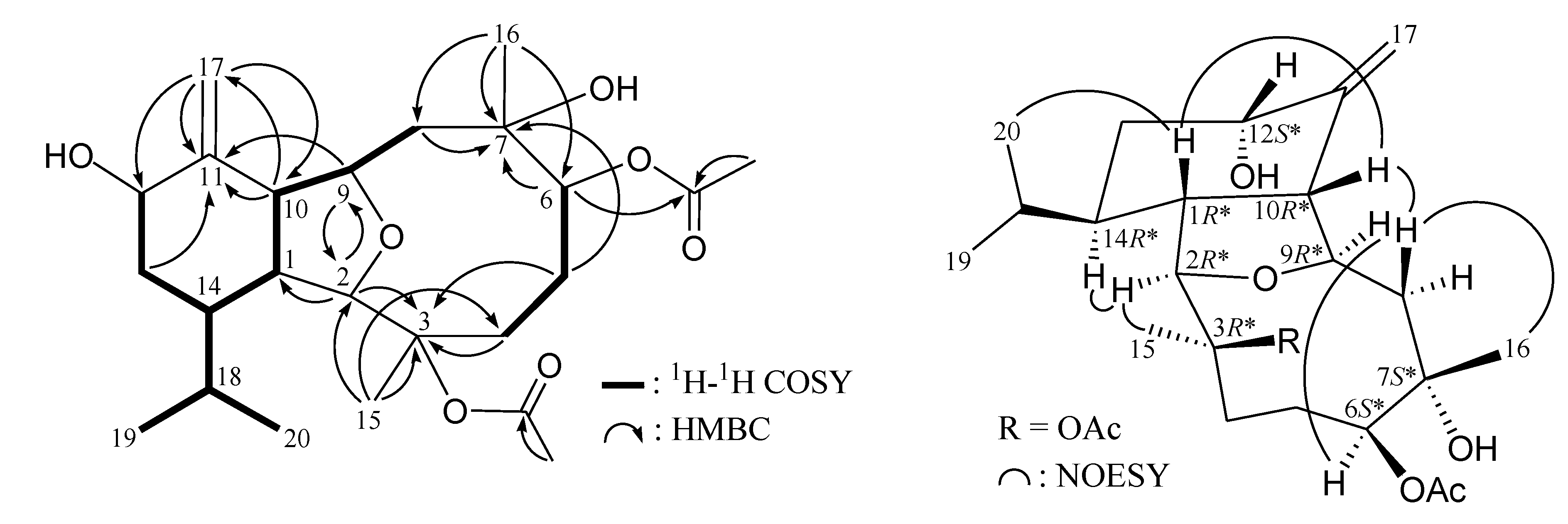
1H–1H couplings in the COSY spectrum of 1 enabled identification of the C-4/-5/-6, C-8/-9/-10/-1/-14/-13/-12, C-14/-18/-19 and C-18/-20 units (Table 1 and Figure 1), which were assembled with the assistance of an HMBC experiment. The HMBC correlations between protons and quaternary carbons of 1 (Table 1 and Figure 1), such as H-1, H-2, H2-4, H2-5/C-3; H2-5, H-6/C-7; and H-9, H-10, H2-17/C-11, permitted the elucidation of the main carbon skeleton of 1. The exocyclic carbon-carbon double bond at C-11 was confirmed by the HMBC correlations between H-10/C-17 and H2-17/C-10, -11, -12. The ether bridge between C-2 and C-9 was supported by an HMBC correlation between H-9/C-2. The C-15 and C-16 tertiary methyls bonded to the C-3 and C-7 oxygenated quaternary carbons were established by the HMBC correlations between H3-15/C-2, -3, -4 and H3-16/C-6, -7, -8, respectively. The hydroxy proton signal at δH 1.82 was revealed by its 1H–1H COSY and HMBC correlations to δH 3.58 (H-8) and δC 80.0 (CH-8), respectively, indicating its attachment to C-8. The location of a hydroxy group at C-7, an oxygenated quaternary carbon, was confirmed by the HMBC correlations between a hydroxy proton at δH 2.36 and C-6, -7 and C-16. Furthermore, the acetoxy groups at C-6 and C-19 were confirmed by the HMBC correlations from oxymethine (δH 5.72, H-6) and acetate methyl (δH 2.08) to the ester carbonyl at δC 171.9 (C); and oxymethylene (δH 3.95, H2-19) and acetate methyl (δH 2.09) to the ester carbonyl at δC 171.2 (C), respectively. Thus, the remaining n-butyrate ester had to be positioned at C-3, an oxygen-bearing quaternary carbon resonating at δC 86.0 ppm. Based on the above findings, the planar structure of 1 was established.
Figure 1.
Selective key 1H–1H COSY, HMBC and NOESY correlations for 1.
Figure 1.
Selective key 1H–1H COSY, HMBC and NOESY correlations for 1.

Naturally occurring eunicellin analogues from soft corals belonging to the genus Cladiella have H-1 and H-10 in the β-orientation [4]. In the NOESY experiment (Figure 1), observation of the correlations between H-10 with H-1 and H-8, suggested that H-1, H-8 and H-10 are β-oriented. Also, correlations of H-2 with H3-15 and H-14; H-9 with H-6 and OH-8; and H-8 with H3-16, suggested that H-2, H-6, H-9, H-14, Me-15 and both the hydroxy groups at C-7 and C-8 are α-oriented. The C-18 asymmetric center was assigned to be R*-configured on the basis of correlations between the β-oriented H-1 and H3-20 and between the α-oriented H-2 and H-18. Based on the above findings, the structure of 1 was elucidated and the chiral carbons for 1 were assigned as 1R*, 2R*, 3R*, 6S*, 7S*, 8S*, 9S*, 10R*, 14R* and 18R*. The NMR data of 1 was found to be similar to those of a known compound, krempfielin C (6) [5] (Chart 1). Comparison of the NMR data of them revealed that the only difference between both compounds arises from the replacement of the C-19 methyl at C-18 in 6 by a acetoxymethyl group in 1.
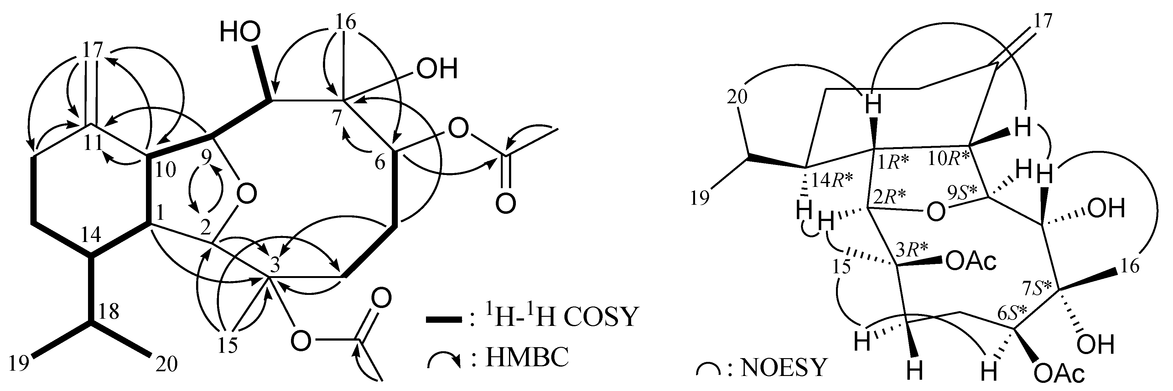
The new metabolite cladieunicellin N (2) was found to have the molecular formula C24H38O7 and six degrees of unsaturation, as indicated from the HRESIMS at m/z 461.25067 (calcd for C24H38O7Na, 461.25097). NMR data of 2 (Table 2 and Table 3) showed the presence of two acetoxy group (δH 2.08 and 2.06, each 3H × s; δC 169.5 and 22.4; 171.8 and 21.4). The 1H and 13C NMR data of 2 was found to be similar to those of a known compound, krempfielin L (7) (Chart 1) [6]. By comparison of the 1D and 2D NMR data of these two compounds revealed that the hydroxy group at C-6 in 7 was replaced by an acetoxy group in 2 (Table 2 and Table 3; Figure 2). The stereochemistry of 2 was confirmed by comparison of the NMR data and NOESY correlations of eunicellins 7 and 2 (Table 2 and Table 3; Figure 2).
Table 2.
1H NMR data for eunicellins 2–5.
| 2 | 3 | 4 | 5 | |
|---|---|---|---|---|
| δH a | δH a | δH a | δH a | |
| 1 | 2.22 dd (10.0, 7.2) b | 2.24 dd (11.2, 7.6) | 2.23 dd (11.6, 6.8) | 2.23 dd (10.8, 7.2) |
| 2 | 3.71 s | 3.71 s | 3.67 s | 3.62 s |
| 4 | 2.55 dd (14.8, 8.8) | 2.58 dd (14.8, 8.4) | 2.52 dd (14.8, 8.4) | 2.54 dd (14.8, 8.4) |
| 2.03 m | 2.01 m | 2.00 m | 1.98 m | |
| 5 | 1.52 m | 1.56 m | 1.53 m | 1.52 m |
| 1.45 m | 1.46 dd (10.0, 6.0) | 1.43 dd (9.6, 6.8) | 1.47 dd (9.2, 6.4) | |
| 6 | 5.61 d (5.6) | 5.63 d (6.0) | 5.64 d (5.6) | 5.84 dd (6.0, 1.2) |
| 8 | 1.88 m; 1.82 m | 1.88 m; 1.82 m | 3.43 dd (10.8, 9.2) | 3.55 dd (9.2, 9.2) |
| 9 | 4.49 ddd (7.2, 6.4, 6.4) | 4.37 ddd (10.0, 7.2, 5.2) | 3.95 dd (9.2, 6.8) | 3.83 dd (9.2, 6.8) |
| 10 | 2.94 dd (7.2, 7.2) | 3.00 dd (7.6, 7.2) | 3.34 dd (6.8, 6.8) | 3.31 dd (7.2, 6.8) |
| 12 | 4.40 dd (4.0, 2.4) | 5.48 dd (4.0, 2.8) | 5.41 dd (4.0, 2.8) | 2.29 ddd (14.0, 3.6, 3.6) |
| 2.05 m | ||||
| 13 | 1.89 m | 1.93 ddd (14.0, 4.0, 4.0) | 1.90 ddd (14.0, 4.0, 4.0) | 1.75 m |
| 1.30 dd (12.8, 11.6) | 1.30 ddd (14.0, 14.0, 2.8) | 1.31 m | 1.06 m | |
| 14 | 1.86 m | 1.71 m | 1.64 m | 1.27 m |
| 15 | 1.41 s | 1.42 s | 1.38 s | 1.38 s |
| 16 | 1.19 s | 1.20 s | 1.25 s | 1.28 s |
| 17 | 5.00 d (1.2) | 5.14 d (1.6) | 5.22 d (2.0) | 4.87 br s |
| 4.81 d (1.2) | 4.93 br s | 5.17 d (2.0) | 4.77 br s | |
| 18 | 1.80 m | 1.83 m | 1.77 m | 1.73 m |
| 19 | 0.98 d (6.4) | 0.95 d (6.8) | 0.93 d (7.2) | 0.96 d (6.8) |
| 20 | 0.80 d (6.8) | 0.79 d (7.2) | 0.77 d (6.4) | 0.78 d (6.8) |
| 3-n-butyrate | 2.29 t (6.8) | |||
| 1.62 sext (6.8) | ||||
| 0.94 t (6.8) | ||||
| 3-OAc | 2.08 s | 2.09 s | 2.10 s | |
| 6-OAc | 2.06 s | 2.07 s | 2.06 s | 2.07 s |
| 12-OAc | 2.04 s | 2.03 s | ||
| 6-OH | ||||
| 7-OH | 2.32 br s | 2.57 br s | 2.43 br s | |
| 8-OH | 2.80 d (10.8) | 1.93 d (9.2) |
a 1H spectra recorded at 400 MHz in CDCl3; b J values (Hz) in parentheses.
Table 3.
13C NMR data for eunicellin 2–5.
| 2 | 3 | 4 | 5 | |
|---|---|---|---|---|
| δC a | δC a | δC a | δC a | |
| 1 | 44.8, CH b | 44.7, CH | 44.3, CH | 45.7, CH |
| 2 | 91.2, CH | 91.1, CH | 91.8, CH | 92.4, CH |
| 3 | 86.7, C | 86.7, C | 86.1, C | 86.3, C |
| 4 | 35.2, CH2 | 35.4, CH2 | 34.9, CH2 | 35.2, CH2 |
| 5 | 29.2, CH2 | 29.1, CH2 | 28.6, CH2 | 28.5, CH2 |
| 6 | 83.9, CH | 84.3, CH | 81.8, CH | 82.1, CH |
| 7 | 75.4, C | 75.4, C | 78.3, C | 78.2, C |
| 8 | 46.2, CH2 | 46.1, CH2 | 79.6, CH | 80.0, CH |
| 9 | 79.9, CH | 79.2, CH | 82.5, CH | 81.4, CH |
| 10 | 51.5, CH | 51.8, CH | 51.1, CH | 53.4, CH |
| 11 | 147.8, C | 142.8, C | 143.2, C | 148.5, C |
| 12 | 71.1, CH | 72.8, CH | 73.6, CH | 31.8, CH2 |
| 13 | 30.6, CH2 | 28.5, CH2 | 28.6, CH2 | 24.9, CH2 |
| 14 | 35.6, CH | 36.4, CH | 37.1, CH | 44.2, CH |
| 15 | 23.0, CH3 | 23.0, CH3 | 23.0, CH3 | 22.8, CH3 |
| 16 | 23.5, CH3 | 23.7, CH3 | 18.3, CH3 | 18.4, CH3 |
| 17 | 113.2, CH2 | 116.7, CH2 | 117.8, CH2 | 110.7, CH2 |
| 18 | 28.6, CH | 28.5, CH | 28.6, CH | 29.0, CH |
| 19 | 21.8, CH3 | 21.7, CH3 | 21.7, CH3 | 21.9, CH3 |
| 20 | 15.6, CH3 | 15.3, CH3 | 15.4, CH3 | 15.6, CH3 |
| 3-n-butyrate | 172.3, C | |||
| 37.2, CH2 | ||||
| 18.3, CH2 | ||||
| 13.6, CH3 | ||||
| 3-OAc | 169.5, C | 169.4, C | 169.6, C | |
| 22.4, CH3 | 22.4, CH3 | 22.4, CH3 | ||
| 6-OAc | 171.8, C | 171.8, C | 171.8, C | 171.8, C |
| 21.4, CH3 | 21.4, CH3 | 21.4, CH3 | 21.4, CH3 | |
| 12-OAc | 170.4, C | 170.8, C | ||
| 21.6, CH3 | 21.4, CH3 |
a 13C spectra recorded at 100 MHz in CDCl3; b Deduced from DEPT and HMQC spectra.
Figure 2.
Selective key 1H–1H COSY, HMBC and NOESY correlations for 2.
Figure 2.
Selective key 1H–1H COSY, HMBC and NOESY correlations for 2.

The HRESIMS of cladieunicellin O (3) at m/z 503.26152 established the molecular formula of C26H40O8 (calcd for C26H40O8Na, 503.26154). Detailed analysis shows that the NMR data of 3 (see Table 2 and Table 3) are almost identical with those of 2 except for the presence of an additional acetoxy group in 3 (δH 2.04, 3H, s; δC 170.4 and 21.6) in 3. Furthermore, the placement of an acetoxy group at C-12 was established by the HMBC experiment which showed correlations from an oxymethine proton (δH 5.48) and acetate methyl (δH 2.04) to the ester carbonyl at δC 170.4 (C) (Figure 3). The NOESY correlations of 3 (Figure 3) also showed that the relative stereochemistry of this metabolite is similar with that of 2. Thus the structure of eunicellin 3 was elucidated.
Figure 3.
Selective key 1H–1H COSY, HMBC and NOESY correlations for 3.
Figure 3.
Selective key 1H–1H COSY, HMBC and NOESY correlations for 3.

Cladieunicellin P (4) had the same molecular formula as that of 1, C28H44O9, as determined by HRESIMS, with seven degrees of unsaturation. In the HMBC spectrum, the 13C signal at δC 172.3 correlated with the signal of the methylene protons at δH 2.29 (Figure 4) and was consequently assigned as the carbon atom of the n-butyrate carbonyl. The positions of the two acetoxy groups at C-6 and C-12, were confirmed by the correlations the two methine protons at δH 5.64 (H-6) and 5.41 (H-12) and the ester carbonyls at δC 171.8 (s) and 170.8 (s), respectively, in the HMBC spectrum of 4. Thus, the remaining n-butyrate group was at C-3, an oxygenated quaternary carbon which bonded to the C-15 tertiary methyl and was confirmed by the HMBC correlations between H3-15/C-2, -3, -4. The relative configuration of 4 was mostly confirmed to be the same as that of 1 by comparison of the chemical shifts of both compounds (Table 1, Table 2 and Table 3) and was further confirmed by NOESY correlations (Figure 4). The coupling constants between H-12 and C-13 methylene protons (J = 4.0, 2.8 Hz) indicated that H-12 was positioned on equatorial direction and possessed a β-orientation in the cyclohexane ring of 4.
Cladieunicellin Q (5) exhibited the molecular ion peak [M + Na]+ at m/z 461.25110 in the HRESIMS and established a molecular formula of C24H38O7 (calcd for C24H38O7Na, 461.25097), appropriate with six degrees of unsaturation. The IR absorptions at υmax 3462 and 1732 cm−1 revealed the presence of hydroxy and ester carbonyl functionalities. The 13C NMR spectrum of 5 showed signals of 24 carbons (Table 3), which were characterized by the DEPT spectrum of six methyls (including two acetate methyls), five methylenes (including an sp2 methylene), eight methines (including four oxymethines) and five quaternary carbons (including two ester carbonyls and an sp2 quaternary carbon of an olefin). The 1H and 13C NMR spectral data of 5 (Table 2 and Table 3) also showed the presence of two acetoxy groups (δH 2.10 and 2.07, each 3H × s; δC 22.4 and 21.4, acetate methyls; δC 169.6 and 171.8, acetate carbonyls). The remaining three degrees of unsaturation identified 5 as a tricyclic diterpenoid. The molecular framework was established by 1H–1H COSY and HMBC correlations (Figure 5). Comparison of the NMR data of 5 with those of the known compound, cladieunicellin L (8) [2] revealed that 5 is the 12-deacetoxy derivative of cladieunicellin L. The stereochemistry of compound 5 was determined by the NOESY spectrum as shown in Figure 5.
Figure 4.
Selective key 1H–1H COSY, HMBC and NOESY correlations for 4.
Figure 4.
Selective key 1H–1H COSY, HMBC and NOESY correlations for 4.

Figure 5.
Selective key 1H–1H COSY, HMBC and NOESY correlations for 5.
Figure 5.
Selective key 1H–1H COSY, HMBC and NOESY correlations for 5.

Cytotoxicity of compounds 1–5 toward Molt 4 (human acute lymphoblastic leukemia) and HL 60 (human promyelocytic leukemia) cells was studied, and the results are shown in Table 4. Eunicellins 1, 3 and 5 was found to exhibit moderate cytotoxicity against Molt 4 cells. Eunicellin 2 did not show cytotoxicity toward Molt 4 cells, implying that the presence of a hydroxy substituent at C-12 would weaken the activity comparison with the structure and cytotoxicity of 3. Eunicellin 4 was found to be inactive against Molt 4 cells, indicating that the bulky n-butyrate group at C-3 could reduce cytotoxicity in comparison with the structure and cytotoxicity of cladieunicellin L (8) [2].
Table 4.
Cytotoxic data of compounds 1−5.
| Cell Lines IC50 (μM) | ||
|---|---|---|
| Compounds | Molt 4 | HL 60 |
| 1 | 16.43 | >20 |
| 2 | >20 | >20 |
| 3 | 14.17 | >20 |
| 4 | >20 | >20 |
| 5 | 15.55 | >20 |
| 8 a | 14.42 | >20 |
| Doxorubicin b | 0.02 | 0.02 |
a Data was reported in [2]; b Doxorubicin was used as a positive control.
In a previous study, we reported the isolation of a natural eunicellin, litophynin I diacetate (9) [1,7]. However, based on the spectral data analysis and by comparing the 13C NMR chemical shifts of C-7 and C-16 with those of its analogues [8], the C-7 should be revised as to possess an S*-configuration as presented in eunicellin 10 (Chart 2).
Chart 2.
The structures of litophynin I diacetate (9) and its revised structure 10.
Chart 2.
The structures of litophynin I diacetate (9) and its revised structure 10.

3. Experimental Section
3.1. General Experimental Procedures
Optical rotations were measured on a Jasco P-1010 digital polarimeter (Japan Spectroscopic Corporation, Tokyo, Japan). Infrared spectra were recorded on a Varian Diglab FTS 1000 FT-IR spectrometer (Varian Inc., Palo Alto, CA, USA) or a Jasco 4100 FT-IR spectrometer (Japan Spectroscopic Corporation, Tokyo, Japan); peaks are reported in cm−1. NMR spectra were recorded on a Varian Mercury Plus 400 NMR spectrometer (Varian Inc., Palo Alto, CA, USA) using the residual CHCl3 signal (δH 7.26 ppm) as the internal standard for 1H NMR and CDCl3 (δC 77.1 ppm) for 13C NMR. Coupling constants (J) are given in Hz. ESIMS and HRESIMS were recorded using a Bruker 7 Tesla solariX FTMS system (Bruker, Bremen, Germany). Column chromatography was performed on silica gel (230–400 mesh, Merck, Darmstadt, Germany). TLC was carried out on precoated Kieselgel 60 F254 (0.25 mm, Merck, Darmstadt, Germany); spots were visualized by spraying with 10% H2SO4 solution followed by heating. The normal phase HPLC (NP-HPLC) was performed using a system comprised of a Hitachi L-7110 pump (Hitachi Ltd., Tokyo, Japan) and a Rheodyne 7725 injection port (Rheodyne LLC, Rohnert Park, CA, USA). Two normal phase columns (Supelco Ascentis® Si Cat #:581515-U, 25 cm × 21.2 mm, 5 μm; 581514-U, 25 cm × 10 mm, 5 μm, Sigma-Aldrich, St. Louis, MO, USA) were used for NP-HPLC.
3.2. Animal Material
Specimens of the octocoral Cladiella sp. [9] were collected by hand using SCUBA equipment off the coast of Penghu Archipelago, Taiwan on September 2011, and stored at −20 °C until extraction. A voucher specimen (NMMBA-TWSC-11011) was deposited in the National Museum of Marine Biology and Aquarium, Taiwan.
3.3. Extraction and Isolation
Specimens of the soft coral Cladiella sp. (wet weight 1.25 kg, dry weight 457 g) were minced and extracted with ethyl acetate (EtOAc). The EtOAc extract left after removal of the solvent (12.4 g) was separated by silica gel and eluted using n-hexane/EtOAc in a stepwise fashion from 100:1 to pure EtOAc to yield 17 fractions A–Q. Fraction O (716 mg) was chromatographed on silica gel, using a mixture of n-hexane and acetone in a stepwise fashion from 6:1 to pure acetone to obtain 12 subfractions O1–O12. Fractions O4 (57.0 mg) and O5 (258.9 mg) were repurified by NP-HPLC, using a mixture of dichloromethane and acetone to yield 3 (8:1, flow rate: 3.0 mL/min, 7.1 mg, tR = 91 m) and 5 (8:1, flow rate: 3.0 mL/min, 15.0 mg, tR = 66 m), respectively. Fraction O6 (170.7 mg) was repurified by NP-HPLC, using a mixture of dichloromethane and acetone (7:1, flow rate: 3.0 mL/min) to yield 1 (4.8 mg, tR = 80 m) and 4 (69.9 mg, tR = 96 m), respectively. Fraction Q (930 mg) was separated by silica gel, using a mixture of n-hexane and acetone in a stepwise fashion from 3:1 to pure acetone to obtain 15 subfractions Q1–Q15. Fraction Q3 was repurified by NP-HPLC, using a mixture of n-hexane and acetone (2:1, flow rate: 3 mL/min) to yield 2 (15.6 mg, tR = 76 min).
Cladieunicellin M (1): Colorless oil;
−10 (c 0.1, CHCl3); IR (neat) υmax 3462, 1734 cm−1; 1H (400 MHz, CDCl3) and 13C (100 MHz, CDCl3) NMR data, see Table 1; ESIMS: m/z 547 [M + Na]+; HRESIMS: m/z 547.28760 (calcd for C28H44O9Na, 547.28775).
−10 (c 0.1, CHCl3); IR (neat) υmax 3462, 1734 cm−1; 1H (400 MHz, CDCl3) and 13C (100 MHz, CDCl3) NMR data, see Table 1; ESIMS: m/z 547 [M + Na]+; HRESIMS: m/z 547.28760 (calcd for C28H44O9Na, 547.28775).Cladieunicellin N (2): Colorless oil;
+31 (c 0.8, CHCl3); IR (neat) υmax 3437, 1729 cm−1; 1H (400 MHz, CDCl3) and 13C (100 MHz, CDCl3) NMR data, see Table 2 and ; ESIMS: m/z 461 [M + Na]+; HRESIMS: m/z 461.25067 (calcd for C24H38O7Na, 461.25097).
+31 (c 0.8, CHCl3); IR (neat) υmax 3437, 1729 cm−1; 1H (400 MHz, CDCl3) and 13C (100 MHz, CDCl3) NMR data, see Table 2 and ; ESIMS: m/z 461 [M + Na]+; HRESIMS: m/z 461.25067 (calcd for C24H38O7Na, 461.25097).Cladieunicellin O (3): Colorless oil;
+14 (c 0.4, CHCl3); IR (neat) υmax 3478, 1729 cm−1; 1H (400 MHz, CDCl3) and 13C (100 MHz, CDCl3) NMR data, see Table 2 and ; ESIMS: m/z 503 [M + Na]+; HRESIMS: m/z 503.26152 (calcd for C26H40O8Na, 503.26154).
+14 (c 0.4, CHCl3); IR (neat) υmax 3478, 1729 cm−1; 1H (400 MHz, CDCl3) and 13C (100 MHz, CDCl3) NMR data, see Table 2 and ; ESIMS: m/z 503 [M + Na]+; HRESIMS: m/z 503.26152 (calcd for C26H40O8Na, 503.26154).Cladieunicellin P (4): Colorless oil;
−7 (c 3.0, CHCl3); IR (neat) υmax 3448, 1733 cm−1; 1H (400 MHz, CDCl3) and 13C (100 MHz, CDCl3) NMR data, see Table 2 and ; ESIMS: m/z 547 [M + Na]+; HRESIMS: m/z 547.28755 (calcd for C28H44O9Na, 547.28775).
−7 (c 3.0, CHCl3); IR (neat) υmax 3448, 1733 cm−1; 1H (400 MHz, CDCl3) and 13C (100 MHz, CDCl3) NMR data, see Table 2 and ; ESIMS: m/z 547 [M + Na]+; HRESIMS: m/z 547.28755 (calcd for C28H44O9Na, 547.28775).Cladieunicellin Q (5): Colorless oil;
+24 (c 0.6, CHCl3); IR (neat) υmax 3462, 1732 cm−1; 1H (400 MHz, CDCl3) and 13C (100 MHz, CDCl3) NMR data, see Table 2 and ; ESIMS: m/z 461 [M + Na]+; HRESIMS: m/z 461.25110 (calcd for C24H38O7Na, 461.25097).
+24 (c 0.6, CHCl3); IR (neat) υmax 3462, 1732 cm−1; 1H (400 MHz, CDCl3) and 13C (100 MHz, CDCl3) NMR data, see Table 2 and ; ESIMS: m/z 461 [M + Na]+; HRESIMS: m/z 461.25110 (calcd for C24H38O7Na, 461.25097).3.4. MTT Antiproliferative Assay
HL 60 (human promyelocytic leukemia) and Molt 4 (Human acute lymphoblastic leukemia) cells were obtained from the American Type Culture Collection (ATCC, Manassas, VA, USA). Cells were maintained in RPMI 1640 medium supplemented with 10% fetal calf serum, 2 mM glutamine, and antibiotics (100 units/mL penicillin and 100 μg/mL streptomycin) at 37 °C in a humidified atmosphere of 5% CO2. Cells were seeded at 4 × 104 per well in 96-well culture plates before treatment with different concentrations of the tested compounds. The compounds were dissolved in dimethyl sulfoxide (less than 0.02%) and made immediately of 1.25, 2.5, 5, 10 and 20 μg/μL prior to experiments. After treatment for 72 h, the cytotoxicity of the tested compounds was determined using MTT cell proliferation assay (thiazolyl blue tetrazolium bromide, Sigma-M2128, St. Louis, MO, USA). The MTT is reduced by the mitochondrial dehydrogenases of viable cells to a purple formazan product. The MTT-formazan product dissolved in DMSO. Light absorbance values (OD = OD570 − OD620) were recorded at wavelengths of 570 and 620 nm using an ELISA reader (Anthos labtec Instrument, Salzburg, Austria) for calculating the concentration which caused 50% inhibition (IC50), i.e., the cell concentration at which the light absorbance value of the experimental group is half that of the control group. These results were expressed as a percentage of the control ± SD established from n = 4 wells per one experiment from three separate experiments [10].
4. Conclusions
Five new 7α-hydroxyeunicellin-based diterpenoids, cladieunicellins M–Q (1–5), were isolated from the soft coral Cladiella sp. The eunicellins 1, 3 and 5 are found to show moderate cytotoxicity against the Molt 4 human acute lymphoblastic leukemia. The soft coral Cladiella sp. will be transplanted to culturing tanks located in the National Museum of Marine Biology and Aquarium, Taiwan, for extraction of additional natural products to establish a stable supply of bioactive material.
Acknowledgments
This research was supported by grants from the National Dong Hwa University; the National Museum of Marine Biology and Aquarium; the Division of Marine Biotechnology, Asia-Pacific Ocean Research Center, National Sun Yat-sen University; and the National Science Council (Grant No. NSC 102-2325-B-291-001 and 101-2320-B-291-001-MY3), Taiwan, awarded to Y.-C.W. and P.-J.S.
Author Contributions
Yang-Chang Wu and Ping-Jyun Sung designed the whole experiment and contributed to manuscript preparation. Tsung-Hung Chen and Wu-Fu Chen researched data and wrote the manuscript. Mei-Chin Lu, Wei-Hsien Wang and Jan-Jung Li analyzed the data and performed data acquisition.
Conflicts of Interest
The authors declare no conflict of interest.
References
- Chen, T.-H.; Lu, M.-C.; Chang, Y.-C.; Su, Y.-D.; Chen, Y.-H.; Lin, N.-C.; Fang, L.-S.; Wu, Y.-C.; Sung, P.-J. Discovery of new eunicellin-based diterpenoids from a Formosan soft coral Cladiella sp. Mar. Drugs 2013, 11, 4585–4593. [Google Scholar] [CrossRef]
- Shih, F.-Y.; Chen, T.-H.; Lu, M.-C.; Chen, W.-F.; Wen, Z.-H.; Kuo, Y.-H.; Sung, P.-J. Cladieunicellins K and L, new eunicellin-based diterpenoids from an octocoral Cladiella sp. Int. J. Mol. Sci. 2013, 14, 21781–21789. [Google Scholar]
- Chen, T.-H.; Cheng, C.-H.; Chen, Y.-H.; Lu, M.-C.; Fang, L.-S.; Chen, W.-F.; Wen, Z.-H.; Wang, W.-H.; Wu, Y.-C.; Sung, P.-J. Cladieunicellin J, a new hydroperoxyeunicellin from Cladiella sp. Nat. Prod. Commun. 2014, 9. in press. [Google Scholar]
- Radhika, P. Chemical constituents and biological activities of the soft corals of genus Cladiella: A review. Biochem. Syst. Ecol. 2006, 34, 781–789. [Google Scholar] [CrossRef]
- Tai, C.-J.; Su, J.-H.; Huang, M.-S.; Wen, Z.-H.; Dai, C.-F.; Sheu, J.-H. Bioactive eunicellin-based diterpenoids from the soft coral Cladiella krempfi. Mar. Drugs 2011, 9, 2036–2045. [Google Scholar] [CrossRef]
- Lee, Y.-N.; Tai, C.-J.; Hwang, T.-L.; Sheu, J.-H. Krempfielins J–M, new eunicellin-based diterpenoids from the soft coral Cladiella krempfi. Mar. Drugs 2013, 11, 2741–2750. [Google Scholar] [CrossRef]
- Ochi, M.; Yamada, K.; Kataoka, K.; Kotsuki, H.; Shibata, K. Litophynins I and J, two new biologically active diterpenoids from the soft coral Litophyton sp. Chem. Lett. 1992, 1992, 155–158. [Google Scholar]
- Friedrich, D.; Paquette, L.A. Structural and stereochemical reassessment of sclerophytin-type diterpenes. J. Nat. Prod. 2002, 65, 126–130. [Google Scholar] [CrossRef]
- Fabricius, K.; Alderslade, P. Soft Corals and Sea Fans–A Comprehensive Guide to the Tropical Shallow-Water Genera of the Central-West Pacific, the Indian Ocean and the Red Sea, 1st ed.; Australian Institute of Marine Science: Queensland, Australia, 2001; pp. 84–85. [Google Scholar]
- Su, J.-H.; Chen, Y.-C.; El-Shazly, M.; Du, Y.-C.; Su, C.-W.; Tsao, C.-W.; Liu, L.-L.; Chou, Y.; Chang, W.-B.; Su, Y.-D.; et al. Towards the small and the beautiful: A small dibromotyrosine derivative from Pseudoceratina sp. sponge exhibits potent apoptotic effect through targeting IKK/NFκB signaling pathway. Mar. Drugs 2013, 11, 3168–3185. [Google Scholar] [CrossRef]
© 2014 by the authors; licensee MDPI, Basel, Switzerland. This article is an open access article distributed under the terms and conditions of the Creative Commons Attribution license (http://creativecommons.org/licenses/by/3.0/).