Expanding the Repertoire of Spongian-16-One Derivatives in Australian Nudibranchs of the Genus Goniobranchus and Evaluation of Their Anatomical Distribution
Abstract
:1. Introduction
2. Results and Discussions
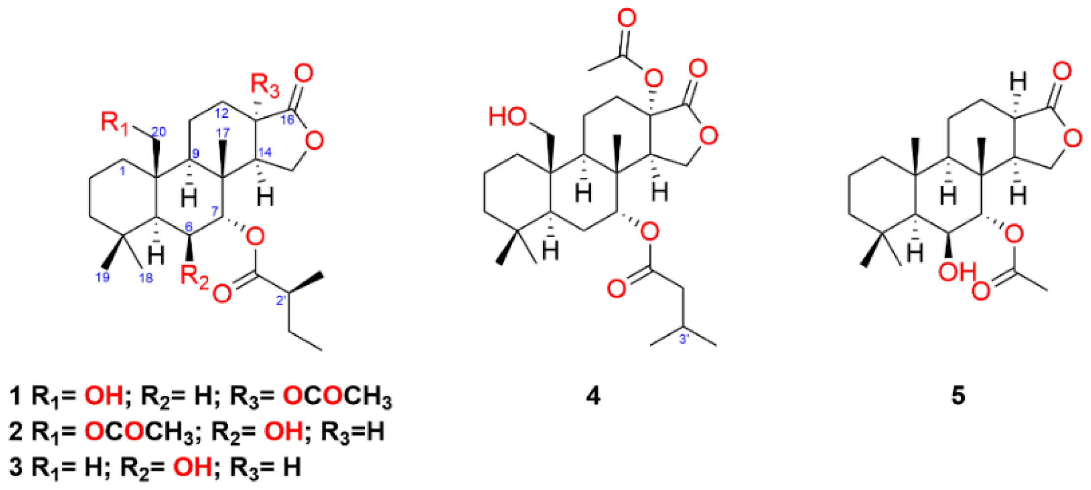
2.1. Diterpenes from Goniobranchus aureopurpureus
2.2. Diterpenes from Goniobranchus sp. 1
2.3. Anatomical Distribution of Metabolites
3. Conclusions
4. Materials and Methods
4.1. General Experimental Procedure
4.2. Biological Material
4.3. Extraction and Purification
4.4. X-ray Crystallographic Structure Determination
Supplementary Materials
Author Contributions
Funding
Institutional Review Board Statement
Data Availability Statement
Acknowledgments
Conflicts of Interest
References
- Gonzalez, M.A. Spongiane diterpenoids. Curr. Bioact. Compd. 2007, 3, 1–36. [Google Scholar] [CrossRef]
- Keyzers, R.A.; Northcote, P.T.; Davies-Coleman, M.T. Spongian diterpenoids from marine sponges. Nat. Prod. Rep. 2006, 23, 321–334. [Google Scholar] [CrossRef] [PubMed]
- Cimino, G.; De Rosa, D.; De Stefano, S.; Minale, L. Isoagatholactone, a diterpene of a new structural type from the sponge Spongia officinalis. Tetrahedron 1974, 30, 645–649. [Google Scholar] [CrossRef]
- Kernan, M.R.; Cambie, R.C.; Bergquist, P.R. Chemistry of Sponges, IX. New diterpenes from the marine sponge Dictyodendrilla cavernosa. J. Nat. Prod. 1990, 53, 724–727. [Google Scholar] [CrossRef]
- Hambley, T.W.; Poiner, A.; Taylor, W.C. The constituents of marine sponges. V. The isolation from Chelonaplysilla violacea (Dendroceratida) of aplyviolene and other diterpenes, and the determination of the crystal structure of aplyviolene. Aust. J. Chem. 1990, 43, 1861–1870. [Google Scholar] [CrossRef]
- Miyamoto, T.; Sakamoto, K.; Arao, K.; Komori, T.; Higuchi, R.; Sasaki, T. Dorisenones, cytotoxic spongian diterpenoids, from the nudibranch Chromodoris obsoleta. Tetrahedron 1996, 52, 8187–8198. [Google Scholar] [CrossRef]
- Forster, L.C.; Winters, A.E.; Cheney, K.L.; Dewapriya, P.; Capon, R.J.; Garson, M.J. Spongian-16-one diterpenes and their anatomical distribution in the Australian nudibranch Goniobranchus collingwoodi. J. Nat. Prod. 2017, 80, 670–675. [Google Scholar] [CrossRef]
- Forster, L.C.; Pierens, G.K.; Clegg, J.K.; Garson, M.J. Dynamic NMR and computational studies inform the conformational description of dendrillane terpenes from the nudibranch Goniobranchus coi. J. Nat. Prod. 2020, 83, 714–719. [Google Scholar] [CrossRef]
- Forster, L.C.; Pierens, G.K.; Garson, M.J. Elucidation of relative and absolute configurations of highly rearranged diterpenoids and evidence for a putative biosynthetic intermediate from the Australian nudibranch Goniobranchus geometricus. J. Nat. Prod. 2019, 82, 449–455. [Google Scholar] [CrossRef]
- Winters, A.E.; White, A.M.; Cheney, K.L.; Garson, M.J. Geographic variation in diterpene-based secondary metabolites and level of defence in an aposematic nudibranch, Goniobranchus splendidus. J. Mollusc. Stud. 2019, 85, 133–142. [Google Scholar] [CrossRef]
- Dewi, A.S.; Pierens, G.K.; Cheney, K.L.; Blanchfield, J.T.; Garson, M.J. Chromolactol, an oxygenated diterpene from the Indo-Pacific nudibranch Goniobranchus coi: Spectroscopic and computational studies. Aust. J. Chem. 2018, 71, 798–803. [Google Scholar] [CrossRef]
- Winters, A.E.; Wilson, N.G.; van den Berg, C.P.; How, M.J.; Endler, J.A.; Marshall, N.J.; White, A.M.; Garson, M.J.; Cheney, K.L. Toxicity and taste: Unequal chemical defences in a mimicry ring. Proc. Roy. Soc. B Biol. Sci. 2018, 285, 20180457. [Google Scholar] [CrossRef]
- Forster, L.C.; White, A.M.; Cheney, K.L.; Garson, M.J. Oxygenated terpenes from the Indo-Pacific nudibranchs Goniobranchus splendidus and Goniobranchus collingwoodi. Nat. Prod. Commun. 2018, 13, 299–302. [Google Scholar] [CrossRef] [Green Version]
- Winters, A.E.; Green, N.F.; Wilson, N.G.; How, M.J.; Garson, M.J.; Marshall, N.J.; Cheney, K.L. Stabilizing selection on individual pattern elements of aposematic signals. Proc. Roy. Soc. B Biol. Sci. 2017, 284, 20170926. [Google Scholar] [CrossRef] [PubMed] [Green Version]
- Forster, L.C.; Pierens, G.K.; White, A.M.; Cheney, K.L.; Dewapriya, P.; Capon, R.J.; Garson, M.J. Cytotoxic spiroepoxide lactone and its putative biosynthetic precursor from Goniobranchus Splendidus. ACS Omega 2017, 2, 2672–2677. [Google Scholar] [CrossRef] [PubMed] [Green Version]
- White, A.M.; Pierens, G.K.; Forster, L.C.; Winters, A.E.; Cheney, K.L.; Garson, M.J. Rearranged diterpenes and norditerpenes from three Australian Goniobranchus mollusks. J. Nat. Prod. 2016, 79, 477–483. [Google Scholar] [CrossRef] [PubMed]
- White, A.M.; Dewi, A.S.; Cheney, K.L.; Winters, A.E.; Blanchfield, J.T.; Garson, M.J. Oxygenated diterpenes from the Indo-Pacific nudibranchs Goniobranchus splendidus and Ardeadoris egretta. Nat. Prod. Commun. 2016, 11. [Google Scholar] [CrossRef] [Green Version]
- Hirayama, Y.; Katavic, P.L.; White, A.M.; Pierens, G.K.; Lambert, L.K.; Winters, A.E.; Kigoshi, H.; Kita, M.; Garson, M.J. New cytotoxic norditerpenes from the Australian nudibranchs Goniobranchus Splendidus and Goniobranchus Daphne. Aust. J. Chem. 2016, 69, 136–144. [Google Scholar] [CrossRef]
- Mudianta, I.W.; White, A.M.; Garson, M.J. Oxygenated terpenes from Indo-Pacific nudibranchs: Scalarane sesterterpenes from Glossodoris hikuerensis and 12-acetoxy dendrillolide A from Goniobranchus albonares. Nat. Prod. Commun. 2015, 10, 865–868. [Google Scholar] [CrossRef] [PubMed] [Green Version]
- Cobb, G.T.; Willan, R.C. Undersea Jewels: A Colour Guide to Nudibranchs; Australian Govt. Dept. of the Environment and Heritage: Canberra, Australia, 2006.
- Johnson, R.F.; Gosliner, T.M. Traditional taxonomic groupings mask evolutionary history: A molecular phylogeny and new classification of the chromodorid nudibranchs. PLoS ONE 2012, 7, e33479. [Google Scholar] [CrossRef] [Green Version]
- Molinski, T.F.; Faulkner, D.J.; He, C.H.; Van Duyne, G.D.; Clardy, J. Three new rearranged spongian diterpenes from Chromodoris macfarlandi: Reappraisal of the structures of dendrillolides A and B. J. Org. Chem. 1986, 51, 4564–4567. [Google Scholar] [CrossRef]
- Hambley, T.W.; Poiner, A.; Taylor, W.C. Diterpene metabolites of the marine sponge Chelonaplysilla violacea: Aplyviolene and aplyviolacene. Tetrahedron Lett. 1986, 27, 3281–3282. [Google Scholar] [CrossRef]
- Bobzin, S.C.; Faulkner, D.J. Diterpenes from the marine sponge Aplysilla polyrhaphis and the dorid nudibranch Chromodoris norrisi. J. Org. Chem. 1989, 54, 3902–3907. [Google Scholar] [CrossRef]
- Carmely, S.; Cojocaru, M.; Loya, Y.; Kashman, Y. Ten new rearranged spongian diterpenes from two Dysidea species. J. Org. Chem. 1988, 53, 4801–4807. [Google Scholar] [CrossRef]
- Uddin, M.H.; Hossain, M.K.; Nigar, M.; Roy, M.C.; Tanaka, J. New cytotoxic spongian-class rearranged diterpenes from a marine sponge. Chem. Nat. Comp. 2012, 48, 412–415. [Google Scholar] [CrossRef]
- Butler, M.S.; Capon, R.J. The luffarins (A-Z), novel terpenes from an Australian marine sponge, Luffariella geometrica. Aust. J. Chem. 1992, 45, 1705–1743. [Google Scholar] [CrossRef]
- Karuso, P.; Taylor, W.C. The constituents of marine sponges. II. The isolation from Aplysilla rosea (dendroceratida) of (5R*, 7S*, 8R*, 9S*, 10R*, 13S*, 14S*, 15S*)-15, 17-epoxy-17-hydroxy-16-oxospongian-7-yl butyrate (aplyroseol-1) and related diterpenes (aplyroseol-2 to aplyroseol-6). Aust. J. Chem. 1986, 39, 1629–1641. [Google Scholar]
- Bobzin, S.C.; Faulkner, D.J. Novel rearranged spongian diterpenes from the Palauan sponge Dendrilla sp.: Reassessment of the structures of dendrillolide A and dendrillolide B. J. Org. Chem. 1989, 54, 5727–5731. [Google Scholar] [CrossRef]
- Katavic, P.L.; Jumaryatno, P.; Hooper, J.N.A.; Blanchfield, J.T.; Garson, M.J. Oxygenated terpenoids from the Australian sponges Coscinoderma matthewsi and Dysidea sp. and the nudibranch Chromodoris albopunctata. Aust. J. Chem. 2012, 65, 531–538. [Google Scholar] [CrossRef]
- Rettinger, K.; Karl, V.; Schmarr, H.G.; Dettmar, F.; Hener, U.; Mosandl, A. Chirospecific analysis of 2-alkyl-branched alcohols, acids, and esters: Chirality evaluation of 2-methylbutanoates from apples and pineapples. Phytochem. Anal. 1991, 2, 184–188. [Google Scholar] [CrossRef]
- Farrugia, L. ORTEP-3 for Windows—A version of ORTEP-III with a graphical user interface (GUI). J. Appl. Cryst. 1997, 30 Pt 1, 565. [Google Scholar] [CrossRef]
- Suciati; Lambert, L.K.; Garson, M.J. Structures and anatomical distribution of oxygenated diterpenes in the Australian nudibranch Chromodoris reticulata. Aust. J. Chem. 2011, 64, 757–765. [Google Scholar] [CrossRef]
- Schroeder, F.C.; Gronquist, M. Extending the scope of NMR spectroscopy with microcoil probes. Angew. Chem. Int. Ed. 2006, 45, 7122–7131. [Google Scholar] [CrossRef] [PubMed]
- Winters, A.E.; White, A.M.; Dewi, A.S.; Mudianta, I.W.; Wilson, N.G.; Forster, L.C.; Garson, M.J.; Cheney, K.L. Distribution of defensive metabolites in nudibranch molluscs. J. Chem. Ecol. 2018, 44, 384–396. [Google Scholar] [CrossRef] [PubMed]



| Position | δH, mult., J (Hz) | ||||
|---|---|---|---|---|---|
| 1 b | 2 c | 3 c,e | 4 c | 5 b | |
| 1 eq 1ax | 2.22, br d (12.5) 0.89, m | 2.34, m 0.78, m | 1.75, m 0.86, m | 2.22, m 0.89, m | 1.74, m 0.86, m |
| 2 eq 2ax | 1.60, m 1.51, m | 1.61, m 1.46, m | 1.73, m 1.46, m | 1.61, m 1.51, m | 1.71, m 1.46, m |
| 3eq 3ax | 1.49, m 1.23, m | 1.45, m 1.24, m | 1.39, m 1.19, m | 1.48, m 1.24, m | 1.39, m 1.20, m |
| 4 | - | - | - | - | - |
| 5 | 1.45, m | 1.38, br s | 1.16, | 1.50, m | 1.16, d (2.0) |
| 6eq 6ax | 1.81, m 1.63, m | 4.17, br s - | 4.18, br s - | 1.81, m 1.63, m | 4.19, br s - |
| 7eq 7ax | 4.85, t (2.8) - | 4.87, d (3.2) - | 4.84, d (2.6) - | 4.86, t (2.6) - | 4.84, d (3.1) - |
| 8 | - | - | - | - | - |
| 9 | 1.49, m | 1.14, m | 1.05, m | 1.44, m | 1.05, dd(2.2, 12.5) |
| 10 | - | - | - | - | - |
| 11eq 11ax | 1.92, m 1.89, m | 1.80, m 1.58, m | 1.58, m 1.47, m | 1.88, m 1.88, m | 1.57, m 1.45, m |
| 12eq 12ax | 2.28, dt(13.9, 5.8) 2.02, m | 2.31, m 1.55, m | 2.32, m 1.60, m | 2.32, dt(14.1, 5.6) 1.99, m | 2.32, m 1.60, m |
| 13 | - | 2.57, t (7.9) | 2.57, t (7.8) | - | 2.60, t (8.2) |
| 14 | 2.92, dd (1.5, 6.5) | 2.49, m | 2.44, dd (5.6, 7.8) | 2.91, dd (1.2, 6.3) | 2.43, dd (5.6, 8.2) |
| 15eq 15ax | 4.22, dd (6.5, 9.9) 4.20, dd(1.5, 9.9) | 4.25, d (10.2) 3.94, dd (5.5, 10.2) | 4.27, d (10.1) 3.95, dd (5.6, 10.1) | 4.25, dd (6.3, 9.9) 4.20, dd (1.2, 9.9) | 4.26, d (10.2) 3.98, dd (5.6, 10.2) |
| 16 | - | - | - | - | - |
| 17 | 1.10, s | 1.27, s | 1.22, s | 1.09, s | 1.21, s |
| 18eq | 0.81, s | 0.90, s | 0.90, s | 0.81, s | 0.90, s |
| 19ax | 0.81, s | 1.18, s | 1.19, s | 0.80, s | 1.19, s |
| 20a 20b | 4.05, d (11.8) 3.92, d (11.8) | 4.79, m 4.73, m | 1.19, s | 4.04, d (11.8) 3.91, d (11.8) | 1.19, s |
| 6-OH | - | d | d | - | d |
| 7-CO2CH3 | - | - | - | - | 2.09, s |
| 7-CO2CH2CH(CH3)2 | - | - | - | 2.22, m 2.22, m | - |
| 7-CO2CH2CH(CH3)2 | - | - | - | 2.11, m | - |
| 7-CO2CH2CH(CH3)2 | - | - | - | 0.95, d (6.6) 0.96, d (6.6) | - |
| 7-CO2CHCH3CH2CH3 | 2.40, m (7.1) | 2.41, q (6.9) | 2.45, m | - | - |
| 7-CO2CHCH3CH2CH3 | 1.15, d (6.9) | 1.15, d (6.9) | 1.15, d (7.2) | - | - |
| 7-CO2CHCH3CH2CH3 | 1.68, dt (13.6, 7.4) 1.48, m | 1.68, dt (13.6, 7.4) 1.50, m | 1.68, m 1.49, m | - | - |
| 7-CO2CHCH3CH2CH3 | 0.89, t (7.4) | 0.91, t (7.4) | 0.90, t (7.2) | - | - |
| 13- CO2CH3 | 2.04, s | - | - | 2.04, s | - |
| 20-CO2CH3 | - | 2.03, s | - | - | - |
| 20-OH | d | - | - | d | - |
| Position | δC, mult. | ||||
|---|---|---|---|---|---|
| 1 b | 2 c | 3 c,d | 4 c | 5 b | |
| 1 | 34.6, CH2 | 36.6, CH2 | 42.4, CH2 | 34.9, CH2 | 42.4, CH2 |
| 2 | 18.7, CH2 | 18.6, CH2 | 18.7, CH2 | 18.8, CH2 | 18.7, CH2 |
| 3 | 41.7, CH2 | 43.4, CH2 | 44.1, CH2 | 41.7, CH2 | 43.9, CH2 |
| 4 | 32.2, C | 33.5, C | 33.7, C | 32.3, C | 33.2, C |
| 5 | 48.1, CH | 51.8, CH | 51.3, CH | 47.9, CH | 51.2, CH |
| 6 | 23.1, CH2 | 69.6, CH | 70.6, CH | 23.1, CH2 | 70.5, CH |
| 7 | 73.4, CH | 75.2, CH | 75.7, CH | 73.6, CH | 76.1, CH |
| 8 | 39.5, C | 37.9, C | 37.7, C | 39.3, C | 37.7, C |
| 9 | 50.1, CH | 52.4, CH | 51.9, CH | 50.3, CH | 51.8, CH |
| 10 | 39.5, C | 40.8, C | 36.8, C | 41.5, C | 36.7, C |
| 11 | 18.7, CH2 | 19.1, CH2 | 17.4, CH2 | 18.8, CH2 | 17.4, CH2 |
| 12 | 27.3, CH2 | 22.5, CH2 | 21.8, CH2 | 27.5, CH2 | 22.0, CH2 |
| 13 | 81.1, C | 36.9, CH | 37.0, CH | 81.0, CH | 37.0, CH |
| 14 | 45.9, CH | 41.9, CH | 41.6, CH | 45.9, CH | 41.9, CH |
| 15 | 66.9, CH2 | 67.1, CH2 | 67.2, CH2 | 66.9, CH2 | 67.4, CH2 |
| 16 | 174.0, C | 178.5, C | 178.9, C | 173.7, C | 178.9, C |
| 17 | 16.1, CH3 | 15.1, CH3 | 15.0, CH3 | 15.9, CH3 | 14.9, CH3 |
| 18eq | 33.4, CH3 | 33.8, CH3 | 33.2, CH3 | 33.6, CH3 | 33.4, CH3 |
| 19ax | 21.8, CH3 | 24.6, CH3 | 24.3, CH3 | 21.9, CH3 | 24.5, CH3 |
| 20 | 62.1, CH2 | 64.1, CH2 | 17.6, CH3 | 62.1, CH2 | 18.0, CH3 |
| - | - | ||||
| 7-CO2CH3 | - | - | - | - | 169.7, C |
| 7-CO2CH3 | - | - | - | 21.4, CH3 | |
| 7-CO2CH2CH(CH3)2 | - | - | - | 171.9, C | - |
| 7-CO2CH2CH(CH3)2 | - | - | - | 44.0, CH2 | - |
| 7-CO2CH2CH(CH3)2 | - | - | - | 25.7, CH | |
| 7-CO2CH2CH(CH3)2 | - | - | - | 22.5, CH3 22.5, CH3 | - |
| 7-CO2CHCH3CH2CH3 | 175.4, C | 174.9, C | 175.3, C | - | - |
| 7-CO2CHCH3CH2CH3 | 41.8, CH | 41.2, CH | 41.6, CH | - | - |
| 7-CO2CHCH3CH2CH3 | 16.9, CH3 | 16.9, CH3 | 16.9, CH3 | - | - |
| 7-CO2CHCH3CH2CH3 | 26.8, CH2 | 26.8, CH2 | 26.9, CH2 | - | - |
| 7-CO2CHCH3CH2CH3 | 11.8, CH3 | 11.8, CH3 | 11.7, CH3 | - | - |
| 13-CO2CH3 | 169.7, C | - | - | 169.6, C | - |
| 13-CO2CH3 | 21.5, CH3 | - | - | 21.6, CH3 | - |
| 20-CO2CH3 | - | 170.6, C | - | - | - |
| 20-CO2CH3 | - | 21.2, CH3 | - | - | - |
| Position | δH, mult., J (Hz) | |||||
|---|---|---|---|---|---|---|
| 6 c | 7 c | 8 b | 9 b | 10 c | 11 c | |
| 1 eq 1ax | 2.03, m 0.62, m | 2.12, m 0.80, m | 1.68, br d (12.8) 0.83, m | 2.07, br d (13.2) 0.79, td (13.2, 2.3) | 2.03, br d (13.4) 0.75, m | 2.02, br d (13.6) 1.15, m |
| 2 eq 2ax | 1.54, m 1.43, m | 1.56, m 1.45, m | 1.61, m 1.42, m | 1.57, m 1.46, m | 1.61, m 1.47, m | 1.62, m 1.50, m |
| 3eq 3ax | 1.45, m 1.16, m | 1.45, m 1.17, m | 1.38, m 1.15, td (13.2, 3.7) | 1.45, m 1.19, m | 1.45, m 1.16, m | 1.45, br d (12.9) 1.18, m |
| 4 | - | - | - | - | - | - |
| 5 | 1.03, m | 1.01, dd (12.4, 2.1) | 0.89, m | 1.08, dd (12.3, 1.7) | 1.05, dd (12.7, 2.4) | 1.11, m |
| 6eq 6ax | 1.57, m 1.40, m | 1.56, m 1.38, m | 1.55, m 1.35, m | 1.58, m 1.39, m | 1.66, m 1.45, m | 1.63, m 1.49, m |
| 7eq 7ax | 1.92, m 1.16, m | 1.88, m 1.16, m | 1.82, dt (12.8, 3.3) 1.09, dt (12.8, 3.5) | 1.91, dt (12.8, 3.3) 1.17, m | 1.76, dt (12.6, 3.1) 1.06, m | 1.76, dt (12.6, 3.2) 1.06, td (12.6, 3.7) |
| 8 | - | - | - | - | - | - |
| 9 | 1.33, m | 1.04, m | 1.32, dd (9.1, 6.3) | 1.51, m | 1.35, d (2.9) | 1.34, d (3.0) |
| 10 | - | - | - | - | - | - |
| 11eq 11ax | 2.00, m 1.80, dd (13.2, 3.4) | 1.88, m 1.49, m | 1.63, m 1.63, m | 1.87, m 1.85, m | 5.95, t (3.4) - | 4.46, t (3.0) - |
| 12eq 12ax | 5.44, br s - | 2.63, m 1.62, m | 4.52, br s - | 4.49, br s - | 4.36, m - | 5.54, dd (9.2, 3.0) - |
| 13 | 2.67, dt (8.0, 1.5) | - | 2.66, d (8.0) | 2.65, d (7.9) | 2.84, dd (10.9, 9.4) | 3.00, dd (10.6, 9.2) |
| 14 | 2.29, dd (8.0, 5.2) | 1.94, dd (7.8, 5.6) | 2.33, dd (8.0, 5.4) | 2.37, dd (7.9, 5.4) | 2.44, m | 2.44, m |
| 15eq 15ax | 4.26, d (9.9) 4.12, m | 4.42, dd (9.4, 5.6) 4.13, dd (9.4, 7.8) | 4.23, d (9.7) 4.11, dd (9.7, 5.4) | 4.26, d (9.9) 4.13, dd (9.9, 5.4) | 4.33, m 4.33, m | 4.28, m 4.28, m |
| 16 | - | - | - | - | - | - |
| 17 | 0.90, s | 0.88, s | 0.82, s | 0.89, s | 0.95, s | 0.94, s |
| 18eq | 0.89, s | 0.89, s | 0.86, s | 0.90, s | 0.87, s | 0.87, s |
| 19ax | 0.83, s | 0.83, s | 0.81, s | 0.85, s | 0.81, s | 0.82, s |
| 20a 20b | 4.56, d (12.4) 4.13, m | 4.55, d (13.1) 4.14, d (13.1) | 0.82, s | 4.59, d (12.1) 4.17, d (12.1) | 4.74, d (12.0) 3.96, dd (12.0, 1.9) | 4.61, d (12.2) 4.02, dd (12.2, 1.8) |
| 11-OH | - | - | - | - | - | 2.08, br s |
| 11-CO2CH2CH3 | - | - | - | - | 2.34, m 2.34, m | - |
| 11-CO2CH2CH3 | - | - | - | - | 1.15, t (7.7) | - |
| 12-OH | - | - | d | d | 2.79, br s | - |
| 12-OCOCH3 | - | - | - | - | - | - |
| 12-CO2CH2CH3 | 2.33, q (7.6) 2.33, q (7.6) | - | - | - | - | 2.46, m 2.40, m |
| 12-CO2CH2CH3 | 1.16, t (7.7) | - | - | - | - | 1.18, t (7.6) |
| 13-OH | - | d | - | - | - | - |
| 20-OCOCH3 | 2.03, s | 2.02, s | - | - | - | - |
| 20-CO2CH2CH3 | - | - | - | 2.31, q (7.7) 2.31, q (7.7) | 2.46, m 2.46, m | 2.50, m 2.45, m |
| 20-CO2CH2CH3 | - | - | - | 1.13, t (7.7) | 1.18, t (7.7) | 1.12, t (7.5) |
| Position | δC, mult. | |||||
|---|---|---|---|---|---|---|
| 6 c | 7 c | 8 b | 9 b | 10 c | 11 c | |
| 1 | 35.1, CH2 | 35.4, CH2 | 39.9, CH2 | 35.1, CH2 | 33.8, CH2 | 33.8, CH2 |
| 2 | 18.3, CH2 | 18.5, CH2 | 18.5, CH2 | 18.4, CH2 | 18.2, CH2 | 18.2, CH2 |
| 3 | 41.5, CH2 | 41.6, CH2 | 42.1, CH2 | 41.7, CH2 | 41.3, CH2 | 41.5, CH2 |
| 4 | 32.8, C | 33.0, C | 33.1, C | 33.1, C | 33.0, C | 32.9, C |
| 5 | 57.1, CH | 57.0, CH | 56.8, CH | 56.9, CH | 58.0, CH | 58.2, CH |
| 6 | 17.8, CH2 | 17.9, CH2 | 18.1, CH2 | 17.9, CH2 | 17.6, CH2 | 18.1, CH2 |
| 7 | 42.2, CH2 | 42.8, CH2 | 42.0, CH2 | 42.2, CH2 | 42.1, CH2 | 41.9, CH2 |
| 8 | 35.6, C | 36.3, C | 35.5, C | 36.0, C | 35.1, C | 33.2, C |
| 9 | 50.0, CH | 56.7, CH | 48.8, CH | 49.0, CH | 62.6, CH | 64.2, CH |
| 10 | 39.8, C | 40.4, C | 36.1, C | 40.2, C | 41.2, C | 40.7, C |
| 11 | 25.6, CH2 | 19.4, CH2 | 27.1, CH2 | 29.2, CH2 | 70.4, CH | 67.7, CH |
| 12 | 67.9, CH | 28.1, CH2 | 65.1, CH | 64.9, CH | 66.4, CH | 69.5, CH |
| 13 | 43.1, CH | 83.7, C | 45.5, CH | 45.6, CH | 41.6, CH | 38.7, CH |
| 14 | 49.1, CH | 54.5, CH | 48.3, CH | 48.6, CH | 47.6, CH | 47.7, CH |
| 15 | 67.7, CH2 | 67.1, CH2 | 67.9, CH2 | 68.0, CH2 | 67.7, CH2 | 66.9, CH2 |
| 16 | 174.9, C | 173.6, C | 176.3, C | 176.4, C | 180.3, C | 178.2, C |
| 17 | 15.3, CH3 | 15.5, CH3 | 15.4, CH3 | 15.2, CH3 | 17.7, CH3 | 17.6, CH3 |
| 18eq | 33.9, CH3 | 33.9, CH3 | 33.5, CH3 | 33.9, CH3 | 33.6, CH3 | 33.6, CH3 |
| 19ax | 22.1, CH3 | 22.0, CH3 | 21.6, CH3 | 21.9, CH3 | 21.9, CH3 | 21.7, CH3 |
| 20 | 64.3, CH2 | 64.3, CH2 | 16.5, CH3 | 64.5, CH2 | 64.4, CH2 | 64.7, CH2 |
| 11-CO2CH2CH3 | - | - | - | - | 173.6, C | - |
| 11-CO2CH2CH3 | - | - | - | - | 27.9, CH2 | - |
| 11-CO2CH2CH3 | - | - | - | - | 9.2, CH3 | - |
| 12-CO2CH2CH3 | 173.0, C | - | - | 174.5, C | - | 172.6, C |
| 12-CO2CH2CH3 | 28.0, CH2 | - | - | 27.9, CH2 | - | 27.7, CH2 |
| 12-CO2CH2CH3 | 9.4, CH3 | - | - | 9.3, CH3 | - | 9.1, CH3 |
| 20-CO2CH3 | 170.8, C | 170.8, C | - | - | - | - |
| 20-CO2CH3 | 21.2, CH3 | 21.2, CH3 | - | - | - | - |
| 20-CO2CH2CH3 | - | - | - | - | 174.2, C | 175.5, C |
| 20-CO2CH2CH3 | - | - | - | - | 27.6, CH2 | 27.4, CH2 |
| 20-CO2CH2CH3 | - | - | - | - | 9.0, CH3 | 9.4, CH3 |
Publisher’s Note: MDPI stays neutral with regard to jurisdictional claims in published maps and institutional affiliations. |
© 2021 by the authors. Licensee MDPI, Basel, Switzerland. This article is an open access article distributed under the terms and conditions of the Creative Commons Attribution (CC BY) license (https://creativecommons.org/licenses/by/4.0/).
Share and Cite
Forster, L.C.; Clegg, J.K.; Cheney, K.L.; Garson, M.J. Expanding the Repertoire of Spongian-16-One Derivatives in Australian Nudibranchs of the Genus Goniobranchus and Evaluation of Their Anatomical Distribution. Mar. Drugs 2021, 19, 680. https://doi.org/10.3390/md19120680
Forster LC, Clegg JK, Cheney KL, Garson MJ. Expanding the Repertoire of Spongian-16-One Derivatives in Australian Nudibranchs of the Genus Goniobranchus and Evaluation of Their Anatomical Distribution. Marine Drugs. 2021; 19(12):680. https://doi.org/10.3390/md19120680
Chicago/Turabian StyleForster, Louise C., Jack K. Clegg, Karen L. Cheney, and Mary J. Garson. 2021. "Expanding the Repertoire of Spongian-16-One Derivatives in Australian Nudibranchs of the Genus Goniobranchus and Evaluation of Their Anatomical Distribution" Marine Drugs 19, no. 12: 680. https://doi.org/10.3390/md19120680
APA StyleForster, L. C., Clegg, J. K., Cheney, K. L., & Garson, M. J. (2021). Expanding the Repertoire of Spongian-16-One Derivatives in Australian Nudibranchs of the Genus Goniobranchus and Evaluation of Their Anatomical Distribution. Marine Drugs, 19(12), 680. https://doi.org/10.3390/md19120680

