Abstract
Sea cucumbers are a class of marine invertebrates and a source of food and drug. Numerous microorganisms are associated with sea cucumbers. Seventy-eight genera of bacteria belonging to 47 families in four phyla, and 29 genera of fungi belonging to 24 families in the phylum Ascomycota have been cultured from sea cucumbers. Sea-cucumber-associated microorganisms produce diverse secondary metabolites with various biological activities, including cytotoxic, antimicrobial, enzyme-inhibiting, and antiangiogenic activities. In this review, we present the current list of the 145 natural products from microorganisms associated with sea cucumbers, which include primarily polyketides, as well as alkaloids and terpenoids. These results indicate the potential of the microorganisms associated with sea cucumbers as sources of bioactive natural products.
1. Introduction
Sea cucumbers are marine invertebrates that belong to the class Holothuroidea of the phylum Echinodermata. Globally, there are about 1500 species of sea cucumbers [1], which are divided into three subclasses: Aspidochirotacea, Apodacea, and Dendrochirotacea, and can be further divided into six orders: Aspidochirotida, Elasipodida, Apodida, Molpadida, Dendrochirotida, and Dactylochirotida [2].
Sea cucumbers are found in benthic areas and the deep sea worldwide [3]. They play an important role in marine ecosystems and occupy a similar niche to earthworms in terrestrial ecosystems [4]. Sea cucumbers obtain food by ingesting marine sediments or filtering seawater [5] and provide a unique, fertile habitat for a variety of microorganisms, including bacteria and fungi [6]. However, since most microorganisms are unculturable under conventional laboratory conditions [7], this review primarily focuses on culturable sea-cucumber-associated microorganisms.
Sea cucumbers have been used in medicine in Asia for a long time [8]. For example, an ointment derived from the sea cucumber Stichopus sp. 1 is used to treat back and joint pain in Malaysia [9]. Compounds isolated from sea cucumbers have a variety of biological and pharmacological activities, such as anticancer, antiangiogenic, anticoagulant/antithrombotic, antioxidant, antiinflammatory, antimicrobial, antihypertension, and radioprotective properties [10,11]. A phase II clinical trial of a sea cucumber extract, called TBL-12, has been conducted in patients with untreated asymptomatic myeloma [12]. Many studies have shown that the microorganisms associated with marine animals, such as sponges and ascidians, are the true producers of marine natural products [13,14,15,16]. Therefore, investigating sea-cucumber-associated microorganisms is essential for discovering new compounds with potential as novel active drugs. For the past 20 years, there has been an increasing effort made by researchers on diversity and bioactive compounds of microorganisms associated with sea cucumber. However, previously, no comprehensive review article as such has ever been published about this field.
This review discusses the biodiversity of the culturable microorganisms associated with sea cucumbers and the chemical structure and bioactive properties of the secondary metabolites produced by these microorganisms.
2. Microorganisms Associated with Sea Cucumbers
2.1. Geographical Distribution of Microorganisms Associated with Sea Cucumbers
Although sea cucumbers are distributed in oceans worldwide [3], most studies on the biological and chemical diversity of sea-cucumber-associated microorganisms have focused on species in the northern temperate areas and tropical areas of the eastern hemisphere [17,18,19,20,21,22,23,24,25,26]. More than 80% of the sampling sites are located on the west coast of the Pacific Ocean. However, a small number of sampling sites are also located in the Atlantic, Indian, and Antarctic Oceans [17,18,19,20,21,22,23,24,25,26] (Figure 1 and Table S1). Sea cucumber samples are typically collected from the coast at a depth of less than 20 m [17,18,19,20,21].
Figure 1.
Geographical distribution of sea cucumber samples used for studies of culturable microorganisms. The red circles represent sampling sites: (A) Funka Bay and Ainuma fishing port, Hokkaido, Japan; (B) Sea of Japan, Russia; (C) Yellow Sea, China; (D) Geomun-do, Yeosu, Korea; (E) Kushima, Omura; Koecho; Nagasaki; Japan; (F) Coast of Aka Island, Okinawa prefecture, Japan; (G) Ningde, Fujian, China; (H) South China Sea, China; (I) Dayang Bunting Island, Yan, Kedah Darul Aman, Malaysia; (J) Tioman Island, Pahang Darul Makmur; Peninsular Malaysia; Pangkor Island, Perak; Malaysia; (K) Sari Ringgung, Lampung, Indonesia; (L) Larak Island, Persian Gulf, Iran; (M) Tabarka, Tunisia; and (N) the Antarctic.
2.2. Culturable Microorganisms Associated with Sea Cucumbers
The sea cucumbers used for the isolation of culturable microorganisms belong to five genera (Holothuria, Cucumaria, Stichopus, Apostichopus, and Eupentacta) in four families (Holothuriidae, Stichopodidae, Cucumariidae, and Sclerodactylidae) (Table 1). The dominant species is Apostichopus japonicus, which accounts for about 41% of the total sea cucumber population. In second place, Holothuria leucospilota accounts for about 27% of the total sea cucumber population (Table S1).
Table 1.
Sea cucumbers used for the isolation of culturable microorganisms.
In studies on microorganisms associated with sea cucumbers, samples are primarily obtained from the following body parts: the body wall [22,23], body surface [18,21,24,25,26,27,28,29], inner body tissue [30], coelomic fluid [24,31], stomach [30], intestines [4,6,17,19,25,32,33,34,35], brown gastrointestinal tissue [30], and feces [20,22].
Sea cucumbers harbor a rich and diverse assortment of microorganisms. A variety of microorganisms, including bacteria and fungi, have been isolated from sea cucumbers. Most of the isolation conditions (medium, temperature, and aeration) are common. There are some papers on the diversity of culturable bacteria associated with sea cucumbers, which plays a very important role in understanding the digestion and diseases of sea cucumbers [4,6,17,25,33]. Because marine-derived fungi had shown potential to synthesize pharmaceutical compounds with bioactivities, researchers usually directly isolate fungi associated with sea cucumbers for the separation of active natural products [21,28,29], except one paper about the diversity and bioactivity of fungi associated with sea cucumbers [22].
2.2.1. Bacteria
To date, 78 genera belonging to 47 families in four phyla have been cultured from sea cucumbers (Table 2) [4,6,17,18,19,23,24,25,26,30,31,32,33,34]. The phylum Proteobacteria was represented by 34 genera, 23 genera belong to the phylum Actinobacteria, 13 genera belong to the phylum Firmicutes, and only eight genera were from the phylum Bacteroidetes. The bacteria isolated from sea cucumbers are mainly the genus Bacillus, followed by Vibrio, and Pseudoalteromona (Table S1).
Table 2.
Culturable microorganisms associated with sea cucumbers.
Bacteria have been isolated from seven species in three genera of sea cucumbers: Apostichopus japonicus, Holothuria atra, Holothuria edulis, Holothuria leucospilota, Stichopus badionotus, Stichopus chloronotus, and Stichopus vastus [4,6,17,18,19,23,24,25,26,30,31,32,33,34]. A. japonicus displayed a high bacterial diversity, and 54 bacterial genera were isolated from this species. Thirty-six genera were isolated from H. leucospilota, and fifteen genera were isolated from S. vastus. Two, one, six, and three genera of bacteria were isolated from H. atra, H. edulis, S. badionotus, and S. chloronotus, respectively (Table 1 and Table S1).
2.2.2. Fungi
Sea-cucumber-associated fungi belong to 29 genera in 24 families (Table 2). All of them are in the phylum Ascomycota [20,21,22,27,28,29,35,36,37,38,39,40,41,42,43,44,45]. The dominant genus was Aspergillus, followed by Penicillium (Table S1).
Fungi were isolated from six species in five genera of sea cucumbers: A. japonicus, Cucumaria japonica, Eupentacta fraudatrix, Holothuria nobilis, Holothuria poli, and Stichopus japonicus [20,22,29,35,36,37,38,39,40,41,42]. Among them, the greatest number of fungal species was isolated from H. poli, with 16 genera. Thirteen genera were isolated from E. fraudatrix, and twelve genera were isolated from A. japonicus. Two, three, and one genera of fungi were isolated from the sea cucumbers C. japonica, H. nobilis, and S. japonicus, respectively (Table 1 and Table S1).
3. Structures and Bioactivities of Natural Products
To date, 145 natural products have been isolated from sea-cucumber-associated microorganisms (Figure 2). These compounds include polyketides, alkaloids, and terpenoids, among others. These natural products have diverse properties, such as cytotoxic [37,39,45], antimicrobial [44], enzyme-inhibiting [46], and antiangiogenic activities [47].






Figure 2.
Chemical structures of the 145 compounds isolated from sea-cucumber-associated microorganisms.
3.1. Polyketides
Polyketides are a class of secondary metabolites that are produced by bacteria, fungi, actinobacteria, and plants [48,49]. They include polyphenols, macrolides, polyenes, anthraquinones, enediynes, and other compounds [50,51]. Polyketides have diverse bioactive properties, including antibiotic, antifungal, immunosuppressant, antiparasitic, cholesterol-lowering, and antitumoral activities [50,52].
The polyketones territrem A (1), territrem B (2), dihydrogeodin (3), emodin (4), questin (5), and 1-(2,4-dihydroxyphenyl)-ethanone (6) were isolated from the marine fungus Aspergillus terreus, associated with the sea cucumber A. japonicus, collected from Zhifu Island in Yantai, China [39]. Compounds 4 and 5 are common quinone compounds, and compound 4 has cytotoxic effects on human oral epithelial cancer cells (KB) and multidrug-resistant cells (KBv200), with IC50 values of 32.97 and 16.15 μg/mL, respectively [39]. Compound 4 was also isolated from sea-cucumber-derived fungus Trichoderma sp., and it showed weak inhibitory effects against Pseudomonas putida, with a minimum inhibitory concentration (MIC) of 25 μM [44]. Compound 5 has weak cytotoxicity in KB and KBv200 cells, with IC50 values > 50 μg/mL [39].
Three additional compounds, 1-hydroxyl-3-methylanthracene-9,10-dione (7), chrysophanol (8), and sterigmatocystin (9), are secondary metabolites of the fungus Alternaria sp., isolated from sea cucumber in the sea surrounding Zhifu Island in Yantai, China [28]. Compound 8 was also isolated from a sea-cucumber-associated fungus Trichoderma sp. and showed weak inhibitory effects against Vibrio parahaemolyticus, with an MIC value of 25 μM [44].
The anthraquinone compounds coniothyrinone A (10) and lentisone (11) were isolated from the fungus Trichoderma sp. associated with a sea cucumber that was collected from Chengshantou Island in the Yellow Sea in Weihai City, China [44]. Compounds 10 and 11 were isolated for the first time from fungi of the genus Trichoderma, and they had weak antiangiogenicc activity. Compound 10 showed pronounced antibacterial activity against three common marine pathogens, Vibrio parahaemolyticus, Vibrio anguillarum, and Pseudomonas putida, and the MIC values were 6.25, 1.56, and 3.13 μM, respectively. Compound 11 showed inhibitory effect against V. parahaemolyticus, V. anguillarum, and P. putida, with MIC values of 12.5, 1.56, and 6.25 μM, respectively [44].
Six compounds, javanicin (12), norjavanicin (13), fusarubin (14), terrain (15), sclerin (16), and 5-hydroxy-7-methoxy-3-methyl-2-(2-oxopropyl) naphthalene-1,4-dione (17), were isolated from the sea-cucumber-associated fungus Fusarium sp. from the Yantai Sea, China [45]. Compounds 12–14 showed moderate cytotoxicity in KB cells, with IC50 values of 2.90, 10.6, and 9.61 g/mL, respectively, and they also showed moderate cytotoxic effects in KBv200 cells, with IC50 values of 5.91, 12.12, and 6.74 g/mL, respectively [45].
Four new polyhydroxy cyclohexanol analogues, named dendrodochol A–D (18–21), were isolated from the fungus Dendrodochium sp. associated with the sea cucumber H. nobilis, which was collected from the South China Sea [53]. Compounds 18 and 20 showed modest antifungal activity against Candida strains, Cryptococcus neoformans, and Trichophyton rubrum (MIC80 = 8–16 μg/mL) in an in vitro bioassay [53]. Additionally, thirteen new 12-membered macrolides, dendrodolides A–M (22–34), were isolated from the fungus Dendrodochium sp. associated with the sea cucumber H. nobilis [37]. Compounds 22–25, 29, 30, and 32 showed cytotoxic effects on SMMC-7721 tumor cells, with IC50 values of 19.2, 24.8, 18.0, 15.5, 21.8, 14.7, and 21.1 μg/mL, respectively [37]. Compounds 24, 26, 28, 30, 32, and 33 had cytotoxic effects on HCT116 tumor cells, with IC50 values of 13.8, 5.7, 9.8, 11.4, 15.9, and 26.5 μg/mL, respectively [37].
Aspergillolide (35), a newly discovered 12-membered macrolide, was isolated from the fungus Aspergillus sp. S-3-75, associated with the sea cucumber H. nobilis that was collected from the Antarctic [35].
Azaphilone compounds are fungal polyketide pigments produced by a variety of ascomycetes and basidiomycetes [54]. Four previously known azaphilones, chaetoviridin A (36), chaetoviridin E (37), chaetoviridin B (38), and chaetomugilin A (39), and a known cochliodinol (40), were produced by the fungus Chaetomium globosum, associated with the sea cucumber A. japonicus, which was collected from Chengshantou Island, Weihai, China [29].
3.2. Alkaloids
Alkaloids have been identified as a class of nitrogenous organic compounds derived from plants [55,56]; although they are most commonly found in plants, alkaloids can also be isolated from marine organisms and marine microorganisms [57,58].
Chaetoglobosins, which are a large class of secondary metabolites that are cytochalasin alkaloids, have been isolated mainly from the fungus Chaetomium globosum [59]. Three previously known chaetoglobosins, chaetoglobosin Fex (41), G (42), and B (43), and one new chaetoglobosin, cytoglobosin X (44), were isolated from the fungus Chaetomium globosum, associated with the sea cucumber A. japonicus, on Chengshantou Island, China [29]. Compound 43 has some inhibitory effects against Staphylococcus aureus and methicillin-resistant Staphylococcus aureus (MRSA), with MIC values of 47.3 and 94.6 μM, respectively, and weak activity against Candida albicans SC5314, Candida albicans 17#, Pseudomonas aeruginosa, and Bacillus Calmette–Guérin (BCG), with MIC values >100 μg/mL for all organisms [29].
Nineteen compounds were isolated from the fungus Aspergillus fumigatus, associated with the sea cucumber S. japonicus, collected near Lingshan Island, Qingdao, China [33]. Among these 19 compounds are seven new prenylated indole diketopiperazine alkaloids, including compound 45, three spirotryprostatins (C–E) (46–48), two derivatives of fumitremorgin B (49 and 50), and 13-oxoverruculogen (51), along with 12 known compounds, including spirotryprostatin A (52), 13-oxofumitremorgin B (53), fumitremorgin B (54), verruculogen (55), 3-β hydroxy cyclo-l-tryptophyl-l-proline (56), cyclo-l-tryptophyl-l-proline (57), tryprostatin B (58), tryprostatin A (59), N-prenyl-cyclo-l-tryptophyl-l-proline (60), fumitremorgin C (61), 12,13-dihydroxyfumitremorgin C (62), and cyclotryprostatin A (63) [41]. Compound 45 showed weak cytotoxicity in HL–60 cells, with an IC50 value of 125.3 μM. Compounds 46–51 exhibited some cytotoxicity in MOLT–4 cells, HL–60 cells, A–549 cells, and BEL-7402 cells. Compound 48 showed higher activity in MOLT–4 and A–549 cells than the others, with an IC50 value of 3.1 μM for both cell types. Compound 49 showed higher activity in BEL–7402 cells than the others, with an IC50 value of 7.0 μM. Compound 51 showed higher activity in HL–60 cells than the others, with an IC50 value of 1.9 μM [41]. Compound 53 was also isolated from the fungus Aspergillus sp., associated with the sea cucumber S. japonicus, collected from Lingshan Island, Qingdao, China [42]. Two new compounds, pseurotin A1 (64) and A2 (65), as well as pseurotin A (66) were also isolated from the fungus Aspergillus fumigatus, associated with the sea cucumber S. japonicus. Compound 65 exhibited slight cytotoxicity in A549 and HL-60 cells, with IC50 values of 48.0 and 70.8 μmol/L, respectively, and compound 66 showed slight cytotoxicity in HL-60 cells, with an IC50 value of 67.0 μmol/L [60].
3.3. Terpenoids
Terpenoids, which are widely found in nature and in numerous species, have various structures and are divided into monoterpenes (C10), sesquiterpenes (C15), diterpenes (C20), and sesterterpenes (C25) [61]. Although most known terpenoids have been isolated from plants [62], they are also produced by marine microorganisms [63].
Three new pimarane diterpenes, aspergilone A (67) and compounds 68 and 69, one new isopimarane diterpene (70), and four known compounds, diaporthin B (71), diaporthein B (72), 11-deoxydiaporthein A (73), and isopimara-8(14),15-diene (74), were obtained from the fungus Epicoccum sp., associated with the sea cucumber A. japonicus, which was collected from Yantai, Shandong Province, China [40,64,65]. Compounds 67, 68, and 71 exhibited cytotoxicity in KB cells, with IC50 values of 3.51, 20.74, and 3.86 µg/mL, respectively, and in KBv200 cells, with IC50 values of 2.34, 14.47, and 6.52 µg/mL, respectively [40]. Compounds 70 and 73 exhibited effective inhibitory activities against α-glucosidase, with IC50 values of 4.6 and 11.9 μM, respectively [65].
The fungus Aspergillus sp. H30, derived from the sea cucumber Cucumaria japonica, which was collected from the South China Sea, produced a meroterpenoid called chevalone B (75) that exhibited weak antibacterial activity [36].
Terpene glycosides are a group of natural products with a triterpene or sterol core, and marine diterpene glycosides (MDGs) are a subset of terpene glycosides [66]. Thirty-one new diterpene glycosides, including virescenosides M–R (76–81), R1–R3 (82–84), S–X (85–90), Z (91), and Z4–Z18 (92–106), and three known diterpenic glycosides, virescenosides A (107), B (108), and C (109), together with three known analogues, virescenoside F (110), G (111), a lactone of virescenoside G (112), and the aglycon of virescenoside A (113), were isolated from the fungus Acremonium striatisporum KMM 4401, associated with the sea cucumber Eupentacta fraudatrix, which was collected from Kitovoe Rebro Bay in the Sea of Japan [21,46,67,68,69,70,71]. Compounds 76, 77, 79, and 107–109 showed cytotoxic effects on developing eggs of the sea urchin Strongylocentrotus intermedius (MIC50 = 2.7–20 µM) [21,67]. Compounds 76–81, 85–87, and 107–109 exhibited cytotoxic activities against Ehrlich carcinoma tumor cells (IC50 = 10–100 µM) in vitro [21,67,68]. Compounds 81 and 85–87 showed weak cytotoxic effects on developing eggs of the sea urchin S. intermedius (IC50 = 100–150 µM) [68]. At a concentration of 100 mg/mL, compounds 82–84 and 91 inhibited esterase activity by 56%, 58%, 36%, and 40%, respectively [46]. The aglycon 113 inhibited urease activity, with an IC50 value of 138.8 µM [71]. Compounds 97, 98, 100, 101, 104, and 110–113, at 10 µM, downregulated reactive oxygen species (ROS) production in lipopolysaccharide (LPS)-stimulated macrophages [71]. At 1 μM, compounds 98 and 101 induced moderate downregulation of NO production in LPS-stimulated macrophages [71].
3.4. Other Types of Compounds Isolated from Sea-Cucumber-Associated Microorganisms
Other secondary metabolites, including cyclo-(l-Pro-l-Phe) (114), cyclo-(l-Pro-l-Met) (115), cyclo-(l-Pro-l-Tyr) (116), cyclo-(l-Pro-l-Val) (117), cyclo-(l-Pro-l-Pro) (118), cyclo-(l-Val-l-Gly) (119), and cyclo-(l-Pro-l-Leu) (120), have been isolated from the actinomycete Brevibacterium sp., associated with the sea cucumber A. japonicus [23].
Four compounds, 5-methyl-6-hydroxy-8-methyoxy-3-methylisochroman (121), peroxy-ergosterol (122), succinic acid (123), and 8-hydroxy-3-methylisochroman-1-one (124), were isolated from the fungus Epicoccum spp., associated with sea cucumber collected in the Yellow Sea, China [43]. Compound 121 is a pheromone [43] that was also isolated from the fungus Alternaria sp., associated with the sea cucumber collected from the Yellow Sea in Weihai, China [27]. The fungus Alternaria sp., associated with sea cucumber, also produced a new benzofuran derivative, 4-acetyl-5-hydroxy-3,6,7-trimethylbenzofuran-2(3H)-one (125), and a known compound, 2-carboxy-3-(2-hydroxypropanyl) phenol (126) [27].
Two depsidones, emeguisin A (127) and aspergillusidone C (128), were isolated from the fungus Phialemonium sp., associated with the sea cucumber H. nobilis, collected in South China [38].
Three compounds, (+)-butyrolactone IV (129), butyrolactone I (130), and terrelactone A (131), were isolated from the fungus Aspergillus terreus, associated with the sea cucumber A. japonicus, collected from the Yellow Sea in China [47]. Compounds 129 and 130 showed moderate antiangiogenic activity when evaluated using a zebrafish assay. The inhibition ratio of compound 129, at a concentration of 100 μg/mL, was 43.4% and that of compound 130, at a concentration of 10 μg/mL, was 28.7% [47].
Nine known compounds, 2,4-dihydroxy-6-methylaceto-phenone (132), pannorin (133), 2-hydroxy-4-(3-hydroxy-5-methylphenoxy)-6-methylbenzoic acid (134), 3,3′-dihydroxy-5,5′-dimethyldiphenyl ether (135), aloesone (136), aloesol (137), acremolin (138), cyclo-(l-Trp-l-Phe) (139), and cyclo-(l-Trp-l-Leu) (140), were isolated from the fungus Aspergillus sp. S-3-75, associated with the sea cucumber H. nobilis, which was collected from the Antarctic [35].
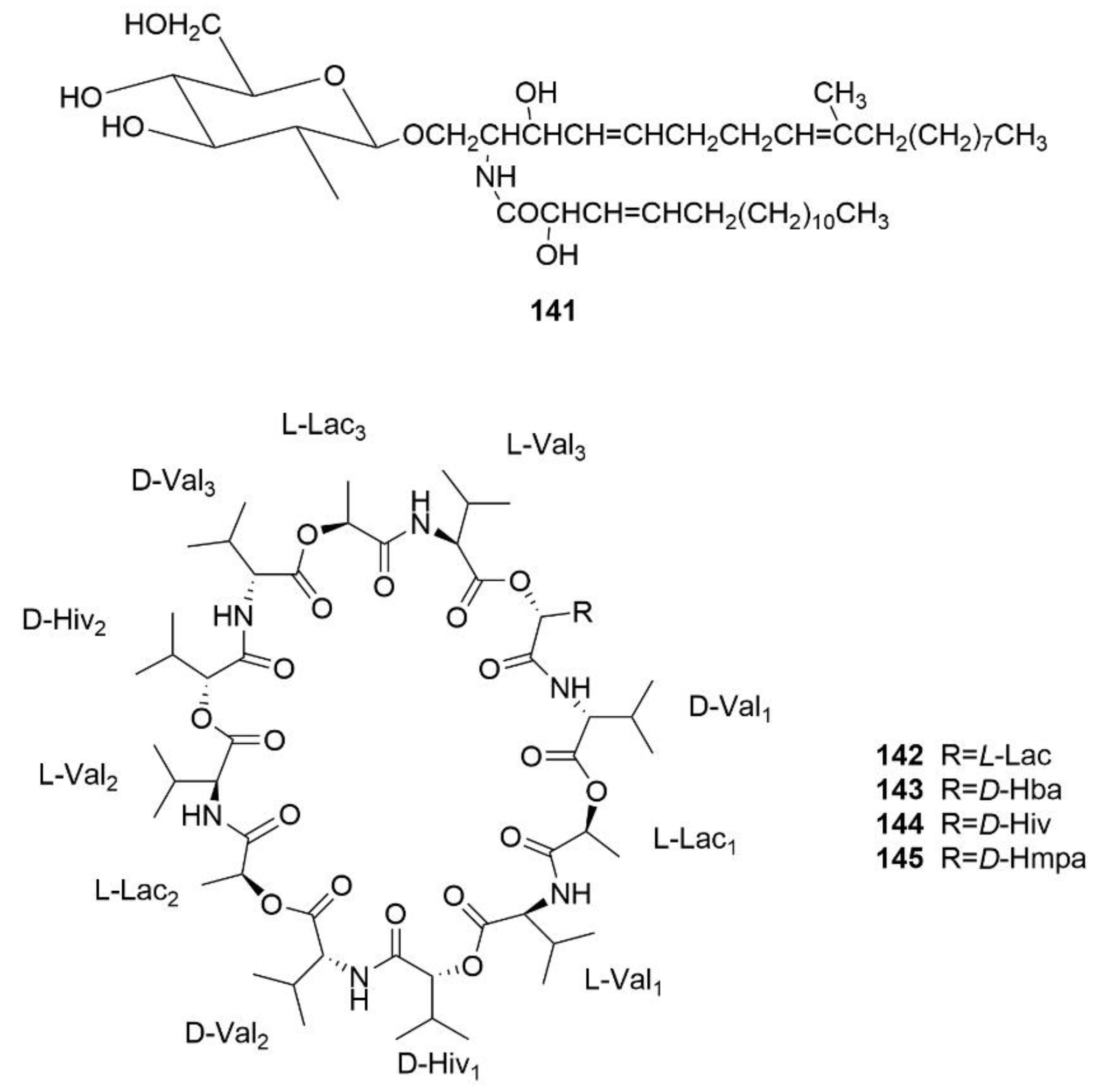
Cerebroside (141) was isolated from the fungus Alternaria sp., associated with sea cucumber from the sea near Zhifu Island in Yantai, China [28].
Three known compounds, streptodepsipeptide P11B (142), streptodepsipeptide P11A (143), and valinomycin (144), and one novel valinomycin analogue, streptodepsipeptide SV21 (145), were produced by the actinobacteria Streptomyces sp. SV 21, isolated from the sea cucumber S. vastus in Lampung, Indonesia [72]. Compounds 142–145 exhibited antifungal activity against Mucor hiemalis, with MIC values of 16.6, 8.3, 2.1, and 16.6 µg/mL, respectively. These four compounds also exhibited antifungal activity against Ruegeria glutinis, with MIC values of 33.3, 8.3, 4.2, and 16.6 µg/mL, respectively. Compounds 144 and 145 showed activities against the Gram-positive bacterium Staphylococcus aureus, with MIC values of 4.2 and 16.6 µg/mL, respectively. Compound 145 showed activity against the Gram-positive bacterium Bacillus subtilis, with an MIC value of 33.3 µg/mL. Compounds 143–145 showed pronounced antiinfectivity effects against hepatitis C virus (HCV). Compound 142 showed weak antiinfectivity effects against HCV [72].
3.5. Summary of the Natural Products Isolated from Microorganisms Associated with Sea Cucumbers
From 2000 to 2021, 145 natural products were isolated from microorganisms associated with sea cucumbers. The numbers of compounds isolated in 2008, 2014, and 2020 were significantly higher than the numbers isolated in other years (Figure 3). The compounds isolated from sea-cucumber-associated microorganisms are mainly polyketides, alkaloids, and terpenoids (Figure 4 and Figure 5), which account for 28%, 18%, and 32% of the total isolated compounds, respectively (Figure 4). Most of these compounds were isolated from sea-cucumber-associated fungi (Figure 4), and many of them have demonstrated bioactivities, including cytotoxicity, antimicrobial, enzyme-inhibiting, antiviral, and antiangiogenic activities, and the downregulation of ROS and NO production (Figure 6).
Figure 3.
Natural products isolated from sea-cucumber-associated microorganisms from 2000 to 2021.
Figure 4.
Percentage distribution of the natural products isolated from sea-cucumber-associated microorganisms.
Figure 5.
Natural products isolated from sea-cucumber-associated microorganisms.
Figure 6.
Percentage distribution of the bioactivities of the natural products isolated from sea-cucumber-associated microorganisms.
4. Conclusions
Sea cucumbers have been extensively utilized in medicine in Asia for a long time, and a variety of compounds with pharmacological activities have been isolated from sea cucumbers [10]. The actual producers of these marine natural products may be sea-cucumber-associated microorganisms. Sea cucumbers harbor a rich and diverse assortment of microorganisms. Over the past 20 years, seventy-eight genera of bacteria belonging to 47 families in four phyla, and 29 genera of fungi belonging to 24 families in the phylum Ascomycota have been cultured from sea cucumbers. A total of 145 natural products have been isolated from sea-cucumber-associated microorganisms. These compounds are polyketides, terpenoids, alkaloids, and others, and many have been shown to have various biological activities. Sea-cucumber-associated microorganisms have great potential for the production and isolation of high-value bioactive compounds.
Supplementary Materials
The following are available online at https://www.mdpi.com/article/10.3390/md19080461/s1, Table S1. Microorganism genera associated with sea cucumbers.
Author Contributions
L.C. and G.-Y.W. conceived and designed the format of the manuscript. L.C., X.-Y.W. and R.-Z.L. analyzed the data and drafted and edited the manuscript. X.-Y.W. drew the chemical structure of compounds. L.C. and G.-Y.W. reviewed the manuscript. All the authors contributed in terms of critical reading and discussion of the manuscript. All authors have read and agreed to the published version of the manuscript.
Funding
This study was funded by the Discipline Construction Guide Foundation in Harbin Institute of Technology at Weihai (No. WH20150204 and No. WH20160205), and the Research Innovation Foundation in Harbin Institute of Technology at Weihai (No. 2019KYCXJJYB15).
Conflicts of Interest
The authors declare no conflict of interest.
References
- Kiew, P.L.; Don, M.M. Jewel of the seabed: Sea cucumbers as nutritional and drug candidates. Int. J. Food Sci. Nutr. 2012, 63, 616–636. [Google Scholar] [CrossRef]
- Mondol, M.A.M.; Shin, H.J.; Rahman, M.A.; Islam, M.T. Sea cucumber glycosides: Chemical structures, producing species and important biological properties. Mar. Drugs 2017, 15, 317. [Google Scholar] [CrossRef]
- Bordbar, S.; Anwar, F.; Saari, N. High-value components and bioactives from sea cucumbers for functional foods—A review. Mar. Drugs 2011, 9, 1761–1805. [Google Scholar] [CrossRef] [PubMed]
- Zhang, X.; Nakahara, T.; Miyazaki, M.; Nogi, Y.; Taniyama, S.; Arakawa, O.; Inoue, T.; Kudo, T. Diversity and function of aerobic culturable bacteria in the intestine of the sea cucumber Holothuria leucospilota. J. Gen. Appl. Microbiol. 2012, 58, 447–456. [Google Scholar] [CrossRef]
- Gao, F.; Li, F.; Tan, J.; Yan, J.; Sun, H. Bacterial community composition in the gut content and ambient sediment of sea cucumber Apostichopus japonicus revealed by 16S rRNA gene pyrosequencing. PLoS ONE 2014, 9, e100092. [Google Scholar] [CrossRef]
- Chen, L.; Du, S.; Qu, W.Y.; Guo, F.R.; Wang, G.Y. Biosynthetic potential of culturable bacteria associated with Apostichopus japonicus. J. Appl. Microbiol. 2019, 127, 1686–1697. [Google Scholar] [CrossRef] [PubMed]
- Jung, D.; Seo, E.Y.; Epstein, S.S.; Joung, Y.; Han, J.; Parfenova, V.V.; Belykh, O.I.; Gladkikh, A.S.; Ahn, T.S. Application of a new cultivation technology, I-tip, for studying microbial diversity in freshwater sponges of Lake Baikal, Russia. FEMS Microbiol. Ecol. 2014, 90, 417–423. [Google Scholar] [CrossRef] [PubMed]
- Wargasetia, T.L. Mechanisms of cancer cell killing by sea cucumber-derived compounds. Investig. New Drugs 2017, 35, 820–826. [Google Scholar] [CrossRef] [PubMed]
- Taiyeb-Ali, T.B.; Zainuddin, S.L.; Swaminathan, D.; Yaacob, H. Efficacy of ‘Gamadent’ toothpaste on the healing of gingival tissues: A preliminary report. J. Oral Sci. 2003, 45, 153–159. [Google Scholar] [CrossRef]
- Shi, S.; Feng, W.; Hu, S.; Liang, S.; An, N.; Mao, Y. Bioactive compounds of sea cucumbers and their therapeutic effects. Chin. J. Oceanol. Limnol. 2016, 34, 549–558. [Google Scholar] [CrossRef]
- Hossain, A.; Dave, D.; Shahidi, F. Northern sea cucumber (Cucumaria frondosa): A potential candidate for functional food, nutraceutical, and pharmaceutical sector. Mar. Drugs 2020, 18, 274. [Google Scholar] [CrossRef]
- Chari, A.; Mazumder, A.; Lau, K.; Catamero, D.; Galitzeck, Z.; Jagannath, S. A phase II trial of TBL-12 sea cucumber extract in patients with untreated asymptomatic myeloma. Br. J. Haematol. 2018, 180, 296–298. [Google Scholar] [CrossRef] [PubMed]
- Schmidt, E.W. The secret to a successful relationship: Lasting chemistry between ascidians and their symbiotic bacteria. Invertebr. Biol. 2015, 134, 88–102. [Google Scholar] [CrossRef] [PubMed]
- Bewley, C.A.; Holland, N.D.; Faulkner, D.J. Two classes of metabolites from Theonella swinhoei are localized in distinct populations of bacterial symbionts. Experientia 1996, 52, 716–722. [Google Scholar] [CrossRef]
- Bewley, C.A.; Faulkner, D.J. Lithistid sponges: Star performers or hosts to the stars. Angew. Chem. Int. Ed. 1998, 37, 2162–2178. [Google Scholar] [CrossRef]
- Piel, J. Metabolites from symbiotic bacteria. Nat. Prod. Rep. 2004, 21, 519–538. [Google Scholar] [CrossRef]
- Zhang, X.; Nakahara, T.; Murase, S.; Nakata, H.; Inoue, T.; Kudo, T. Physiological characterization of aerobic culturable bacteria in the intestine of the sea cucumber Apostichopus japonicus. J. Gen. Appl. Microbiol. 2013, 59, 1–10. [Google Scholar] [CrossRef][Green Version]
- Kurahashi, M.; Fukunaga, Y.; Sakiyama, Y.; Harayama, S.; Yokota, A. Iamia majanohamensis gen. nov., sp. nov., an actinobacterium isolated from sea cucumber Holothuria edulis, and proposal of Iamiaceae fam. nov. Int. J. Syst. Evol. Microbiol. 2009, 59, 869–873. [Google Scholar] [CrossRef]
- Gozari, M.; Bahador, N.; Jassbi, A.R.; Mortazavi, M.S.; Eftekhar, E. Antioxidant and cytotoxic activities of metabolites produced by a new marine Streptomyces sp. isolated from the sea cucumber Holothuria leucospilota. Iran. J. Fish. Sci. 2018, 17, 413–426. [Google Scholar] [CrossRef]
- Pivkin, M.V. Filamentous fungi associated with holothurians from the Sea of Japan, off the primorye coast of Russia. Biol. Bull. 2000, 198, 101–109. [Google Scholar] [CrossRef]
- Afiyatullov, S.S.; Kuznetsova, T.A.; Isakov, V.V.; Pivkin, M.V.; Prokof’eva, N.G.; Elyakov, G.B. New diterpenic altrosides of the fungus Acremonium striatisporum isolated from a sea cucumber. J. Nat. Prod. 2000, 63, 848–850. [Google Scholar] [CrossRef]
- Marchese, P.; Garzoli, L.; Gnavi, G.; O’Connell, E.; Bouraoui, A.; Mehiri, M.; Murphy, J.M.; Varese, G.C. Diversity and bioactivity of fungi associated with the marine sea cucumber Holothuria poli: Disclosing the strains potential for biomedical applications. J. Appl. Microbiol. 2020, 129, 612–625. [Google Scholar] [CrossRef]
- Gong, J.; Tang, H.; Geng, W.L.; Liu, B.S.; Sun, P.; Li, L.; Li, Z.Y.; Zhang, W. Cyclic dipeptides in actinomycete Brevibacterium sp. associated with sea cucumber Apostichopus japonicus Selenka: Isolation and identification. Acad. J. Second Mil. Med. Univ. 2012, 33, 1284–1287. (In Chinese) [Google Scholar] [CrossRef]
- Enomoto, M.; Nakagawa, S.; Sawabe, T. Microbial communities associated with Holothurians: Presence of unique bacteria in the coelomic fluid. Microbes Environ. 2012, 27, 300–305. [Google Scholar] [CrossRef] [PubMed]
- Wibowo, J.T.; Kellermann, M.Y.; Versluis, D.; Putra, M.Y.; Murniasih, T.; Mohr, K.I.; Wink, J.; Engelmann, M.; Praditya, D.F.; Steinmann, E.; et al. Biotechnological potential of bacteria isolated from the sea cucumber Holothuria leucospilota and Stichopus vastus from Lampung, Indonesia. Mar. Drugs 2019, 17, 635. [Google Scholar] [CrossRef]
- Alipiah, N.M.; Ramli, N.H.S.; Low, C.F.; Shamsudin, M.N.; Yusoff, F.M. Protective effects of sea cucumber surface-associated bacteria against Vibrio harveyi in brown-marbled grouper fingerlings. Aquacult. Environ. Interact. 2016, 8, 147–155. [Google Scholar] [CrossRef]
- Xia, X.; Qi, J.; Wei, F.; Jia, A.; Yuan, W.; Meng, X.; Zhang, M.; Liu, C.; Wang, C. Isolation and characterization of a new Benzofuran from the fungus Alternaria sp. (HS-3) associated with a sea cucumber. Nat. Prod. Commun. 2011, 6, 1913–1914. [Google Scholar] [CrossRef] [PubMed]
- Liu, C.H.; Xia, X.K.; Qi, J.; Zhang, Y.G.; Yuan, W.P.; Meng, X.M.; Jia, A.R.; Sun, Y.J.; Hu, W. The secondary metabolites of the HS-3 Alternaria sp. fungus associated with holothurians. J. Chin. Med. Mater. 2010, 33, 1875–1877. (In Chinese) [Google Scholar] [CrossRef]
- Qi, J.; Jiang, L.; Zhao, P.; Chen, H.; Jia, X.; Zhao, L.; Dai, H.; Hu, J.; Liu, C.; Shim, S.H.; et al. Chaetoglobosins and azaphilones from Chaetomium globosum associated with Apostichopus japonicus. Appl. Microbiol. Biotechnol. 2020, 104, 1545–1553. [Google Scholar] [CrossRef]
- Farouk, A.E.; Ghouse, F.A.H.; Ridzwan, B.H. New bacterial species isolated from malaysia sea cucumbers with optimized secreted antibacterial activity. Am. J. Biochem. Biotechnol. 2007, 3, 60–65. [Google Scholar]
- Kamarudin, K.R. Microbial population in the coelomic fluid of Stichopus chloronotus and Holothuria (Mertensiothuria) leucospilota collected from Malaysian waters. Sains Malays. 2014, 43, 1013–1021. [Google Scholar]
- Li, Z.; Huang, X.S.; Zheng, B.D.; Deng, K.B. Biodiversity analysis and pathogen inhibition mechanism of the endogenous bacteria in Fujian Apostichopus japonicus. Sci. Technol. Food Ind. 2018, 39, 137–141, 170. (In Chinese) [Google Scholar] [CrossRef]
- Bogatyrenko, E.A.; Buzoleva, L.S. Characterization of the gut bacterial community of the Japanese sea cucumber Apostichopus japonicus. Microbiology 2016, 85, 116–123. [Google Scholar] [CrossRef]
- Jo, J.; Choi, H.; Lee, S.-G.; Oh, J.; Lee, H.-G.; Park, C. Draft genome sequences of Pseudoalteromonas tetraodonis CSB01KR and Pseudoalteromonas lipolytica CSB02KR, isolated from the gut of the sea cucumber Apostichopus japonicus. Genome Announc. 2017, 5, e00627-17. [Google Scholar] [CrossRef]
- Tan, J.J.; Liu, X.Y.; Yang, Y.; Li, F.H.; Tan, C.H.; Li, Y.M. Aspergillolide, a new 12-membered macrolide from sea cucumber-derived fungus Aspergillus sp. S-3-75. Nat. Prod. Res. 2020, 34, 1131–1137. [Google Scholar] [CrossRef]
- Hu, Y.; Yang, M.; Zhao, J.; Liao, Z.; Qi, J.; Wang, X.; Jiang, W.; Xia, X. A Meroterpenoid isolated from the fungus Aspergillus sp. Nat. Prod. Commun. 2019, 14, 1–3. [Google Scholar] [CrossRef]
- Sun, P.; Xu, D.X.; Mandi, A.; Kurtan, T.; Li, T.J.; Schulz, B.; Zhang, W. Structure, absolute configuration, and conformational study of 12-membered macrolides from the fungus Dendrodochium sp. associated with the sea cucumber Holothuria nobilis Selenka. J. Org. Chem. 2013, 78, 7030–7047. [Google Scholar] [CrossRef] [PubMed]
- Wang, X.D.; Sun, P.; Xu, D.X.; Tang, H.; Liu, B.S.; Zhang, W. Identification of secondary metabolites of the fungus Phialemonium sp. associated with the South China sea cucumber Holothuria nobilis Selenka. Acad. J. Second Mil. Med. Univ. 2014, 35, 988–991. (In Chinese) [Google Scholar] [CrossRef]
- Xia, X.K.; Qi, J.; Liu, C.H.; Zhang, Y.G.; Jia, A.R.; Yuan, W.P.; Liu, X.; Zhang, M.S. Polyketones from Aspergillus terreus associated with Apostichopus japonicus. Mod. Food Sci. Technol. 2014, 30, 10–14, 62. (In Chinese) [Google Scholar] [CrossRef]
- Xia, X.; Zhang, J.; Zhang, Y.; Wei, F.; Liu, X.; Jia, A.; Liu, C.; Li, W.; She, Z.; Lin, Y. Pimarane diterpenes from the fungus Epicoccum sp. HS-1 associated with Apostichopus japonicus. Bioorg. Med. Chem. Lett. 2012, 22, 3017–3019. [Google Scholar] [CrossRef] [PubMed]
- Wang, F.; Fang, Y.; Zhu, T.; Zhang, M.; Lin, A.; Gu, Q.; Zhu, W. Seven new prenylated indole diketopiperazine alkaloids from holothurian-derived fungus Aspergillus fumigatus. Tetrahedron 2008, 64, 7986–7991. [Google Scholar] [CrossRef]
- Wang, F.-Z.; Zhang, M.; Sun, W.; Gu, Q.-Q.; Zhu, W.-M. 5a-Hydroxy-9-methoxy-11-(3-methyl-2-butenyl)-12-(2-methyl-1-propenyl)-2,3,11,12-tetrahydro-1H,5H-pyrrolo[1′′,2′′:4′,5′]pyrazino[1′,2′:1,6]pyrido[3,4-b]indole-5,6,14(5aH,14aH)-trione. Acta Crystallogr. Sect. E Struct. Rep. Online 2007, 63, o1859–o1860. [Google Scholar] [CrossRef]
- Xia, X.K.; Liu, X.; Zhang, Y.G.; Yuan, W.P.; Zhang, M.S.; Wan, X.J.; Meng, X.M.; Liu, C.H. Study on the second metabolisms from fungus HS-1 Epicoccum spp. from the sea cucumber in Yellow Sea. J. Chin. Med. Mater. 2010, 33, 1577–1579. (In Chinese) [Google Scholar] [CrossRef]
- Qi, J.; Zhao, P.; Zhao, L.; Jia, A.; Liu, C.; Zhang, L.; Xia, X. Anthraquinone derivatives from a sea cucumber-derived Trichoderma sp. fungus with antibacterial activities. Chem. Nat. Compd. 2020, 56, 112–114. [Google Scholar] [CrossRef]
- Xia, X.; Liu, X.; Koo, D.C.; Sun, Z.; Shim, S. Chemical constituents of Fusarium sp. fungus associated with sea cucumbers. Chem. Nat. Compd. 2014, 50, 1103–1105. [Google Scholar] [CrossRef]
- Afiyatullov, S.S.; Kalinovsky, A.I.; Antonov, A.S.; Zhuravleva, O.I.; Khudyakova, Y.V.; Aminin, D.L.; Yurchenko, A.N.; Pivkin, M.V. Isolation and structures of virescenosides from the marine-derived fungus Acremonium striatisporum. Phytochem. Lett. 2016, 15, 66–71. [Google Scholar] [CrossRef]
- Qi, J.; Zhao, B.; Zhao, P.; Jia, A.; Zhang, Y.; Liu, X.; Liu, C.; Zhang, L.; Xia, X. Isolation and characterization of antiangiogenesis compounds from the fungus Aspergillus terreus associated with Apostichopus japonicus using zebrafish assay. Nat. Prod. Commun. 2017, 12, 261–262. [Google Scholar] [CrossRef]
- Tae, H.; Sohng, J.K.; Park, K. MapsiDB: An integrated web database for type I polyketide synthases. Bioprocess. Biosyst. Eng. 2009, 32, 723–727. [Google Scholar] [CrossRef]
- Risdian, C.; Mozef, T.; Wink, J. Biosynthesis of polyketides in Streptomyces. Microorganisms 2019, 7, 124. [Google Scholar] [CrossRef]
- Hertweck, C. The biosynthetic logic of polyketide diversity. Angew. Chem. Int. Ed. 2009, 48, 4688–4716. [Google Scholar] [CrossRef]
- Hussain, H.; Al-Sadi, A.M.; Schulz, B.; Steinert, M.; Khan, A.; Green, I.R.; Ahmed, I. A fruitful decade for fungal polyketides from 2007 to 2016: Antimicrobial activity, chemotaxonomy and chemodiversity. Future Med. Chem. 2017, 9, 1631–1648. [Google Scholar] [CrossRef]
- Staunton, J.; Weissman, K.J. Polyketide biosynthesis: A millennium review. Nat. Prod. Rep. 2001, 18, 380–416. [Google Scholar] [CrossRef]
- Xu, D.X.; Sun, P.; Kurtan, T.; Mandi, A.; Tang, H.; Liu, B.; Gerwick, W.H.; Wang, Z.W.; Zhang, W. Polyhydroxy cyclohexanols from a Dendrodochium sp. fungus associated with the sea cucumber Holothuria nobilis Selenka. J. Nat. Prod. 2014, 77, 1179–1184. [Google Scholar] [CrossRef] [PubMed]
- Pavesi, C.; Flon, V.; Mann, S.; Leleu, S.; Prado, S.; Franck, X. Biosynthesis of azaphilones: A review. Nat. Prod. Rep. 2021, 38, 1058–1071. [Google Scholar] [CrossRef] [PubMed]
- Schlager, S.; Drager, B. Exploiting plant alkaloids. Curr. Opin. Biotechnol. 2016, 37, 155–164. [Google Scholar] [CrossRef] [PubMed]
- Desgagné-Penix, I. Distribution of alkaloids in woody plants. Plant Sci. Today 2017, 4, 137–142. [Google Scholar] [CrossRef]
- Zotchev, S.B. Alkaloids from marine bacteria. Adv. Bot. Res. 2013, 68, 301–333. [Google Scholar] [CrossRef]
- Souza, C.R.M.; Bezerra, W.P.; Souto, J.T. Marine alkaloids with anti-inflammatory activity: Current knowledge and future perspectives. Mar. Drugs 2020, 18, 147. [Google Scholar] [CrossRef] [PubMed]
- Chen, J.; Zhang, W.; Guo, Q.; Yu, W.; Zhang, Y.; He, B. Bioactivities and future perspectives of Chaetoglobosins. J. Evid. Based Complement. Altern. Med. 2020, 2020, 8574084. [Google Scholar] [CrossRef]
- Wang, F.-Z.; Li, D.-H.; Zhu, T.-J.; Zhang, M.; Gu, Q.-Q. Pseurotin A1 and A2, two new 1-oxa-7-azaspiro[4.4]non-2-ene-4,6-diones from the holothurian-derived fungus Aspergillus fumigatus WFZ-25. Can. J. Chem. 2011, 89, 72–76. [Google Scholar] [CrossRef]
- Kim, S.K.; Li, Y.X. Biological activities and health effects of terpenoids from marine fungi. Adv. Food Nutr. Res. 2012, 65, 409–413. [Google Scholar] [CrossRef] [PubMed]
- Yang, W.; Chen, X.; Li, Y.; Guo, S.; Wang, Z.; Yu, X. Advances in pharmacological activities of terpenoids. Nat. Prod. Commun. 2020, 15, 1–13. [Google Scholar] [CrossRef]
- Gozari, M.; Alborz, M.; El-Seedi, H.R.; Jassbi, A.R. Chemistry, biosynthesis and biological activity of terpenoids and meroterpenoids in bacteria and fungi isolated from different marine habitats. Eur. J. Med. Chem. 2021, 210, 112957. [Google Scholar] [CrossRef] [PubMed]
- Qi, J.; Xia, X.K.; Jia, A.R.; Liu, X.; Zhang, M.S.; Liu, C.H. Separation and preparation of chemical components from sea cucmber-derived fungus Epicoccum sp. by two-dimensional high-throughput chromatography. Shandong Sci. 2015, 28, 14–18, 24. (In Chinese) [Google Scholar] [CrossRef]
- Xia, X.; Qi, J.; Liu, Y.; Jia, A.; Zhang, Y.; Liu, C.; Gao, C.; She, Z. Bioactive isopimarane diterpenes from the fungus, Epicoccum sp. HS-1, associated with Apostichopus japonicus. Mar. Drugs 2015, 13, 1124–1132. [Google Scholar] [CrossRef]
- Berrue, F.; McCulloch, M.W.; Kerr, R.G. Marine diterpene glycosides. Bioorg. Med. Chem. 2011, 19, 6702–6719. [Google Scholar] [CrossRef] [PubMed]
- Afiyatullov, S.S.; Kalinovsky, A.I.; Kuznetsova, T.A.; Isakov, V.V.; Pivkin, M.V.; Dmitrenok, P.S.; Elyakov, G.B. New diterpene glycosides of the fungus Acremonium striatisporum isolated from a sea cucumber. J. Nat. Prod. 2002, 65, 641–644. [Google Scholar] [CrossRef]
- Afiyatullov, S.S.; Kalinovsky, A.I.; Kuznetsova, T.A.; Pivkin, M.V.; Prokof’eva, N.G.; Dmitrenok, P.S.; Elyakov, G.B. New glycosides of the fungus Acremonium striatisporum isolated from a sea cucumber. J. Nat. Prod. 2004, 67, 1047–1051. [Google Scholar] [CrossRef]
- Afiyatullov, S.S.; Kalinovsky, A.I.; Pivkin, M.V.; Dmitrenok, P.S.; Kuznetsova, T.A. New diterpene glycosides of the fungus Acremonium striatisporum isolated from a sea cucumber. Nat. Prod. Res. 2006, 20, 902–908. [Google Scholar] [CrossRef]
- Afiyatullov, S.S.; Kalinovsky, A.I.; Antonov, A.S. New Virescenosides from the marine-derived fungus Acremonium striatisporum. Nat. Prod. Commun. 2011, 6, 1063–1068. [Google Scholar] [CrossRef]
- Zhuravleva, O.I.; Antonov, A.S.; Oleinikova, G.K.; Khudyakova, Y.V.; Popov, R.S.; Denisenko, V.A.; Pislyagin, E.A.; Chingizova, E.A.; Afiyatullov, S.S. Virescenosides from the Holothurian-associated fungus Acremonium striatisporum Kmm 4401. Mar. Drugs 2019, 17, 616. [Google Scholar] [CrossRef] [PubMed]
- Wibowo, J.T.; Kellermann, M.Y.; Kock, M.; Putra, M.Y.; Murniasih, T.; Mohr, K.I.; Wink, J.; Praditya, D.F.; Steinmann, E.; Schupp, P.J. Anti-Infective and antiviral activity of valinomycin and its analogues from a sea cucumber-associated bacterium, Streptomyces sp. SV 21. Mar. Drugs 2021, 19, 81. [Google Scholar] [CrossRef] [PubMed]
Publisher’s Note: MDPI stays neutral with regard to jurisdictional claims in published maps and institutional affiliations. |
© 2021 by the authors. Licensee MDPI, Basel, Switzerland. This article is an open access article distributed under the terms and conditions of the Creative Commons Attribution (CC BY) license (https://creativecommons.org/licenses/by/4.0/).











