Next Article in Journal
Gold Nanoparticles Synthesized by an Aqueous Extract of Codium tomentosum as Potential Antitumoral Enhancers of Gemcitabine
Previous Article in Journal
Chemical Characterization and Immunomodulatory Activity of Fucoidan from Sargassum hemiphyllum
 
 
Font Type:
Arial Georgia Verdana
Font Size:
Aa Aa Aa
Line Spacing:
Column Width:
Background:
Review

Benzyl Alcohol/Salicylaldehyde-Type Polyketide Metabolites of Fungi: Sources, Biosynthesis, Biological Activities, and Synthesis

by
Mária Štiblariková
,
Angelika Lásiková
* and
Tibor Gracza
Department of Organic Chemistry, Institute of Organic Chemistry, Catalysis and Petrochemistry, Slovak University of Technology, Radlinskeho 9, SK-812 37 Bratislava, Slovakia
*
Author to whom correspondence should be addressed.
Mar. Drugs 2023, 21(1), 19; https://doi.org/10.3390/md21010019
Submission received: 1 December 2022 / Revised: 19 December 2022 / Accepted: 21 December 2022 / Published: 27 December 2022
(This article belongs to the Section Synthesis and Medicinal Chemistry of Marine Natural Products)

Abstract

Marine microorganisms are an important source of natural polyketides, which have become a significant reservoir of lead structures for drug design due to their diverse biological activities. In this review, we provide a summary of the resources, structures, biological activities, and proposed biosynthetic pathways of the benzyl alcohol/salicylaldehyde-type polyketides. In addition, the total syntheses of these secondary metabolites from their discoveries to the present day are presented. This review could be helpful for researchers in the total synthesis of complex natural products and the use of polyketide bioactive molecules for pharmacological purposes and applications in medicinal chemistry.

1. Introduction

Polyketides represent a vast group of secondary metabolites that are produced by certain living organisms to provide sustaining advantages for them. In terms of their chemical structures, Baerson and Rimando [1] described polyketide as a natural compound consisting of carbonyl and methylene groups alternating with each other. Polyketides and their derivatives represent an important group of compounds with remarkable diversity in both structure and function. Even though most polyketides are products of microbial origin (fungi and bacteria), these ubiquitous metabolites can be produced by a range of other organisms, such as plants, insects, lichens, mollusks, algae, sponges, crinoids, and dinoflagellates [1,2]. Polyketides are highly biologically active and multifaceted organic compounds. The structural diversity of polyketides allows them to have specific properties, such as pharmacological properties and biological activities. According to Dechert-Schmitt et al. [3], there is up to a five times higher probability of discovering a new polyketide-based drug compared to other groups of naturally occurring substances. Structurally smaller molecules of polyketide origin are among the top 20% of the best-selling drugs in the world [3]. This review provides a comprehensive summary of the resources, structures, biological activities, biosynthesis, and laboratory synthesis of benzyl alcohol/salicylaldehyde-type polyketide metabolites. The key criterion for the selection of the described compounds was the benzyl alcohol/salicylaldehyde structural pattern in the isolated secondary metabolites across the environment. As far as we can tell, known metabolites with the described structural characteristics are exclusively produced by fungi. A particularly significant source is fungi of marine origin. The metabolites obtained from terrestrial sources are included in order to cover all natural substances of interest produced by these species. This overview could be helpful for organic chemists in the search for new lead structures in drug design.

2. Benzyl Alcohol/Salicyladehyde-Type Secondary Cometabolites

2.1. Varitriol, Varioxirane, Andytriol, and Xanthones

2.1.1. Isolation

The genus Emericella, first described by Berkeley [4], consists of thirty-four species [5,6], with their Aspergillus anamorphs assigned to the subgenus Nidulantes [7,8,9]. Emericella is likely to be present alongside with related Aspergillus anamorphs. The natural habitats of these fungi include soil, seeds, and vegetable matter. Emericella has ascomata embedded in masses of Hülle cells and red to violet ascospores, with a pronounced equator consisting of two, four, or multiple crests [10], but the ascospore ornamentation and particularly detailed morphology of the crests can vary.
In 2002, Malmstrøm and coworkers [11] described the isolation of four new metabolites from a marine-derived strain of the fungus Emericella variecolor M75-2, namely varitriol (1), varioxirane (2), and varixanthone (3) (Figure 1). Among the novel compounds, known metabolites, such as shamixanthone (4) and tajixanthone hydrate (5), were also identified.

2.1.2. Biosynthesis

The authors [11] suggested several plausible biosynthetic relationships between the isolated polyketide derivatives. A key intermediate appears to be 1-(2-hydroxymethyl)-3-methoxyphenyl)hepta-1,5-diene-3,4-diol (6), which was previously isolated from Aspergillus variecolor [12,13] (the imperfect state of Emericella variecolor). The metabolite was named andytriol after its first synthesis [14]. Andytriol (6) is structurally related to benzyl alcohol metabolites 1 and 2 of the Emericella genus [13].
Malmstrøm et al. [11] suggested that diene 6 could act as a precursor to varitriol (1) and that its biosynthesis probably proceeds via varioxirane (2). The enzymatic epoxidation of the C-5–C-6 double bond of 6 could provide epoxide 2. Subsequent enzymatically catalyzed intramolecular SN2 oxirane ring opening at C-6 by the hydroxyl group in the C-3 position in varioxirane (2) could easily yield varitriol (1) (Scheme 1).

2.1.3. Bioactivity

Metabolites isolated from the Emericella variecolor M75-2 fungus were evaluated for antimicrobial activity against several Gram-positive and Gram-negative bacteria. Among the tested compounds, varixanthone (3) showed the best results. The MIC values for compound 3 were significantly lower than those for xanthone derivatives 4 and 5 [11].
Varitriol (1) and varixanthone (3) were additionally tested in vitro for their cytotoxic activities [11]. Varixanthone (3) was tested against mouse lymphoma (P388), human lung carcinoma (A549), and human colon carcinoma (HT29) cell lines. Unfortunately, compound 3 did not show any cytotoxic activity at the tested concentration. On the other hand, varitriol (1), which was tested in an NCI60 cell screen panel, demonstrated a more than 100-fold increased potency over the mean toxicity towards cell lines causing renal cancer (RXF 393, GI50 = 1.63 × 10−7 M), breast cancer (TD-47, GI50 = 2.10 × 10−7 M), and CNS cancer (SNB, GI50 = 2.44 × 10−7 M).

2.1.4. Synthesis

The diversity of the biological activities of these relatively simple and structurally small secondary polyketide metabolites has attracted the interest of synthetic chemists. Among this group of natural compounds, varitriol (1) aroused the greatest interest, mainly for its biological properties. Therefore, most of the known syntheses are devoted to this metabolite.
Varitriol
Since the first synthesis [15] of the unnatural enantiomer (−)-1, accomplished by Jennings in 2006, about 22 total syntheses of varitriol have been reported in the literature. The review by Majik et al. [16] described different synthetic approaches towards 1 and its analogues in detail, covering the period up to 2013. The first two synthetic approaches commencing from d-ribose provided unnatural varitriol ((−)-1) (Scheme 2) [15]. Clemens and Jennings [15] achieved the total synthesis of (−)-1 using cross-metathesis to link the carbohydrate A and aromatic moieties of the molecule. Taylor’s group reported a flexible approach to (−)-1, applying the HWE/conjugate addition/Ramberg-Bäcklund rearrangement sequence via intermediate B [17]. The aromatic part of (−)-1 was obtained, either from 2,6-dihydroxybenzoic acid or methyl 2-methoxy-5-methylbenzoate. The first total synthesis of naturally occurring varitriol ((+)-1) utilizing methyl α-d-mannopyranoside was accomplished by Shaw and Kumar [18] (Scheme 2). The approach was based on an alkene metathesis of the corresponding styrene and tetrahydrofuran subunits. The key furanoside alkene C was obtained from methyl α-d-mannopyranoside.
After the definitive confirmation of the absolute configuration of natural varitriol (1), several other total syntheses were developed. These synthetic approaches usually involve multistep sequences and can be differentiated by the means of the disconnection of individual bonds in the varitriol (1) backbone (Scheme 3). The majority of the known strategies involve alkene metathesis for coupling the furanoside part and the corresponding styrene derivative (path a). The most common starting material for the synthesis of a furanoside-containing vinyl moiety (intermediate A/B) is d-ribose [19,20,21,22,23,24,25,26] Alternatively, an olefinic intermediate C can be obtained from ethyl (S)-lactate (7) [20] via a synthetic sequence involving epoxidation, cyclisation, and dihydroxylation reactions. Njardanson and coworkers [27] have described the syntheses of the carbohydrate part of (+)-1 from 2,4-diene-heptanol (8) or but-2-enal (9) using the Cu-catalyzed vinyl oxirane ring expansion reaction. Another approach exploits the olefination of an aldehyde (path b). The Julia–Kocieński olefination was applied for the coupling of the furan-derivative-bearing sulfonyl group and the substituted benzaldehyde [28,29,30,31], which was easily available from 2,3-dimethylanisole. The required furanoside sulfone was prepared from dimethyl l-tartrate by employing the bicyclization strategy developed for the construction of 2,3-trans-substituted tetrahydrofurans [28,29]. The authors provided X-ray conformation of the absolute configuration of the natural (+)-varitriol (1) for the first time. The most efficient synthesis of natural varitriol (1) so far has been achieved from γ-d-ribonolactone and dimethylanisole (eight steps and 41% overall yield) [30]. The key steps of the route include a highly stereoselective introduction of the methyl group at C-1 and the installation of the side chain with the aromatic moiety using Julia–Kocieński olefination at C-5 of the starting carbon skeleton. This strategy was applied in the synthesis of novel varitriol analogues and a subsequent SAR study [31]. Krause et al. [32] reported the synthesis of (+)-1 and its analogues. The authors utilized the Horner–Wittig–Emmons (HWE) condensation of the aromatic phosphonate and the chiral furanoside aldehyde, which was obtained from hept-2-en-4-ynol (10) using asymmetric synthesis. The linkage of the aromatic and sugar moieties was also achieved by a Heck C-C cross-coupling reaction between an aromatic triflate and an olefinic furanoside prepared from d-mannitol [33] (path c). Liu and coworkers [23] have developed a short synthesis of (+)-1 by applying the Sonogashira reaction. The cross-coupling allowed the connection of the alkynic sugar moiety, obtained from d-ribose, and the aromatic triflate (path d). He and Qin [24] reported the formal synthesis of (+)-1 using the Zn-catalyzed cross-coupling of the corresponding furanoside acetate with a benzene-derivative-bearing terminal alkynyl group (path d). Finally, varioxirane (2) was successfully converted into varitriol ((+)-1) via the intramolecular ring opening of the epoxide (path e) [34], supporting the proposed biosynthetic pathway [11].
Varioxirane and Andytriol
Sudhakar and Raghvaiah [34] developed the first synthesis of varioxirane (2) (Scheme 4). The synthesis commenced with the Sharpless kinetic resolution of α-hydroxy ester 11, which afforded the epoxy alcohol 12 with the configuration corresponding to the target compound 2. The key intermediate for Horner–Wittig–Emmons olefination, the phosphonate 14, was obtained in two steps. A silylation of the secondary hydroxyl in 12 furnished 13, which was treated with lithiated methyl phosphonate to afford 14. The coupling of the phosphonate 14 with the aldehyde 15, prepared from dimethylanisol [21], afforded ketone 16. The desilylation of 16 with the subsequent reduction of ketone 17 using LiEt3BH in ether led to the desired anti-diol 18 with high diastereoselectivity (dr 32:1). The final deacetylation of 18 provided the target varioxirane (2) in seven reaction steps with a total yield of 15%.
The authors also carried out the synthesis of an enantiomer of the proposed biosynthetic precursor, (1E,3S,4R,5E)-1-(2-hydroxymethyl-3-methoxyphenyl)hepta-1,5-diene-3,4-diol (ent-6) (antipode of natural andytriol (6) [14]), from the unreacted α-hydroxy ester (R)-11 isolated after the Sharpless kinetic resolution of the racemic 11 (Scheme 5). Thus, the silylation of (R)-11 (er 98.6:1.4, HPLC) gave 19, which was converted to the appropriate coupling partner 20 using methyl phosphonate with nBuLi in THF. Under HWE reaction conditions, 20 was coupled with aldehyde 15 to yield 21. Lastly, a three-step sequence involving the removal of a TBS protecting group, the reduction of the carbonyl group using optimized reaction conditions (LiEt3BH, Et2O, −78 °C), and acetyl deprotection provided unnatural ent-6.
In 2014, Gracza and coworkers [14] described the first synthesis of natural andytriol (6) by employing the Julia–Kocieński olefination of aromatic sulfone 23/25 with corresponding hexenose 31 (Scheme 6). The requisite sulfones 23 and 25 were prepared by applying the known three-step protocol utilizing dibromide 22 [35] and chloride 24 [36,37] obtained from dimethyl anisole and 3-methoxy benzaldehyde, respectively. The aldehydic fragment for the olefination, hexenose 31, was prepared from 2,3-O-isopropylidene-d-ribose (26) in seven steps (48% overall yield). The Grignard addition of propyn-1-ylmagnesium bromide at C-1 of 26, followed by the oxidative cleavage of the vicinal diol using NaIO4, provided single diastereomer 27 in a 77% yield in a form of anomeric lactols. An LAH reduction of both the triple bond and carbonyl group in 27 afforded partially protected tetraol 28. Its regioisomer, tetraol 30, was prepared using a selective protection–deprotection sequence. Thus, the acidic hydrolysis of the 2,3-acetonide group in 28 afforded 29. The introduction of 2,2-dimethoxypropane in the presence of Dowex H+ to all hydroxy groups, followed by the regioselective hydrolysis of the terminal acetonide, gave vicinal diol 30. The mild oxidation of diol 30 using NaIO4, produced crude hexenal 31, which was then subjected to Julia–Kocieński olefination with sulfones 23 and/or 25. The final removal of all protecting groups furnished natural alcohol 6.
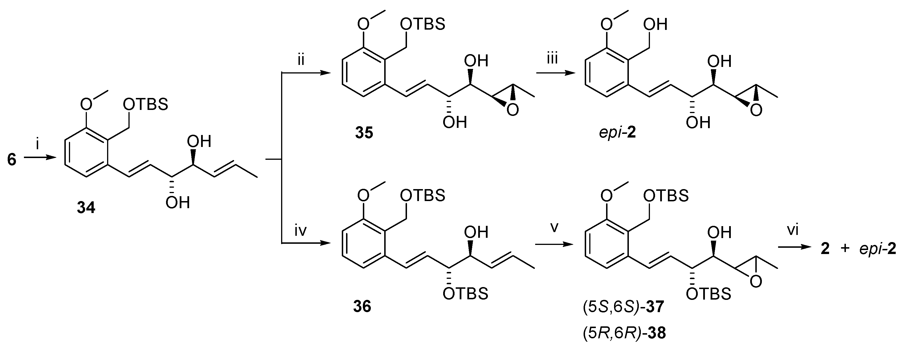
Furthermore, the authors explored a biomimetic epoxidation of 6 to construct the oxirane ring of the varioxirane (2) (Scheme 7). While the epoxidation of diene 6 using d-DET in a Katsuki–Sharpless reaction led to the unwanted 1,2-epoxy product, the silyl-protected diene 34 with d-DIPT, Ti(OiPr)4, and TBHP in CH2Cl2 provided epoxide 35, with high diastereoselectivity. A TBAF desilylation provided the undesired 2,3-di-epi-varioxirane (epi-2). The reaction of bis-silylated alcohol 36 using d-DET provided a 5:7 mixture of 2,3-epoxides 37 and 38 (75% yield). The deprotection of these epoxides using a TBAF reagent provided a mixture of 2 and ent-2 in a ratio of 1:1 in a 79% yield.

2.2. Varioxiranols

2.2.1. Isolation

A chemical examination [38] of a sponge-derived microorganism, the fungus Emericella variecolor XSA-07-2, resulted in the isolation of eight new polyketide derivatives 3946, along with their previously characterized analogues 1, 2, 6, 47, and 48 (Figure 2). Structure elucidation revealed that metabolites 3945 (varioxiranols A–G) comprise the same benzyl alcohol scaffold as andytriol (6), which can also be found in several other species of the fungus: Emericella variecolor (Emericella variecolor XSA-07-02 [38], Aspergillus variecolor, and Cinachyrella sp. [12,13]). An examination of fungus Emericella variecolor XSA-07-2 revealed other interesting findings, such as an unprecedented etheric bond between benzyl alcohol and a xanthone moiety in varioxiranols F (44) and G (45). The presence of a dioxolane group in derivative 43 is also worth mentioning, as it is generally quite rare and unusual in nature [39].

2.2.2. Biosynthesis

The authors described varioxiranols F (44) and G (45) as products derived from the coupling of tajixanthone (48) with varioxiranol A (39) and andytriol (6), respectively (Scheme 8). The epoxide ring of tajixanthone (48) is formed by the oxidation of the carbon–carbon double bond at the prenyl group of 4, which is mediated by cyclooxygenase [40]. The oxirane ring of 48 is then opened at the C-16 position by a nucleophilic attack of benzyl alcohol 6 or 39 to form varioxiranols F (44) and G (45). According to the authors, the enzymatic mediation of the epoxide ring opening is necessary to achieve the formation of ethers 44 and 45 with such high regioselectivity [38].

2.2.3. Bioactivity

Isolated metabolites 1, 2, 6, and 3947 were tested for lipid-lowering effects against oleic acid (OA)-elicited lipid accumulation in HepG2 liver cells. Varioxiranol A (39), andytriol (6), and preshamixanthone (47) exhibited inhibitory effects at a dose of 10 μM, and they did not show any toxicity up to 100 μM towards the tested cells. Preshamixantone (47), as the metabolite with the highest activity levels, has shown an inhibitory effect comparable to the positive control simvastatin. In addition, a further evaluation revealed that compound 47 exhibited inhibition against intracellular triglyceride (TG) levels and dramatically reduced total cholesterol (TC) at a dose of 10 μM. Varioxiranol A (39) reduced TG levels with weak effects on TC, whereas andytriol (6) showed exactly opposite results, as it induced a reduction in TC, with a weak effect on TG levels. These surprising findings suggest there is a distinct mechanism for the anti-hyperlipidemic effects, since 6 differs from 39 only by having an extra double bond.

2.2.4. Synthesis of Varioxiranol A and 4-Epi-Varioxiranol A

Lásiková and coworkers [41] have developed the only total synthesis of varioxiranol A (39) to date (Scheme 9). This chiral pool approach employed Julia–Kocieński olefination to connect the aromatic sulfone and the carbohydrate fragment. The synthesis of alkyl fragment 54 commenced from 2,3-O-isopropylidene d-glyceraldehyde (49), employing the Grignard addition, TBS protection, and acetonide deprotection to give a diastereomeric mixture of partially protected l-erythro/d-threo triols 52 in the ratio of 67:33. The aldehyde 54 was prepared using a selective protection–deprotection sequence involving a selective tritylation of the primary alcohol in 52, followed by the acetylation of the secondary hydroxyl group and smooth tritylether hydrolysis using formic acid in ether furnishing alcohol 53. The Swern oxidation of alcohol provided the desired aldehyde 54, which was subjected to Julia–Kocieński coupling with sulfone 23. The resulting E-alkenes 55/epi-55 were separated by MPLC and the final removal of all protecting groups, which were run in parallel with the pure diastereomers 55 and epi-55. The first basic hydrolysis of acetyl groups was followed by the treatment of the mixture with TBAF in THF, and finally flash chromatography purification furnished the target compounds 39 and epi-39 in 92% and 57% yields, respectively. The absolute stereochemistry of both natural varioxiranol A (39) and its 4-epimer epi-39 was confirmed by a single-crystal X-ray analysis.

2.3. Varioxiranediol

2.3.1. Isolation

New strain of polyketide derivatives with benzyl alcohol scaffolds 56, 57, and 58, along with previously established analogue 2 [11,42] was obtained by the bioassay-guided isolation of metabolites from cultures of the plant-derived fungus Emericella sp. TJ29 (Figure 3) [42,43]. During the structural evaluation of 5658, a benzofuran motif appeared to be reoccurring, and the relative configuration of the stereogenic centers was further established based on spectroscopic experiments (HMBC, COSY, TOCSY, and NOESY) and an X-ray analysis [17,18]. The stereochemistry of the alkyl chain of polyketides 5658 corresponds to the configuration of andytriol (6).

2.3.2. Bioactivity

Wang, Xue, Zhang, and coworkers [43] performed an extensive biological screening against five antibiotic-resistant bacteria to try to identify promising novel antibiotics. Among the isolated compounds, varioxiranediol A (56) demonstrated the highest antibacterial activity against ESBL-producing E. coli and P. aeruginosa, with MICs of 4 μg/mL for both strains.

2.4. Pyricuol and Pyriculols

2.4.1. Isolation

In 1969, the fungus Magnaphorthe grisea (syn. Pyricularia oryzae) caused massive damage to a rice plant in Japan and other Asian countries. This fungus produces several different phytotoxic compounds 5966 [40,44,45,46,47] that are structurally very similar to andytriol (6) (Figure 4). Among the secondary metabolites 5971, epi-dihydropyriculol (63) and epi-pyriculol (61) were isolated. Benzyl alcohols 63 and 61 represent the first case of secondary metabolites isolated from the studied genera of fungi in which a syn-arrangement of aliphatic hydroxyl groups was observed.

2.4.2. Biosynthesis

In 2011, Tanaka et al. [48] synthetized heptatrienylsalicylaldehyde (73) in a deuterium-labeled form as a plausible intermediate for the biosynthesis of metabolites 5966. Based on a biosynthetic study, the authors proposed a biosynthetic pathway of polyketides derivatives 5966 (Scheme 10). Their findings showed that the biosynthesis of 73 involves the condensation of acetyl-CoA with malonyl-CoA and the subsequent aromatization of polyketide 72. The resulting triene 73 appears to be biosynthetic precursor for salicylaldehyde-type metabolites [49]. An epoxidation of the C-5–C-6 double bond of 73, followed by the hydrolysis of the oxirane ring in 76a and 76b, gives pyriculariol (64). A reduction of the aromatic aldehyde 64 affords dihydropyriculariol (65). Similarly, a fermentation by a shaking culture allows the epoxidation of the 3,4 double bond of 73, which leads to the formation of epoxides 74a and/or 74b. Epoxy rearrangement in 74a and/or 74b (routes b and b′), followed by the regiospecific reduction of the aliphatic aldehyde 75, provides pyricuol (59). The hydrolysis of epoxides 74a and 74b provides pyriculol (60) with the 3R,4S absolute configuration (routes a and a′). The authors claimed that the biosynthesis of 60 could be performed by asymmetric epoxidation followed by regioselective hydrolysis and/or non-stereoselective oxidation followed by stereospecific hydration. The oxidation and reduction of 60 provide pyriculone (66) and dihydropyriculol (62), respectively. Interestingly, the only structural difference between dihydropyriculol (62) and the secondary metabolite of Emericella species, andytriol (6), is the presence of a methyl group attached to the phenolic OH.
Recently, the gene encoding a polyketide synthase, MoPKS19, in M. oryzea was identified to be responsible for the biosynthesis of pyriculol and related compounds [47] MoPKS19 resides in a gene cluster that contains additional biosynthetic enzymes found in fungal PKS pathways, including oxidoreductases and cupin-domain-containing proteins. The roles of most of the other enzymes in this cluster are unknown.

2.4.3. Bioactivity

Magnaporthe species are a huge threat for rice plants. Their metabolites have strong phytotoxic properties and cause the inhibition of growth and leaf damage at levels as low as 60–500 ppm [50]. An investigation of the metabolites showed that pyriculol (60) is responsible for the disease. The results suggested that salicylaldehyde functionality brings about the phytotoxicity since benzyl alcohols 62 and 63 were described as non-phytotoxic [51].

2.4.4. Synthesis

Pyriculol
Among the phytotoxic metabolites [39,44,45,46,47] produced by Pyricularia oryzae, three were synthesized, and their definitive structures as well as the absolute configurations were determined [52,53,54,55,56,57,58]. First, pyriculol (60) [39], a compound bearing a salicylaldehyde moiety with an unsaturated side chain containing two stereogenic centers, was prepared [52,53]. The authors developed a convergent approach based on the preparation of aromatic and aliphatic fragments and their subsequent condensation (Scheme 11). The aromatic synthon was prepared from 2,3-dimethylphenol (77) in accordance with the previously reported protocol [59]. The phenol 77 was acetylated and successively treated with N-bromosuccinimide, sodium acetate, potassium hydroxide or lithium aluminum hydride, and 2,2-dimethoxypropane or acetone to give 78. The resulting hydroxyacetonide 78 was converted to a corresponding chloride 79 using triphenylphosphine-carbon tetrachlochloride, which was transformed into phosphonium salt 80. The synthesis of the side chain moiety commenced with 2,3-O-cyclohexylidene-d-glyceraldehyde (81), which afforded upon prop-1-ynyllithium addition, followed by an LAH reduction of the carbon–carbon triple bond, a separable diastereomeric mixture of E-allylic alcohols 82 (erythro/threo, 2.1:1). In addition, the threo-diastereomer was transformed into erythro-triol using a Mitsunobu inversion. The erythro product 82 was converted to the carbonate 84 through the following sequence: the removal of a cyclohexylidene group from 82 with 70% acetic acid, the tritylation of a primary hydroxyl group, the cyclic carbonation of a residual 2,3-diol with dimethyl carbonate and sodium hydride, and finally the acidic hydrolysis of the trityl protecting group, providing the alcohol 83. The Swern oxidation of 83 gave aldehyde 84, which was used without further purification in Wittig olefination with 80. A mixture of geometrical isomers 85 (E/Z, 4:1) was obtained in a 32% yield over two steps. The desired E-isomer was obtained by thin-layer chromatography. The acetonide protection on the aromatic ring was removed with p-TsOH upon refluxing in an aqueous THF solution to give a hydroxymethyl moiety. Finally, the oxidation of a primary alcohol with activated manganese dioxide, followed by the hydrolysis of a carbonate protecting group, gave pyriculol (60).
Pyricuol
In 2003, Kiyota and coworkers [54] developed a synthesis of pyricuol (59), which allowed the confirmation of its structure. However, the absolute configuration remained undetermined. Even though its following syntheses, commencing from (R)-lactate [55] and/or l-serine [56] provided the unnatural enantiomer (S)-59, they allowed the confirmation of the absolute stereochemistry of the natural pyricuol (59). Based on these results, the authors [57] successfully carried out the first synthesis of natural pyricuol (59) employing Stille coupling and [2,3]-Wittig rearrangement reactions as the key steps (Scheme 12). Aromatic fragment 88, bearing a tributyltin group, was obtained from the known aldehyde 86 [60]. The treatment of 86 with Ohira–Bestmann [61,62] reagent, followed by hydrostannylation of 87 using Bu3SnH/CuCN/BuLi in THF, gave styryltin compound 88. The partner for the C-C cross-coupling reaction, Z-vinyl iodide 90, was prepared from the corresponding aldehyde 89 [63] via a Wittig olefination reaction with (Ph3P+CH2I)I in the presence of NaHMDS. An undesired E-isomer was removed using column chromatography. The Stille coupling of 88 with 90 afforded aromatic diene 91. The TBAF removal of the silyl protecting group provided dienol 92 in a 20% yield over three steps. Next, the free hydroxyl group was etherified with Bu3SnCH2I, and the resulting stannylmethyl ether was treated with nBuLi, giving a [2,3]-Wittig-rearranged product 93. The acidic hydrolysis of 93, yielding 94, followed by the selective oxidation of the benzylic hydroxy group with MnO2, furnished natural (R)-pyricuol (59).
Pyriculariol
In 2009, Kiyota and coworkers [58] reported the first total synthesis of (-)-pyriculariol (64). The synthesis of the alkenyl chain commenced with a Ferrier reaction of l-rhamnal diacetate (95) [64] providing aliphatic 96, which upon the acetylation of the free hydroxyl group provided aldehyde 97 (Scheme 13). A Corey–Fuchs reaction using PPh3/CBr4, followed by the basic hydrolysis of both acetyl protecting groups in 98, afforded diol 99. The treatment of 99 with nBuLi gave enynediol 100, which was converted into dienyl stannane 101 by radical-promoted hydrostannylation with Bu3SnH. Finally, two fragments (stannyl compound 101 and aromatic triflate 102 [64]) were coupled using the abovementioned procedure (Stille coupling) employing Pd2dba3, AsPh3, and LiCl in dimethylformamide under microwave irradiation, which allowed the formation of the desired product 64.

2.5. Sordarials

2.5.1. Isolation and Identification of Metabolites

A group of polyketide metabolites was isolated from the endophytic fungus Sordaria macrospora (Figure 5) [50,51,65]. Among the previously characterized polyketides 6, 60, and 62, new benzyl alcohol derivatives, trans-sordariol (103) and two isobenzofuranyl derivatives (104 and 105), were identified in the metabolite mixture obtained from the medium and the mycelium extracts [50]. An additional thorough reinvestigation of the S. macrospora broth extracts afforded sordarial (106), heptacyclosordariolone (107), sordariolone (108), cyclosordariolone (109), and cis-sordariol (110) [51].
Yang, Kong, and coworkers [65] described the structure elucidation and antioxidant activities of polyketides 109116 isolated from solid cultures of S. macrospora that were obtained from the bark of Ilex comuta. The hexaketides from S. macrospora are chemically related to the heptaketide pyriculol family, in which all products, except for 109, contain a 1,2,3-trisubstituted benzene ring. Another typical structural motif, an alkenyl vicinal diol attached to an aromatic ring, was observed in these metabolites. The absolute configuration 3R,4S was established for all determined structures. Moreover, the dimeric metabolites 4851 were identified for the first time. Bisordariol A (113) and B (114) can be described as sordariol dimers connected via a new C-C bond, while bisordarial C (115) and D (116) represent novel ether-bond-linked sordariol dimers.

2.5.2. Biosynthesis

Scheme 14 shows the proposed biosynthesis [47] of sordarial (106). The experimental results could indicate that the srd gene cluster (srdA, srdB, srdC, srdD, srdE, and srdG) is responsible for the synthesis of sordarial. The authors suggested that a polyketide chain 117 is formed by the condensation of one molecule of acetyl-CoA and five molecules of malonyl-CoA. Formed hexaketide is then reductively released from PKS as an aldehyde 117, and a corresponding hydroxyl group is enzymatically oxidized to give 118. Ketone formation enables the intramolecular aldol condensation, which is followed by dehydration to yield salicylaldehyde 119. The selective epoxidation of the 3,4 double bond in 119 and the hydrolysis of the oxirane ring in 120 affords sordarial (106).
Although the biosynthesis of 103 has not been described so far, the formation of sordariol (103) by the reduction of the aldehyde group of 106 is conceivable.

2.5.3. Bioactivity

Metabolites of S. macrospora were tested for their antioxidant activities using ABTS radical scavenging assays with Trolox as a positive control [65,66]. Sordariol (103) was not phytotoxic towards race roots or race shoots [50] and did not show any immunosuppressive activity [66]. In contrast to the monomeric compounds of this origin, the dimers 113115 exhibited more potent effects. The authors suggested that the way in which the dimers are connected affects the ABTS radical scavenging abilities, considering that bisordariol D (51) showed a significantly higher value of EC50 (57.6 ± 7.5 mM) compared to the rest of the dimers 113115.
Additionally, the compounds were tested for their cytotoxicity against human tumor cell lines U2OS, MCF-7, and HepG2. No activity was observed at concentrations up to 50.0 mM [31].

2.6. Agropyrenols, Agropyrenals, and Agropyrenone

2.6.1. Isolation and Identification

A phytotoxicity-guided isolation of metabolites from the strain Ascochyta agropyrina var. nana, a fungal pathogen of the perennial weed Elytriga repens, afforded several toxins in the liquid medium (Figure 6) [67]. The main metabolite, agropyrenol (121), was determined to be a syn-diastereomer of sordarial (106). Two other minor metabolites (122 and 123) were isolated from the less polar fraction during the column chromatography separation. They were characterized as trisubstituted naphthalene carbaldehyde 122 and pentasubstituted 3H-benzofuranone 123, respectively.

2.6.2. Bioactivity

Preliminary tests on leaves of several weed species have disclosed the relatively low phytotoxicity of agropyrenol (121) and agropyrenal (122), while agropyrenone (123) was described as inactive. None of the metabolites showed antibiotic, fungicidal, or zootoxic activity [67]. Considering the simple chemical structure of agropyrenol (121) and the identified biological properties, the authors decided to perform an SAR study of this metabolite to determine its potential as a new natural herbicide [68]. Compounds 124129, prepared by the modification of the functional groups of 121 (Figure 6), were assayed for phytotoxic, antibacterial, and zootoxic activities, and the SAR was examined. The results of the tests on nonhost weedy and agrarian plants, fungi, Gram-positive and Gram-negative bacteria, and brine shrimp larvae are summarized in Table 1. The data show that the presence of the double bond and the diol in the aliphatic chain as well as the aldehyde group attached to the aromatic ring seems to play a key role in the biological activity of agropyrenol (121). The introduction of protecting groups (compounds 124, 125, and 129) did not cause any significant loss of the biological activity, as the authors assumed that their hydrolysis occurs at a physiological pH. These less polar derivatives of agropyrenol (121) also showed significant zootoxic and slight antimicrobial activities. The results from this biological activity evaluation could be useful in the testing of other secondary metabolites.

2.7. Heterocornols

2.7.1. Isolation and Identification

Genus Pestalotiopsis represents another producent of salicylaldehyde-type metabolites. In 2017, Huang, Han, and coworkers [68] described twelve new polyketides derived from salicylaldehyde. The investigation of the fermentation extract of Pestalotiopsis heterocornis led to the isolation of heterocornols A–E (130134) and heterocornols F–L (135141), together with the known compounds methyl-(2-formyl-3-hydroxyphenyl)propanoate (146), cladoacetal A (151) [69], xylarinol C (147) [70], agropyrenol (121) [67], vaccinol G (148) [71], (R)-3-hydroxy-1-[(R)-4-hydroxy-1,3-dihydroisobenzofuran-1-yl]butan-2-one (149) [72], and (R)-3-hydroxy-1-[(S)-4-hydroxy-1,3-dihydroisobenzofuran-1-yl]butan-2-one (150) [72] (Figure 7). Another four new polyketides of this type, heterocornols M (142) and N (143) and a pair of epimers, heterocornols O (144) and P (145), were isolated from a refermented strain of P. heterocornis in the same culture medium [73] (Figure 7).

2.7.2. Biosynthesis

Polyketides are common biosynthetic precursors in the synthesis of aromatics and macrolides in microorganisms. Based on the structural similarities of the heterocornols to sordarial (106), the biosynthesis of which is described (Scheme 14) [47] it can be assumed that the biosynthesis of these secondary metabolites proceeds very similarly. The authors [69] suggest that the identified secondary metabolites from Pestalotiopsis heterocornis were formed from complementary polyketide precursors in the presence of PKSs. Scheme 15 shows the reaction centers where the enzymatic transformations occur. The length of the chain and the structures of the final polyketide derivatives depend on the number of malonyl-CoAs that participate the condensation reaction.

2.7.3. Bioactivity

Metabolites of P. heterocornis were evaluated by an MTT assay for their cytotoxic activities against four human cancer cell lines, including a human gastric carcinoma (BGC-823), a human large-cell lung carcinoma (H460), a human prostate cancer (PC-3), and a human hepatocellular carcinoma (SMMC-7721) [68]. 6-Alkylsalicylaldehydes 121, 130, 131, 135, 146, and 148 and benzooxepines 132, 136, and 137 showed moderate cytotoxicity, with IC50 values of 15–100 μM with adriamycin assayed as a positive control. In the antimicrobial assay, the MIC values for the same compounds were evaluated between 25 and 100 μg/mL for the pathogens Staphylococcus aureus and Bacillus subtilis. The antifungal properties of the isolated derivatives appeared to be dependent on the presence of a pent-4-ene-2,3-diol block. The derivatives 132, 121, 136, and 148 showed moderate antifungal activity against Candida parapsilosis and Cryptococcus neofromans at 100 μg/mL (Table 2).
Heterocornols M–P (142145), together with polyketide derivatives 149, 150, and 152, were evaluated for their cytotoxicity against a carcinoma cell line (Ichikawa), gastric cancer (BGC-823), liver cancer (HepG2), and kidney cancer (7860). The tested metabolites showed activity, with IC50 values of 20.4–94.2 μM. Compounds 143 and 152 showed no cytotoxic activity [73].

3. Conclusions

To date, more than 100 polyketides containing either benzyl alcohol or a salicylaldehyde aromatic moiety have been isolated and characterized. These secondary metabolites are mainly produced by the fungus Emericella variecolor, which is widely distributed in marine and terrestrial environments. Structurally related polyketides derivatives of the benzyl alcohol/salicylaldehyde-type were obtained from other genera of the ascomycetes, namely Sordaria, Magnaporthe, Pestalotipsis, and Ascochyta. The biosyntheses of these polyketide structures involve the condensation of acetyl-CoA with malonyl-CoA in the presence of the specific polyketide synthases (PKS) and the subsequent aromatization of the polyketide chain. The resulting salicylaldehyde derivative with an aliphatic polyenyl substituent appears to be key for the biosynthesis of salicylaldehyde- and benzyl alcohol-type metabolites. The reported polyketide derivatives exhibited valuable bioactivities, particularly those of marine origin. The highest cytotoxicity towards the human cell line panel was demonstrated with varitriol (1), while agropyrenol (121) and other polyketides of the salicylaldehyde-type, such as heterocornols 130132 and 135137, showed moderate activity. In the antimicrobial test, the MIC values ranged from 25 to 100 μg/mL in the pathogens Staphylococcus aureus and Bacillus subtilis. Interesting results were obtained in tests for lipid-lowering effects against oleic acid in HepG2 liver cells. Varioxiranol A (39), andytriol (6), and preshamixanthone (11) exhibited inhibitory effects at a dose of 10 μM and showed no toxicity up to 100 μM toward the tested cells. Moreover, preliminary tests of agropyrenol (121) and its derivatives 124129 showed significant zootoxic and slight antimicrobial activities. This article also provides an overview of the laboratory syntheses of polyketides containing benzyl alcohol or salicylaldehyde functionalities (Table 3). We believe that a deeper understanding of the structural elements influencing biological properties offers a powerful tool for the controlled and rational design of new drugs or phytoherbicides based on natural polyketide derivatives.

Author Contributions

Conceptualization, A.L. and T.G.; methodology, M.Š. and A.L.; literature studies, M.Š. and T.G.; writing—original draft preparation, M.Š. and T.G.; writing—review and editing, M.Š., T.G., and A.L.; supervision, A.L.; project administration, T.G.; funding acquisition, T.G. All authors have read and agreed to the published version of the manuscript.

Funding

This research was funded by the Slovak Grant Agencies (1/0766/20 and APVV-20-0105).

Institutional Review Board Statement

Not applicable.

Data Availability Statement

Not applicable.

Conflicts of Interest

The authors declare no conflict of interest.

References

  1. Baerson, S.R.; Rimando, A.M. Polyketides: Biosynthesis, Biological Activity, and Genetic Engineering; ACS Publications: Washington, DC, USA, 2007. [Google Scholar]
  2. Cummings, M.; Breitling, R.; Takano, E. Steps towards the synthetic biology of polyketide biosynthesis. FEMS Microbiol. Lett. 2014, 351, 116–125. [Google Scholar] [CrossRef] [PubMed]
  3. Dechert-Schmitt, A.-M.R.; Schmitt, D.C.; Gao, X.; Itoh, T.; Krische, M.J. Polyketide construction via hydrohydroxyalkylation and related alcohol C–H functionalizations: Reinventing the chemistry of carbonyl addition. Nat. Prod. Rep. 2014, 31, 504–513. [Google Scholar] [CrossRef] [PubMed]
  4. Berkeley, M.J. Reviews: Introduction to Cryptogamic Botany. J. Cell Sci. 1858, s1-6, 176–183. [Google Scholar] [CrossRef]
  5. Pitt, J.I.; Samson, R.A.; Frisvad, J.C. List of Accepted Species and Their Synonyms in the Family Trichocomaceae. In Integration of Modern Taxonomic Methods for Penicillium and Aspergillus Classification; Samson, R.A., Pitt, J.I., Eds.; Harwood Academic Publishers: Amsterdam, The Netherlands, 2000; pp. 9–49. [Google Scholar]
  6. Frisvad, J.C.; Samson, R.A. Emericella venezuelensis, a New Species with Stellate Ascospores Producing Sterigmatocystin and Aflatoxin B1. Syst. Appl. Microbiol. 2004, 27, 672–680. [Google Scholar] [CrossRef]
  7. Christensen, M.; States, J.S. Aspergillus nidulans Group: Aspergillus navahoensis, and a Revised Synoptic Key. Mycologia 1982, 74, 226. [Google Scholar] [CrossRef]
  8. Peterson, S.W. Phylogenetic relationships in Aspergillus based on rDNA sequence analysis. In Integration of Modern Taxonomic Methods for Penicillium and Aspergillus Classification; Samson, R.A., Pitt, J.I., Eds.; Harwood Academic Publishers: Amsterdam, The Netherlands, 2000; pp. 323–355. [Google Scholar]
  9. Houbraken, J.; Due, M.; Varga, J.; Meijer, M.; Frisvad, J.; Samson, R. Polyphasic taxonomy of Aspergillus section Usti. Stud. Mycol. 2007, 59, 107–128. [Google Scholar] [CrossRef]
  10. Malloch, D.; Cain, R.F. New species and combinations of cleistothecial Ascomycetes. Can. J. Bot. 1972, 50, 61–72. [Google Scholar] [CrossRef]
  11. Malmstrøm, J.; Christophersen, C.; Barrero, A.F.; Oltra, J.E.; Justicia, J.; Rosales, A. Bioactive metabolites from a marine-derived strain of the fungus Emericella variecolor. J. Nat. Prod. 2002, 65, 364–367. [Google Scholar] [CrossRef]
  12. Dunn, A.W.; Entwistle, I.D.; Johnstone, R.A. Terrein and other metabolites of Phoma species. Phytochemistry 1975, 14, 2081–2082. [Google Scholar] [CrossRef]
  13. Dunn, A.W.; Johnstone, A.W. Fungal Metabolites. Part 8. Isolation of 2-methoxy-6-(3,4-dihydroxyhepta-1,3-dienyl)benzyl alcohol. J. Chem. Soc. Perkin Trans. 1979, 1, 2122–2123. [Google Scholar] [CrossRef]
  14. Markovič, M.; Lopatka, P.; Koóš, P.; Gracza, T. First total synthesis of natural andytriol and a biomimetic approach to varioxiranes. Tetrahedron 2015, 71, 8407–8415. [Google Scholar] [CrossRef]
  15. Clemens, R.T.; Jennings, M.P. An efficient total synthesis and absolute configuration determination of varitriol. Chem. Commun. 2006, 25, 2720–2721. [Google Scholar] [CrossRef] [PubMed]
  16. Majik, M.; Tilvi, S.; Parvatkar, P. Recent Developments Towards the Synthesis of Varitriol: An Antitumour Agent from Marine Derived Fungus Emericella Variecolor. Curr. Org. Synth. 2014, 11, 268–287. [Google Scholar] [CrossRef][Green Version]
  17. McAllister, G.D.; Robinson, J.E.; Taylor, R.J. The synthesis of (−)-varitriol and (−)-3′-epi-varitriol via a Ramberg–Bäcklund route. Tetrahedron 2007, 63, 12123–12130. [Google Scholar] [CrossRef]
  18. Kumar, V.; Shaw, A.K. First total synthesis of (+)-varitriol. J. Org. Chem. 2008, 73, 7526–7531. [Google Scholar] [CrossRef]
  19. Nagarapu, L.; Paparaju, V.; Satyender, A.; Bantu, R. Total synthesis of (+)-varitriol via a symmetrical furanose diol as the key intermediate. Tetrahedron Lett. 2011, 52, 7075–7078. [Google Scholar] [CrossRef]
  20. Srinivas, B.; Sridhar, R.; Rao, K.R. Stereoselective total synthesis of (+)-varitriol. Tetrahedron 2010, 66, 8527–8535. [Google Scholar] [CrossRef]
  21. Ghosal, P.; Sharma, D.; Kumar, B.; Meena, S.; Sinha, S.; Shaw, A.K. Diastereoselective one-pot Wittig olefination–Michael addition and olefincross metathesis strategy for total synthesis of cytotoxic natural product (+)-varitriol and its higher analogues. Org. Biomol. Chem. 2011, 9, 7372–7383. [Google Scholar] [CrossRef]
  22. Vamshikrishna, K.; Srihari, P. Total synthesis of (+)-varitriol and (+)-6′-epi-varitriol. Tetrahedron 2012, 68, 1540–1546. [Google Scholar] [CrossRef]
  23. Zeng, J.; Vedachalam, S.; Xiang, S.; Liu, X.-W. Direct C-glycosylation of organotrifluoroborates with glycosyl fluorides and its application to the total synthesis of (+)-varitriol. Org. Lett. 2011, 13, 42–45. [Google Scholar] [CrossRef]
  24. He, H.; Qin, H.B. ZnBr2-catalyzed direct C-glycosylation of glycosyl acetates with terminal alkynes. Org. Chem. Front. 2018, 5, 1962–1966. [Google Scholar] [CrossRef]
  25. Mahadevegowda, S.H.; Khan, F.A. Synthesis of the tetrahydrofuran unit of varitriol and γ-butyrolactones from 5-oxabicyclo[2.1.1]hexane derivative via oxidative cleavage reactions. Tetrahedron Lett. 2014, 55, 2266–2269. [Google Scholar] [CrossRef]
  26. Sánchez-Eleuterio, A.; García-Santos, W.H.; Díaz-Salazar, H.; Hernández-Rodríguez, M.; Cordero-Vargas, A. Stereocontrolled Nucleophilic Addition to Five-Membered Oxocarbenium Ions Directed by the Protecting Groups. Application to the Total Synthesis of (+)-Varitriol and of Two Diastereoisomers Thereof. J. Org. Chem. 2017, 82, 8464–84754. [Google Scholar] [CrossRef]
  27. Brichacek, M.; Batory, L.A.; McGrath, N.A.; Njardarson, J.T. The strategic marriage of method and motif. Total synthesis of varitriol. Tetrahedron 2010, 66, 4832–4840. [Google Scholar] [CrossRef]
  28. Palík, M.; Karlubíková, O.; Lásiková, A.; Kožíšek, J.; Gracza, T. Total Synthesis of (+)-Varitriol. Eur. J. Org. Chem. 2009, 73, 7526–7531. [Google Scholar] [CrossRef]
  29. Palík, M.; Karlubíková, O.; Lackovičová, D.; Lásiková, A.; Gracza, T. Formal synthesis of (+)-varitriol. Application of Pd(II)/Cu(II)-catalysed bicyclisation of unsaturated polyols. Tetrahedron 2010, 66, 5244–5249. [Google Scholar] [CrossRef]
  30. Gracza, T.; Karlubíková, O.; Palík, M.; Lásiková, A. An Efficient Total Synthesis of (+)-Varitriol from d-Ribonolactone. Synthesis 2010, 2010, 3449–3452. [Google Scholar] [CrossRef]
  31. Caletková, O.; Lásiková, A.; Hajdúch, M.; Džubák, P.; Gracza, T. Synthesis and antitumour activity of varitriol and its analogues. Arkivoc 2012, 6, 365–383. [Google Scholar] [CrossRef]
  32. Sun, T.; Deutsch, C.; Krause, N. Combined coinage metal catalysis in natural product synthesis: Total synthesis of (+)-varitriol and seven analogs. Org. Biomol. Chem. 2012, 10, 5965–5970. [Google Scholar] [CrossRef]
  33. Ghosh, S.; Pradhan, T.K. Stereoselective total synthesis of (+)-varitriol, (−)-varitriol, 5′-epi-(+)-varitriol, and 4′-epi-(−)-varitriol from d-mannitol. J. Org. Chem. 2010, 75, 2107–2110. [Google Scholar] [CrossRef]
  34. Sudhakar, G.; Raghavaiah, J. Total synthesis of varitriol, varioxirane, and enantiomer of the proposed biosynthetic precursor. J. Org. Chem. 2013, 78, 8840–8846. [Google Scholar] [CrossRef]
  35. Dalence-Guzmán, M.F.; Berglund, M.; Skogvall, S.; Sterner, O. SAR studies of capsazepinoid bronchodilators. Part 1: The importance of the catechol moiety and aspects of the B-ring structure. Bioorg. Med. Chem. 2008, 16, 2499–2512. [Google Scholar] [CrossRef] [PubMed]
  36. Dillard, R.D.; Carr, F.P.; McCullough, D.; Haisch, K.D.; Rinkema, L.E.; Fleisch, J.H. Leukotriene receptor antagonists. 2. The [[(tetrazol-5-ylaryl)oxy]methyl]acetophenone derivatives. J. Med. Chem. 1987, 30, 911–918. [Google Scholar] [CrossRef] [PubMed]
  37. Yamagiwa, Y.; Ohashi, K.; Sakamota, Y.; Hirakawa, S.; Kamikawa, T.; Kubo, I. Syntheses of anacardic acids and ginkgoic acid. Tetrahedron 1987, 43, 3387–33940. [Google Scholar] [CrossRef]
  38. Wu, Q.; Wu, C.; Long, H.; Chen, R.; Liu, D.; Proksch, P.; Guo, P.; Lin, W. Varioxiranols A–G and 19-O-Methyl-22-methoxypre-shamixanthone, PKS and Hybrid PKS-Derived Metabolites from a Sponge-Associated Emericella variecolor Fungus. J. Nat. Prod. 2015, 78, 2461–2470. [Google Scholar] [CrossRef] [PubMed]
  39. Ebbole, D.J. Magnaporthe as a model for understanding host-pathogen interactions. Annu. Rev. Phytopathol. 2007, 45, 437–456. [Google Scholar] [CrossRef]
  40. Wu, X.; Fang, L.-Z.; Liu, F.-L.; Pang, X.-J.; Qin, H.-L.; Zhao, T.; Xu, L.-L.; Yang, D.-F.; Yang, X.-L. New prenylxanthones, polyketide hemiterpenoid pigments from the endophytic fungus Emericella sp. XL029 and their anti-agricultural pathogenic fungal and antibacterial activities. RSC Adv. 2017, 7, 31115–31122. [Google Scholar] [CrossRef]
  41. Lásiková, A.; Doháňošová, J.; Štiblariková, M.; Parák, M.; Moncol, J.; Gracza, T. First Total Synthesis of Varioxiranol A. Molecules 2019, 24, 862. [Google Scholar] [CrossRef]
  42. Liangsakul, J.; Pornpakakul, S.; Sangvichien, E.; Muangsin, N.; Sihanonth, P. Emervaridione and varioxiranediol, two new metabolites from the endophytic fungus, Emericella variecolor. Tetrahedron Lett. 2011, 52, 6427–6430. [Google Scholar] [CrossRef]
  43. He, Y.; Hu, Z.; Li, Q.; Huang, J.; Li, X.N.; Zhu, H.; Liu, J.; Wang, J.; Xue, J.; Zhang, Y. Spiroaspertrione A, a bridged spirocyclic meroterpenoid, as a potent potentiator of oxacillin against methicillin-resistant Staphylococcus aureus from Aspergillus sp. TJ23. J. Nat. Prod. 2017, 80, 2399–2405. [Google Scholar] [CrossRef]
  44. Kim, J.-C.; Min, J.-Y.; Kim, H.-T.; Cho, K.-Y.; Yu, S.-H. Pyricuol, a New Phytotoxin from Magnaporthe grisea. Biosci. Biotechnol. Biochem. 1998, 62, 173–174. [Google Scholar] [CrossRef] [PubMed]
  45. Iwasaki, S.; Muro, H.; Sasaki, K.; Woe, S.; Okuda, S. Isolations of phytotoxic substances produced by Pyricularia oryzae cavara. Tetrahedron Lett. 1973, 37, 3537–3542. [Google Scholar] [CrossRef]
  46. Kono, Y.; Sekido, S.; Yamaguchi, I.; Kondo, H.; Suzuki, Y.; Neto, G.C.; Sakurai, A.; Yaegashi, H. Structures of two novel pyriculol-related compounds and identification of naturally produced epipyriculol from Pyricularia oryzae. Agric. BioI. Chem. 1991, 55, 2785–2791. [Google Scholar] [CrossRef]
  47. Zhao, Z.; Ying, Y.; Hung, Y.S.; Tang, Y. Genome mining reveals neurospora crassa can produce the salicylaldehyde sordarial. J. Nat. Prod. 2019, 82, 1029–1033. [Google Scholar] [CrossRef] [PubMed]
  48. Tanaka, K.; Sasaki, A.; Cao, H.Q.; Yamada, T.; Igarashi, M.; Komine, I.; Nakahigashi, H.; Minami, N.; Kuwahara, S.; Nukina, M.; et al. Synthesis and biotransformation of plausible biosynthetic intermediates of salicylaldehyde-type phytotoxins of rice blast fungus, Magnaporthe grisea. Eur. J. Org. Chem. 2011, 31, 6276–6280. [Google Scholar] [CrossRef]
  49. Nukina, M.; Otsuki, T.; Kuniyasu, N. Microbial transformation of 1- and 2-phenyl-1-propenes by the fungus Pyricularia oryzae Cavara. Biosci. Biotechnol. Biochem. 1994, 58, 2293–2294. [Google Scholar] [CrossRef][Green Version]
  50. Bouillant, M.L.; Favre-Bonvin, J.; Salin, N.; Bernillon, J. Sordariol and related compounds, hexaketides in the fungus Sordaria macrospora. Phytochemistry 1988, 27, 1517–1519. [Google Scholar] [CrossRef]
  51. Bouillant, M.L.; Bernilion, J.; Favre-Bonvin, J.; Salin, N. New hexaketides related to sordariol in Sordaria macrospora. Z. Naturforsch. C 1989, 44, 719–723. [Google Scholar] [CrossRef]
  52. Suzuki, M.; Sugiyama, T.; Watanabe, M.; Yamashita, K. Synthesis of optically active pyriculol, a phytotoxic metabolite produced by Pyricularia oryzae Cavara. Agric. Biol. Chem. 1986, 50, 2159–21600. [Google Scholar] [CrossRef][Green Version]
  53. Suzuki, M.; Sugiyama, T.; Watanabe, M.; Murayama, T.; Yamashita, K. Synthesis and absolute configuration of pyriculol. Agric. Biol. Chem. 1987, 51, 1121–1127. [Google Scholar] [CrossRef]
  54. Kiyota, H.; Ueda, R.; Oritani, T.; Kuwahara, S. First Synthesis of (±)-Pyricuol, a Plant Pathogen Isolated from Rice Blast Disease Fungus Magnaporthe grisea. Synlett 2003, 2003, 0219–0220. [Google Scholar] [CrossRef]
  55. Nakamura, Y.; Kiyota, H.; Ueda, R.; Kuwahara, S. Synthesis to determine the absolute configuration of (−)-pyricuol, a phytotoxin isolated from rice blast disease fungus Magnaporthe grisea. Tetrahedron Lett. 2005, 46, 7107–7109. [Google Scholar] [CrossRef]
  56. Kiyota, H. Synthesis of naturally derived bioactive compounds of agricultural interest. Biosci. Biotechnol. Biochem. 2006, 70, 317–324. [Google Scholar] [CrossRef]
  57. Tanaka, K.; Nakamura, Y.; Sasaki, A.; Ueda, R.; Suzuki, Y.; Kuwahara, S.; Kiyota, H. Synthesis and plant growth inhibitory activity of both enantiomers of pyricuol, a phytotoxin isolated from rice blast disease fungus Magnaporthe grisea. Tetrahedron 2009, 65, 6115–6122. [Google Scholar] [CrossRef]
  58. Sasaki, A.; Tanaka, K.; Sato, Y.; Kuwahara, S.; Kiyota, H. First synthesis and absolute configuration of (−)-pyriculariol, a phytotoxin isolated from rice blast fungus, Magnaporthe grisea. Use of microwave irradiation to control Stille coupling reaction products. Tetrahedron Lett. 2009, 50, 4637–4638. [Google Scholar] [CrossRef]
  59. Sugiyama, T.; Watanabe, M.; Sassa, T.; Yamashita, K. Syntheses of monilidiol and dechloromonilidiol, phytotoxic octaketides of Monilinia fructicola. Agric. Biol. Chem. 1983, 47, 2411–2413. [Google Scholar] [CrossRef][Green Version]
  60. Suzuki, M.; Sugiyama, T.; Watanabe, M.; Murayama, T.; Yamashita, K. Syntheses of all four stereoisomers of pyriculol. Agric. Biol. Chem. 1987, 51, 2161–2166. [Google Scholar] [CrossRef]
  61. Ohira, S. Methanolysis of dimethyl (1-diazo-2-oxopropyl) phosphonate: Generation of dimethyl (diazomethyl) phosphonate and reaction with carbonyl compounds. Synth. Commun. 1989, 19, 561–564. [Google Scholar] [CrossRef]
  62. Müller, S.; Liepold, B.; Roth, G.J.; Bestmann, H.J. An Improved One-pot Procedure for the Synthesis of Alkynes from Aldehydes. Synlett 1996, 1996, 521–522. [Google Scholar] [CrossRef]
  63. Massad, S.K.; Hawkins, L.D.; Baker, D.C. A series of (2S)-2-O-protected-2-hydroxypropanals (L-lactaldehydes) suitable for use as optically active intermediates. J. Org. Chem. 1983, 48, 5180–5182. [Google Scholar] [CrossRef]
  64. Molander, G.A.; Dehmel, F. Formal Total Synthesis of Oximidine II via a Suzuki-Type Cross-Coupling Macrocyclization Employing Potassium Organotrifluoroborates. J. Am. Chem. Soc. 2004, 126, 10313–10318. [Google Scholar] [CrossRef]
  65. Li, T.; Wang, X.; Luo, J.; Yang, M.; Kong, L. Antioxidant sordariol dimers from Sordaria macrospora and the absolute configuration determinations of their two simultaneous linear 1,2-diols. Tetrahedron Lett. 2016, 57, 2754–2757. [Google Scholar] [CrossRef]
  66. Fujimoto, H.; Sumino, M.; Nagano, J.; Natori, H.; Okuyama, E.; Yamazaki, M. Immunomodulatory constituents from three ascomycetes, Gelasinospora heterospora, G. multiforis, and G. longispora. Chem. Pharm. Bull. 1999, 47, 71–76. [Google Scholar] [CrossRef] [PubMed]
  67. Andolfi, A.; Cimmino, A.; Vurro, M.; Berestetskiy, A.; Troise, C.; Zonno, M.C.; Motta, A.; Evidente, A. Agropyrenol and agropyrenal, phytotoxins from Ascochyta agropyrina var. nana, a fungal pathogen of Elitrigia repens. Phytochemistry 2012, 79, 102–108. [Google Scholar] [CrossRef] [PubMed]
  68. Lei, H.; Lin, X.; Han, L.; Ma, J.; Dong, K.; Wang, X.; Zhong, J.; Mu, Y.; Liu, Y.; Huang, X. Polyketide derivatives from a marine-sponge-associated fungus Pestalotiopsis heterocornis. Phytochemistry 2017, 142, 51–59. [Google Scholar] [CrossRef] [PubMed]
  69. Hsu, D.S.; Lin, S.C. Total syntheses of cladoacetals A and B: Confirmation of absolute configurations. J. Org. Chem. 2012, 77, 6139–6146. [Google Scholar] [CrossRef]
  70. Lee, I.-K.; Jang, Y.-W.; Kim, Y.-S.; Yu, S.H.; Lee, K.J.; Park, S.-M.; Oh, B.-T.; Chae, J.-C.; Yun, B.-S. Xylarinols A and B, two new 2-benzoxepin derivatives from the fruiting bodies of Xylaria polymorpha. J. Antibiot. 2009, 62, 163–165. [Google Scholar] [CrossRef]
  71. Wang, J.; Wei, X.; Lu, X.; Xu, F.; Wan, J.; Lin, X.; Zhou, X.; Liao, S.; Yang, B.; Tu, Z.; et al. Eight new polyketide metabolites from the fungus Pestalotiopsis vaccinii endogenous with the mangrove plant Kandelia candel (L.) Druce. Tetrahedron 2014, 70, 9695–9701. [Google Scholar] [CrossRef]
  72. Kesting, J.R.; Olsen, L.; Staerk, D.; Tejesvi, M.V.; Kini, K.R.; Prakash, H.S.; Jaroszewski, J.W. Production of Unusual Dispiro Metabolites in Pestalotiopsis virgatula Endophyte Cultures: HPLC-SPE-NMR, Electronic Circular Dichroism, and Time-Dependent Density-Functional Computation Study. J. Nat. Prod. 2011, 74, 2206–2215. [Google Scholar] [CrossRef]
  73. Lei, H.; Zhou, X.; Hu, M.; Niu, H.; Song, C.; Chen, S.; Liu, Y.; Zhang, D. Cytotoxic Polyketides from the Marine Sponge-Derived Fungus Pestalotiopsis heterocornis XWS03F09. Molecules 2019, 24, 2655. [Google Scholar] [CrossRef]
Figure 1. Structures of secondary metabolites 15 from Emericella variecolor M75-2.
Figure 1. Structures of secondary metabolites 15 from Emericella variecolor M75-2.
Marinedrugs 21 00019 g001
Scheme 1. Biosynthesis of varitriol (1) by Malstrøm et al. [11].
Scheme 1. Biosynthesis of varitriol (1) by Malstrøm et al. [11].
Marinedrugs 21 00019 sch001
Scheme 2. Retrosynthetic analyses of varitriol ((−)-1) and ((+)-1) [15,17,18].
Scheme 2. Retrosynthetic analyses of varitriol ((−)-1) and ((+)-1) [15,17,18].
Marinedrugs 21 00019 sch002
Scheme 3. Synthetic strategies towards natural varitriol ((+)-1) [19,20,21,22,23,24,26,27,28,29,30,31,32,33,34].
Scheme 3. Synthetic strategies towards natural varitriol ((+)-1) [19,20,21,22,23,24,26,27,28,29,30,31,32,33,34].
Marinedrugs 21 00019 sch003
Scheme 4. Synthesis of varioxirane (2). Reagents and conditions: (i) (−)-DIPT, TBHP, Ti(OiPr)4, DCM, −20 °C, 8 h (42%); (ii) TBSOTf, 2,6-lutidine, DCM, 0 °C (96%); (iii) methyl phposphonate, nBuLi, THF, −78 °C (93%); (iv) KHDMS, THF, −78 °C → r.t., 24 h (74%); (v) HF.Py, THF, 0 °C → r.t. (81%); (vi) LiEt3BH, Et2O, −78 °C (82%); (vii) K2CO3, MeOH, 0 °C → r.t. (81%).
Scheme 4. Synthesis of varioxirane (2). Reagents and conditions: (i) (−)-DIPT, TBHP, Ti(OiPr)4, DCM, −20 °C, 8 h (42%); (ii) TBSOTf, 2,6-lutidine, DCM, 0 °C (96%); (iii) methyl phposphonate, nBuLi, THF, −78 °C (93%); (iv) KHDMS, THF, −78 °C → r.t., 24 h (74%); (v) HF.Py, THF, 0 °C → r.t. (81%); (vi) LiEt3BH, Et2O, −78 °C (82%); (vii) K2CO3, MeOH, 0 °C → r.t. (81%).
Marinedrugs 21 00019 sch004
Scheme 5. Synthesis of unnatural andytriol (ent-6). Reagents and conditions: (i) TBSOTf, 2,6-lutidine, DCM, 0 °C (98%); (ii) methylphosphonate, nBuLi, THF, −78 °C (97%); (iii) KHDMS, THF, −78 °C (82%); (iv) HF.Py, THF, 0 °C → r.t. (80%); (v) LiEt3BH, Et2O, −78 °C (dr, 32:1, 92%); (vi) K2CO3, MeOH, 0 °C → r.t. (85%).
Scheme 5. Synthesis of unnatural andytriol (ent-6). Reagents and conditions: (i) TBSOTf, 2,6-lutidine, DCM, 0 °C (98%); (ii) methylphosphonate, nBuLi, THF, −78 °C (97%); (iii) KHDMS, THF, −78 °C (82%); (iv) HF.Py, THF, 0 °C → r.t. (80%); (v) LiEt3BH, Et2O, −78 °C (dr, 32:1, 92%); (vi) K2CO3, MeOH, 0 °C → r.t. (85%).
Marinedrugs 21 00019 sch005
Scheme 6. Synthesis of natural andytriol (6). Reagents and conditions: (i) AcONa, AcOH, 110 °C, 2 h (67%); (ii) KSPT, DMF, r.t., 15 h (85%); (iii) Mo(VI)/H2O2, MeOH, 0 °C to r.t., 10 h (82%); (iv) KSPT, DMF, r.t., 15 h (91%); (v) Mo(VI)/H2O2, MeOH, 0 °C to r.t., 15 h (77%); (vi) propyn-1-ylmagnesium bromide, THF, r.t., 1 h; (vii) NaIO4, tBuOH/H2O, r.t., 1.5 h (77% over 2 steps); (viii) LAH, THF, reflux, 2 h (88%); (ix) 60% AcOH, 60 °C, 2 h (96%); (x) DMP, CH2CI2, DOWEX marathon (H+), r.t., 2 h; (xi) 80% AcOH, 40 °C, 2 h (33%, 845 brs); (xii) NaIO4, tBuOH/H2O, r.t., 1.5 h; (xii) 30, KHMDS, DME, −60 °C to r.t., 1.5 h (75%, E-isomer); (xiv) 32, KHMDS, DME, −60 °C to r.t., 1.5 h (90%, Z/E 15:85); (xv) K2CO3, MeOH, r.t., 2 h; (xvi) 60% AcOH, 60 °C, 1.5 h (60% over 2 steps); (xvii) 60% AcOH, 60 °C, 4 h (73%) [35,36,37].
Scheme 6. Synthesis of natural andytriol (6). Reagents and conditions: (i) AcONa, AcOH, 110 °C, 2 h (67%); (ii) KSPT, DMF, r.t., 15 h (85%); (iii) Mo(VI)/H2O2, MeOH, 0 °C to r.t., 10 h (82%); (iv) KSPT, DMF, r.t., 15 h (91%); (v) Mo(VI)/H2O2, MeOH, 0 °C to r.t., 15 h (77%); (vi) propyn-1-ylmagnesium bromide, THF, r.t., 1 h; (vii) NaIO4, tBuOH/H2O, r.t., 1.5 h (77% over 2 steps); (viii) LAH, THF, reflux, 2 h (88%); (ix) 60% AcOH, 60 °C, 2 h (96%); (x) DMP, CH2CI2, DOWEX marathon (H+), r.t., 2 h; (xi) 80% AcOH, 40 °C, 2 h (33%, 845 brs); (xii) NaIO4, tBuOH/H2O, r.t., 1.5 h; (xii) 30, KHMDS, DME, −60 °C to r.t., 1.5 h (75%, E-isomer); (xiv) 32, KHMDS, DME, −60 °C to r.t., 1.5 h (90%, Z/E 15:85); (xv) K2CO3, MeOH, r.t., 2 h; (xvi) 60% AcOH, 60 °C, 1.5 h (60% over 2 steps); (xvii) 60% AcOH, 60 °C, 4 h (73%) [35,36,37].
Marinedrugs 21 00019 sch006
Scheme 7. Biomimetic approach to varioxirane (2) and its 2,3-di-epi-varioxirane (epi-2). Reagents and conditions: (i) TBSCl, imidazole, CH2Cl2, r.t., 2 h (93%); (ii) d-DIPT, Ti(OiPr)4, TBHP, CH2Cl2, −20 °C to 4 °C, 22 days (88%); (iii) TBAF, THF, r.t., 3 h (77%); (iv) TBSCl, imidazole, CH2Cl2, r.t., 7 days (68%); (v) d-DET, Ti(OiPr)4, TBHP, CH2Cl2, −28 °C, 25 days (75%); (vi) TBAF, THF, r.t., 3 h (79%).
Scheme 7. Biomimetic approach to varioxirane (2) and its 2,3-di-epi-varioxirane (epi-2). Reagents and conditions: (i) TBSCl, imidazole, CH2Cl2, r.t., 2 h (93%); (ii) d-DIPT, Ti(OiPr)4, TBHP, CH2Cl2, −20 °C to 4 °C, 22 days (88%); (iii) TBAF, THF, r.t., 3 h (77%); (iv) TBSCl, imidazole, CH2Cl2, r.t., 7 days (68%); (v) d-DET, Ti(OiPr)4, TBHP, CH2Cl2, −28 °C, 25 days (75%); (vi) TBAF, THF, r.t., 3 h (79%).
Marinedrugs 21 00019 sch007
Figure 2. Structures of secondary metabolites 3948 from Emericella variecolor XSA-07-2.
Figure 2. Structures of secondary metabolites 3948 from Emericella variecolor XSA-07-2.
Marinedrugs 21 00019 g002
Scheme 8. Formation of tajixanthone (48) and varioxiranols F (44) and G (45) [38,40].
Scheme 8. Formation of tajixanthone (48) and varioxiranols F (44) and G (45) [38,40].
Marinedrugs 21 00019 sch008
Scheme 9. Synthesis of varioxiranol A (39) and 4-epi-varioxiranol A (epi-39). Reagents and conditions: (i) prop-1-ylmagnesium chloride, THF, Et2O, r.t., 1 h (71%); (ii) TBSCl, imidazole, CH2Cl2, 0 °C to r.t., 23 h (92%); (iii) TFA (50%), CH2Cl2, r.t., 1 h (93%); (iv) TrCl, Et3N, DMAP, CH2Cl2, 0 °C to r.t., 15 h (74%); (v) Ac2O, DMAP, CH2Cl2, r.t., 30 min (87%); (vi) HCOOH/Et2O (1/1), r.t., 50 min (66%); (vii) DMSO, (COCl)2, Et3N, CH2Cl2, −78 °C to r.t., 2.5 h; (viii) KHMDS, DME, sulfone 23, CH2Cl2, −60 °C to r.t., 40 min (41% over 2 steps); (ix) K2CO3, MeOH, r.t., 2.5 h; (x) TBAF × 3H2O, THF, 0 °C to r.t., 4.5 h (92% of 39 and 57% of epi-39 over 2 steps).
Scheme 9. Synthesis of varioxiranol A (39) and 4-epi-varioxiranol A (epi-39). Reagents and conditions: (i) prop-1-ylmagnesium chloride, THF, Et2O, r.t., 1 h (71%); (ii) TBSCl, imidazole, CH2Cl2, 0 °C to r.t., 23 h (92%); (iii) TFA (50%), CH2Cl2, r.t., 1 h (93%); (iv) TrCl, Et3N, DMAP, CH2Cl2, 0 °C to r.t., 15 h (74%); (v) Ac2O, DMAP, CH2Cl2, r.t., 30 min (87%); (vi) HCOOH/Et2O (1/1), r.t., 50 min (66%); (vii) DMSO, (COCl)2, Et3N, CH2Cl2, −78 °C to r.t., 2.5 h; (viii) KHMDS, DME, sulfone 23, CH2Cl2, −60 °C to r.t., 40 min (41% over 2 steps); (ix) K2CO3, MeOH, r.t., 2.5 h; (x) TBAF × 3H2O, THF, 0 °C to r.t., 4.5 h (92% of 39 and 57% of epi-39 over 2 steps).
Marinedrugs 21 00019 sch009
Figure 3. Structures of secondary metabolites 5658 from Emericella sp. TJ29.
Figure 3. Structures of secondary metabolites 5658 from Emericella sp. TJ29.
Marinedrugs 21 00019 g003
Figure 4. Structures of secondary metabolites 5971 from Magnaporthe grisea.
Figure 4. Structures of secondary metabolites 5971 from Magnaporthe grisea.
Marinedrugs 21 00019 g004
Scheme 10. The biosynthetic pathway for salicylaldehyde-type phytotoxins by Tanaka, Kiyota et al. [48].
Scheme 10. The biosynthetic pathway for salicylaldehyde-type phytotoxins by Tanaka, Kiyota et al. [48].
Marinedrugs 21 00019 sch010
Scheme 11. Synthesis of pyriculol (60). Reagents and conditions: (i) Ac2O, pyridine; (ii) NBS, benzoyl peroxide, CCl4, reflux, 1 h (92%); (iii) AcOH, AcOK, reflux, 3 h (85%); (iv) LAH, THF, 0 °C → reflux, 6 h (83%); (v) p-TsOH, acetone, r.t., overnight (73%); (vi) PPh3, CCl4, reflux, 10 h (73%); (vii) PPh3, xylene, reflux, 15 h (67%); (viii) propyne, BuLi, ZnCl2, THF, −70 → −10 °C, overnight (81%); (ix) LiAlH4, THF, r.t., 2 h (92%); (x) 70% AcOH; (xi) Ph3CCl, pyridine (68%); (xii) (MeO)2CO, NaH, −10 °C, 4 h (81%); (xiii) p-TsOH, MeOH-THF-H2O (91%); (xiv) (COCl)2, DMSO, Et3N, DCM; (xv) BuLi, Et2O, −10 °C → r. t., 5 h (32% over 2 steps); (xvi) p-TsOH, aq. THF, 60 °C, 4 h (82%); (xvii) MnO2, DCM, r.t., 30 min (72%); (xviii) K2CO3, MeOH-H2O, r.t., 4 h (57%).
Scheme 11. Synthesis of pyriculol (60). Reagents and conditions: (i) Ac2O, pyridine; (ii) NBS, benzoyl peroxide, CCl4, reflux, 1 h (92%); (iii) AcOH, AcOK, reflux, 3 h (85%); (iv) LAH, THF, 0 °C → reflux, 6 h (83%); (v) p-TsOH, acetone, r.t., overnight (73%); (vi) PPh3, CCl4, reflux, 10 h (73%); (vii) PPh3, xylene, reflux, 15 h (67%); (viii) propyne, BuLi, ZnCl2, THF, −70 → −10 °C, overnight (81%); (ix) LiAlH4, THF, r.t., 2 h (92%); (x) 70% AcOH; (xi) Ph3CCl, pyridine (68%); (xii) (MeO)2CO, NaH, −10 °C, 4 h (81%); (xiii) p-TsOH, MeOH-THF-H2O (91%); (xiv) (COCl)2, DMSO, Et3N, DCM; (xv) BuLi, Et2O, −10 °C → r. t., 5 h (32% over 2 steps); (xvi) p-TsOH, aq. THF, 60 °C, 4 h (82%); (xvii) MnO2, DCM, r.t., 30 min (72%); (xviii) K2CO3, MeOH-H2O, r.t., 4 h (57%).
Marinedrugs 21 00019 sch011
Scheme 12. Synthesis of pyricuol (59). Reagents and conditions: (i) dimethyl-1-diazo-2-oxopropylphoosphonate, K2CO3, MeOH (98%); (ii) Bu3SnH, CuCN, BuLi, THF, −76 °C → −37 °C; (iii) (Ph3P+CH2I)I, NaHMDS, HMPA, THF, −78 °C (41%); (iv) Pd2dba3, AsPh3, CuI, DMF, r.t.; (v) TBAF, THF, r.t., 2 h (20% over 3 steps); (vi) KH, Bu3SnCH2I, THF, r.t., then nBuLi, THF, −79 °C (69%); (vii) p-TsOH, MeOH–HCl (94%); (viii) MnO2, DMSO, 60 °C, 1 h (75%).
Scheme 12. Synthesis of pyricuol (59). Reagents and conditions: (i) dimethyl-1-diazo-2-oxopropylphoosphonate, K2CO3, MeOH (98%); (ii) Bu3SnH, CuCN, BuLi, THF, −76 °C → −37 °C; (iii) (Ph3P+CH2I)I, NaHMDS, HMPA, THF, −78 °C (41%); (iv) Pd2dba3, AsPh3, CuI, DMF, r.t.; (v) TBAF, THF, r.t., 2 h (20% over 3 steps); (vi) KH, Bu3SnCH2I, THF, r.t., then nBuLi, THF, −79 °C (69%); (vii) p-TsOH, MeOH–HCl (94%); (viii) MnO2, DMSO, 60 °C, 1 h (75%).
Marinedrugs 21 00019 sch012
Scheme 13. Synthesis of pyriculariol (64). Reagents and conditions: (i) [65], HgSO4, 0,05 M H2SO4/dioxane,/acetone (7:1:1.2), 25 °C, 3 h (93%); (ii) Ac2O, Py (85%, 2 steps); (iii) PPh3, CBr4, CH2Cl2 (54%); (iv) K2CO3, MeOH (99%); (v) BuLi, THF −78 °C (75%); (vi) Bu3SnH, AIBN, toluene reflux 33%); (vii) Pd2dba3, AsPh3, LiCl, DMF, microwave irradiation, −78 → 33 °C (69%).
Scheme 13. Synthesis of pyriculariol (64). Reagents and conditions: (i) [65], HgSO4, 0,05 M H2SO4/dioxane,/acetone (7:1:1.2), 25 °C, 3 h (93%); (ii) Ac2O, Py (85%, 2 steps); (iii) PPh3, CBr4, CH2Cl2 (54%); (iv) K2CO3, MeOH (99%); (v) BuLi, THF −78 °C (75%); (vi) Bu3SnH, AIBN, toluene reflux 33%); (vii) Pd2dba3, AsPh3, LiCl, DMF, microwave irradiation, −78 → 33 °C (69%).
Marinedrugs 21 00019 sch013
Figure 5. Structures of secondary metabolites 103116 from Sordaria macrospora.
Figure 5. Structures of secondary metabolites 103116 from Sordaria macrospora.
Marinedrugs 21 00019 g005
Scheme 14. Proposed biosynthetic pathway of sordarial (106) [47].
Scheme 14. Proposed biosynthetic pathway of sordarial (106) [47].
Marinedrugs 21 00019 sch014
Figure 6. Structures of natural metabolites 121123 and synthetic derivatives 124129.
Figure 6. Structures of natural metabolites 121123 and synthetic derivatives 124129.
Marinedrugs 21 00019 g006
Figure 7. Structures of secondary metabolites 130152 from Pestalotiopsis heterocornis.
Figure 7. Structures of secondary metabolites 130152 from Pestalotiopsis heterocornis.
Marinedrugs 21 00019 g007
Scheme 15. Proposed biosynthetic pathway of heterocornols [69].
Scheme 15. Proposed biosynthetic pathway of heterocornols [69].
Marinedrugs 21 00019 sch015
Table 1. Biological assays of agropyrenol (121) and its derivatives 124129.
Table 1. Biological assays of agropyrenol (121) and its derivatives 124129.
MicroorganismCompound
121124125126127128129
Cirsium arvense a3342200
Chenopodium albuma4440200
Mercurialis annua a4240000
Setaria viridis a0010000
Sonchus oleraceus a2240220
Setaria viridis b40.8 (0.3)28.8 (1.1)22.1 (1.7)30.5 (2.2)54.9 (0.1)43.5 (0.9)54.2 (0.4)
Lycopersicon esculentum c23.8 (11.9)15.3 (7.1)5.2 (2.7)49.0 (21.0)38.5 (14.0)37.3 (9.9)33.1 (9.7)
Lemna minor d6.4 (0.4)5.3 (0.4)2.5 (0.4)7.3 (1.0)7.1 (0.8)8.5 (0.4)8.8 (0.3)
Lemna minor e23.8 (2.8)23.5 (1.8)14.4 (4.1)24.4 (3.5)21.4 (2.3)23.0 (1.6)22.8 (1.9)
Artemia salina f0088
(4)
0023
(2)
0
Geotrichum candidum--+----
Bacillus subtilis--+----
Escherichia coli-------
a Data are expressed using a visual empiric scale from 0 = no symptoms to 4 = necrosis larger than 1 cm. b Data are expressed as a percentage of seed germination (SD in parentheses). c Data are expressed in mm (SD in parentheses). d Data are expressed in mg/L (SD in parentheses). e Data are expressed in mg/well (SD in parentheses). f Data are expressed as a percentage of dead larvae to the total (SD in parentheses).
Table 2. Summary of most active compounds for a range of bioactivities within this review.
Table 2. Summary of most active compounds for a range of bioactivities within this review.
Compound
Source
Biological ActivityCell Line or
Microorganism
Biological ResultRef.
Varitriol (1)
Emericella variecolor M75-2
(marine)
Cytotoxic activityRXF 393
renal cancer
GI50 = 1.63 × 10−7 M[11]
TD-47
breast cancer
GI50 = 2.10 × 10−7 M
SNB
CNS cancer
GI50 = 2.44 × 10−7 M
Varixanthone (3)
Emericella variecolor M75-2
(marine)
Antimicrobial
activity
Enterococcus faecalisMIC = 50.0 μg·mL−1[11]
Bacillus subtilisMIC = 12.5 μg·mL−1
Escherichia coliMIC = 12.5 μg·mL−1
Proteus sp.MIC = 12.5 μg·mL−1
Varioxiranediol A (56) Emericella variecolor TJ29
(plant-derived)
Antibacterial
activity
MRSAMIC = 32 μg·mL−1[43]
E. faecalisMIC = 32 μg·mL−1
ESBL-E. coliMIC = 4 μg·mL−1
P. aeruginosaMIC = 4 μg·mL−1
K. pneumoniaeMIC = 16 μg·mL−1
Varioxiranediol B (57)
Emericella variecolor TJ29
(plant-derived)
Antibacterial
activity
E. faecalisMIC = 32 μg·mL−1[43]
ESBL-E. coliMIC = 8 μg·mL−1
P. aeruginosaMIC = 32 μg·mL−1
Varioxirane (2)
Emericella variecolor TJ29
(plant-derived)
Antibacterial
activity
MRSAMIC = 64 μg·mL−1[43]
ESBL-E. coliMIC = 32 μg·mL−1
P. aeruginosaMIC = 32 μg·mL−1
Heterocornol A (130)
Pestalotiopsis heterocornis
(marine)
Cytotoxic activity against human cancer cell linesBGC–823
gastric carcinoma
IC50 = 32.9 μM[68]
H-460
lung carcinoma
IC50 = 37.3 μM
PC-3
prostate cancer
IC50 = 54.8 μM
SMMC-7721 hepatocellular carcinoma IC50 = 26.4 μM
Heterocornol B (131)
Pestalotiopsis heterocornis
(marine)
Cytotoxic activity against human cancer cell linesBGC–823
gastric carcinoma
IC50 = 48.1 μM[68]
H-460
lung carcinoma
IC50 = 27.6 μM
PC-3
prostate cancer
IC50 = 31.5 μM
SMMC-7721 hepatocellular carcinoma IC50 = 21.7 μM
Heterocornol C (132)
Pestalotiopsis heterocornis
(marine)
Cytotoxic activity against human cancer cell linesBGC–823
gastric carcinoma
IC50 = 28.2 μM[68]
H-460
large-cell lung carcinoma
IC50 = 18.7 μM
PC-3
prostate cancer
IC50 = 59.3 μM
SMMC-7721 human hepatocellular carcinoma IC50 = 34.8 μM
Compound 146
Pestalotiopsis heterocornis
(marine)
Cytotoxic activity against human cancer cell linesBGC–823
gastric carcinoma
IC50 = 80.2 μM[68]
H-460
lung carcinoma
IC50 = 87.3 μM
SMMC-7721 hepatocellular carcinomaIC50 = 49.6 μM
Agropyrenol (121)
Pestalotiopsis heterocornis
(marine)
Cytotoxic activity against human cancer cell linesBGC–823
gastric carcinoma
IC50 = 77.4 μM[68]
H-460
lung carcinoma
IC50 = 24.5 μM
PC-3
prostate cancer
IC50 = 58.5 μM
SMMC-7721 hepatocellular carcinomaIC50 = 52.0 μM
Heterocornol F (135)
Pestalotiopsis heterocornis
(marine)
Cytotoxic activity against human cancer cell linesBGC–823
gastric carcinoma
IC50 = 47.1 μM[68]
H-460
lung carcinoma
IC50 = 52.1 μM
PC-3
prostate cancer
IC50 = 70.6 μM
SMMC-7721
hepatocellular carcinoma
IC50 = 50.9 μM
Heterocornol G (136)
Pestalotiopsis heterocornis
(marine)
Cytotoxic activity against human cancer cell linesBGC–823
gastric carcinoma
IC50 = 15.0 μM[68]
H-460
lung carcinoma
IC50 = 53.3 μM
PC-3
prostate cancer
IC50 = 21.3 μM
SMMC-7721
hepatocellular carcinoma
IC50 = 20.2 μM
Heterocornol H (137)
Pestalotiopsis heterocornis
(marine)
Cytotoxic activity against human cancer cell linesBGC–823
gastric carcinoma
IC50 = 23.2 μM[68]
H-460
lung carcinoma
IC50 = 79.7 μM
PC-3
prostate cancer
IC50 = 83.5 μM
SMMC-7721 hepatocellular carcinomaIC50 = 42.3 μM
Vaccinol G (148)
Pestalotiopsis heterocornis
(marine)
Cytotoxic activity against human cancer cell linesBGC–823
gastric carcinoma
IC50 = 51.2 μM[68]
H-460
lung carcinoma
IC50 = 57.9 μM
PC-3
prostate cancer
IC50 = 35.0 μM
SMMC-7721 hepatocellular carcinomaIC50 = 44:4 μM
Heterocornol M (142)
Pestalotiopsis heterocornis
(marine)
Cytotoxic activity against human cancer cell linesBGC–823
gastric carcinoma
IC50 = 61.1 μM[68]
Hep G2
liver cancer
IC50 = 20.4 μM
Heterocornol O/P
(144 / 145)
Pestalotiopsis heterocornis
(marine)
Cytotoxic activity against human cancer cell linesBGC–823
gastric carcinoma
IC50 = 35.0 μM[68]
IchikawaIC50 = 54.3 μM
Hep G2
liver cancer
IC50 = 42.0 μM
7860
kidney cancer
IC50 = 22.1 μM
Compound 149 Pestalotiopsis heterocornis (marine) Cytotoxic activity against human cancer cell linesBGC–823
gastric carcinoma
IC50 = 82.1 μM[68]
IchikawaIC50 = 65.3 μM
Hep G2
liver cancer
IC50 = 94.2 μM
Compound 150 Pestalotiopsis heterocornis (marine)Cytotoxic activity against human cancer cell linesBGC–823
gastric carcinoma
IC50 = 78.1 μM[68]
IchikawaIC50 = 58.5 μM
Hep G2
liver cancer
IC50 = 85.4 μM
Table 3. Summary of synthesized metabolites within this review.
Table 3. Summary of synthesized metabolites within this review.
CompoundRef.CompoundRef.
Marinedrugs 21 00019 i001
Varitriol ((+)-1)
[18,19,20,21,22,26,27,28,29]
[25,33,34,35]
Marinedrugs 21 00019 i002
ent-Varitriol ((-)-1)
[15]
[17]
[32]
[19]
Marinedrugs 21 00019 i003
Analogues of varitriol 1a–h
1a R1=CH2OH, R2=OMe, R3=H
1b R1=CH2OMe, R2=OMe, R3=H
1c R1=OMe, R2=OEt, R3=H
1d R1=OEt, R2=OEt, R3=H
1e R1=OMe, R2=OMe, R3=OMe
1f R1=Cl, R2=Cl, R3=H
1g R1,R2=OCH2O, R3=H
1h R1=OMe, R2=OMe, R3=H
[18]Marinedrugs 21 00019 i004
Analogues of varitriol 1i–s
1i R1=CH2OAc, R2=OMe, R3=H
1j R1=H, R2=H, R3=H
1k R1=OMe, R2=H, R3=H
1l R1=H, R2=H, R3=OMe
1m R1=OMe, R2=H, R3=OMe
1n R1=CF3, R2=H, R3=H
1o R1=H, R2= CF3, R3=H
1p R1=H, R2=H, R3=Br
1r R1=F, R2=H, R3=H
1s R1=H, R2= H, R3=F
[30]
Marinedrugs 21 00019 i005
Analogue of varitriol 1t
[18]Marinedrugs 21 00019 i006
4-epi-Varitriol (4-epi-1)
[22]
Marinedrugs 21 00019 i007
Analogues of 2,3-diepi-varitriol
2,3-diepi-1a R1=CH2OH, R2=OMe
2,3-diepi-1b R1=CH2OH, R2=H
2,3-diepi-1c R1=H, R2=OMe
2,3-diepi-1d R1=H, R2=H
[31]Marinedrugs 21 00019 i008
3-epi-Varitriol (3-epi-1)
[32]
Marinedrugs 21 00019 i009
3-epi-ent-Varitriol (3-epi-ent-1)
[32]Marinedrugs 21 00019 i010
Varioxirane (2)
[33]
[14]
Marinedrugs 21 00019 i011
5,6-diepi-Varioxirane (5,6-diepi-2)
[14]Marinedrugs 21 00019 i012
Andytriol (6)
[14]
Marinedrugs 21 00019 i013
Varioxiranol A (39)
[41]Marinedrugs 21 00019 i014
Pyricuol (59)
[54]
Marinedrugs 21 00019 i015
Pyriculol (60)
[52]Marinedrugs 21 00019 i016
Pyriculariol (64)
[58]
Disclaimer/Publisher’s Note: The statements, opinions and data contained in all publications are solely those of the individual author(s) and contributor(s) and not of MDPI and/or the editor(s). MDPI and/or the editor(s) disclaim responsibility for any injury to people or property resulting from any ideas, methods, instructions or products referred to in the content.

Share and Cite

MDPI and ACS Style

Štiblariková, M.; Lásiková, A.; Gracza, T. Benzyl Alcohol/Salicylaldehyde-Type Polyketide Metabolites of Fungi: Sources, Biosynthesis, Biological Activities, and Synthesis. Mar. Drugs 2023, 21, 19. https://doi.org/10.3390/md21010019

AMA Style

Štiblariková M, Lásiková A, Gracza T. Benzyl Alcohol/Salicylaldehyde-Type Polyketide Metabolites of Fungi: Sources, Biosynthesis, Biological Activities, and Synthesis. Marine Drugs. 2023; 21(1):19. https://doi.org/10.3390/md21010019

Chicago/Turabian Style

Štiblariková, Mária, Angelika Lásiková, and Tibor Gracza. 2023. "Benzyl Alcohol/Salicylaldehyde-Type Polyketide Metabolites of Fungi: Sources, Biosynthesis, Biological Activities, and Synthesis" Marine Drugs 21, no. 1: 19. https://doi.org/10.3390/md21010019

APA Style

Štiblariková, M., Lásiková, A., & Gracza, T. (2023). Benzyl Alcohol/Salicylaldehyde-Type Polyketide Metabolites of Fungi: Sources, Biosynthesis, Biological Activities, and Synthesis. Marine Drugs, 21(1), 19. https://doi.org/10.3390/md21010019

Note that from the first issue of 2016, this journal uses article numbers instead of page numbers. See further details here.

Article Metrics

Back to TopTop