New Polyhydroxysteroid Glycosides with Antioxidant Activity from the Far Eastern Sea Star Ceramaster patagonicus
Abstract
1. Introduction
2. Results and Discussion
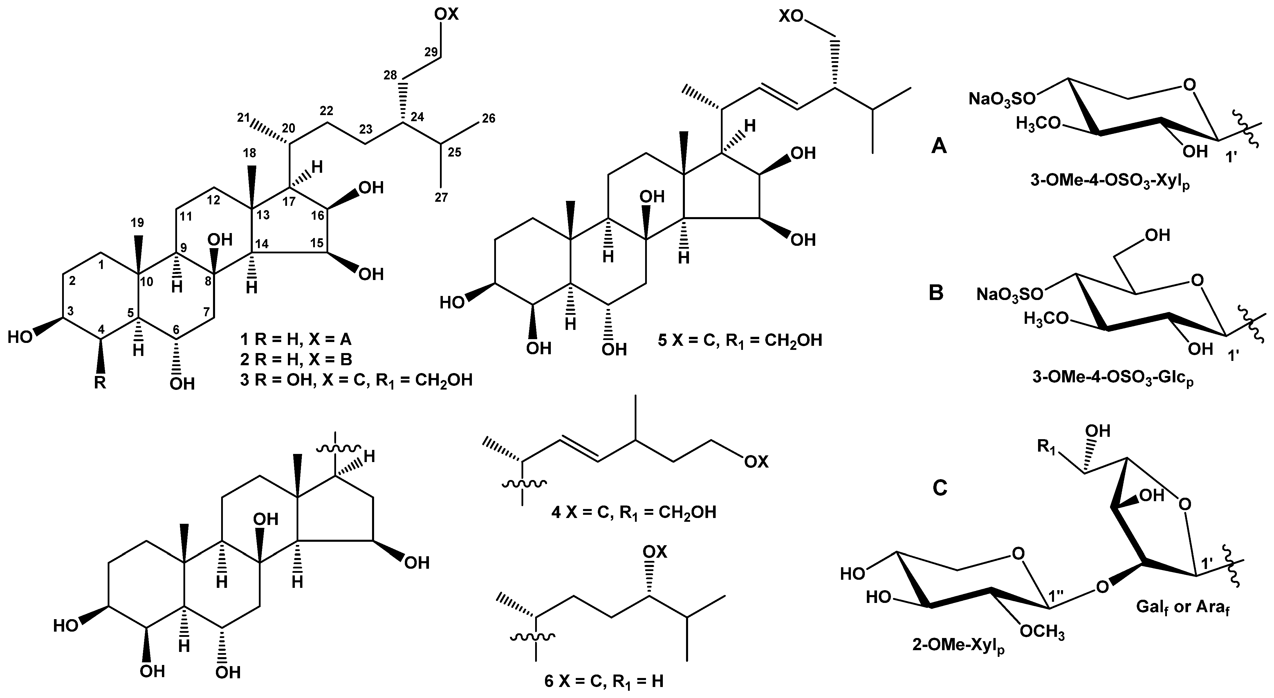
2.1. Isolation and Structure Elucidation of 1–4 from C. patagonicus
2.2. Biological Activity Assay
2.2.1. Cytotoxicity of Compounds Against Microglial Cells
2.2.2. Antioxidant Activity of Compounds Toward Microglial Cells
3. Materials and Methods
3.1. General Methods
3.2. Animal Material
3.3. Extraction and Isolation
3.4. Spectral Data of New Compounds
3.5. Reagents
3.6. Cell Lines and Culture Conditions
3.7. MTS Assay
3.8. NO Measurement
3.9. Griess Assay
3.10. MDA
3.11. Statistical Analysis
4. Conclusions
Supplementary Materials
Author Contributions
Funding
Institutional Review Board Statement
Data Availability Statement
Acknowledgments
Conflicts of Interest
References
- Minale, L.; Riccio, R.; Zollo, F. Steroidal oligoglycosides and polyhydroxysteroids from Echinoderms. In Fortschritte der Chemie organischer Naturstoffe/Progress in the Chemistry of Organic Natural Products; Springer: Vienna, Austria, 1993; Volume 62, pp. 75–308. [Google Scholar] [CrossRef]
- Stonik, V.A. Marine polar steroids. Russ. Chem. Rev. 2001, 70, 673–715. [Google Scholar] [CrossRef]
- Iorizzi, M.; De Marino, S.; Zollo, F. Steroidal oligoglycosides from the Asteroidea. Curr. Org. Chem. 2001, 5, 951–973. [Google Scholar] [CrossRef]
- Stonik, V.A.; Ivanchina, N.V.; Kicha, A.A. New polar steroids from starfish. Nat. Prod. Commun. 2008, 3, 1587–1610. [Google Scholar] [CrossRef]
- Dong, G.; Xu, T.H.; Yang, B.; Lin, X.P.; Zhou, X.F.; Yang, X.W.; Liu, Y.H. Chemical constituents and bioactivities of starfish. Chem. Biodivers. 2011, 8, 740–791. [Google Scholar] [CrossRef]
- Ivanchina, N.V.; Kicha, A.A.; Stonik, V.A. Steroid glycosides from marine organisms. Steroids 2011, 76, 425–454. [Google Scholar] [CrossRef]
- Ivanchina, N.V.; Kicha, A.A.; Malyarenko, T.V.; Stonik, V.A. Advances in Natural Products Discovery; Gomes, A.R., Rocha-Santos, T., Duarte, A., Eds.; Nova Science Publishers: Hauppauge, NY, USA, 2017; Volume 6, pp. 191–224. [Google Scholar]
- Xia, J.M.; Miao, Z.; Xie, C.L.; Zhang, J.W.; Yang, X.W. Chemical constituents and bioactivities of starfishes: An update. Chem. Biodivers. 2020, 17, e1900638. [Google Scholar] [CrossRef]
- Kettenmann, H.; Verkhratsky, A. Neuroglia, der lebende Nervenkitt [Neuroglia—living nerve glue]. Fortschr. Neurol. Psychiatr. 2011, 79, 588–597. [Google Scholar] [CrossRef]
- Dowding, A.J.; Scholes, J. Lymphocytes and macrophages outnumber oligodendroglia in normal fish spinal cord. Proc. Natl. Acad. Sci. USA 1993, 90, 10183–10187. [Google Scholar] [CrossRef]
- Qi, J.; Ojika, M.; Sakagami, Y. Linckosides A and B, two new neuritogenic steroid glycosides from the Okinawan starfish Linckia laevigata. Bioorg. Med. Chem. 2002, 10, 1961–1966. [Google Scholar] [CrossRef]
- Qi, J.; Ojika, M.; Sakagami, Y. Linckosides C–E, three new neuritogenic steroid glycosides from the Okinawan starfish Linckia laevigata. Bioorg. Med. Chem. 2004, 12, 4259–4265. [Google Scholar] [CrossRef]
- Han, C.; Qi, J.; Ojika, M. Structure-activity relationships of novel neuritogenic steroid glycosides from the Okinawan starfish Linckia laevigata. Bioorg. Med. Chem. 2006, 14, 4458–4465. [Google Scholar] [CrossRef] [PubMed]
- Han, C.; Qi, J.; Ojika, M. Linckosides M–Q: Neuritogenic steroid glycosides from the Okinawan starfish Linckia laevigata. J. Nat. Med. 2007, 61, 138–145. [Google Scholar] [CrossRef]
- Qi, J.; Han, C.; Sasayama, Y.; Nakahara, H.; Shibata, T.; Uchida, K.; Ojika, M. Granulatoside A, a starfish steroid glycoside, enhances PC12 cell neuritogenesis induced by nerve growth factor through an activation of MAP kinase. Chem. Med. Chem. 2006, 1, 1351–1354. [Google Scholar] [CrossRef] [PubMed]
- Tello Velasquez, J.; Yao, R.Q.; Lim, F.; Han, C.; Ojika, M.; Ekberg, J.A.; Quinn, R.J.; John, J.A. Linckosides enhance proliferation and induce morphological changes in human olfactory ensheathing cells. Mol. Cell. Neurosci. 2016, 75, 1–13. [Google Scholar] [CrossRef] [PubMed]
- Sasayama, Y.; Mamiya, T.; Qi, J.; Shibata, T.; Uchida, K.; Nabeshima, T.; Ojika, M. Neuritogenic steroid glycosides from crown-of-thorns starfish: Possible involvement of p38 mitogen-activated protein kinase and attenuation of cognitive impairment in senescence-accelerated mice (SAMP8) by peripheral administration. Bioorg. Med. Chem. 2023, 78, 117144. [Google Scholar] [CrossRef]
- Kicha, A.A.; Ivanchina, N.V.; Kalinovsky, A.I.; Dmitrenok, P.S.; Palyanova, N.V.; Pankova, T.M.; Starostina, M.V.; Gavagnin, M.; Stonik, V.A. New neuritogenic steroid glycosides from the Vietnamese starfish Linckia laevigata. Nat. Prod. Commun. 2007, 2, 41–46. [Google Scholar] [CrossRef]
- Palyanova, N.V.; Pankova, T.M.; Starostina, M.V.; Kicha, A.A.; Ivanchina, N.V.; Stonik, V.A. Neuritogenic and neuroprotective effects of polar steroids from the Far East starfishes Patiria pectinifera and Distolasterias nipon. Mar. Drugs 2013, 11, 1440–1455. [Google Scholar] [CrossRef]
- Kicha, A.A.; Kalinovsky, A.I.; Stonik, V.A. New polyhydroxysteroids and steroid glycosides from the Far Eastern starfish Ceramaster patagonicus. Russ. Chem. Bull. 1997, 46, 186–191. [Google Scholar] [CrossRef]
- Minale, L.; Pizza, C.; Riccio, R.; Zollo, F. Starfish saponins. Part 10. Further 24-O-glycosilated steroids from the starfish Hacelia attenuata. Experientia 1983, 39, 569–571. [Google Scholar] [CrossRef]
- Iorizzi, M.; Minale, L.; Riccio, R.; Debray, M.; Menou, J.L. Starfish saponins. Part 23. Steroidal glycosides from the starfish Halityle regularis. J. Nat. Prod. 1986, 49, 67–78. [Google Scholar] [CrossRef]
- Vanderach, D.J.; Djerassi, C. Marine natural products. Synthesis of four naturally occurring 20-beta-H cholanic acid-derivatives. J. Org. Chem. 1978, 43, 1442–1448. [Google Scholar] [CrossRef]
- Ivanchina, N.V.; Kicha, A.A.; Malyarenko, T.V.; Kalinovsky, A.I.; Menchinskaya, E.S.; Pislyagin, E.A.; Dmitrenok, P.S. The influence on LPS-induced ROS formation in macrophages of capelloside A, a new steroid glycoside from the starfish Ogmaster capella. Nat. Prod. Commun. 2015, 10, 1937–1940. [Google Scholar] [CrossRef] [PubMed]
- Iorizzi, M.; Minale, L.; Riccio, R.; Kamiya, H. Starfish saponins, 45. Novel sulfated steroidal glycosides from the starfish Astropecten scoparius. J. Nat. Prod. 1990, 53, 1225–1233. [Google Scholar] [CrossRef]
- Shashkov, A.S.; Chizhov, O.V. 13C-NMR spectroscopy in chemistry of carbohydrates and related compounds. Russ. J. Bioorg. Chem. 1976, 2, 437–496. [Google Scholar]
- Zollo, F.; Finamore, E.; Minale, L. Starfish saponins. XXXI. Novel polyhydroxysteroids and steroidal glycosides from the starfish Sphaerodiscus placenta. J. Nat. Prod. 1987, 50, 794–799. [Google Scholar] [CrossRef]
- Gao, H.M.; Liu, B.; Hong, J.S. Critical role for microglial NADPH oxidase in rotenone-induced degeneration of dopaminergic neurons. J. Neurosci. 2003, 23, 6181–6187. [Google Scholar] [CrossRef]
- Iorizzi, M.; De Marino, S.; Minale, L.; Zollo, F.; Le Bert, V.; Roussakis, C. Investigation of the polar steroids from an Antarctic starfish of the family Echinasteridae: Isolation of twenty seven polyhydroxysteroids and steroidal oligoglycosides, structures and biological activities. Tetrahedron 1996, 52, 10997–11012. [Google Scholar] [CrossRef]






| Position | 1,2 | 3 | 4 | |||
|---|---|---|---|---|---|---|
| δ H | δ C | δ H | δ C | δ H | δ C | |
| 1 | 1.70 m 0.96 m | 39.4 | 1.70 m 0.97 m | 39.6 | 1.70 m 0.99 m | 39.7 |
| 2 | 1.72 m 1.45 m | 31.4 | 1.82 m 1.55 m | 26.2 | 1.82 m 1.55 m | 26.5 |
| 3 | 3.47 m | 72.2 | 3.42 m | 73.7 | 3.42 m | 73.7 |
| 4 | 2.19 brd (12.3) 1.20 m | 32.4 | 4.26 brs | 69.1 | 4.25 brs | 69.1 |
| 5 | 1.04 m | 53.8 | 0.94 m | 57.2 | 0.94 dd (11.2, 1.8) | 57.2 |
| 6 | 3.71 td (11.0, 4.4) | 67.7 | 4.18 td (11.2, 3.5) | 64.8 | 4.15 m | 64.8 |
| 7 | 2.39 dd (12.5, 4.4) 1.33 m | 49.6 | 2.46 dd (12.5, 3.5) 1.35 dd (12.5, 11.2) | 50.1 | 2.43 dd (12.5, 4.4) 1.30 m | 49.6 |
| 8 | 77.2 | 77.2 | 77.4 | |||
| 9 | 0.83 m | 57.4 | 0.82 dd (12.9, 2.9) | 58.4 | 0.83 dd (12.7, 3.2) | 58.4 |
| 10 | 38.0 | 38.2 | 38.2 | |||
| 11 | 1.77 m 1.47 m | 19.4 | 1.76 m 1.41 m | 18.9 | 1.78 m 1.44 m | 19.2 |
| 12 | 1.94 m 1.13 m | 43.5 | 1.94 brd (12.5) 1.11 m | 43.5 | 1.97 dt (12.7, 3.0) 1.17 m | 43.3 |
| 13 | 44.5 | 44.5 | 44.2 | |||
| 14 | 1.02 d (5.7) | 61.1 | 1.01 d (5.6) | 61.1 | 1.01 d (5.8) | 62.9 |
| 15 | 4.36 dd (6.8, 5.7) | 71.2 | 4.37 dd (6.8, 5.6) | 71.2 | 4.39 td (7.2, 2.0) | 71.2 |
| 16 | 4.22 m | 72.8 | 4.22 t (6.8) | 72.8 | 2.21 m 1.35 m | 43.6 |
| 17 | 0.96 m | 62.9 | 0.95 m | 63.0 | 1.00 m | 57.6 |
| 18 | 1.24 s | 17.9 | 1.23 s | 17.9 | 1.27 s | 16.7 |
| 19 | 0.98 s | 14.0 | 1.15 s | 17.0 | 1.15 s | 17.0 |
| 20 | 1.89 m | 31.5 | 1.91 m | 31.4 | 2.12 m | 41.1 |
| 21 | 0.94 d (6.6) | 18.5 | 0.95 d (6.6) | 18.6 | 0.99 d (6.6) | 21.2 |
| 22 | 1.72 m 1.08 m | 34.6 | 1.70 m 1.08 m | 34.7 | 5.21 dd (15.1, 8.6) | 137.2 |
| 23 | 1.43 m 1.15 m | 28.8 | 1.41 m 1.18 m | 28.6 | 5.15 dd (15.1, 7.8) | 134.4 |
| 24 | 1.25 m | 42.3 | 1.26 m | 42.2 | 2.23 m | 34.9 |
| 25 | 1.74 m | 30.6 | 1.76 m | 30.5 | 1.59 m 1.44 m | 38.0 |
| 26 | 0.87 d (6.7) | 20.0 | 0.87 d (6.8) | 20.1 | 3.70 m 3.39 m | 67.2 |
| 27 | 0.84 d (6.7) | 19.1 | 0.85 d (6.8) | 19.0 | ||
| 28 | 1.71 m 1.46 m | 31.7 | 1.62 m 1.42 m | 31.6 | 0.96 d (6.7) | 21.7 |
| 29 | 3.83 m/3.92 m b 3.54 m | 70.0 | 3.73 m 3.43 m | 68.0 | ||
| Position | 1 | 2 | 3,4 | |||
| δ H | δ C | δ H | δ C | δ H | δ C | |
| 3-OMe-4-OSO3-Xylp | 3-OMe-4-OSO3-Glcp | Galf | ||||
| 1′ | 4.23 d (7.3) | 104.8 | 4.27 d (7.5) | 104.4 | 5.00 brd (1.5) | 108.0 |
| 2′ | 3.25 dd (9.7, 7.3) | 74.3 | 3.24 m | 74.7 | 4.05 dd (4.1, 1.5) | 91.8 |
| 3′ | 3.18 t (8.7) | 85.1 | 3.22 m | 86.3 | 4.15 dd (7.7, 4.1) | 77.6 |
| 4′ | 4.25 m | 77.2 | 4.18 dd (10.0, 8.6) | 77.3 | 3.85 dd (7.7, 3.6) | 83.0 |
| 5′ | 4.24 m 3.34 m | 64.8 | 3.35 m | 76.7 | 3.70 m | 72.2 |
| 6′ | 3.89 dd (12.8, 2.6) 3.81 dd (12.8, 5.0) | 62.6 | 3.62 d (6.2) | 64.8 | ||
| 3′-OMe | 3.61 s | 60.7 | 3.62 s | 61.1 | ||
| 2-OMe-Xylp | ||||||
| 1″ | 4.45 d (7.7) | 104.7 | ||||
| 2″ | 2.85 dd (9.2, 7.7) | 84.8 | ||||
| 3″ | 3.31 t (9.2) | 77.4 | ||||
| 4″ | 3.48 m | 71.2 | ||||
| 5″ | 3.83 dd (11.2, 5.6) 3.16 dd (11.2, 10.6) | 67.0 | ||||
| 2″-OMe | 3.58 s | 61.2 | ||||
Disclaimer/Publisher’s Note: The statements, opinions and data contained in all publications are solely those of the individual author(s) and contributor(s) and not of MDPI and/or the editor(s). MDPI and/or the editor(s) disclaim responsibility for any injury to people or property resulting from any ideas, methods, instructions or products referred to in the content. |
© 2024 by the authors. Licensee MDPI, Basel, Switzerland. This article is an open access article distributed under the terms and conditions of the Creative Commons Attribution (CC BY) license (https://creativecommons.org/licenses/by/4.0/).
Share and Cite
Malyarenko, T.V.; Zakharenko, V.M.; Kicha, A.A.; Ponomarenko, A.I.; Manzhulo, I.V.; Kalinovsky, A.I.; Popov, R.S.; Dmitrenok, P.S.; Ivanchina, N.V. New Polyhydroxysteroid Glycosides with Antioxidant Activity from the Far Eastern Sea Star Ceramaster patagonicus. Mar. Drugs 2024, 22, 508. https://doi.org/10.3390/md22110508
Malyarenko TV, Zakharenko VM, Kicha AA, Ponomarenko AI, Manzhulo IV, Kalinovsky AI, Popov RS, Dmitrenok PS, Ivanchina NV. New Polyhydroxysteroid Glycosides with Antioxidant Activity from the Far Eastern Sea Star Ceramaster patagonicus. Marine Drugs. 2024; 22(11):508. https://doi.org/10.3390/md22110508
Chicago/Turabian StyleMalyarenko, Timofey V., Viktor M. Zakharenko, Alla A. Kicha, Arina I. Ponomarenko, Igor V. Manzhulo, Anatoly I. Kalinovsky, Roman S. Popov, Pavel S. Dmitrenok, and Natalia V. Ivanchina. 2024. "New Polyhydroxysteroid Glycosides with Antioxidant Activity from the Far Eastern Sea Star Ceramaster patagonicus" Marine Drugs 22, no. 11: 508. https://doi.org/10.3390/md22110508
APA StyleMalyarenko, T. V., Zakharenko, V. M., Kicha, A. A., Ponomarenko, A. I., Manzhulo, I. V., Kalinovsky, A. I., Popov, R. S., Dmitrenok, P. S., & Ivanchina, N. V. (2024). New Polyhydroxysteroid Glycosides with Antioxidant Activity from the Far Eastern Sea Star Ceramaster patagonicus. Marine Drugs, 22(11), 508. https://doi.org/10.3390/md22110508

