Abstract
This contribution reviews all the synthetic work on tetrodotoxin that has appeared in the literature through June 2011.
1. Introduction
This contribution reviews the literature on the synthesis of tetrodotoxin (TTX, 1, Figure 1), through the first half of 2011 [1]. This substance, the neurotoxic principle of the formidable Tetraodon fish (puffer fish, fugu), is one of the classical targets in synthetic organic chemistry. Its delightfully intricate architecture captured the imagination of the synthetic community as soon after its structure was determined independently, but nearly simultaneously, by Woodward [2], Goto [3], Tsuda [4], and respective collaborators, in the mid-1960s. Efforts to conquer TTX reached a climax in 1972, when Kishi and coworkers announced their history-making first synthesis of 1.
Figure 1.
Chemical structure of tetrodotoxin (TTX).
Over the following quarter-century, the synthetic community showed little interest in TTX, but the past decade has witnessed a resurgence of activity in this area, fueled by in part by landmark syntheses by Isobe and DuBois in the early 2000s. Synthetic research toward 1 continues unabated to this day.
But why pursue yet another synthesis of tetrodotoxin, despite all the brilliant work that has already been reported?
The reasons are manifold. At an academic level, the structure of 1 lends itself beautifully to the exploration of uncharted approaches and it provides an unforgiving platform to evaluate new chemical transformations. Thus, any new methodology or strategy that translates into a victorious assault on 1 must necessarily be significant. For instance, the formation of C–N bonds via nitrene insertion into C–H linkages [5] was a concept largely confined to physical organic research [6] prior to 2003, despite our early studies in this area [7–11]. One could argue that the credibility of such a transformation as a synthetically useful resource increased dramatically after DuBois employed a technologically advanced form thereof in his synthesis of TTX (vide infra). In a like manner, a strategic principle that facilitates or ameliorates the synthesis of 1 necessarily advances the state of the art, and in all likelihood it will be incorporated rapidly into the canon of contemporary synthetic methodology.
There are also significant practical reasons for engaging in the above pursuit. A sound, concise avenue to TTX is key to medicinal chemistry research that could identify a congener of the natural product that might be useful in human medicine. Briefly, the bioactivity of TTX is ascribed to potent inhibition of voltage-gated Na+ channels. Blocking such channels in a controlled fashion appears to be desirable in the treatment of conditions such as Parkinson’s disease [12] and chronic pain in terminally ill cancer patients [13]. Tetrodotoxin is too hazardous to be used as a drug, but analogs with reduced toxicity and better pharmacological profile may well become viable medicaments.
2. Strategies Explored in Connection with Synthetic Work on TTX
Central to all published work in the tetrodotoxin area is the retrosynthetic logic outlined in Scheme 1. Consider the electrostatically neutral form of the natural product, 2. Release of orthoacid and guanidine hemiaminal units reveals a highly substituted cyclohexane 3, which may be further simplified to 4 by excision of the guanidine segment. Thus, any synthesis of 1 must produce structure 4 or an equivalent thereof, such as 5, wherein the substituents in parentheses represent latent forms of the requisite functionalities, and units P stand for appropriate protecting groups.
Scheme 1.
Recorded efforts aiming to reach 5 may be grouped into three categories, depending on the strategy that was employed to control the relative configuration of the substituents that adorn the cyclohexane core. Simplification of 5 by removal of some of the oxygen functionalities produces cyclohexene 6 (Scheme 2), the double bond of which enables oxygenation of the exocyclic methyl group by allylic oxidation and of the olefinic carbons by epoxidation or osmylation. A plausible route to 6 envisions a Diels-Alder reaction of diene 7 with a dienophile of the type 8. Such is in fact the approach explored by Keana. A subtler analysis leads to bicyclic retron 9, which emerges upon reconnecting the carboxy and formyl groups in 6. Compound 9 is the Diels-Alder adduct of quinone 10 with butadiene. The landmark Kishi synthesis of 1 rested indeed upon this logic. Compound 5 is also available by a variety of annulation reactions. Indeed, a [3 + 3] annulation that entails the union of fragments 11 and 12 was researched by Alonso.
Scheme 2.
Alternative routes to 5 may involve the elaboration of a highly oxygenated, naturally occurring material such as a sugar, a cyclitol, or a related substance (Scheme 3). Strategies relying upon this principle are apparent in the work of Isobe (use of 13 and 14), Funabashi (15), Sato (15, 16), Taber (17), Fraser-Reid (18), Alonso (18), Ohfune (19), and DuBois (20).
Scheme 3.
A third possibility emerges upon recognition that the syn relative configuration of the acetic acid branch, the formyl group and its vicinal oxygen functionality in 5 enable the control of relative configuration through the fragmentation of an isooxazoline such as 21 (Z = functional group that facilitates fragmentation), which in turn could result of via an intramolecular nitrile oxide cycloaddition (INOC) reaction (Scheme 4). Approaches to 1 described by Fukuyama and by us rely indeed on this logic.
Scheme 4.
This review illustrates salient aspects of the foregoing efforts, starting with a summary of the reported total syntheses of 1. This shall be followed by a discussion of the various synthetic studies disclosed in the primary literature [14] as of this writing.
3. The Diels-Alder Route to Tetrodotoxin
As indicated earlier, the Kishi synthesis of TTX [15–18] evolved from a Diels-Alder reaction of quinone 11. Group G in 11 may not be an actual or protected amino residue, because the electron-donating nature of either would hamper the cycloaddition step. Instead, G must be an electron-withdrawing group that could later be advanced to a protected amine. The choice fell on oximino quinone 23a. The oxime segment would direct the Diels-Alder reaction to the correct double bond, especially upon coordination with a chelating Lewis acid (cf. Mt in 23b, Scheme 5), and ultimately undergo Beckmann rearrangement to install the requisite nitrogen functionality. An enantioselective Diels-Alder reaction was well beyond the scope of early 1970s technology. Consequently, the initial cycloadduct was obtained as the racemate, and the overall synthesis produced (±)-1.
Scheme 5.
The opening moves of the synthesis appear in Scheme 6. Regioselective Diels-Alder reaction of 23a with butadiene promoted by SnCl4 afforded 24, which upon O-mesylation of the oxime underwent transposition to 25. Substrate-controlled regio- and stereoselective carbonyl reduction and olefin epoxidation produced 26, which was advanced to 27 as a prelude to oxidative upgrading of the erstwhile quinoid nucleus and oxidative cleavage of the right-hand side ring. Key steps in this phase of the synthesis were the stereoselective acetoxylation of 34 initiated by epoxidation of the vinyl ether, the regioselective Bayer-Villiger oxidation of ketone 35 directed by the ether oxygen, and the tandem lactone opening/intramolecular epoxide cleavage leading to 37.
Scheme 6.
The assembly of racemic tetrodotoxin was completed from 37 as shown in Scheme 7. Elimination of acetic acid from the tetrahydrofuran moiety of 37 provided dihydrofuran 38, which upon N-guanidylation yielded 40. Lemieux-Johnson oxidative cleavage of the double bond unveiled aldehyde 41, which instantly cyclized to form 42. Finally, release of formyl and acetyl groups occurred with concomitant (and anticipated [2]) orthoacid formation to deliver fully synthetic 1.
Scheme 7.
Overall, the synthesis was accomplished in a noteworthy 28 linear steps from 11. Even by taking into account the 3 steps required to prepare 11, this route to TTX is remarkably concise, especially when one considers that the status of the chemical technology of the early 1970s. The fact that only 5 steps involved bona fide protecting group manipulations is an eloquent testimony to Kishi’s masterful planning. Indeed, forty years after its publication, this masterpiece of synthetic chemistry remains the yardstick against which all other efforts are evaluated.
4. Syntheses of TTX from Carbohydrates and Congeners
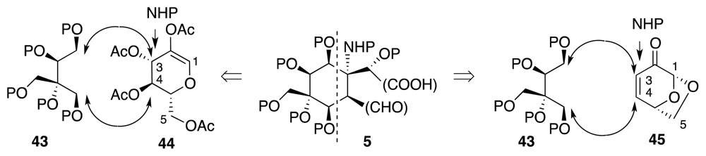
The total synthesis of natural products from carbohydrate building blocks [19–35] became an exceedingly active area of research in the late 1970s. Since then, countless targets have fallen to carbohydrate-based efforts, proving beyond doubt the validity of such an approach to chemical synthesis. An especially significant achievement in this area is the first ever enantioselective synthesis of tetrodotoxin by Isobe and collaborators. In fact, these workers described two total syntheses of (−)-1: the first one (2003) from glucal 44 [36] and the second one (2004) from levoglucosenone, 45 [37,38] (Scheme 8). In either case, the key objectives were the annulation of the cyclohexane ring of 5 onto C-3 and C-4 of the glucose derivative, and the installation of the nitrogenous functionality at C-3.
Scheme 8.
Scheme 9 delineates key strategic aspects of the 2003 synthesis. A great deal of background work [39–45] indicated that α-hydroxylactone 46 could be made from vinyl ether 47, which in turn would result from base-promoted cyclization of epoxyaldehyde 48. Among the numerous methods explored for the introduction of the nitrogen functionality, only the Michael-type cyclization of carbamate 49 performed adequately. A drawback of this approach is that the configuration of the starred carbon in 49 must be opposite that required for the natural product, necessitating an inversion of configuration at a later juncture. It was further envisioned that 49 would derive from 50 by aldol-dehydration and reduction. The final correlation with 44 envisaged introduction of the acetonyl segment through Claisen rearrangement, and of the conjugated methyl ketone by hydration of an alkyne. This led to retrosynthetic intermediate 51, which can be readily made from 44 via 52.
Scheme 9.
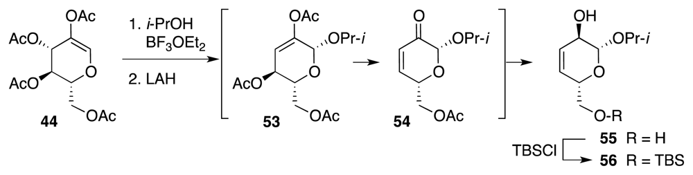
The synthesis began with a straightforward sequence that produced 56 from 44 (Scheme 10), in turn available from glucose in 3 steps. Material 56 was then elaborated to vinyl ether 61 (Scheme 11), which underwent Claisen rearrangement to furnish 62. A series of transformations then led to 66. The latter underwent stereoselective (7:1) epoxidation of the vinyl ether, enabling the creation of the correct configuration of α-benzoyloxy ketone 67. The subsequent hydration of the ethynyl segment was complicated by loss of the TBS group and consequent formation of hemiketal 68. Fortunately, 68 smoothly progressed to 69 (Scheme 12) upon enol silylation of the methyl ketone (TBSOTf/iPr2NEt) and protection of the primary OH group (TBSCl/imidazole). The crucial aldol-dehydration step was performed in two stages. Reaction of 69 with TBAF induced selective release of the enol silyl ether and consequent aldol addition of the transient enolate to the highly electrophilic α,α′-dioxygenated ketone. Dehydration of the resultant aldol with Cl3CCOCl in pyridine delivered 70. The installation of the nitrogen functionality followed a somewhat circuitous pathway. This was dictated by the instability of the bis-allylic alcohol produced upon reduction of 70 and its protected variants. After much experimenation, it transpired that BOM-protected compound 71 is amenable to conversion into 73, which, in principle, could undergo an Overman imidate rearrangement as a means to introduce the requisite nitrogen substituent. Unfortunately, all attempts in that sense met with failure. Consequently, 73 was advanced to carbamate 75, which smoothly cyclized under basic conditions to furnish 76. The subsequent conversion of 76 into 79 proceeded uneventfully.
Scheme 10.
Scheme 11.
Scheme 12.
Scheme 13 details the sequence that served to transform 79 into lactone 85. Points of interest here include the formation of bicyclic vinyl ether 83 through nucleophilic opening of an epoxide by the O-terminus of the enolate of an aldehyde (cf. 82), and the stereoselective osmylation of 83 from the α-face of the vinyl ether. The latter step led to the incorrect configuration of the newly installed non-acetalic OH group, requiring an inversion of configuration by a redox technique (cf. 83→85).
Scheme 13.
The endgame of the synthesis (Scheme 14) involved a series of carefully orchestrated protection/deprotection steps that prepared the molecule for installation of the guanidine fragment and formation of the complete TTX framework. This led to extremely polar compound 91, which could be purified only after peracetylation. Final release of all blocking groups completed the first enantioselective synthesis of tetrodotoxin. This monumental tour-de-force reached 1 from 44 in a total of 68 steps, nearly half of which were protection/deprotection maneuvers. Still, the overall yield of TTX was quite respectable (more than 95% yield per step on average).
Scheme 14.
It was alluded earlier to the fact that 73 failed to undergo Overman rearrangement. The 2004 Isobe synthesis (retrosynthetic diagram of Scheme 15) circumvented such a difficulty by carrying out the reaction on a less highly oxygenated substrate, and it introduced an additional refinement in the form of a more convergent assembly of the six-membered ring of the ultimate 5 by a Diels-Alder reaction of isoprene, 95, with 2-bromoglucosenone, 96. The major product thus obtained was adduct 97 (Scheme 16). This material was elaborated to 100, Overman transposition of which afforded 101. The system was now ready for the installation of the requisite oxygen functionalities. Two interesting transformations were employed in that connection. First, DBU treatment of dibromide 102 (the product of trans-diaxial addition of Br2 to 101) induced a tandem E2/SN2′ reaction that led to oxazoline 104. Second, epoxide 105, prepared by stereoselective syn-epoxidation of the allylic alcohol emerging from the hydrolysis of 104, was rearranged to 106 using Ti(OPr-i)4. However, the syn-diol system in 106 has the incorrect configuration of relative to 1. This problem was resolved in the next stage of the synthesis (Scheme 17) by oxidation to a vicinal dicarbonyl and diastereoselective reduction to the correct diol, 107, which was then transformed into epoxide 109. Theoretically, the vinyl group in 109 could be oxidatively converted into the requisite α-hydroxyacid branch of 5. Instead, the authors opted for ozonolysis of 109 and stereoselective (4:1) addition of an acetylide ion to the transient aldehyde; a process that ultimately surrendered 110. Further oxidative degradation of the acetylene afforded an epoxyacid (cf. 111), which cyclized spontaneously to yield 113. Both acetyl and primary TES blocking groups were lost in the course of the latter step.
Scheme 15.
Scheme 16.
Scheme 17.
The final attack on 1 ran into some annoying protecting group complications. First, the TES units in 103 provided an inadequate level of OH protection during subsequent manipulations, necessitating a protecting group exchange (cf. 113→114, Scheme 18) prior to oxidative cleavage of the 1,3-dioxolane moiety and protection of the resultant aldehyde as dimethyl acetal 115. Second, it transpired that the release of the trichloroacetyl segment required TBS protection of the apical OH group. Accordingly, the “upper” acetyl groups were selectively released by exposure of 115 to NH4OH. However, silylation of the resultant diol (reaction with TBSOTf) afforded cyclic acetal 116 instead of the desired bis-TBS ether derivative. The synthesis was completed from 116, which is a structural congener of anhydrotetrodotoxin, 118, and that indeed produced a mixture of 1 and 118 upon acid treatment.
Scheme 18.
Overall, 37 steps were needed to reach 1 from 46, only 8 of which entailed protecting group manipulations. Isobe’s second synthesis constitutes a major improvement over the first one and indeed, it lends itself to further amelioration. To wit, a recent paper from the same group describes the Diels-Alder reaction of 96 with oxygenated isoprene 119, leading to 120 (Scheme 19) [46]. This refinement alone removes 3 steps from the earlier route.
Scheme 19.
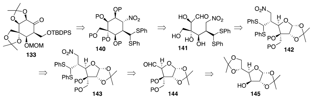
Sato and collaborators have also actively researched avenues to 1 from carbohydrates and related substances. Their first major success was the synthesis of racemic TTX from (achiral) myo-inositol [47]. Drawing upon their own work in the carbohydrate field, they considered that a key step toward lactone 121, an analog of the Isobe intermediate 113, could be the nucleophilic opening of chloroepoxide 123 with azide ion (Scheme 20). This reaction takes place preferentially at the non-halogenated carbon. The resultant aldehyde 122 would be advanced to 121 via a cyanohydrin, while 123 itself could be manufactured from myo-inositol, 124. The first objective to that end was to outfit the cyclitol for the introduction of the missing carbon branches, two of which were installed through the nucleophilic addition of Li–CHCl2 to appropriate carbonyl groups. This required various protection-deprotection steps (Scheme 21), worthy of note among which is the selective (3:1) silylation of the least hindered equatorial alcohol in 128 over the neighboring axial OH. The resultant 129 was then advanced to ketone 133 as a prelude to a second round of Li–CHCl2 addition as shown in Scheme 22. Product 134 of this step reacted with NaN3 in DMSO containing 15-crown-5 to form a transient epoxide 135, which in accord with previous studies by the same group suffered in situ nucleophilic opening to afford aldehyde 136. In a fashion somewhat reminiscent of the earlier Isobe synthesis, the latter was homologated to cyanohydrin 137, which was obtained in a moderately stereoelective manner (1.5:1). A singular mode of lactone formation involved reduction of the nitrile to an aldehyde and treatment of the resultant with Jones reagent in acetone. Evidently, the acidic nature of the oxidant caused release of the MOM group, formation of a hemiacetal, and oxidation to the ultimate 138. This substance was readily elaborated to (±)-1 accompanied by some 118. Sato thus employed 33 steps, 15 of which were protection/deprotection maneuvers, to prepare 1 from 125.
Scheme 20.
Scheme 21.
Scheme 22.
As an alternative to the chemistry of Scheme 21, the same researchers investigated a route to ketone 133 that proceeds through a nitro-aldol (Henry) cyclization of enantiopure compound 141 and Nef reaction of the ensuing 140 (Scheme 23). Compound 141 may be further correlated with glucose diacetonide, 145, on the basis of an earlier study by Funabashi and collaborators [48]. The implementation of this new approach involved the processing of 145 to 148, which then underwent diasteroselective (10:1) conjugate addition of lithiated bis(phenylthio)-methane (Scheme 24) [49]. Release of the anomeric acetonide unveiled aldehyde 149, gentle base treatment of which triggered a highly stereoselective cyclization to 150. This material was further elaborated to 133, which as seen earlier in Scheme 22 may be converted into (−)-1 in 12 steps. In terms of efficiency, the new sequence is comparable to the previous one (33 steps to 1 from glucose, 10 protection/deprotection events).
Scheme 23.
Scheme 24.
Additional work [50] defined yet another route to 133 from glucopyranose derivative 153 (Scheme 25), available in 4 steps from the parent hexose. Thus, compound 154, was processed to enol acetate 156, setting the stage for a crucial Ferrier aldol reaction that afforded the desired 158 as the major component of a 6:2:1 mixture of 3 diastereomers. This material was then elaborated to 133 in a straightforward fashion. In terms of number of steps, this third route (34 from glucose, 12 protecting group manipulations) is also comparable to the previous one.
Scheme 25.
The syntheses just reviewed rely largely on well-established chemical transformations. This begs the question of whether greater conciseness might be achievable though the use of more advanced reactions. A relevant example is apparent in a synthesis of 1 reported by DuBois and collaborators in 2003 [51]. These researchers have been interested in the formation of C–N bonds via nitrenoid insertion into C–H linkages: a process that parallels the analogous reaction of carbenes, but that has not been explored as extensively. Recalling that such insertions occur with rigorous retention of configuration, a retrosynthetic plan toward 1 emerged as sketched in Scheme 26. Lactone 160, a relative of 113 (Isobe) and 121 (Sato), could ensue through the intramolecular insertion of a nitrene into the appropriate bridgehead C–H bond of 161. Furthermore, lactone 161 could derive from cyclohexane 162, a congener of 5 that should be available from ketone 163. The latter could be manufactured by cyclization of carbene 164 through C–H insertion. The precursor of reactive intermediate 164 would be diazoketone 165, which appears to be the resultant of the reaction of protected threose 166 with an appropriate nucleophile. A convenient form of the requisite tetrose may be accessed from isoascorbic acid, 166, which thus becomes the starting point of the synthesis.
Scheme 26.
The known oxidative cleavage of 167 to 168 (Scheme 27) served as a prelude to the manufacture of aldehyde 170. The condensation of the latter with dibenzyl oxaloacetate occurred with significant Felkin-Anh selectivity (>10:1) to furnish lactone 171, which was then processed to 172. The carbenoid produced upon reaction of 172 with a Rh(II) catalyst underwent smooth C–H insertion to provide 173. In accord with solid precedent, the subsequent reduction of the ketone and hydrogenation of the double bond occurred both selectively from the α-face of the molecule. Interestingly, by carrying out the hydrogenation step under acidic conditions, the saturated form of 173 underwent in situ release of the TBS group and lactone isomerization, predisposing the molecule for reprotection of the liberated diol as an acetonide. This delivered advanced intermediate 174.
Scheme 27.
Carbamate 179 (Scheme 28) was subsequently prepared from 174 via a straightforward sequence of transformations. This late intermediate underwent a remarkable oxidative cyclization to 180 upon treatment with iodobenzene diacetate and Rh(II) trifluoroacetamidate. With 180 in hand, the synthesis of 1 was completed quickly. Overall, 34 steps were necessary to prepare 1 from 167 (28 from 170), but only six of these were true protecting group manipulations.
Scheme 28.
Synthetic Studies toward TTX Based on Carbohydrate Building Blocks and Congeners
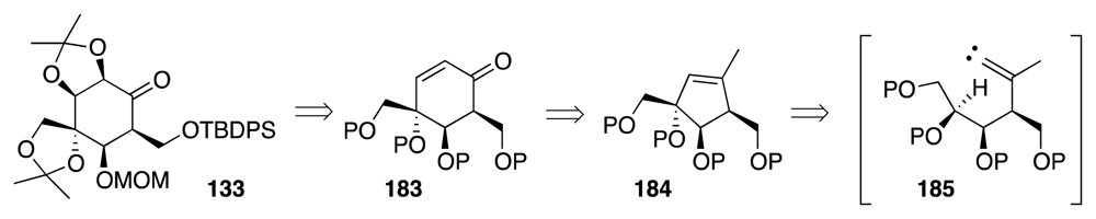
In addition to the above syntheses, the literature records a significant volume of research focusing on the construction of tetrodotoxin precursors from naturally occurring, polyhydroxylated substances. Some of these studies have explored strategically interesting principles. For instance, an approach disclosed by Taber, which appeared in print just days after the publication of DuBois’ work, addressed the preparation of enone 183 through a C–H insertion reaction of an alkylidene carbene, according to the format of Scheme 29 [52]. Compound 183 is a plausible forerunner of the Sato intermediate, 133.
Scheme 29.
Convenience advocated investigating the feasibility of this approach using compounds possessing the antipodal configuration. In fact, ent-183, rendered in Scheme 30 as compound 195, appeared to be readily accessible from (d)-glyceraldehyde acetonide, 186. The latter thus was transformed into ketone 189, which upon reaction with lithiated TMS-diazomethane, 190, underwent Peterson-type olefination to a highly unstable diazo compound. The latter suffered spontaneous deazoniation to vinylidene 191. This reactive intermediate efficiently inserted into the proximal C–H bond of the dioxolane moiety to form 192. A subsequent ozonolysis-aldol-acetylation sequence gave 193, which relative to ent-183 possesses the incorrect configuration of the stereogenic center adjacent to the carbonyl group. Prolonged treatment with DBU induced both elimination of the acetate and equilibration to a 2:1 mixture of 195 (desired cis-diastereomer, major) and 194.
Scheme 30.
Also worthy of note is an approach to 1, described by Fraser-Reid [53–55], which rests upon the surmise adumbrated in Scheme 31. Retrosynthetic simplification of 5 leads to aldehyde 196, and thence to tricyclic acetal 197. An interesting construction of the latter envisions the formation of the cyclohexanone segment through the addition of a carbon radical to a nitrile (cf. 203). Structure 198 may be correlated with an anhydrohexose, e.g., (d)-mannosan, 199.
Scheme 31.
These ideas were translated into practice starting with the known mannosan-derived ketone 200 (Scheme 32). The corresponding product 201 of Wadsworth-Emmons olefination was desilylated and converted into a trichloroacetimidate, which then underwent Michael cyclization to afford 202 in a fashion that presaged a similar transformation later employed by Isobe in his own synthesis of 1. The substrate for the key radical cyclization was 203, which upon exposure to bis-tert-butyl hyponitrite in refluxing tert-butanol surrendered tricyclic ketone 204. Evidently, a tert-butoxy radical ensuing upon thermolysis of the hyponitrite preferentially abstracted a hydrogen atom from the oxymethylene bridge of 203, forming a radical such as 198, which then added to the nitrile. A blocking group exchange then yielded benzyl-protected derivative 205.
Scheme 32.
Relative to 196, compound 205 lacks the future aldehyde functionality. The next phase of the work (Scheme 33) thus targeted Kishi-type intermediate 210: a congener of substance 37 in Scheme 6. A key step in the preparation of 210 was a radical allylation of the bromo derivative of 205. The construction of 210 was completed by reductive cleavage of bicyclic acetal 207, iodolactonization of acid 208 by the use of bis(collidine)iodonium perchlorate, and a final radical oxygenation. Compound 210 represents the most advanced construct yet disclosed in this series.
Scheme 33.
Under the rubric of radical reactions, Alonso described a route to lactone 214 (Scheme 34), which is an analog of nitrile 202. Access to 214 was secured from 211, recognized as a deacetylated O-methyl oxime derivative of 200, by formation of a 2-iodoacetal from the free alcohol, cyclization with Bu3SnH/AIBN, protection, and Jones oxidation [56,57].
Scheme 34.
The same group also explored the assembly of compounds structurally related to 214 via an intra-molecular cycloaddition of carbohydrate-based nitrones. Thus, reaction of mannosan derivative 215 with N-methylhydroxylamine hydrochloride occasioned the formation of a nitrone (cf. 216 or its geometric isomer, Scheme 35), which cyclized directly to isooxazolidine 217 [58,59]. Reduction of the N–O bond produced 218, thereby demonstrating an interesting method for the creation of nitrogen-bearing tetrasubstituted carbon centers.
Scheme 35.
Finally, Ohfune researched an avenue to compound 5 not from a carbohydrate, but from quinic acid, 220, by way of cyclohexene 219, according to the format of Scheme 36.
Scheme 36.
Thus, 220 was elaborated to 221, which underwent simultaneous substitution of the primary OH group and regioselective dehydration of tertiary alcohol upon reaction with (PhS)2 and Bu3P (Scheme 37). The action of MCPBA on the emerging 222 resulted in oxidation of the sulfide to the sulfone and selective epoxidation of the olefin from the β-face. Subsequent base treatment caused eliminative fragmentation of the epoxide orchestrated by the sulfonyl group along with deconjugation of the exomethylene sulfone, thus formed to the more favorable isomer 223. A second round of epoxidation/elimination produced 224, which was protected and reductively desulfonylated to afford 225. The latter was then advanced to 226, which represents the terminus of this synthetic study [60].
Scheme 37.
5. Other Approaches to TTX through Diels-Alder Reactions or Annulation Processes
In the 1970s and early 1980s, Keana investigated a unique approach that targeted an early intermediate already incorporating the guanidine unit [61–63]. This strategy rested on the use of pyrimidinone 228 as an unusual dienophile vis-a-vis diene 227 (Scheme 38). The more electrophilic COMe group controlled the relative orientation of the reactants, which combined to afford adduct 229 as the major product. Relative to 5, this material possesses the incorrect configuration at the starred center, but the adjacent carbonyl group might permit epimerization to the correct, and presumably thermodynamically favored, trans-fused diastereomer. This isomerization, however, remains to be demonstrated (or disclosed).
Scheme 38.
An important step that was indeed described is the osmylation of 229, a reaction that occurred with essentially no facial selectivity. The α-diastereomer of the syn-diol (230, desired) and its β-isomer were separated by column chromatography. Diol 230 constitutes Keana’s most advanced TTX intermediate yet reported. Its elaboration to 1 could involve the operations listed in Scheme 38; but these conjectures remain to be reduced to practice.
In 2010 Alonso described a construction of nitroketone 232 (Scheme 39) through annulation chemistry [64]. Compound 232 is recognized as a precursor of the Sato TTX intermediate, 133 (cf. Scheme 21), and it was regarded as resulting via the [3 + 3] union of protected dihydroxyacetone, 233, with a nitroolefin such as 234.
Scheme 39.
Suitable forms of components 233 and 234 proved to be, respectively, the pyrrolidine enamine of the isopropylidene derivative of dihydroxyacetone, 235, and furyl nitroalkene 236 (Scheme 40). When admixed in DMF in the presence of PPTS, these combined to afford (racemic) 237 as the major product in a highly diastereoselective manner. This material was advanced to nitrocyclitol 239, which required no protection of the free OH group during oxidative degradation (catalytic RuO4) of the furyl group to a carboxylic acid. Reduction of the latter, differential OH protection and Nef reaction as detailed earlier by Sato produced (±)-133. Given that Sato had also described the conversion of enantiopure 133 into (−)-TTX (12 steps, vide supra), the preparation of (±)-133 amounts to a formal synthesis of (±)-1.
Scheme 40.
6. Approaches to TTX that Rely on Intramolecular Nitrile Oxide Cycloaddition Reactions
The CHO and the adjacent OP group in compound 5 constitute an aldol motif. Among the ways in which such a feature could be created, noteworthy is the [3 + 2] cycloaddition of a nitrile oxide to an olefin, followed by cleavage of the resulting oxazoline [65,66]. In the specific case of 5 (Scheme 41), the syn relationship of the “southeastern” OP, CHO and COOH functional triad evokes a possible intramolecular nitrile oxide cycloaddition (INOC), wherein the reactive dipole is appended to that branch of the substrate that is destined to become the hydroxyacid segment of 5. Group Z in retrosynthetic intermediate 241 represents a functional ensemble that would ultimately enable the fragmentation of the oxazoline unit. Further analysis reveals that an appropriate conformational constraint might even permit the conduct of the INOC step on a “locally symmetrical” cyclohexadiene such as 243. Such a strategy may translate into an especially concise synthesis.
Scheme 41.
In 2002, Fukuyama and coworkers disclosed the first study ever to address the foregoing surmise [67]. The intial subgoal of their effort was nitro compound 248 (Scheme 42), which was prepared starting with a Birch reduction of 244, readily available in turn from p-anisaldehyde. A straightforward sequence advanced the Birch product to an N-CBZ carbamate, in preparation for iodocyclization to 246. Elaboration of this substance to a diiodo derivative, followed by release of the ketal, triggered elimination of HI from the nascent β-iodoketone and afforded enone 247, which then progressed to 248. Treatment of the latter with BOC2O served to induce dehydration of nitro group to a nitrile oxide and consequent formation of 249.
Scheme 42.
The next stage of their endeavor centered on the production of isoxazoline 254 (Scheme 43). To that end, 249 was first transformed into mixed ketal 250. The oximino unit in 250 activates the neighboring methylene toward deprotonation. Indeed, exposure of 250 to DBU promoted decarboxylative β-elimination of the oxazolidinone to give 251. A subsequent reaction with OsO4 took place selectively at the more exposed and more strained cyclopentene double bond and the nascent diol cyclized to a new oxazolidinone, 252. Some redox adjustments prepared the molecule for a Bayer-Villiger oxidation reminiscent of the Kishi synthesis (cf. 35, Scheme 6) and leading to lactone 253. Two more steps afforded the target 254, in which the isooxazoline constitutes a protected form of the β-hydroxyaldehyde segment of 5.
Scheme 43.
The foregoing outline of the various approaches to TTX provides the background for a summary of our own research in this domain. Our group has developed a suite of chemical transformations that may be collectively described as the “oxidative amidation” of phenols, and that may be represented with the general diagram of Scheme 44 [68–70]. Thus, oxidative activation of a phenol such as 252, typically with a hypervalent iodine reagent like PhI(OAc)2, produces a reactive intermediate, which we ideate as cation 256. Substituent N represents an appropriate nitrogen nucleophile, while the dashed semicircle signifies that the “N” may be tethered to the phenolic nucleus, or it may be independent. In the first case, the reaction occurs in an intramolecular fashion; in the second, in a bimolecular regime. In all cases, “N” emerges from the reaction as part of an amide functionality; hence the terminology “oxidative amidation of phenols”. Three modes of oxidative amidation are currently known, depending on whether N is part of an oxazoline (intramolecular) [71–73], a sulfonamide or a phosphoramide (intramolecular) [74–76], or a nitrile (bimolecular) [77,78]. The reaction is most often carried out with para-substituted phenols, as dictated by the structure of various synthetic targets [79–81], but ortho-oxidative amidation is perfectly possible [70,75,82].
Scheme 44.
The nexus between oxidative amidation technology and TTX emerges from the formulation of Scheme 45. In principle, 5 could be made by double osmylation of 258. If one envisions a Wittig reaction as a means to create the exomethylene system and an INOC step to introduce OP and CHO groups, then 258 simplifies to 260, which is the product of oxidative amidation of 261. The hypothesis of Scheme 45 is one of the reasons why the senior author of this review launched a program aiming to establish a bimolecular phenolic amidation reaction beginning in the late 1990s. The advent of suitable methodology [77,78] served to verify that a substrate of the type 261, P = Me, indeed undergoes oxidative amidation in good yield [82].
Scheme 45.
It seems superfluous to state that the full implementation of the above logic requires considerable amounts of exploratory work. Initial feasibility studies centered on the crucial INOC step in a desoxy series emanating from ester 262 (Scheme 46). Oxidative amidation to 263, chemo- and diastereoselective reduction of the ketone, and protection of the OH group set the stage for saponification of the ester and creation of nitroketone 266. Treatment of the latter with TBSCl and imidazole induced a Torssell-like cyclization to (±)-267, which was then elaborated to (±)-268. The action of methanolic Li2CO3 on (±)-268, induced formation of (±)-270, arguably through fragmentation of hemiketal anion (±)-269. In a like fashion, compound (±)-267 itself was advanced to (±)-271 [83].
Scheme 46.
This chemistry provided proof for the principle adumbrated in Scheme 45; however, in the form presented above it only provides racemic materials. An enantiocontrolled variant may be possible if the nitrile oxide arising through dehydration of 266 could be directed to one of the two diastereotopic double bonds of the dienic segment. To that end, Fukuyama had opted to tether nitrogen and oxygen functionalities as evident from intermediate 248 of Scheme 42. For reasons that will be become apparent shortly, we favored the alternative outlined in Scheme 47. Nitrile oxide 272 is a congener of 259 that carries a sterically demanding group G of the indicated configuration. This substituent would also have to function as the forerunner of a carbonyl group, enabling the eventual fragmentation of the isoxazoline as seen earlier in Scheme 46. It seemed likely that the steric bulk of G would cause 272 to undergo INOC cyclization preferentially through transition state 274, wherein G resides outside the developing bowl-shaped tricyclic product throughout the reaction. By contrast, transition state 273 would force G within the developing bowl, creating severe steric congestion. If so, the INOC step should involve preferentially the pro-(S) double bond of 272, resulting in selective formation of 275. The configuration of G would thus determine that of three other stereocenters, including that of the nettlesome tetrasubstituted carbon bearing the NHAc group.
Scheme 47.
If G were a bulky nitrogen functionality, then a suitable precursor of 272 could be manufactured from (l)-tyrosine, according to Scheme 48 (cf. NR1R2 in 276). In this formulation, (N) represents a second nitrogenous functionality amenable to conversion into a nitrile oxide at an appropriate juncture. An interesting opportunity materializes when one considers possible (N) groups that could advance to nitrile oxides under the same conditions employed for the oxidative amidation step; i.e., upon treatment with hypervalent iodine reagents: the two steps could carried out in tandem, provided that the rate of oxidation of (N) to a nitrile oxide were slower than that of the oxidative amidation step. This condition finds justification in the fact that the dienone system must be already in place by the time that the nitrile oxide begins to form; otherwise, the INOC step could not occur. In the event, it transpired that group (N) had to be an aldoxime [84–86].
Scheme 48.
The vision of Scheme 48, was translated into reality starting with the derivatization of (l)-tyrosine to 279, which upon reaction with PhI(OCOCF3)2 in acetonitrile afforded tricyclic product 280 as the sole detectable diastereomer (Scheme 49). A compound of such a complexity thus emerged in a mere 5 steps from a common aminoacid. Efforts are currently underway to complete a total synthesis of TTX from one of these advanced intermediates.
Scheme 49.
7. Conclusion
The discussion just completed conveys a sense of why synthetic research on tetrodotoxin remains as active as it is. The development of TTX-like drug requires a great deal of medicinal chemistry work, which in turn becomes realistically possible only upon the advent of suitable synthetic technology. Progressive refinements in the latter domain will hopefully enable a full-out effort in the former before too long. It is this synergy between medicine and chemistry that has traditionally driven advances in the science of synthesis, which remains as central as ever as a source of new leads for the creation of better therapeutic agents.
Acknowledgments
We are grateful to NSERC, CIHR, CFI, BCKDF, the University of British Columbia, and the Canada Research Chair Program (M.A.C.) for support of our scientific activities.
References
- Koert, U. Syntheses of Tetrodotoxin. Angew. Chem. Int. Ed 2004, 43, 5572–5576. [Google Scholar]
- Woodward, RB. The structure of tetrodotoxin. Pure Appl. Chem 1964, 9, 49–74. [Google Scholar]
- Goto, T; Kishi, Y; Takahashi, S; Hirata, Y. Tetrodotoxin. Tetrahedron 1965, 21, 2059–2088. [Google Scholar]
- Tsuda, K; Ikuma, S; Kawamura, M; Tachikawa, R; Sakai, K; Tamura, C; Amakasu, O. Tetrodotoxin. VII. On the structures of tetrodotoxin and its derivatives. Chem. Pharm. Bull 1964, 12, 1357–1374. [Google Scholar]
- Gutekunst, WR; Baran, PS. C–H functionalization logic in total synthesis. Chem. Soc. Rev 2011, 40, 1976–1991. [Google Scholar]
- Lindley, JM; McRobbie, IM; Meth-Cohn, O; Suschitzsky, H. Competitive cyclisations of singlet and triplet nitrenes. Part 5. Mechanism of cyclisation of 2-nitrenobiphenyls and related systems. J Chem Soc Perkin Trans 1 1977, 2194–2204, and references therein. [Google Scholar]
- Ciufolini, MA; Byrne, NE. The total synthesis of cystodytins. J. Am. Chem. Soc 1991, 113, 8016–8024. [Google Scholar]
- Bishop, MJ; Ciufolini, MA. Total synthesis of kuanoniamines and dercitins. J. Am. Chem. Soc 1992, 114, 10081–10082. [Google Scholar]
- Ciufolini, MA; Bishop, MJ. Studies towards streptonigrinoids: Formal synthesis of lavendamycin methyl ester. J Chem Soc Chem Commun 1993, 1463–1464. [Google Scholar]
- Ciufolini, MA; Shen, Y-C. Total synthesis of cystodytin J, diplamine and shermilamine B. Tetrahedron Lett 1995, 36, 4709–4712. [Google Scholar]
- Ciufolini, MA; Shen, Y-C; Bishop, MJ. A Unified strategy for the synthesis of sulfur-containing pyridoacridine alkaloids: Antitumor agents of marine origin. J. Am. Chem. Soc 1995, 117, 12460–12469. [Google Scholar]
- Slaughter, RS; Garcia, ML; Kaczorowski, GJ. Ion channels as drug targets in the immune system. Curr. Pharm. Des 1996, 2, 610–623. [Google Scholar]
- Hagen, NA; du Souich, P; Lapointe, B; Ong-Lam, M; Dubuc, B; Walde, D; Love, R; Ngoc, A. Canadian tetrodotoxin study group. J. Pain Symptom Manag 2008, 35, 420–429. [Google Scholar]
- Noheda Marin, P. Synthesis of Tetrodotoxin, its Analogues and Intermediates Thereof. WIPO Patent Application WO 2007/054517, 18 May 2007. [Google Scholar]
- Kishi, Y; Nakatsubo, F; Aratani, M; Goto, T; Inoue, S; Kakoi, H; Sugiura, S. Synthetic approach towards tetrodotoxin. I. Diels-Alder reaction of α-oximinoethylbenzoquinones with butadiene. Tetrahedron Lett 1970, 11, 5127–5128. [Google Scholar]
- Kishi, Y; Nakatsubo, F; Aratani, M; Goto, T; Inoue, S; Kakoi, H. Synthetic approach towards tetrodotoxin. II. A stereospecific synthesis of a compound having the same six chiral centers on the cyclohexane ring as those of tetrodotoxin. Tetrahedron Lett 1970, 11, 5129–5132. [Google Scholar]
- Kishi, Y; Aratani, M; Fukuyama, T; Nakatsubo, F; Goto, T; Inoue, S; Tanino, H; Sugiura, S; Kakoi, H. Synthetic studies on tetrodotoxin and related compounds. III. Stereospecific synthesis of an equivalent of acetylated tetrodamine. J. Am. Chem. Soc 1972, 94, 9217–9219. [Google Scholar]
- Kishi, Y; Fukuyama, T; Aratani, M; Nakatsubo, F; Goto, T; Inoue, S; Tanino, H; Sugiura, S; Kakoi, H. Synthetic studies on tetrodotoxin and related compounds. IV. Stereospecific total syntheses of d,l-tetrodotoxin. J. Am. Chem. Soc 1972, 94, 9219–9221. [Google Scholar]
- Hanessian, S. The Total Synthesis of Natural Products: The Chiron Approach; Pergamon Press: New York, NY, USA, 1983. [Google Scholar]
- Hanessian, S. Approaches to the total synthesis of natural products using “chiral templates” derived from carbohydrates. Acc. Chem. Res 1979, 12, 159–165. [Google Scholar]
- Fraser-Reid, B; Anderson, RC. Carbohydrate derivates in the asymmetric synthesis of natural products. Fort. Chem. Org. Nat 1980, 39, 1–61. [Google Scholar]
- Fraser-Reid, B; Sun, KM; Tam, TF. Carbohydrate derivatives in the asymmetric synthesis of natural products: Some applications of furanose sugars. Bull Soc Chim Fr 1981, 238–246. [Google Scholar]
- Lichtenthaler, FW. Enantiopure Building Blocks from Sugars and their utilization in natural product synthesis. Mod. Synth. Meth 1992, 6, 273–376. [Google Scholar]
- Tadano, K. Natural product synthesis starting with carbohydrates based on the Claisen rearrangement protocol. Stud. Nat. Prod. Chem 1992, 10, 405–455. [Google Scholar]
- Hanessian, S. Reflections on the total synthesis of naturalproducts: Art, craft, logic, and the chiron approach. Pure Appl. Chem 1993, 65, 1189–1204. [Google Scholar]
- Li, J-C; Li, Y-L; Peng, Z-H; Sun, X-L; Wang, Y-F; Wu, W-L; Wu, Y-L; Yao, Z-J. Syntheses of chiral acyclic natural products from sugar. J. Chin. Chem. Soc 1995, 42, 681–689. [Google Scholar]
- Witczak, ZJ. Chiral carbohydrate building blocks with a new perspective: Revisited. ACS Symp. Ser 2003, 841, 1–19. [Google Scholar]
- Lichtenthaler, FW. Sugar-derived building blocks for the synthesis of non-carbohydrate natural products. ACS Symp. Ser 2003, 841, 47–83. [Google Scholar]
- Tatsuta, K. Recent progress in total synthesis and development of natural products using carbohydrates. ACS Symp. Ser 2003, 841, 157–179. [Google Scholar]
- Isobe, M; Ichikawa, Y. Synthesis of natural and unnatural products from sugar synthons. ACS Symp. Ser 2003, 841, 181–193. [Google Scholar]
- Ramesh, NG; Balasubramanian, KK. 2-C-formyl glycals: Emerging chiral synthons in organic synthesis. Eur. J. Org. Chem 2003, 2003, 4477–4487. [Google Scholar]
- Tatsuta, K; Hosokawa, S. Total syntheses of bioactive natural products from carbohydrates. Sci. Technol. Adv. Mater 2006, 7, 397–410. [Google Scholar]
- Jarosz, S. Sugars in the synthesis of natural products and their mimics. Chem. Today 2006, 24, 58–61. [Google Scholar]
- Zhou, J; Wang, G; Zhang, L-H; Ye, X-S. From exocyclic-olefinic carbohydrate derivatives to functionalized carbocyclic compounds. Curr. Org. Chem 2006, 10, 625–642. [Google Scholar]
- Fraser-Reid, B; Lopez, JC. Unsaturated sugars: A rich platform for methodological and synthetic studies. Curr. Org. Chem 2009, 13, 532–553. [Google Scholar]
- Ohyabu, N; Nishikawa, T; Isobe, M. First asymmetric total synthesis of tetrodotoxin. J. Am. Chem. Soc 2003, 125, 8798–8805. [Google Scholar]
- Nishikawa, T; Urabe, D; Isobe, M. An efficient total synthesis of optically active tetrodotoxin. Angew. Chem. Int. Ed 2004, 43, 4782–4785. [Google Scholar]
- Urabe, T; Nishikawa, T; Isobe, M. An efficient total synthesis of optically active tetrodotoxin from levoglucosenone. Chem. Asian J 2006, 1, 125–135. [Google Scholar]
- Nishikawa, T; Asai, M; Ohyabu, N; Yamamoto, N; Isobe, M. Stereocontrolled synthesis of (−)-5,11-dideoxytetrodotoxin. Angew. Chem. Int. Ed 1999, 38, 3081–3084. [Google Scholar]
- Asai, M; Nishikawa, T; Ohyabu, N; Yamamoto, N; Isobe, M. Stereocontrolled synthesis of (−)-5,11-dideoxoytetrodotoxin. Tetrahedron 2001, 57, 4543–4558. [Google Scholar]
- Nishikawa, T; Asai, M; Ohyabu, N; Yamamoto, N; Fukuda, Y; Isobe, M. Synthesis of a common key intermediate for (−)-tetrodotoxin and its analogs. Tetrahedron 2001, 57, 3875–3883. [Google Scholar]
- Nishikawa, T; Urabe, D; Yoshida, K; Iwabuchi, T; Asai, M; Isobe, M. Stereocontrolled synthesis of 8,11-dideoxytetrodotoxin, unnatural analogue of puffer fish toxin. Org. Lett 2002, 4, 2679–2682. [Google Scholar]
- Nishikawa, T; Asai, M; Isobe, M. Asymmetric total synthesis of 11-deoxytetrodotoxin, a naturally occurring congener. J. Am. Chem. Soc 2002, 124, 7847–7852. [Google Scholar]
- Nishikawa, T; Urabe, D; Yoshida, K; Iwabuchi, T; Asai, M; Isobe, M. Total syntheses of 11-deoxytetrodotoxin and 8,11-dideoxytetrodotoxin. Pure Appl. Chem 2003, 75, 251–257. [Google Scholar]
- Nishikawa, T; Urabe, D; Yoshida, K; Iwabuchi, T; Asai, M; Isobe, M. Stereocontrolled synthesis of 8,11-dideoxytetrodotoxin, an unnatural analogue of puffer fish toxin. Chem. Eur. J 2004, 10, 452–462. [Google Scholar]
- Satake, Y; Nishikawa, T; Hiramatsu, T; Araki, H; Isobe, M. Scalable synthesis of a new dihydroxylated intermediate for tetrodotoxin and its analogues. Synthesis 2010, 12, 1992–1998. [Google Scholar]
- Sato, K; Akai, S; Sugita, N; Ohsawa, T; Kogure, T; Shoji, H; Yoshimura, J. Novel and stereocontrolled synthesis of (±)-tetrodotoxin from myo-inositol. J. Org. Chem 2005, 70, 7496–7504. [Google Scholar]
- Funabashi, M; Wakai, H; Sato, K; Yoshimura, J. Branched-chain sugars. Part 15. Synthesis of 1l-(1,2,3′,4,5/3,6)-3-hydroxymethyl-4,5-O-isopropylidene-3,3′-O-methylene-6-nitro- 2,3,4,5-tetrahydroxycyclohexanecarbaldehyde dimethyl acetal, a potential key compound for total synthesis of optically active tetrodotoxin. J Chem Soc Perkin Trans 1 1980, 14–19. [Google Scholar]
- Sato, KI; Akai, S; Shoji, H; Sugita, N; Yoshida, S; Nagai, Y; Suzuki, K; Nakamura, Y; Kajihara, Y; Funabashi, M; et al. Stereoselective and efficient total synthesis of optically active tetrodotoxin from d-glucose. J. Org. Chem 2008, 73, 1234–1242. [Google Scholar]
- Akai, S; Seki, H; Sugita, N; Kogure, T; Nishizawa, N; Suzuki, K; Nakamura, Y; Kajihara, Y; Yoshimura, J; Sato, K. Total synthesis of (−)-tetrodotoxin from d-glucose: A new route to multi-functionalized cyclitol employing the Ferrier(II) rection toward (−)-tetrodotoxin. Bull. Chem. Soc. Jpn 2010, 83, 279–287. [Google Scholar]
- Hinman, A; Du Bois, J. A stereoselective synthesis of (−)-tetrodotoxin. J. Am. Chem. Soc 2003, 125, 11510–11511. [Google Scholar]
- Taber, DF; Storck, PH. Synthesis of (−)-tetrodotoxin: Preparation of an advanced cyclohexenone intermediate. J. Org. Chem 2003, 68, 7768–7771. [Google Scholar]
- Alonso, RA; Burgey, CS; Venkateswara, RB; Vite, GD; Vollerthun, R; Zottola, MA; Fraser-Reid, B. Carbohydrates to carbocycles: Synthesis of the densely functionalized carbocyclic core of tetrodotoxin by radical cyclization of an anhydro sugar precursor. J. Am. Chem. Soc 1993, 115, 6666–6672. [Google Scholar]
- Burgey, CS; Vollerthun, R; Fraser-Reid, B. Armed/disarmed effects and adamantly expansion of some caged tricyclic acetals en route to tetrodotoxin. J. Org. Chem 1996, 61, 1609–1618. [Google Scholar]
- Fraser-Reid, B; Burgey, CS; Vollerthun, R. Carbohydrates to densely functionalized carbocycles: “Armed and disarmed” effects in an approach to tetrodotoxin. Pure Appl. Chem 1998, 70, 285–288. [Google Scholar]
- Noya, B; Alonso, R. Radical cyclisation onto C-3 of 1,6-anhydro-β-d-mannopyranose derivatives. Applications to the formation of a C8a centre of (−)-tetrodotoxin. Tetrahedron Lett 1997, 38, 2745–2748. [Google Scholar]
- Noya, B; Paredes, MD; Ozores, L; Alonso, R. 5-exo Radical cyclization onto 3-alkoxyketimino-1,5-anhydromannopyranosese. Efficient preparation of synthetic intermediates for (−)-tetrodotoxin. J. Org. Chem 2000, 65, 5960–5968. [Google Scholar]
- Torrente, S; Noya, B; Paredes, MD; Alonso, R. Intramolecular 1,3-Dipolar cycloadditions of sugar ketonitrones: A convenient method for stereoselective formation of nitrogenated quaternary centers. J. Org. Chem 1997, 62, 6710–6711. [Google Scholar]
- Torrente, S; Noya, B; Branchadell, V; Alonso, R. Intra- and Intermolecular 1,3-Dipolar Cycloaddition of Sugar Ketonitrones with Mono-, Di-, and Trisubstituted Dipolarophiles. J. Org. Chem 2003, 68, 4772–4783. [Google Scholar]
- Ohtani, Y; Shinada, T; Ohfune, Y. Stereoselective construction of a contiguous tetraol system in tetrodotoxin by means of repetitive operations involving epoxidation and ring-opening reactions of allyl sulfone. Synlett 2003, 2003, 619–622. [Google Scholar]
- Keana, JFW; Kim, CU. Synthetic intermediates potentially useful for the synthesis of tetrodotoxin and derivatives. III. Synthesis of a key lactone intermediate from shikimic acid. J. Org. Chem 1971, 36, 118–127. [Google Scholar]
- Keana, JFW; Boyle, PJ; Erion, M; Hartling, R; Husman, JR; Richman, JE; Roman, RB; Wah, RM. Synthetic intermediates potentially useful for the synthesis of tetrodotoxin derivatives. 8. A series of highly functionalized pyrimidinones. J. Org. Chem 1983, 48, 3621–3626. [Google Scholar]
- Keana, JFW; Bland, JS; Boyle, PJ; Erion, M; Hartling, R; Husman, JR; Roman, RB; Ferguson, G; Parvez, M. Synthetic intermediates potentially useful for the synthesis of tetrodotoxin and derivatives. 9. Hydroquinazolines possessing the carbon skeleton of tetrodotoxin. J. Org. Chem 1983, 48, 3627–3631. [Google Scholar]
- Cagide-Fagin, F; Alonso, R. A cascade annulation based convergent approach to racemic tetrodotoxin. Eur. J. Org. Chem 2010, 2010, 6741–6747. [Google Scholar]
- Kozikowski, AP; Stein, PD. The INOC route to carbocyclics: A formal total synthesis of (+/−)-sarkomycin. J. Am. Chem. Soc 1982, 104, 4023–4024. [Google Scholar]
- Curran, DP. Reduction of Δ-2-isoxazolines: A conceptually different approach to the formation of aldol adducts. J. Am. Chem. Soc 1982, 104, 4024–4026. [Google Scholar]
- Itoh, T; Watanabe, M; Fukuyama, T. Synthetic approach to tetrodotoxin. Synlett 2002, 2002, 1323–1325. [Google Scholar]
- Ciufolini, MA; Braun, NA; Canesi, S; Ousmer, M; Chang, J; Chai, D. Oxidative amidation of phenols through the use of hypervalent iodine reagents: Development and applications. Synthesis 2007, 2007, 3759–3772. [Google Scholar]
- Ciufolini, MA; Canesi, S; Ousmer, M; Braun, NA. Synthetic ventures inspired by biosynthetic hypotheses: The evolution of a method for the oxidative amidation of phenols. Tetrahedron 2006, 62, 5318–5337. [Google Scholar]
- Liang, H; Ciufolini, MA. Synthetic aspects of the oxidative amidation of phenols. Tetrahedron 2010, 66, 5884–5892. [Google Scholar]
- Braun, NA; Ciufolini, MA; Peters, K; Peters, E-M. Synthesis of spirolactams from tyrosine amides and related substances. Tetrahedron Lett 1998, 39, 4667–4670. [Google Scholar]
- Braun, NA; Bray, J; Ciufolini, MA. Hypervalent iodine oxidation of indolic 2-oxazolines. Tetrahedron Lett 1999, 40, 4985–4988. [Google Scholar]
- Braun, NA; Bray, J; Ousmer, M; Peters, K; Peters, E-M; Bouchu, D; Ciufolini, MA. New oxidative transformations of phenolic and indolic oxazolines: An avenue to useful azaspirocyclic building blocks. J. Org Chem 2000, 65, 4397–4408. [Google Scholar]
- Canesi, S; Belmont, P; Bouchu, D; Rousset, L; Ciufolini, MA. Efficient oxidative spirocyclization of phenolic sulfonamides. Tetrahedron Lett 2002, 43, 5193–5195. [Google Scholar]
- Liang, H; Ciufolini, MA. Tandem phenolic oxidative amidation–intramolecular Diels-Alder reaction: An approach to the himandrine core. Org. Lett 2010, 12, 1760–1763. [Google Scholar]
- Liang, H; Ciufolini, MA. Oxidative spirocyclization of phenolic sulfonamides: Scope and applications. Chem. Eur. J 2010, 16, 13262–13270. [Google Scholar]
- Canesi, S; Bouchu, D; Ciufolini, MA. Nitrogenous educts through oxidative amidation of phenols: The bimolecular reaction. Org. Lett 2005, 7, 175–177. [Google Scholar]
- Liang, H; Ciufolini, MA. Improved procedure for the bimolecular oxidative amidation of phenols. J. Org. Chem 2008, 73, 4299–4301. [Google Scholar]
- Ousmer, M; Braun, NA; Ciufolini, MA. Total synthesis of FR-901483. Org. Lett 2001, 3, 765–767. [Google Scholar]
- Ousmer, M; Braun, NA; Bavoux, C; Perrin, M; Ciufolini, MA. Total synthesis of tricyclic azaspirane derivatives of tyrosine: FR-901483 and TAN 1251C. J. Am. Chem. Soc 2001, 123, 7534–7538. [Google Scholar]
- Canesi, S; Bouchu, D; Ciufolini, MA. Fully stereocontrolled syntheses of (−)-cylindricine C and (−)-2-epicylindricine C: A departure in sulfonamide chemistry. Angew. Chem. Int. Ed 2004, 43, 4336–4338. [Google Scholar]
- Canesi, S. Dissertation, Université Claude Bernard Lyon 1, Villeurbanne, France, 2004.
- Mendelsohn, BA; Ciufolini, MA. Approach to tetrodotoxin via the oxidative amidation of a phenol. Org. Lett 2009, 11, 4736–4739. [Google Scholar]
- Mendelsohn, B; Lee, S; Kim, S; Teyssier, F; Aulakh, VS; Ciufolini, MA. Oxidation of oximes to nitrile oxides with hypervalent iodine reagents. Org. Lett 2009, 11, 1539–1542. [Google Scholar]
- Jen, T; Mendelsohn, B; Ciufolini, MA. Oxidation of α-oxo-oximes to nitrile oxides with hypervalent iodine reagents. J. Org. Chem 2011, 76, 728–731. [Google Scholar]
- Turner, CD; Ciufolini, MA. Oxidation of oximes with hypervalent iodine reagents: Opportunities, development, and applications. ARKIVOC 2011, 2011, 410–428. [Google Scholar]
© 2011 by the authors; licensee MDPI, Basel, Switzerland This article is an open-access article distributed under the terms and conditions of the Creative Commons Attribution license (http://creativecommons.org/licenses/by/3.0/).

















































