Abstract
With the rapid outbreak of COVID-19, most people are facing antivirus mask shortages. Therefore, it is necessary to reasonably select antivirus masks and optimize the use of them for everyone. However, the uncertainty of the effects of COVID-19 and limits of human cognition add to the difficulty for decision makers to perfectly realize the purpose. To maximize the utility of the antivirus mask, we proposed a decision support algorithm based on the novel concept of the spherical normal fuzzy (SpNoF) set. In it, firstly, we analyzed the new score and accuracy function, improved operational rules, and their properties. Then, in line with these operations, we developed the SpNoF Bonferroni mean operator and the weighted Bonferroni mean operator, some properties of which are also examined. Furthermore, we established a multi-criteria decision-making method, based on the proposed operators, with SpNoF information. Finally, a numerical example on antivirus mask selection over the COVID-19 pandemic was given to verify the practicability of the proposed method, which the sensitive and comparative analysis was based on and was conducted to demonstrate the availability and superiority of our method.
1. Introduction
Since the discovery of COVID-19 in Wuhan, China in December 2019, it has spread rapidly in China. Moreover, more than 190 countries and regions around the world have seen the infection quickly spread [1]. As a large family of viruses, coronaviruses are known to cause colds and more serious diseases such as MERS and SARS [2], among which COVID-19 is a new coronavirus strain that has never been found in humans before. Common signs of a person infected with COVID-19 include respiratory symptoms, fever, cough, shortness of breath, and dyspnea. In more severe cases, infection can result in pneumonia, severe acute respiratory syndrome, kidney failure, and even death [3]. As far as we know, the primary transmission route of COVID-19 is respiratory droplets and contact [4]. Under the COVID-19 epidemic, masks have become essential items for medical staff and ordinary people to work and travel. However, the global demand for masks and other personal protective equipment is now 100 times that of the usual level and the price is 20 times that of ordinary times. Even worse, people’s inappropriate and excessive use of personal protective equipment will further exacerbate this mask shortage situation to make it persist for a long time. Hence, optimizing the use of antivirus masks according to disparate people is the efficacious basic measure to deal with the mask shortage and COVID-19 diffusion.
Admittedly, with this terrible virus, everyone is eager to get the best mask, but different groups of people should have dissimilar specific needs. Especially under the situation of COVID-19 spreading and a mask shortage, it is everyone’s basic duty and obligation to resist COVID-19 without excessive protection. Therefore, for different groups of people, the rational choice and utilization of masks has pivotal practical significance. Obviously, the best masks do not mean the most expensive ones. For most people, it is not necessary to use masks with the same standard as those used by front-line medical staff. The suitability of an antivirus mask is not only related to the protective effect of the mask itself, but also to the tightness (the leakage rate) of the combination of the mask and the human face. In addition, under the severe epidemic situation and the lack of antivirus masks, the choice of masks is also relevant to factors such as reusability and quality of raw materials. Therefore, for the vast majority of people, under the severe epidemic situation, it is essential to consider multiple factors when choosing a mask to optimize the allocation of medical resources. However, people’s limited knowledge and the uncertainty of the COVID-19 expansion increases the difficulty and complexity for decision-making about selecting a reasonable antivirus mask. To cope with this challenge, this paper proposed a multi-criteria decision-making (MCDM) method for selecting an antivirus mask under spherical normal fuzzy using the Bonferroni Mean operator.
The study yields a number of contributions as follows:
- (1)
- A novel concept of the Spherical normal fuzzy (SpNoFS) set is defined, between which the new score, the accuracy function, and some improved operational rules are established.
- (2)
- Some new information aggregation operators based on operational rules of SpNoFS, including the Spherical normal fuzzy Bonferroni mean (SpNoFBM) operator and the Spherical normal fuzzy weighted Bonferroni mean (SpNoFGBM) operator, are proposed.
- (3)
- A new MCDM method for selecting an antivirus mask over the COVID-19 pandemic in light of the SpNoFBM operator and the SpNoFGBM operator is constructed.
The rest of this paper is arranged as follows: Section 2 reviews literature on healthcare and medical decision-making problems and MCDM methods based on fuzzy theories. Section 3 provides an overview of the normal fuzzy number and the Spherical fuzzy number. Section 4 presents the concept of the Spherical normal fuzzy number (SpNoFN) and defines its operations, score, and accuracy function, as well as sorting rules between SpNoFNs. Section 5 develops both the SpNoFNBM operator and the SpNoFGBM operator. Section 6 constructs a MCDM method based on those aggregation operators. Section 7 gives a numerical example of the antivirus mask, selecting an antivirus mask over the COVID-19 pandemic to verify the availability of the proposed method. Section 8 summarizes some general conclusions.
2. Literature Review
2.1. The Healthcare and Medical Decision Making Problems Based on the Fuzzy MCDM Method
With the advantage of being able to deal fuzzy and uncertain information, fuzzy MCDM methods are widely used for decision-making in medical and health fields. For medical diagnosis, Akram et al. [5] developed a novel bipolar fuzzy MCDM method to evaluate patients’ health status and identify the influencing factors. Hashmi et al. [6] developed a new concept of m-polar neutrosophic topology-based MCDM for the diagnosis of medical diagnosis problems. Zhou et al. [7] proposed a new divergence measure of Pythagorean fuzzy sets based on the Dempster-Shafer evidence theory to diagnose disease. For health assessment, Yucesan and Gul [8] proposed a fuzzy MCDM framework using the Pythagorean fuzzy analytic hierarchy process (AHP) and technique for ordering preference by similarity to ideal solution (TOPSIS) to evaluate hospital service quality. In addition, Lee et al. [9] proposed a hybrid fuzzy MCDM approach, combining AHP and similarity to ideal solution methods to evaluate Taiwan’s medical device manufacturers. Tadic et al. evaluated the suppliers of medical devices using a fuzzy TOPSIS method. Furthermore, Nilashi et al. [10] developed a novel MCDM method based on decision making trial and evaluation laboratory (DEMATEL) and fuzzy-TOPSIS to identify the key factors of medical tourism development in Malaysia. Literature on the selection of medical or healthy-related consumer products is scarce [11]. The relevant studies mainly focused on the selection of medical equipment and materials [11]. Recently, Gao et al. [12] developed a multi-attribute group decision making method for selecting medical consumer products in a q-rung interval-valued orthopair fuzzy environment.
From the review above, it can be seen that the MCDM method based on fuzzy set theory is widely used in the fields of medical diagnosis and health evaluation. There are few studies, however, on the selection of medical and healthcare products during epidemic outbreaks, especially the selection of antivirus masks during the COVID-19 pandemic. Hence, subsequent research should focus on the selection of antivirus masks under COVID-19 expansion to prevent individuals from acquiring them in excessive numbers and to optimise the use of protective products.
2.2. The MCDM Methods Based on Fuzzy Set Theories
Many scholars have put forward various MCDM methods based on the uncertainty theory with the aim of analyzing and solving decision-making problems [13,14,15,16,17,18,19,20]. The MCDM methods based on the extensions of fuzzy sets proposed by Zadeh [21] are increasingly common. In particular, the intuitionistic fuzzy set (IFS) presented by Atanassov [22] is widely applied to MCDM methods. Compared with Zadeh’s fuzzy set, which only expresses the membership degree of an element, IFS can depict both the membership (MBD) and non-membership degree (NOMBD) corresponding to the positive and negative aspects of an element. Nevertheless, there is a constraint in the field of the IFS, by which the sum of MBD and NOMBD cannot exceed 1. This constraint limits the descriptive power of INF. To overcome this constraint, Yager [23] developed a new concept of Pythagorean fuzzy set (PyFS), with a function that permits the sum of MBD and NOMBD to be greater than 1, but limits the quadratic sum of MBD and NOMBD to 1. With the extension of PyFS, more recent studies have concentrated on its basic theory [24,25] and aggregation operators [26,27,28].
The IFS and PyFS regulate the MBD and NOMBD given separately by decision makers, and the neutral membership degree (NeuMBD) depends on MBD and NOMBD. In some situations, however, where the NeuMBD needs to be given independently in practical decision-making, the IFS and PyFS fail to address the decision-making problems. In response, Cuong [29,30] proposed a new concept of picture fuzzy set (PcFS), which consists of positive membership degree (PoMBD), NeuMBD, and negative membership degree (NegMBD). PcFS tends to give diverse evaluations of the answers given by decision makers, but similar to those given by IFS. There is a restriction that the sum of PoMBD, NeuMBD, and NegMBD cannot exceed 1. Given the drawback of PcFS, Mahmood et al. [31] developed the new concept of the spherical fuzzy set (SpFS) by combining the PtFS and PcFS. SpFS is composed of PoMBD, NegMBD, and NeuMBD, where the sum of PoMBD, NegMBD, and NeuMBD is more than 1, but the quadratic sum of them is less than or equal to 1. Hence, the SpFS can handle all the uncertain information that FS, IFS, PyFS, and PcFS cannot.
2.3. Spherical Fuzzy Set
Based on the SpFS, Ashraf et al. [32] developed the spherical fuzzy (SpF) weighted averaging and weighted geometric aggregation operators based on Archimedean t-norm and t-conorm. Gundogdu and Kahraman [33] presented an interval-valued SpF-TOPSIS method. Jin et al. [34] defined a new concept of linguistic SpF set and introduced linguistic SpF weighted averaging and geometric operators. Gundogdu and Kahraman [35] developed a MCDM method based on Weighted Aggregated Sum Product Assessment (WASPAS) under SpF environment. Jin et al. [36] introduced the logarithmic operations into spherical fuzzy sets (SpFSs) and established some new operations and aggregation operators. Rafiq et al. [37] measured the similarity between SpF sets based on the cosine function. Zeng et al. [38] presented the notation of SpF rough set (SFRS) and built a MCDM method based on SFRS and TOPSIS. In addition, SpFS has been applied widely in practical decision-making problems. For example, Ashraf et al. [39] used the SpPFS to evaluate the influencing factors of child development, Gundogdu and Kahraman [40] addressed the problems of warehouse location selection using SpFS, and Mahmood et al. [31] discussed the application of SpFS to deal with the problems of medical diagnostics.
In reality, most natural and social laws follow normal distribution [41,42,43], such as “product life“, “climate change”, and ”stock price fluctuation“. To uncover these phenomena, Yang and Ko [41] defined the concept of normal fuzzy number (NFN), in which the inner structure consists of the mean and standard deviation of objective evaluation information. NFN not only expresses objective evaluation of target criteria, but also has higher derivative continuity and is closer to human thinking than other fuzzy numbers (FNs), such as triangular FNs, trapezoidal FNs, and hesitant FNs [42]. To fuse the objective and subjective information in MACM, Wang et al. [43] and Wang et al. [44] developed intuitionistic normal fuzzy number (INFN), which are based on two parts—IFS and NFN. The MBD of INFN signifies the degree to which an element can be described by NFN. Conversely, the NOMBD of INFN signifies the degree to which an element cannot be portrayed by NFN. Some scholars have further developed the basic theories of INFN [45,46] and presented some aggregation’s operators with their applications [47,48]. Since INFN and its relevant extensions are based on the combination of IFN and NFN, some of the drawbacks of IFN remain in INFN.
Therefore, to overcome this shortcoming, this paper proposes a novel concept of Spherical normal fuzzy set (SpNoFS), integrating the advantages of the SpFS and NFN. First, some new operation rules (score function and accuracy function) and sorting rules between SpNoFSs in a Spherical normal fuzzy environment are defined. Then, given the interrelationship between the evaluation criteria, the Bonferroni mean operator is introduced into SpNoFS to present some aggregation operators. Furthermore, a new MCDM method is developed based on the proposed aggregation operators. The selection of antivirus masks during the COVID-19 pandemic is used as an example to show the practicality and advantages of the proposed method.
3. Preliminaries
In this section, we briefly review the certain definitions related to fuzzy numbers and the spherical set to understand the rest of the paper clearly.
Definition 1
[41]. Let be real number collection, , we can treat as a normal fuzzy number (NFN), and the membership function (MBF) of NFN can be given as
and the NFNs can be expressed as .
Definition 2
[48]. Let , , and be a nonnegative real number, we can get the operational rule of and as follows:
(1) , and
(2) .
Definition 3
[32]. Let be a finite universe collection, , then the collection
can be called a spherical fuzzy set (SpFS), where are the positive-membership degree (PoMBD), neutral-membership degree (NeuMBD), and negative membership degree (NegMBD) of in , respectively, and . For convenience, is called a spherical fuzzy number (SpFN). For any SpFN, it satisfies . Then, is the refusal MBF of to .
Definition 4
[32]. Let and be two SpFNs, and . Then, the operation between and can be obtained as follows:
(1) ,
(2) ,
(3) , and
(4) .
4. The Spherical Normal Fuzzy Number and Its Operations
According to the concepts and operations of NFN and SpFN, a new concept of spherical normal fuzzy number (SpNoFN) and its operations are proposed in this section.
Definition 5.
Let be a finite set, , , and , then the collection can be defined as the Spherical normal fuzzy set (SpNoFS), for which its positive-MBF is defined as
its neutral-MBF is defined as
and its negative-MBF is defined as
For convenience, we can call a spherical normal fuzzy number (SpNoFN).
Definition 6.
Let and be any two SpNoFN s, and , we define
(1) ,
(2) ,
(3) , and
(4) .
Proposition 1.
Let , , be any three SpNoFNs, and , there are some characters that can be described as follows:
(1) ,
(2) ,
(3) ,
(4) ,
(5) ,
(6) ,
(7) , and
(8) .
Proof.
See Appendix A. □
Definition 7.
Let be a SpNoFN, its score function is described as and , while its accuracy function is described as and .
Based on these scores and accuracy functions, we define the order relation between the given SpNoFNs to rank them, as below.
Definition 8.
For two SpNoFNs, and and their score and accuracy functions are computed by using Definition 7, then an order relation, denoted by >, between the given SpNoFNs is defined as
(1) If , then ,
(2) If and , then ,
(3) If and , then
If , then ,
If and , then .
Definition 9.
[49] Let ,, and , be a set of non-negative real numbers, then the function
is called the Bonferroni mean operator.
5. Spherical Normal Fuzzy Bonferroni Mean Operators
In this section, the Bonferroni mean can be introduced into the SpNoF environment, and according to the operations of SpNoFN and the SpNoF, Bonferroni mean operators are proposed as follows:
Definition 10.
Let be a set of SpNoFNs. Then, the Spherical normal fuzzy Bonferroni mean (SpNoFBM) operator is defined as
Theorem 1.
Let be a set of SpNoFNs, then the value calculated by SpNoFBM operator is also a SpNoFN, that is
Proof.
See Appendix B. □
We find that the SpNoFBM operator has some properties as follows:
Theorem 2.
(Idempotency). Supposing for as equal with , then .
Proof.
See Appendix C. □
Theorem 3.
(Boundedness). Let be a set of SpNoFNS. Supposing , then .
Proof.
See Appendix C. □
Theorem 4.
(Monotonicity). Suppose and are two collections of SpNoFNs, , and , . For , if and , then .
Proof.
See Appendix C. □
Definition 11.
Let be a set of SPNOFNs, be the weight vector of , where , and . The Spherical normal fuzzy weighed Bonferroni mean (SpNoFWBM) operator is defined as
Theorem 5.
Let be a set of SpNoFNs, then the aggregated value obtained by the SpNoFWBM operator is also a SpNoFN and is given as
Proof.
See Appendix D. □
Similar to the SpNoFBM operator, the proposed SpNoFWBM operator also satisfies the properties such as idempotency, monotonicity, and boundedness.
6. A Novel MCDM Model Based on Proposed Aggregation Operators
In this section, a novel MCDM model based on SpNoFBM operator and SpNoFWBM operator are proposed under the SpNoF information environment. The represents a collection of alternatives, the represents a collection of criteria which are used to evaluate the alternatives, and the corresponding weight of criterion is , and , and . We suppose the evaluation information of criterion concerning the alternative as SpNoFN . Then, stands for the PoMBD to which alternative can be described by NFN with respect to , and denote the NeuMBD, NegMBD to which alternative can be described by NFN with respect to , respectively. In addition, the decision information matrix , which consists of a set of alternatives and a set of criteria, is constructed. The new MCDM model based on a SpNoFBM operator and SpNoFWBM operator is proposed by considering the interrelationships between criteria, as shown in Figure 1, and the procedures of the proposed model are summarized as follows:
Figure 1.
The procedure of the proposed method.
Step 1. Normalize the decision information
To eliminate the influence of different types of criteria on decision results, the original decision matrix should be normalized to and obtain the same type of criteria.
For benefit type of criteria [45]:
For cost type of criteria [36]:
Step 2. Aggregate evaluation information concerning on criteria
The evaluation formation of can be aggregated into the synthetic value concerning on alternative by the SpNoFBM operator, or the synthetic value with decision makers’ preference by the SpNoFWBM operator.
Step 3. Calculate the score value and the accuracy value of according to Definition 7.
Step 4. Rank the alternatives based on Definition 8, the score value , and the accuracy value .
Step 5. Make the decision for selecting the optimal alternative based on the ranking result.
7. The Case on Antivirus Mask Selecting over the COVID-19 Pandemic
In this section, to verify the practicability of the proposed model, we consider issues of selecting an antivirus mask, of which the description can be read as follows.
7.1. Decision Procedure
In the current severe case of COVID-19 transmission [3,4], there are six types of masks that are commonly available in the market, including medical surgical masks, particulate respirators (N95/KN95 and above), medical protective masks, disposable medical masks, ordinary non-medical masks, and gas masks. One person needs to buy an antivirus mask from the above six candidate antivirus masks. In addition, he or she evaluates the antivirus masks by considering four criteria, namely, leakage rate (), that is the adhesiveness of the mask structure design to cover the human face; reusability (); quality of raw materials (); and filtration efficiency (), which means the filtration efficiency of non-oily 0.3μm particles is greater than 95%, and it must also have medical protection requirements such as surface moisture resistance and blood barrier. Due to the influence of peoples’ preference on the evaluation result, the weight of criterion provided by the decision maker showed as . The people give the evaluation value of criterion concerning each based on the SpNoFS, and the evaluation information can be summarized to form a decision information matrix, as shown in Table 1. Then, the main aim of the decision maker is to select the best antivirus mask based on the decision information matrix.
Table 1.
Original decision information matrix
Step 1: Since all the criteria are benefit type of criteria, according to formula (10), we transform the original decision information matrix in Table 1 into the normalized decision information matrix shown in Table 2.
Table 2.
Normalized decision information matrix.
Step 2: Apply the proposed SpNoFWBM operator in definition 11 to aggregate evaluation information concerning the criterions in Table 2 . Then, we obtain the overall evaluation values as follows:
<(0.179,0.015), 0.168, 0.636, 0.743>, <(0.189, 0.019), (0.306, 0.675, 0.674)>,
<(0.168, 0.015), (0.306, 0.674, 0.681)>, <(0.184, 0.017), (0.312, 0.649, 0.605)>,
<(0.92, 0.016), (0.177, 0.738, 0.65)>, <(0.181, 0.016), (0.21, 0.713, 0.598)>.
Step 3: According to definition 7, we can calculate the score value of each of the alternatives as follows:
= 0.834, = 0.845, = 0.861, = 0.873, = 0.82, = 0.852.
Step 4: By definition 8 and score value, we can get the alternative ranking as , that is disposable medical mask > medical protective mask > gas mask > particulate respirator > medical surgical mask > ordinary non-medical mask.
Step 5: Based on the obtained ordering, we can conclude that a disposable medical mask is the best choice; while the medical protective mask is the second priority among the given alternatives.
7.2. Sensitive Analysis
In this part, we examine the impacts of parameters and in SpNoFWBM operator on the decision result.
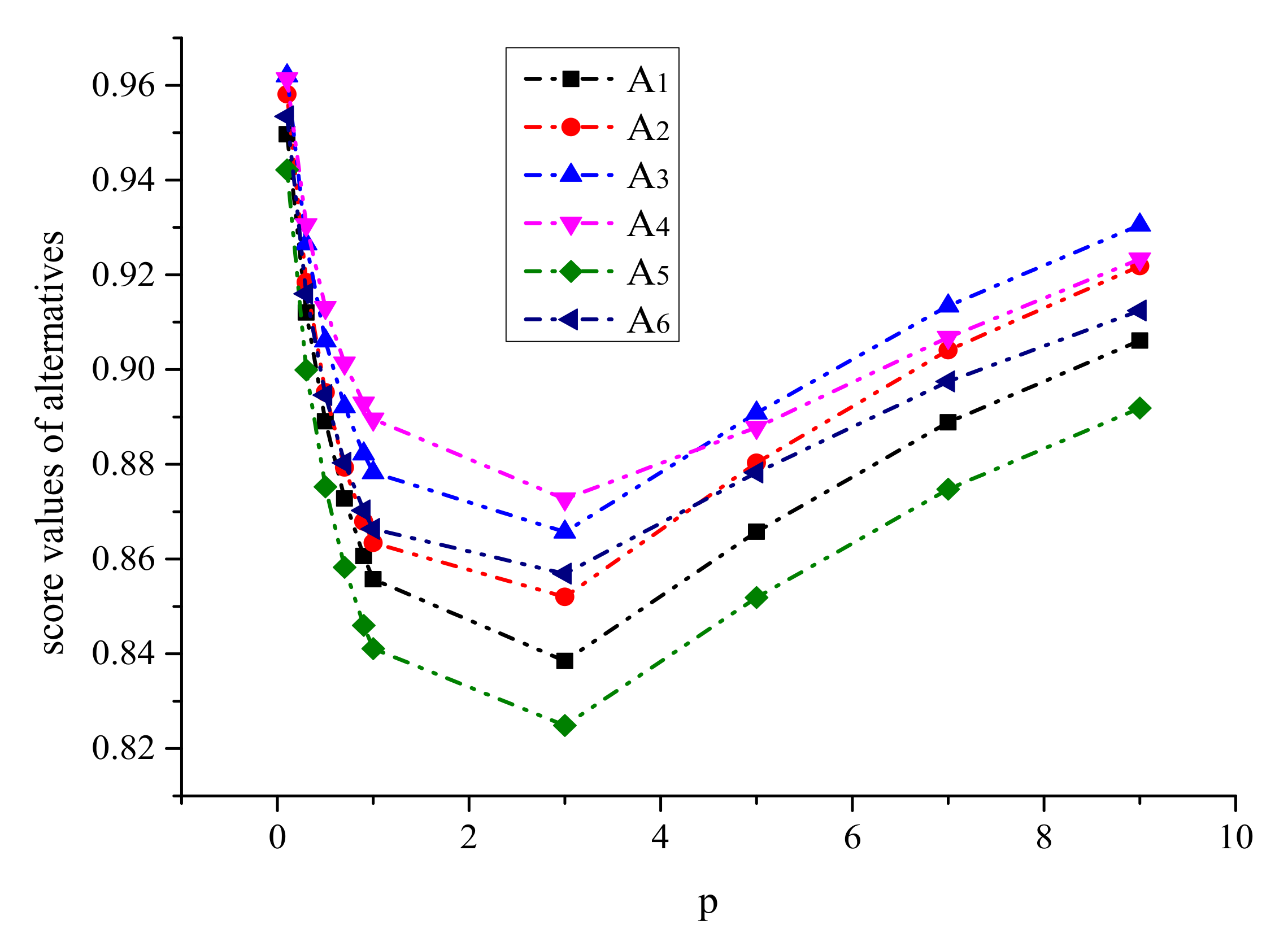
Firstly, we observe the impact of parameters on the ranking result. Table 3 shows the impact of the simultaneous changes of parameters on the alternative ranking. Figure 2, Figure 3, Figure 4, Figure 5, Figure 6 and Figure 7 show the effect of the synchronous changes of parameters on the score value of each alternative.
Table 3.
The impact of parameters
Figure 2.
Score value of medical surgical mask () when .
Figure 3.
Score value of particulate respirator () when .
Figure 4.
Score value of medical protective mask () when .
Figure 5.
Score value of disposable medical mask () when .
Figure 6.
Score value of ordinary non-medical mask () when .
Figure 7.
Score value of gas mask () when .
According to Table 3, when is equal to , such as = 0.3, 1, or 9, the ranking is ; when = 1, the ranking is , the best choice is always , and the worst best is . This indicates that there are no significant changes in the field of alternative ranking with synchronous change of parameters (). When is not equal to , for example, = 0.1, = 5, the alternative ranking is and the best choice is . However, when = 5, = 0.1, the ranking results are significantly changed into ; the best choice accordingly changes into , which means that the alternative ranking changes along with the simultaneous variation of parameters ().
Based on Figure 2, Figure 3, Figure 4, Figure 5, Figure 6 and Figure 7, we also find that there are noteworthy correlations between the score values of the six alternatives and the synchronous change of parameters . For example, with the changes of from small to large, the score values of the six alternatives vary inversely from large to small.
In addition, as show in Figure 8 and Figure 9, when one of the values of and is fixed, while another is changed, then we discover that the alternative ranking has altered with the variation of or . Hence, it is concluded that the parameters in the SpNoFWBM operator greatly affect the decision results. As such, people can adjust the values of and based on their subjective preferences to get a different alternative ranking and make a rational consumption decision.
Figure 8.
Alternatives ranking with ) when .
Figure 9.
Alternatives ranking with and .
The criterion weight denotes that the different groups’ preference directly affects the peoples’ decision-making. Hence, the impact of criterion weight on alternatives ranking is discussed. The results are shown in Table 4. For ordinary people, we should attach more importance to the leakage rate () and reusability (). As such, we can set = 0.85, = = = 0.05 or = 0.85, = = = 0.05, and get the disposable medical mask as the optimal decision. For medical workers, we should be more concerned about the quality of the raw materials () and filtration efficiency (), i.e., when = 0.85, = = = 0.05, the corresponding ranking is and a medical protective mask is the best choice; and, when = 0.85, = = = 0.05, a medical surgical mask is the final decision. These results show that a different set of criterion weights have a remarkable impact on the ranking of the six candidates. With these concerns, people can make reasonable product purchase decisions with actual utility maximization using the proposed method.
Table 4.
The impact of criterion weight on the ranking.
7.3. Comparative Analysis
In order to verify the superiorities of the proposed algorithm, in this sub-section, we compared the proposed algorithm with some methods based on SpFS, PtFS, PyFS, and INFS, respectively. The characteristic comparisons of the different methods are shown in Table 5.
Table 5.
The characteristic comparisons of different methods.
Compared with existing methods based on PtFS, INFS. As shown in Table 4, the methods proposed by Wang et al. [44] and Yang et al. [47] combined the IFS with NFN, and the method by Zhang et al. [48] considered the correlations of different variables under INFS, but those methods only rely on IFS. As mentioned above, the IFS only use two indices (MBD and NOMBD) to portray the structure of evaluation information that cannot obtain any rational decision result in some practical decision problems. The same shortcomings exist in Yager [23]’s method based on PyFS. Although, Cuong [29,30]’s method introduced a new membership, named NeuMBD, to overcome the shortage of the INF. Tt also has its constraint condition that is the sum of PoMBD, NegMBD and NeuMBD cannot exceed 1, which cannot address more complex information. In order to overcome such shortcomings and considering normal distribution characteristics of objective information in real life, our proposed method combined the IFS, PyFS, PtFS, SpFN, and NFN. It is able to handle more complex decision information and has broader applications than abovementioned methods.
Further, to compare the difference between ranking results derived from existing methods and our method, we use the Spearman’s rank-correlation test [50] to conduct the following discussions. In it, two key test statistics and Z are defined as
where n denotes the number of alternatives and signifies the difference degree of each alternative between two different rankings. , the closer this value of is to 1, the stronger the relationship between the two rankings. What is more, a positive relationship exists between two rankings if Z ≥ 1.645, or else they are dissimilar [46].
The Spearman’s rank-correlations test results are shown in Table 6. According to Table 6, we can see the similarities and differences between the methods by [32,36,37,45], and our method.
Table 6.
Spearman’s rank-correlation test results.
Specifically, the method based on Archimedean operators proposed by Ashraf et al. [23] is applied in this numerical example. The result of an alternative ranking is . The method using logarithmic operations presented by Jin et al. [36] can be used to analyze this example. The ranking is . The ranking results based on the method by Rafiq et al. [37] is . These results show that the best choice is consistent with the method proposed here, but not the overall ranking. Moreover, the ranking result based on the method in [45] is , which is different from the results of the method proposed here, both in overall ranking and in best choice. Furthermore, from the Spearman’s rank-correlation test, it can be inferred that the rankings produced by the methods in [32,36] are similar to that produced by the proposed method, and the ranking using methods [37,45] are uncorrelated with the ranking based on the proposed method.
The same best choice indicates that the proposed method is effective. The different overall ranking manifests the otherness between the proposed method and the existing methods. The causes of the difference can be summarized as follows. One of the causes is the expression of evaluation information. The methods developed by [32,36,37] can only describe the subjective evaluation information given by decision makers (SpFN); they neglect the objective information of the target criterion (NFN). In contrast, the proposed method, which combines SpFN and NFN, can depict both the subjective and the objective evaluation information. Another cause is the process of information aggregation. The method in [32,36,37,45] assumes that the criteria of alternatives are independent, which is inconsistent with some real situations. In contrast, the proposed method examined the interrelationship between different criteria. It has greater descriptive capability for decision information and a reasonable decision process.
8. Conclusions
To sum up, for the purpose of remedying the weakness of SpFN and NFN, our study develops a new concept of the SpNoFN which does not only express the multiple types of evaluation answers of PoMBD, NeuMBD, and NegMBD from decision makers, but also considers the objective information of the assessment objects. Moreover, we defined the new score function and accuracy function, as well as its operations. Due to the complement of the BM operator, we introduce it in connection with the SpNoFN environment and the proposed SpNoFBM operator and SpNoFWBM operator to investigate the interrelationship between input arguments and criteria. Based on the proposed SpNoFBM operator or SpNoFWBM operator, we also construct a MCDM method that is applied to the actual case on antivirus mask selection over the COVID-19 pandemic to illustrate its efficiency. Additionally, the comparative analysis based on the case is given to verify its advantages over existing models. In general, the proposed method has the following implications:
- (1)
- The proposed method simultaneously considers both subjective evaluation information of decision makers and objective information of target criteria by combining SpFN with NFN. Compared with the existing methods, our methods are more general and powerful.
- (2)
- The proposed MCMD method and information aggregation operators are based on the BM operator; it pays more attention to the interrelationship between any two different SpNoFNs and also to the influence of the interrelationships on the decision result. The decision procedure of our proposed method is more in line with the real situation.
- (3)
- There are three parameters, namely , and , in the proposed method, the value of which can be adjusted by the decision makers based on subjective preferences and real situation to obtain corresponding decision results. As such, the method of our study renders the process of decision and information aggregation more flexible.
In future studies, more information aggregation operators under SpNoFN environment, such as spherical normal fuzzy Hamy mean operators and spherical normal fuzzy interaction operators, should be investigated. The application of the proposed method can also be extended into medical diagnosis, disease recognition, brain hemorrhage, and other healthcare problems.
Author Contributions
Conceptualization, Z.Y. and M.Q.; methodology, Z.Y. and X.L.; software, M.Q. and H.G.; writing Z.Y., M.Q., X.L., and H.G.; funding acquisition, Z.Y. All authors have read and agreed to the published version of the manuscript.
Funding
This research was funded by the Natural Science Foundation of China (No. 71704007), the Beijing Social Science Foundation of China (No. 18GLC082).
Acknowledgments
This work was supported in part by the Natural Science Foundation of China (No. 71704007), the Beijing Social Science Foundation of China (No. 18GLC082).
Conflicts of Interest
The authors declare no conflict of interest.
Appendix A
Proof of Proposition 1.
Based on Definition 6, we found that (1), (3), (5), (6), and (7) are true, respectively. Further, (2), (4), and (8) need to be proved as follows:
Let the NFN of and be and , the PoMBD of them be and , the NeuMBD of them be and , the NegMBD of them be , and , respectively, then we can get:
For (2), i.e., , we have
= = ,
,
,
and
= .
Similarly, we can get
= , and
= .
Therefore, .
For (4), i.e., .
,
,
,
and
= .
Similarly, we get
= ,
and
= .
Therefore, .
We now prove item (8), i.e., .
Let be a SpNoFN, , and the NFN of and be and . We can obtain that
,
and
.
Similarly, we get
,
and
.
As such, is true. □
Appendix B
Proof of Theorem 1.
According to the operations of SpNoFNs, we can get:
,
,
and
The mathematical induction method is used to obtain
and
Furthermore, the following result can be derived:
and
The Proof is completed. □
Appendix C
Proof of Theorem 2.
□
Proof of Theorem 3.
Similarly, we can get .
Therefore, . □
Proof of Theorem 4.
For , there exist and .
Then,
,
and
.
Based on the score function in Definition 7, we can get
. □
Appendix D
Proof of Theorem 5.
According to the operational rules of SpNoFNs, we get . Hence, for real p, q > 0, we have
,
,
and
By using the mathematical induction method, we obtain
Furthermore, we can also get
□
References
- Singer, H.M. Short-term predictions of country-specific Covid-19 infection rates based on power law scaling exponents. arXiv 2020, arXiv:2003.11997. [Google Scholar]
- Coleman, C.M.; Sisk, J.M.; Mingo, R.M.; Nelson, E.A.; White, J.M.; Frieman, M.B. ABL kinase inhibitors are potent inhibitors of SARS-CoV and MERS-CoV fusion. J. Virol. 2016, 90, 8924–8933. [Google Scholar] [CrossRef] [PubMed]
- Björn, W.S.; Dagmar, M.S.; Kun, Q.; Juan, L.; Zheng, H.; Li, X. COVID-19 and computer audition: An overview on what speech & sound analysis could contribute in the SARS-CoV-2 corona crisis. arXiv 2020, arXiv:2003.11117. [Google Scholar]
- Hu, Z.; Ge, Q.; Li, S.; Boerwincle, E.; Jin, L.; Xiong, M. Forecasting and evaluating intervention of Covid-19 in the World. arXiv 2020, arXiv:2003.09800. [Google Scholar]
- Akram, M.; Arshad, M. Bipolar fuzzy TOPSIS and bipolar fuzzy ELECTRE-I methods to diagnosis. Comput. Appl. Math. 2020, 39, 7. [Google Scholar] [CrossRef]
- Hashmi, M.R.; Riaz, M.; Smarandache, F. m-Polar neutrosophic topology with applications to multi-criteria decision-making in medical diagnosis and clustering analysis. Int. J. Fuzzy Syst. 2020, 22, 273–292. [Google Scholar] [CrossRef]
- Zhou, Q.; Mo, H.; Deng, Y. A new divergence measure of Pythagorean fuzzy sets based on belief function and its application in medical diagnosis. Mathematics 2020, 8, 142. [Google Scholar] [CrossRef]
- Yucesan, M.; Gul, M. Hospital service quality evaluation: An integrated model based on Pythagorean fuzzy AHP and fuzzy TOPSIS. Soft Comput. 2020, 24, 3237–3255. [Google Scholar] [CrossRef]
- Lee, Y.C.; Chung, P.H.; Shyu, J.Z. Performance evaluation of medical device manufacturers using a hybrid fuzzy MCDM. J. Sci. Ind. Res. 2017, 76, 28–31. [Google Scholar]
- Nilashi, M.; Samad, S.; Manaf, A.A.; Ahmadi, H.; Rashid, T.A.; Munshi, A.; Almukadi, W.; Ibrahim, O.; Ahmed, O.H.; Hassan, O. Factors influencing medical tourism adoption in Malaysia: A DEMATEL-Fuzzy TOPSIS approach. Comput. Ind. Eng. 2019, 137, 106005. [Google Scholar] [CrossRef]
- Mardani, A.; Hooker, R.; Ozkul, S.; Yifan, S.; Nilashi, M.; Sabzi, H.Z.; Fei, G.C. Application of decision making and fuzzy sets theory to evaluate the healthcare and medical problems: A review of three decades of research with recent developments. Expert Syst. Appl. 2019, 137, 202–231. [Google Scholar] [CrossRef]
- Gao, H.; Ran, L.; Wei, G.; Wei, C.; Wu, J. VIKOR method for MAGDM based on q-rung interval-valued orthopair fuzzy information and its application to supplier selection of medical consumption products. Int. J. Environ. Res. Public Health 2020, 17, 525. [Google Scholar] [CrossRef] [PubMed]
- Garg, H.; Kaur, G. Quantifying gesture information in brain hemorrhage patients using probabilistic dual hesitant fuzzy sets with unknown probability information. Comput. Ind. Eng. 2020, 140, 106211. [Google Scholar] [CrossRef]
- Yang, Z.; Ouyang, T.; Fu, X.; Peng, X. A decision-making algorithm for online shopping using deep-learning–based opinion pairs mining and q-rung orthopair fuzzy interaction Heronian mean operators. Int. J. Intell. Syst. 2020, 35, 783–825. [Google Scholar] [CrossRef]
- Zhang, Z.C.; Hong, W.C.; Li, J. Electric load forecasting by hybrid self-recurrent support vector regression model with variational mode decomposition and improved cuckoo search algorithm. IEEE Access 2020, 8, 14642–14658. [Google Scholar] [CrossRef]
- Kundra, H.; Sadawarti, H. Hybrid algorithm of cuckoo search and particle swarm optimization for natural terrain feature extraction. Res. J. Inf. Technol. 2015, 7, 58–69. [Google Scholar] [CrossRef]
- Lee, A.; Kang, H. A multi-criteria decision-making model for evaluating senior daycare center locations. Int. J. Environ. Res. Public Health 2019, 16, 5031. [Google Scholar] [CrossRef]
- Qu, G.; Xue, R.; Li, T.; Qu, W.; Xu, Z. A stochastic multi-attribute method for measuring sustainability performance of a supplier based on a triple bottom line approach in a dual hesitant fuzzy linguistic environment. Int. J. Environ. Res. Public Health 2020, 17, 2138. [Google Scholar] [CrossRef]
- Fathima, P.F.A.; John, S.J.; Bibitha, K.V.; Garg, H. Spherical fuzzy soft sets and its application in decision making process. J. Intell. Fuzzy Syst. 2019, 37, 8237–8250. [Google Scholar]
- Garg, H.; Kaur, G. Novel distance measures for cubic intuitionistic fuzzy sets and their applications to pattern recognitions and medical diagnosis. Granul. Comput. 2020, 5, 169–184. [Google Scholar] [CrossRef]
- Zadeh, L.A. Fuzzy sets. Inform. Control. 1965, 8, 338–353. [Google Scholar] [CrossRef]
- Atanassov, K.T. Intuitionistic fuzzy sets. Fuzzy Sets Syst. 1986, 20, 87–96. [Google Scholar] [CrossRef]
- Yager, R.R. Pythagorean membership grades in multicriteria decision making. IEEE Trans. Fuzzy Syst. 2014, 22, 958–965. [Google Scholar] [CrossRef]
- Hussain, A.; Mahmood, T.; Ali, M.I. Rough Pythagorean fuzzy ideals in semigroups. Comput. Appl. Math. 2019, 38. [Google Scholar] [CrossRef]
- Verma, R.; Merigo, J.M. On generalized similarity measures for Pythagorean fuzzy sets and their applications to multiple attribute decision-making. Int. J. Intell. Syst. 2019, 34, 2556–2583. [Google Scholar] [CrossRef]
- He, T.; Wei, G.; Lu, J.; Wei, C.; Lin, R. Pythagorean 2-Tuple Linguistic Taxonomy Method for Supplier Selection in Medical Instrument Industries. Int. J. Environ. Res. Public Health 2019, 16, 4875. [Google Scholar] [CrossRef]
- Haktanir, E.; Kahraman, C. A novel interval-valued Pythagorean fuzzy QFD method and its application to solar photovoltaic technology development. Comput. Ind. Eng. 2019, 132, 361–372. [Google Scholar] [CrossRef]
- Chen, T.Y. A novel VIKOR method with an application to multiple criteria decision analysis for hospital-based post-acute care within a highly complex uncertain environment. Neural Comput. Appl. 2019, 31, 3969–3999. [Google Scholar] [CrossRef]
- Cuong, B.C.; Kreinovich, V. Picture fuzzy sets-a new concept for computational intelligence problems. In Proceedings of the 2013 Third World Congress on Information and Communication Technologies (Wict), Hanoi, Vietnam, 15–18 December 2013; pp. 1–6. [Google Scholar]
- Cuong, B.C. Picture fuzzy sets-first results. Part 1. Seminar “neuro-fuzzy systems with applications”. J. Comput. Sci. Cybernetics. 2014, 4, 409–420. [Google Scholar]
- Mahmood, T.; Ullah, K.; Khan, Q.; Jan, N. An approach toward decision-making and medical diagnosis problems using the concept of spherical fuzzy sets. Neural Comput. Appl. 2019, 31, 7041–7053. [Google Scholar] [CrossRef]
- Ashraf, S.; Abdullah, S. Spherical aggregation operators and their application in multiattribute group decision-making. Int. J. Intell. Syst. 2019, 34, 493–523. [Google Scholar] [CrossRef]
- Gundogdu, F.K.; Kahraman, C. A novel fuzzy TOPSIS method using emerging interval-valued spherical fuzzy sets. Eng. Appl. Artif. Intel. 2019, 85, 307–323. [Google Scholar] [CrossRef]
- Jin, H.H.; Ashraf, S.; Abdullah, S.; Qiyas, M.; Bano, M.; Zeng, S. Linguistic spherical fuzzy aggregation operators and their applications in multi-attribute decision making problems. Mathematics 2019, 7, 413. [Google Scholar] [CrossRef]
- Gundogdu, F.K.; Kahraman, C. Extension of WASPAS with spherical fuzzy sets. Informatica 2019, 30, 269–292. [Google Scholar] [CrossRef]
- Jin, Y.; Ashraf, S.; Abdullah, S. Spherical fuzzy logarithmic aggregation operators based on entropy and their application in decision support systems. Entropy 2019, 21, 628. [Google Scholar] [CrossRef]
- Rafiq, M.; Shahzaib, A.; Saleem, A.; Tahir, M.; Shakoor, M. The cosine similarity measures of spherical fuzzy sets and their applications in decision making. J. Intell. Fuzzy Syst. 2019, 36, 6059–6073. [Google Scholar] [CrossRef]
- Zeng, S.Z.; Hussain, A.; Tahir, M.; Ali, M.I.; Munir, M.; Ashraf, S. Covering-based spherical fuzzy rough set model hybrid with TOPSIS for multi-attribute decision-making. Symmetry 2019, 11, 547. [Google Scholar] [CrossRef]
- Ashraf, S.; Abdullah, S.; Abdullah, L. Child development influence environmental factors determined using spherical fuzzy distance measures. Mathematics 2019, 7, 661. [Google Scholar] [CrossRef]
- Gundogdu, F.K.; Kahraman, C. A novel VIKOR method using spherical fuzzy sets and its application to warehouse site selection. J. Intell. Fuzzy Syst. 2019, 37, 1197–1211. [Google Scholar] [CrossRef]
- Yang, M.S.; Ko, C.H. On a class of fuzzy c-numbers clustering procedures for fuzzy data. Fuzzy Set. Syst. 1996, 84, 49–60. [Google Scholar] [CrossRef]
- Li, D.Y.; Liu, C.Y. Study on the universality of the normal cloud model. Eng. Sci. 2004, 6, 28–34. [Google Scholar]
- Wang, J.Q.; Li, K.J.; Zhang, H.Y. Multi-criteria decision-making method based on induced intuitionistic normal fuzzy related aggregation operators. Int. J. Uncertain Fuzz. 2012, 20, 559–578. [Google Scholar] [CrossRef]
- Wang, J.Q.; Li, K.J.; Zhang, H.Y.; Chen, X.H. A score function based on relative entropy and its application in intuitionistic normal fuzzy multiple criteria decision making. J. Intell. Fuzzy Syst. 2013, 25, 567–576. [Google Scholar] [CrossRef]
- Wang, J.Q.; Zhou, P.; Li, K.J.; Zhang, H.Y.; Chen, X.H. Multi-criteria decision-making method based on normal intuitionistic fuzzy-induced generalized aggregation operator. Top 2014, 22, 1103–1122. [Google Scholar] [CrossRef]
- Liu, P.D.; Teng, F. Multiple criteria decision making method based on normal interval-valued intuitionistic fuzzy generalized aggregation operator. Complexity 2016, 21, 277–290. [Google Scholar] [CrossRef]
- Yang, Z.; Li, J.; Huang, L.; Shi, Y. Developing dynamic intuitionistic normal fuzzy aggregation operators for multi-attribute decision-making with time sequence preference. Expert Syst. Appl. 2017, 82, 344–356. [Google Scholar] [CrossRef]
- Zhang, G.F.; Zhang, Z.M.; Kong, H. Some normal intuitionistic fuzzy Heronian mean operators using Hamacher operation and their application. Symmetry 2018, 10, 199. [Google Scholar] [CrossRef]
- Bonferroni, C. Sulle medie multiple di potenze. Bolletino Matematica Italiana 1950, 5, 267–270. [Google Scholar]
- Parkan, C.; Wu, M.L. Decision-making and performance measurement models with applications to robot selection. Comput. Ind. Eng. 1999, 36, 503–523. [Google Scholar] [CrossRef]
© 2020 by the authors. Licensee MDPI, Basel, Switzerland. This article is an open access article distributed under the terms and conditions of the Creative Commons Attribution (CC BY) license (http://creativecommons.org/licenses/by/4.0/).














