Cancer Mortality Trends in Spain (2000–2016): Differences between Immigrant and Native Populations
Abstract
1. Introduction
2. Materials and Methods
2.1. Data Source
2.2. Analytical Methodology
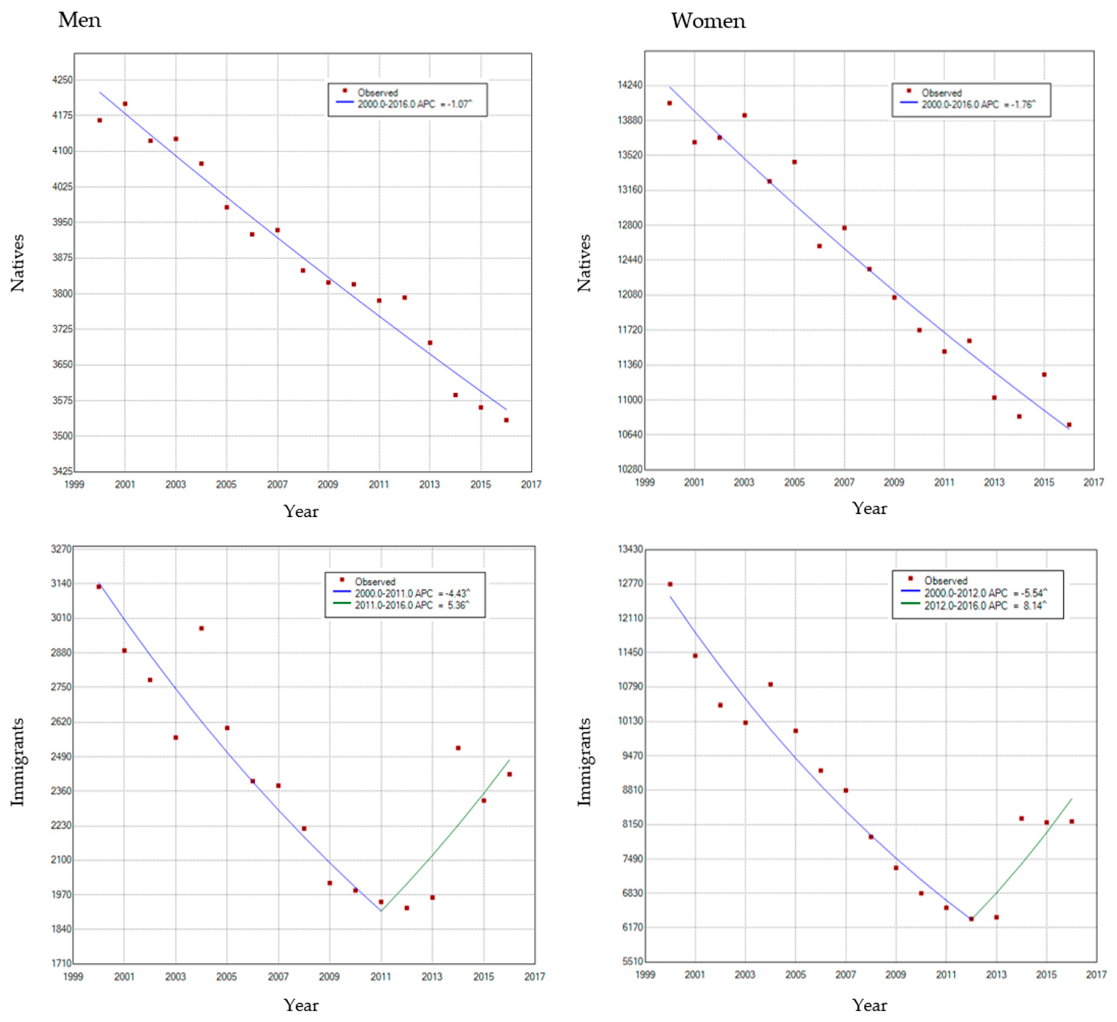
3. Results
4. Discussion
4.1. Main Findings
4.2. Methodological Strengths and Limitations
5. Conclusions
Author Contributions
Funding
Acknowledgments
Conflicts of Interest
References
- United Nations. Department of Economic and Social Affairs. International Migration Report 2017. Available online: https://www.un.org/en/development/desa/population/migration/publications/migrationreport/docs/MigrationReport2017.pdf (accessed on 1 October 2019).
- Van Mol, C.; de Valk, H. Migration and immigrants in Europe: A historical and demographic perspective. In Integration Processes and Policies in Europe: Contexts, Levels and Actors; Garcés-Mascareñas, B., Penninx, R., Eds.; Springer: Dordrecht, The Netherlands, 2016; pp. 31–55. [Google Scholar]
- Hall, K. Retirement migration and health: Growing old in Spain. In Handbook of Migration and Health; Thomas, F., Ed.; Edward Elgar Publishing: Cheltenham, UK, 2016; pp. 402–418. [Google Scholar]
- Rechel, B.; Mladovsky, P.; Deville, W.; Rijks, B.; Petrova-Benedict, R.; McKee, M. Migration and Health in the European Union; Open University Press: Berkshire, UK, 2011; Available online: https://migrationhealthresearch.iom.int/migration-and-health-european-union (accessed on 1 October 2019).
- European Statistical Office (EUROSTAT). Statistics on Demographic Changes 2017. Available online: http://ec.europa.eu/eurostat/statistics-explained/index.php?title=People_in_the_EU__statistics_on_demographic_changes&oldid=374918#Foreigners_and_foreign-born_populations (accessed on 14 May 2019).
- Instituto Nacional de Estadística (INE). Estadística del Padrón Continuo a 1 de enero de 2016. Available online: https://www.ine.es/index.htm (accessed on 16 May 2019).
- Moncho, J.; Pereyra-Zamora, P.; Nolasco, A.; Tamayo-Fonseca, N.; Melchor, I.; Macia, L. Trends and disparities in mortality among Spanish-born and Foreign-born populations residing in Spain, 1999–2008. J. Immigr. Minor. Health 2015, 17, 1374–1384. [Google Scholar] [CrossRef] [PubMed]
- Singh, G.K.; Siahpush, M. All-cause and cause-specific mortality of immigrants and native-born in the United States. Am. J. Public Health 2001, 91, 392–399. [Google Scholar] [CrossRef]
- Bhopal, R.S.; Gruer, L.; Cezard, G.; Douglas, A.; Markus, F.; Steiner, C.; Millard, A.; Buchanan, D.; Vittal Katikireddi, S.; Sheikh, A. Mortality, ethnicity, and country of birth on a national scale, 2001–2013: A retrospective cohort (Scottish Health and Ethnicity Linkage Study). PLoS Med. 2018, 15. [Google Scholar] [CrossRef] [PubMed]
- Instituto Nacional de Estadistica (INE). Defunciones Por Causas de Muerte (Lista Reducida) Por Sexo Y Grupos de Edad. Available online: https://www.ine.es/index.htm (accessed on 13 March 2019).
- Bosetti, C.; Bertuccio, P.; Malvezzi, M.; Levi, F.; Chateanoud, L.; Negri, E.; La Vecchia, C. Cancer mortality in Europe, 2005–2009, and an overview of trends since 1980. Ann. Oncol. 2013, 24, 2657–2671. [Google Scholar] [CrossRef] [PubMed]
- Chen, W.; Zheng, R.; Zeng, H.; Zhang, S. The incidence and mortality of major cancers in China, 2012. Chin. J. Cancer 2016, 35, 73. [Google Scholar] [CrossRef] [PubMed]
- Mokdad, A.H.; Dwyer-Lindgren, L.; Fitzmaurice, C.; Stubbs, R.W.; Bertozzi-Villa, A.; Morozoff, C.; Charara, R.; Allen, C.; Naghavi, M.; Murray, C.J.L. Trends and Patterns of Disparities in Cancer Mortality Among US Counties, 1980–2014. JAMA 2017, 317, 388–406. [Google Scholar] [CrossRef]
- Katanoda, K.; Hori, M.; Matsuda, T.; Shibata, A.; Nishino, Y.; Hattori, M.; Soda, M.; Ioka, A.; Sobue, T.; Nishimoto, H. An updated report on the trends in cancer incidence and mortality in Japan, 1958–2013. JPN J. Clin. Oncol. 2015, 45, 390–401. [Google Scholar] [CrossRef]
- Lim, D.; Ha, M.; Song, I. Trends in major cancer mortality in Korea, 1983–2012, with a joinpoint analysis. Cancer Epidemiol. 2015, 39, 939–946. [Google Scholar] [CrossRef]
- Kyu-Won, J.; Young-Joo, W.; Hyun-Joo, K.; Eun Sook, L. Cancer statistics in Korea: Incidence, mortality, survival, and prevalence in 2015. Cancer Res. Treat. 2018, 50, 303–316. [Google Scholar] [CrossRef]
- Pereyra Zamora, P.E. Inmigración Y Salud: Las Múltiples Caras de la Mortalidad en ESPAÑA (1999–2008); University of Alicante: Alicante, Spain, 2014. [Google Scholar]
- Fuh, K.C.; Shin, J.Y.; Kapp, D.S.; Brooks, R.A.; Ueda, S.; Urban, R.R.; Chen, L.-M.; Chan, J.K. Survival differences of Asian and Caucasian epithelial ovarian cancer patients in the United States. Gynecol. Oncol. 2015, 136, 491–497. [Google Scholar] [CrossRef]
- Schupp, C.W.; Press, D.J.; Gomez, S.L. Immigration factors and prostate cancer survival among Hispanic men in California: Does neighborhood matter? Cancer 2014, 120, 1401–1408. [Google Scholar] [CrossRef] [PubMed]
- Instituto Nacional de Estadística (INE). Saldo Migratorio Con el Extranjero Por Año, País de Nacimiento Y Nacionalidad (Española/Extranjera). Available online: https://www.ine.es/index.htm (accessed on 13 June 2019).
- Real Decreto-Ley 16/2012, de 20 de abril, de Medidas Urgentes para Garantizar la Sostenibilidad del Sistema Nacional de Salud y Mejorar la Calidad y Seguridad de sus prestaciones. BOE no. 98. 24 April 2012. Available online: https://www.boe.es (accessed on 29 June 2020).
- Instituto Nacional de Estadística (INE). Estadística de Defunciones Según la Causa de Muerte. Clasificaciones CIE-10: Lista Reducida. Available online: https://www.ine.es/index.htm (accessed on 15 November 2019).
- Pace, M.; Lanzieri, G.; Glickman, M.; Grande, E.; Zupanic, T.; Wojtyniak, B.; Gissler, M.; Cayotte, E.; Agafitei, L. Revision of the European Standard Population. Eurostat (2013). Available online: https://publications.europa.eu/en/publication-detail/-/publication/69399636-1113-4a38-9ad1-269c33d0dc01/language-en (accessed on 1 October 2019).
- Surveillance Research Program. Joinpoint Regression Program; National Cancer Institute: Bethesda, MD, USA, 25 February 2019. Available online: https://surveillance.cancer.gov/joinpoint/ (accessed on 16 November 2019).
- Malvezzi, M.; Carioli, G.; Bertuccio, P.; Negri, E.; La Vecchia, C. Relation between mortality trends of cardiovascular diseases and selected cancers in the European Union, in 1970–2017. Focus on cohort and period effects. Eur. J. Cancer 2018, 103, 341–355. [Google Scholar] [CrossRef] [PubMed]
- Ferlay, J.; Colombet, M.; Soerjomataram, I.; Dyba, T.; Randi, G.; Bettio, M.; Gavin, A.; Visser, O.; Bray, F. Cancer incidence and mortality patterns in Europe: Estimates for 40 countries and 25 major cancers in 2018. Eur. J. Cancer 2018, 103, 356–387. [Google Scholar] [CrossRef] [PubMed]
- Endeshaw, M.; Hallowell, B.D.; Razzaghi, H.; Senkomago, V.; McKenna, M.T.; Saraiya, M. Trends in liver cancer mortality in the United States: Dual burden among foreign- and US-born persons. Cancer 2019, 125, 726–734. [Google Scholar] [CrossRef]
- Hallowell, B.D.; Endeshaw, M.; McKenna, M.T.; Senkomago, V.; Razzaghi, H.; Saraiya, M. Cancer mortality rates among US and foreign-born individuals: United States 2005–2014. Prev Med. 2019, 126, 105755. [Google Scholar] [CrossRef]
- Cheung, M.C.; Earle, C.C.; Fischer, H.D.; Camacho, X.; Liu, N.; Saskin, R.; Shah, B.R.; Austin, P.C.; Singh, S. Impact of Immigration Status on Cancer Outcomes in Ontario, Canada. J. Oncol. Pract. 2017, 13, 602–612. [Google Scholar] [CrossRef]
- Bray, F.; Ferlay, J.; Soerjomataram, I.; Siegel, R.L.; Torre, L.A.; Jemal, A. Global cancer statistics 2018: GLOBOCAN estimates of incidence and mortality worldwide for 36 cancers in 185 countries. CA Cancer J. Clin. 2018, 68, 394–424. [Google Scholar] [CrossRef]
- Boulogne, R.; Jougla, E.; Breem, Y.; Kunst, A.E.; Rey, G. Mortality differences between the foreign-born and locally-born population in France (2004–2007). Soc. Sci. Med. 2012, 74, 1213–1223. [Google Scholar] [CrossRef]
- Znaor, A.; Van Den Hurk, C.; Primic-Zakelj, M.; Agius, D.; Coza, D.; Demetriou, A.; Dimitrova, N.; Eser, S.; Karakilinc, H.; Zivkovic, S.; et al. Cancer incidence and mortality patterns in South Eastern Europe in the last decade: Gaps persist compared with the rest of Europe. Eur. J. Cancer 2013, 49, 1683–1691. [Google Scholar] [CrossRef]
- Wallace, M.; Khlat, M.; Guillot, M. Mortality advantage among migrants according to duration of stay in France, 2004–2014. BMC Public Health 2019, 19, 327. [Google Scholar] [CrossRef]
- Syse, A.; Dzamarija, M.T.; Kumar, B.N.; Diaz, E. An observational study of immigrant mortality differences in Norway by reason for migration, length of stay and characteristics of sending countries. BMC Public Health 2018, 18, 508. [Google Scholar] [CrossRef] [PubMed]
- Guillot, M.; Khlat, M.; Elo, I.; Solignac, M.; Wallace, M. Understanding age variations in the migrant mortality advantage: An international comparative perspective. PLoS ONE 2018, 13, e0199669. [Google Scholar] [CrossRef] [PubMed]
- Walkden, G.J.; Anderson, E.L.; Vink, M.P.; Tilling, K.; Howe, L.D.; Ben-Shlomo, Y. Frailty in older-age European migrants: Cross-sectional and longitudinal analyses of the Survey of Health, Aging and Retirement in Europe (SHARE). Soc. Sci. Med. 2018, 213, 1–11. [Google Scholar] [CrossRef] [PubMed]
- Romero Valiente, J.M. Migraciones. In Tendencias Demográficas Durante el Siglo XX en España, 1st ed.; Instituto Nacional de Estadística: Madrid, España, 2003; pp. 209–253. [Google Scholar]
- Ferrando, J.; Palència, L.; Gotsens, M.; Puig-Barrachina, V.; Marí-Dell’Olmo, M.; Rodríguez-Sanz, M.; Bartoll, X.; Borrell, C. Trends in cancer mortality in Spain: The influence of the financial crisis. Gac. Sanit. 2019, 33, 229–234. [Google Scholar] [CrossRef]
- Escolar-Pujolar, A.; Bacigalupe, A.; San Sebastian, M. European economic crisis and health inequities: Research challenges in an uncertain scenario. Int. J. Equity Health 2014, 13, 59. [Google Scholar] [CrossRef]
- Kachuri, L.; De, P.; Ellison, L.F.; Semenciw, R. Cancer incidence, mortality and survival trends in Canada, 1970–2007. Chronic Dis. Inj. Can. 2013, 33, 69–80. [Google Scholar]
- Torres-Sánchez, L.E.; Rojas-Martínez, R.; Escamilla-Núñez, C.; de la Vara-Salazar, E.; Lazcano-Ponce, E. Tendencias en la mortalidad por cáncer en México de 1980 a 2011. Salud Publica Mex. 2014, 56, 473–491. [Google Scholar] [CrossRef]
- Sierra, M.S.; Soerjomataram, I.; Antoni, S.; Laversanne, M.; Piñeros, M.; de Vries, E.; Forman, D. Cancer patterns and trends in Central and South America. Cancer Epidemiol. 2016, 44, 23–42. [Google Scholar] [CrossRef]
- Markides, K.S.; Rote, S. The healthy immigrant effect and aging in the United States and other western countries. Gerontologist 2019, 59, 205–214. [Google Scholar] [CrossRef]






| Men | ||||||||||||||||||||||||
| Origin | SP1 = 2000-01 | SP2 = 2002-04 | SP3 = 2005-07 | SP4 = 2008-10 | SP5 = 2011-13 | SP6 = 2014-16 | ||||||||||||||||||
| Deaths | ASR | 95%CI | Deaths | ASR | 95%CI | ∆% SP2 vs. SP1 | Deaths | ASR | 95%CI | ∆% SP3 vs. SP2 | Deaths | ASR | 95%CI | ∆% SP4 vs. SP3 | Deaths | ASR | 95%CI | ∆% SP5 vs. SP4 | ∆% SP6 vs. SP5 | Deaths | ASR | 95%CI | ∆% SP6 vs. SP1 | |
| Natives | 117,552 | 418.3 | 415.9–420.8 | 181,130 | 410.7 | 408.8–412.7 | −1.8 | 183,830 | 394.7 | 392.9–396.6 | −3.9 | 188,330 | 383.0 | 381.3–384.8 | −3.0 | 195,030 | 375.8 | 374.1–377.5 | −1.9 | −5.3 | 194,711 | 356.0 | 354.4–357.6 | −14.9 |
| Immigrants | 2580 | 299.7 | 287.4–312.1 | 4898 | 282.8 | 274.0–291.6 | −5.7 | 5672 | 245.1 | 237.6–252.6 | −13.3 | 6611 | 206.7 | 200.9–212.5 | −15.7 * | 7581 | 194.2 | 189.2–199.1 | −6.1 * | 24.8 * | 8434 | 242.3 | 236.2–248.4 | −19.2 * |
| East Eu | 44 | 306.4 | 191.5–421.3 | 111 | 228.0 | 161.8–294.2 | −25.6 | 235 | 221.0 | 163.2–278.7 | −3.1 | 420 | 179.0 | 140.1–218.0 | −19.0 | 548 | 153.6 | 124.1–183.1 | −14.2 | 77.7 | 736 | 272.9 | 227.8–318.0 | −10.9 |
| Northern Eu | 443 | 255.6 | 230.7–280.5 | 956 | 252.3 | 235.4–269.3 | −1.3 | 1115 | 194.5 | 181.6–207.3 | −22.9 * | 1440 | 172.1 | 162.3–181.9 | −11.5 | 1558 | 148.0 | 140.1–155.8 | −14.0 * | 39.0 * | 1608 | 205.7 | 194.4–217.0 | −19.5 * |
| Western Eu | 706 | 275.5 | 253.6–297.4 | 1293 | 272.2 | 256.1–288.2 | −1.2 | 1276 | 230.5 | 216.6–244.3 | −15.3 | 1376 | 183.7 | 173.4–194.0 | −20.3 | 1571 | 180.5 | 171.2–189.8 | −1.7 | 45.6 | 1702 | 262.8 | 249.6–276.0 | −4.6 |
| South Eu | 241 | 343.2 | 298.1–388.3 | 448 | 369.4 | 333.4–405.4 | 7.6 | 467 | 301.7 | 271.9–331.5 | −18.3 * | 471 | 233.1 | 209.6–256.5 | −22.7 * | 549 | 235.6 | 214.1–257.1 | 1.1 | 20.9 * | 641 | 284.7 | 260.5–308.9 | −17.0 |
| Africa | 462 | 354.0 | 313.5–394.6 | 863 | 345.6 | 315.6–375.6 | −2.4 | 1075 | 346.5 | 318.6–374.5 | 0.3 | 1075 | 292.0 | 268.3–315.7 | −15.7 | 1253 | 280.7 | 260.5–300.9 | −3.9 | −6.6 | 1362 | 262.3 | 244.1–280.4 | −25.9 |
| America | 599 | 347.0 | 317.7–376.3 | 1080 | 294.3 | 274.8–313.8 | −15.2 * | 1339 | 274.6 | 257.1–292.1 | −6.7 | 1460 | 229.6 | 214.8–244.3 | −16.4 * | 1543 | 219.1 | 205.5–232.6 | −4.6 | 2.5 | 1801 | 224.6 | 211.7–237.5 | −35.3 * |
| Asia | 82 | 259.5 | 192.3–326.8 | 143 | 201.5 | 158.6–244.3 | −22.4 | 155 | 173.9 | 135.0–212.9 | −13.7 | 151 | 119.8 | 91.3–148.4 | −31.1 | 154 | 96.9 | 74.0–199.7 | −19.2 | −5.7 | 186 | 91.4 | 70.9–111.8 | −64.8 |
| Women | ||||||||||||||||||||||||
| Origin | SP1 = 2000-01 | SP2 = 2002-04 | SP3 = 2005-07 | SP4 = 2008-10 | SP5 = 2011-13 | SP6 = 2014-16 | ||||||||||||||||||
| Deaths | ASR | 95%CI | Deaths | ASR | 95%CI | ∆%SP2 vs. SP1 | Deaths | ASR | 95%CI | ∆%SP3 vs. SP2 | Deaths | ASR | 95%CI | ∆%SP4 vs. SP3 | Deaths | ASR | 95%CI | ∆%SP5 vs. SP4 | ∆%SP6 vs. SP5 | Deaths | ASR | 95%CI | ∆%SP6 vs. SP1 | |
| Natives | 70,231 | 179.8 | 178.5–181.2 | 107,925 | 176.4 | 175.4–177.5 | −1.9 | 110,196 | 170.7 | 169.6–171.7 | −3.3 | 115,338 | 169.1 | 168.1–170.1 | −0.9 | 122,164 | 169.7 | 168.7–170.7 | 0.4 | −3.2 | 123,831 | 164.3 | 163.3–165.2 | −8.7 |
| Immigrants | 1969 | 186.5 | 178.0–195.0 | 3598 | 167.0 | 161.2–172.9 | −10.4 * | 4478 | 154.3 | 149.3–159.3 | −7.6 * | 5375 | 138.0 | 133.8–142.2 | −10.6 * | 5878 | 126.0 | 122.4–129.7 | −8.7 * | 18.7 * | 6839 | 149.6 | 145.6–153.6 | −19.8 * |
| East Eu | 31 | 204.8 | 125.4–284.1 | 124 | 205.1 | 153.1–257.1 | 0.1 | 249 | 170.4 | 131.2–209.5 | −16.9 | 377 | 114.2 | 90.4–138.0 | −33.0 | 510 | 95.2 | 79.6–110.8 | −16.6 | 52.6 | 707 | 145.3 | 124.2–166.3 | −29.1 |
| Northern Eu | 296 | 169.4 | 149.3–189.5 | 568 | 162.8 | 148.5–177.2 | −3.9 | 812 | 154.9 | 142.9–166.8 | −4.9 | 941 | 123.0 | 114.4–131.7 | −20.6 * | 1015 | 104.7 | 97.8–111.6 | −14.9 * | 38.8 * | 1082 | 145.3 | 135.6–154.9 | −14.2 |
| Western Eu | 542 | 178.9 | 163.2–194.6 | 908 | 167.0 | 155.7–178.4 | −6.6 | 1041 | 161.9 | 151.6–172.2 | −3.1 | 1159 | 141.4 | 133.0–149.8 | −12.7 | 1273 | 138.2 | 130.4–146.0 | −2.3 | 23.7 | 1333 | 171.0 | 161.5–180.5 | −4.4 |
| South Eu | 153 | 227.2 | 190.3–264.1 | 223 | 181.1 | 156.6–205.7 | −20.3 | 253 | 169.9 | 148.1–191.7 | −6.2 | 287 | 152.8 | 134.4–171.3 | −10.0 | 293 | 143.6 | 126.6–160.6 | −6.0 | 8.4 | 321 | 155.7 | 138.1–173.3 | −31.5 * |
| Africa | 298 | 210.3 | 183.5–237.0 | 530 | 197.4 | 178.2–216.6 | −6.1 | 554 | 167.0 | 151.0–183.0 | −15.4 | 650 | 158.1 | 144.2–172.1 | −5.3 | 670 | 139.7 | 127.7–151.7 | −11.7 | 2.4 | 835 | 143.0 | 132.0–154.0 | −32.0 |
| America | 589 | 185.7 | 169.8–201.6 | 1132 | 156.1 | 146.1–166.1 | −15.9 * | 1425 | 142.3 | 133.8–150.9 | −8.8 | 1692 | 135.4 | 127.6–143.1 | −4.9 | 1750 | 122.2 | 115.3–129.2 | −9.7 | 9.0 | 2134 | 133.2 | 126.3–140.0 | −28.3 * |
| Asia | 59 | 185.6 | 133.0–238.2 | 107 | 149.2 | 115.9–182.6 | −19.6 | 132 | 146.4 | 114.4–178.4 | −1.9 | 115 | 100.2 | 76.5–123.9 | −31.6 | 117 | 82.4 | 63.3–101.5 | −17.7 | −19.2 | 133 | 66.6 | 50.7–82.5 | −64.1 |
© 2020 by the authors. Licensee MDPI, Basel, Switzerland. This article is an open access article distributed under the terms and conditions of the Creative Commons Attribution (CC BY) license (http://creativecommons.org/licenses/by/4.0/).
Share and Cite
Oliva-Arocas, A.; Pereyra-Zamora, P.; Copete, J.M.; Nolasco, A. Cancer Mortality Trends in Spain (2000–2016): Differences between Immigrant and Native Populations. Int. J. Environ. Res. Public Health 2020, 17, 5127. https://doi.org/10.3390/ijerph17145127
Oliva-Arocas A, Pereyra-Zamora P, Copete JM, Nolasco A. Cancer Mortality Trends in Spain (2000–2016): Differences between Immigrant and Native Populations. International Journal of Environmental Research and Public Health. 2020; 17(14):5127. https://doi.org/10.3390/ijerph17145127
Chicago/Turabian StyleOliva-Arocas, Adriana, Pamela Pereyra-Zamora, José M. Copete, and Andreu Nolasco. 2020. "Cancer Mortality Trends in Spain (2000–2016): Differences between Immigrant and Native Populations" International Journal of Environmental Research and Public Health 17, no. 14: 5127. https://doi.org/10.3390/ijerph17145127
APA StyleOliva-Arocas, A., Pereyra-Zamora, P., Copete, J. M., & Nolasco, A. (2020). Cancer Mortality Trends in Spain (2000–2016): Differences between Immigrant and Native Populations. International Journal of Environmental Research and Public Health, 17(14), 5127. https://doi.org/10.3390/ijerph17145127

