Melatonin as an Agent for Direct Pulp-Capping Treatment
Abstract
1. Introduction
2. Materials and Methods
2.1. Materials
2.1.1. Animals and Surgical Procedure
2.1.2. Study Groups
- —
- MTA group (Group 1; n = 16 teeth): Pro-Root MTA® (DentsplayMaillefer, Ballaigues, Switzerland) was used as direct pulp-capping material following the manufacturer’s instructions. The material was left to act over 30 days.
- —
- Melatonin group (Group 2; n = 16 teeth): 5 mg of melatonin (Sigma-Aldrich, St. Louis, MA, USA) and 245 mg of cornstarch (Sigma-Aldrich, St. Louis, MA, USA) were mixed with distilled water to a creamy consistency. The mixture was applied to the exposed pulp and left to act for 30 days.
- —
- MTA + Melatonin taken orally group (Group 3; n = 16 teeth). Pro-Root MTA® (DentsplayMaillefer, Ballaigues, Switzerland) was used for direct pulp capping following the manufacturer’s instructions and left to act over 30 days. The rats were stored in individual cages and supplied with drinking water containing melatonin (Sigma-Aldrich, St. Louis, MA, USA) in a concentration of 10 mg/100 mL of water that the rats drank ad libitum during the 30 day study period. The average water consumption per animal and day in this group was 38 ± 5 mL.
- —
- Melatonin + Melatonin taken orally group (Group 4; n = 16 teeth): 5 mg of melatonin (Sigma-Aldrich, St. Louis, MA, USA) and 245 mg of cornstarch (Sigma-Aldrich, St. Louis, MA, USA) were mixed with distilled water to a creamy consistency. The mixture was applied to the exposed pulp and left to act for 30 days. The rats were stored in individual cages and supplied with drinking water containing melatonin (Sigma-Aldrich, St. Louis, MA, USA) in a concentration of 10 mg/100 mL of water that the rats drank ad libitum during the 30 day study period. Average water consumption per animal and day in this group was 40 ± 4 mL.
2.1.3. Optical Microscopy
2.1.4. Histological Evaluation
2.1.5. Oxidative-Stress Analysis
2.2. Statistical Analysis
3. Results
3.1. Histopathology
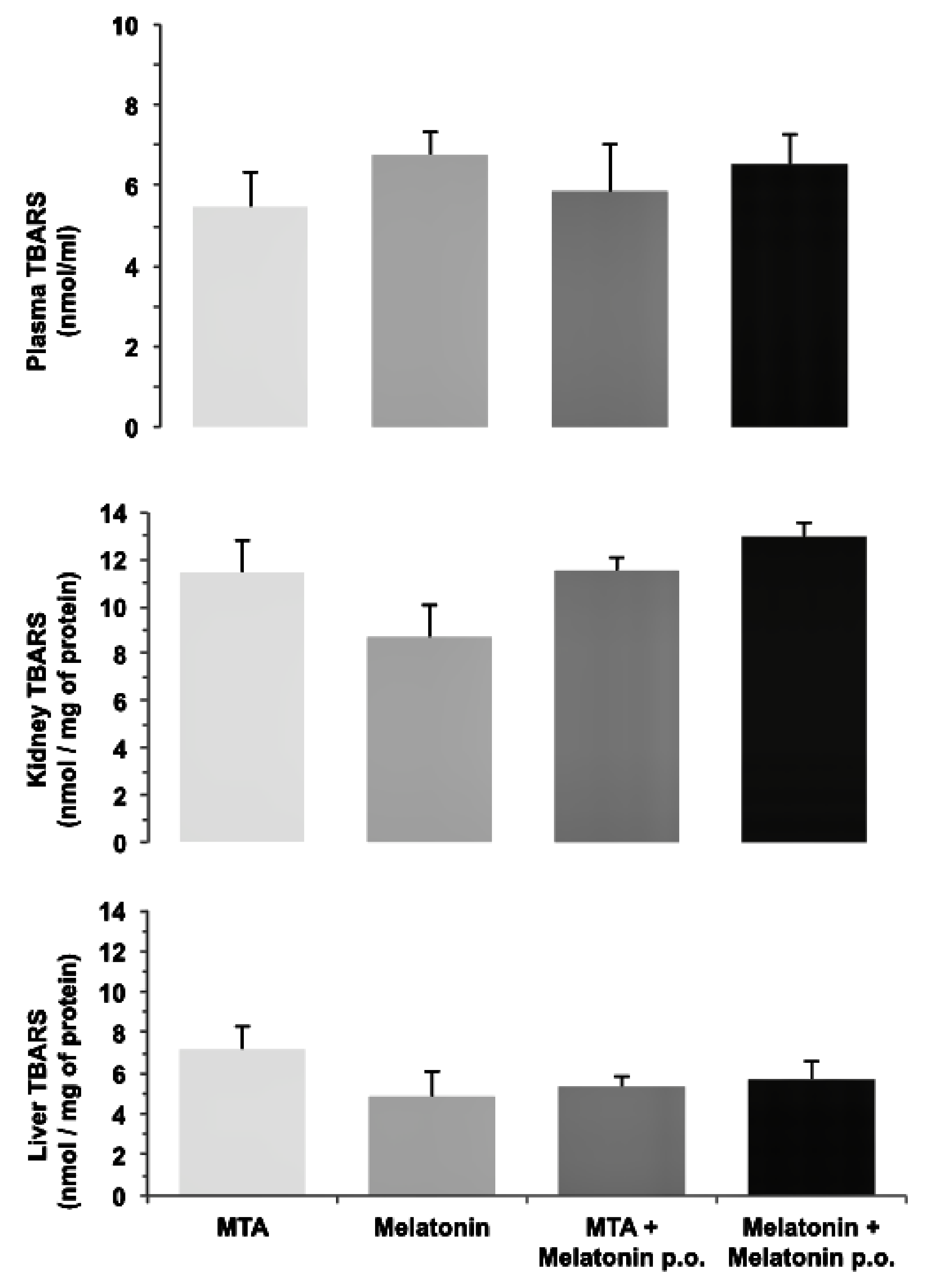
3.2. Oxidative Stress
4. Discussion
5. Conclusions
Author Contributions
Funding
Conflicts of Interest
References
- Stringhini Junior, E.; Dos Santos, M.G.C.; Oliveira, L.B.; Mercade, M. MTA and biodentine for primary teeth pulpotomy: A systematic review and meta-analysis of clinical trials. Clin. Oral Investig. 2019, 23, 1967–1976. [Google Scholar] [CrossRef] [PubMed]
- Zhu, C.; Ju, B.; Ni, R. Clinical outcome of direct pulp capping with MTA or calcium hydroxide: A systematic review and meta-analysis. Int. J. Clin. Exp. Med. 2015, 8, 17055–17060. [Google Scholar] [PubMed]
- Hosoya, N.; Takigawa, T.; Horie, T.; Maeda, H.; Yamamoto, Y.; Momoi, Y.; Yamamoto, K.; Okiji, T. A review of the literature on the efficacy of mineral trioxide aggregate in conservative dentistry. Dent. Mater. J. 2019, 38, 693–700. [Google Scholar] [CrossRef] [PubMed]
- Ansari, G.; Morovati, S.P.; Asgary, S. Evaluation of Four Pulpotomy Techniques in Primary Molars: A Randomized Controlled Trial. Iran. Endod. J. 2018, 13, 7–12. [Google Scholar] [CrossRef]
- Youssef, A.R.; Emara, R.; Taher, M.M.; Al-Allaf, F.A.; Almalki, M.; Almasri, M.A.; Siddiqui, S.S. Effects of mineral trioxide aggregate, calcium hydroxide, biodentine and Emdogain on osteogenesis, Odontogenesis, angiogenesis and cell viability of dental pulp stem cells. BMC Oral Health 2019, 19, 133. [Google Scholar] [CrossRef]
- Rodd, H.D.; Waterhouse, P.J.; Fuks, A.B.; Fayle, S.A.; Moffat, M.A.; British Society of Paediatric Dentistry. Pulp therapy for primary molars. Int. J. Paediatr. Dent. 2006, 16, 15–23. [Google Scholar] [CrossRef]
- Ferreira, C.M.A.; Sassone, L.M.; Goncalves, A.S.; de Carvalho, J.J.; Tomas-Catala, C.J.; Garcia-Bernal, D.; Onate-Sanchez, R.E.; Rodriguez-Lozano, F.J.; Silva, E. Physicochemical, cytotoxicity and in vivo biocompatibility of a high-plasticity calcium-silicate based material. Sci. Rep. 2019, 9, 3933. [Google Scholar] [CrossRef]
- Schwendicke, F.; Brouwer, F.; Stolpe, M. Calcium Hydroxide versus Mineral Trioxide Aggregate for Direct Pulp Capping: A Cost-effectiveness Analysis. J. Endod. 2015, 41, 1969–1974. [Google Scholar] [CrossRef]
- Tordjman, S.; Chokron, S.; Delorme, R.; Charrier, A.; Bellissant, E.; Jaafari, N.; Fougerou, C. Melatonin: Pharmacology, Functions and Therapeutic Benefits. Curr. Neuropharmacol. 2017, 15, 434–443. [Google Scholar] [CrossRef]
- Liu, J.; Clough, S.J.; Hutchinson, A.J.; Adamah-Biassi, E.B.; Popovska-Gorevski, M.; Dubocovich, M.L. MT1 and MT2 Melatonin Receptors: A Therapeutic Perspective. Annu. Rev. Pharm. Toxicol. 2016, 56, 361–383. [Google Scholar] [CrossRef]
- Claustrat, B.; Leston, J. Melatonin: Physiological effects in humans. Neurochirurgie 2015, 61, 77–84. [Google Scholar] [CrossRef] [PubMed]
- Lian, C.; Wu, Z.; Gao, B.; Peng, Y.; Liang, A.; Xu, C.; Liu, L.; Qiu, X.; Huang, J.; Zhou, H.; et al. Melatonin reversed tumor necrosis factor-alpha-inhibited osteogenesis of human mesenchymal stem cells by stabilizing SMAD1 protein. J. Pineal Res. 2016, 61, 317–327. [Google Scholar] [CrossRef] [PubMed]
- Clafshenkel, W.P.; Rutkowski, J.L.; Palchesko, R.N.; Romeo, J.D.; McGowan, K.A.; Gawalt, E.S.; Witt-Enderby, P.A. A novel calcium aluminate-melatonin scaffold enhances bone regeneration within a calvarial defect. J. Pineal Res. 2012, 53, 206–218. [Google Scholar] [CrossRef] [PubMed]
- Sharan, K.; Lewis, K.; Furukawa, T.; Yadav, V.K. Regulation of bone mass through pineal-derived melatonin-MT2 receptor pathway. J. Pineal Res. 2017, 63, e12423. [Google Scholar] [CrossRef]
- Ping, Z.; Wang, Z.; Shi, J.; Wang, L.; Guo, X.; Zhou, W.; Hu, X.; Wu, X.; Liu, Y.; Zhang, W.; et al. Inhibitory effects of melatonin on titanium particle-induced inflammatory bone resorption and osteoclastogenesis via suppression of NF-kappaB signaling. Acta Biomater. 2017, 62, 362–371. [Google Scholar] [CrossRef]
- Vriend, J.; Reiter, R.J. Melatonin, bone regulation and the ubiquitin-proteasome connection: A review. Life Sci. 2016, 145, 152–160. [Google Scholar] [CrossRef]
- Saritekin, E.; Ureyen Kaya, B.; Asci, H.; Ozmen, O. Anti-inflammatory and antiresorptive functions of melatonin on experimentally induced periapical lesions. Int. Endod. J. 2019, 52, 1466–1478. [Google Scholar] [CrossRef]
- Cutando, A.; Gomez-Moreno, G.; Arana, C.; Acuna-Castroviejo, D.; Reiter, R.J. Melatonin: Potential functions in the oral cavity. J. Periodontol. 2007, 78, 1094–1102. [Google Scholar] [CrossRef]
- Permuy, M.; Lopez-Pena, M.; Gonzalez-Cantalapiedra, A.; Munoz, F. Melatonin: A Review of Its Potential Functions and Effects on Dental Diseases. Int. J. Mol. Sci. 2017, 18, 865. [Google Scholar] [CrossRef]
- Zheng, L.; Papagerakis, S.; Schnell, S.D.; Hoogerwerf, W.A.; Papagerakis, P. Expression of clock proteins in developing tooth. Gene Expr. Patterns 2011, 11, 202–206. [Google Scholar] [CrossRef]
- Zheng, L.; Ehardt, L.; McAlpin, B.; About, I.; Kim, D.; Papagerakis, S.; Papagerakis, P. The tick tock of odontogenesis. Exp. Cell Res. 2014, 325, 83–89. [Google Scholar] [CrossRef]
- Zheng, L.; Seon, Y.J.; Mourao, M.A.; Schnell, S.; Kim, D.; Harada, H.; Papagerakis, S.; Papagerakis, P. Circadian rhythms regulate amelogenesis. Bone 2013, 55, 158–165. [Google Scholar] [CrossRef] [PubMed]
- Kumasaka, S.; Shimozuma, M.; Kawamoto, T.; Mishima, K.; Tokuyama, R.; Kamiya, Y.; Davaadorj, P.; Saito, I.; Satomura, K. Possible involvement of melatonin in tooth development: Expression of melatonin 1a receptor in human and mouse tooth germs. Histochem. Cell Biol. 2010, 133, 577–584. [Google Scholar] [CrossRef]
- Galano, A.; Reiter, R.J. Melatonin and its metabolites vs oxidative stress: From individual actions to collective protection. J. Pineal Res. 2018, 65, e12514. [Google Scholar] [CrossRef] [PubMed]
- Chainy, G.B.N.; Sahoo, D.K. Hormones and oxidative stress: An overview. Free Radic. Res. 2020, 54, 1–26. [Google Scholar] [CrossRef]
- Zhang, X.; Xia, Q.; Wei, R.; Song, H.; Mi, J.; Lin, Z.; Yang, Y.; Sun, Z.; Zou, K. Melatonin protects spermatogonia from the stress of chemotherapy and oxidation via eliminating reactive oxidative species. Free Radic. Biol. Med. 2019, 137, 74–86. [Google Scholar] [CrossRef]
- Sanchez, A.; Calpena, A.C.; Clares, B. Evaluating the Oxidative Stress in Inflammation: Role of Melatonin. Int. J. Mol. Sci. 2015, 16, 16981–17004. [Google Scholar] [CrossRef]
- Fuks, A.B.; Jones, P.C.; Michaeli, Y.; Bimstein, E. Pulp response to collagen and glutaraldehyde in pulpotomized primary teeth of baboons. Pediatr. Dent. 1991, 13, 142–150. [Google Scholar]
- Horsted, P.; El Attar, K.; Langeland, K. Capping of monkey pulps with Dycal and a Ca-eugenol cement. Oral Surg. Oral Med. Oral Pathol. 1981, 52, 531–553. [Google Scholar] [CrossRef]
- Ortiz, M.C.; Manriquez, M.C.; Nath, K.A.; Lager, D.J.; Romero, J.C.; Juncos, L.A. Vitamin E prevents renal dysfunction induced by experimental chronic bile duct ligation. Kidney Int. 2003, 64, 950–961. [Google Scholar] [CrossRef]
- Paredes, M.D.; Romecin, P.; Atucha, N.M.; O’Valle, F.; Castillo, J.; Ortiz, M.C.; Garcia-Estan, J. Beneficial Effects of Different Flavonoids on Vascular and Renal Function in L-NAME Hypertensive Rats. Nutrients 2018, 10, 484. [Google Scholar] [CrossRef] [PubMed]
- Dammaschke, T. Rat molar teeth as a study model for direct pulp capping research in dentistry. Lab. Anim. 2010, 44, 1–6. [Google Scholar] [CrossRef] [PubMed]
- Bal, C.; Oztas, N.; Cincik, M.; Baris, E. Immunolocalization of fibronectin during reparative dentinogenesis in rat molor teeth after pulp capping with mineral trioxide aggregate or calcium hydroxide. N. Y. State Dent. J. 2011, 77, 36–42. [Google Scholar] [PubMed]
- Ferracane, J.L.; Cooper, P.R.; Smith, A.J. Can interaction of materials with the dentin-pulp complex contribute to dentin regeneration? Odontology 2010, 98, 2–14. [Google Scholar] [CrossRef] [PubMed]
- Masuda-Murakami, Y.; Kobayashi, M.; Wang, X.; Yamada, Y.; Kimura, Y.; Hossain, M.; Matsumoto, K. Effects of mineral trioxide aggregate on the differentiation of rat dental pulp cells. Acta Histochem. 2010, 112, 452–458. [Google Scholar] [CrossRef] [PubMed]
- Smith, A.J.; Murray, P.E.; Sloan, A.J.; Matthews, J.B.; Zhao, S. Trans-dentinal stimulation of tertiary dentinogenesis. Adv. Dent. Res. 2001, 15, 51–54. [Google Scholar] [CrossRef]
- Paranjpe, A.; Smoot, T.; Zhang, H.; Johnson, J.D. Direct contact with mineral trioxide aggregate activates and differentiates human dental pulp cells. J. Endod. 2011, 37, 1691–1695. [Google Scholar] [CrossRef]
- Nakade, O.; Koyama, H.; Ariji, H.; Yajima, A.; Kaku, T. Melatonin stimulates proliferation and type I collagen synthesis in human bone cells in vitro. J. Pineal Res. 1999, 27, 106–110. [Google Scholar] [CrossRef]
- Sanchez-Barcelo, E.J.; Mediavilla, M.D.; Tan, D.X.; Reiter, R.J. Scientific basis for the potential use of melatonin in bone diseases: Osteoporosis and adolescent idiopathic scoliosis. J. Osteoporos. 2010, 2010, 830231. [Google Scholar] [CrossRef]
- Park, K.H.; Kang, J.W.; Lee, E.M.; Kim, J.S.; Rhee, Y.H.; Kim, M.; Jeong, S.J.; Park, Y.G.; Kim, S.H. Melatonin promotes osteoblastic differentiation through the BMP/ERK/Wnt signaling pathways. J. Pineal Res. 2011, 51, 187–194. [Google Scholar] [CrossRef]
- Cutando, A.; Aneiros-Fernandez, J.; Lopez-Valverde, A.; Arias-Santiago, S.; Aneiros-Cachaza, J.; Reiter, R.J. A new perspective in Oral health: Potential importance and actions of melatonin receptors MT1, MT2, MT3, and RZR/ROR in the oral cavity. Arch. Oral Biol. 2011, 56, 944–950. [Google Scholar] [CrossRef] [PubMed]
- Bai, Y.; Bai, Y.; Matsuzaka, K.; Hashimoto, S.; Kokubu, E.; Wang, X.; Inoue, T. Formation of bone-like tissue by dental follicle cells co-cultured with dental papilla cells. Cell Tissue Res. 2010, 342, 221–231. [Google Scholar] [CrossRef] [PubMed]
- Faraco Junior, I.M.; Holland, R. Histomorphological response of dogs’ dental pulp capped with white mineral trioxide aggregate. Braz. Dent. J. 2004, 15, 104–108. [Google Scholar] [CrossRef] [PubMed][Green Version]
- Reiter, R.J.; Rosales-Corral, S.A.; Liu, X.Y.; Acuna-Castroviejo, D.; Escames, G.; Tan, D.X. Melatonin in the oral cavity: Physiological and pathological implications. J. Periodontal. Res. 2015, 50, 9–17. [Google Scholar] [CrossRef]
- Czesnikiewicz-Guzik, M.; Konturek, S.J.; Loster, B.; Wisniewska, G.; Majewski, S. Melatonin and its role in oxidative stress related diseases of oral cavity. J. Physiol. Pharm. 2007, 58, 5–19. [Google Scholar]
- Dakshayani, K.B.; Subramanian, P.; Manivasagam, T.; Essa, M.M.; Manoharan, S. Melatonin modulates the oxidant-antioxidant imbalance during N-nitrosodiethylamine induced hepatocarcinogenesis in rats. J. Pharm. Pharm. Sci. 2005, 8, 316–321. [Google Scholar]
- Pekarkova, I.; Parara, S.; Holecek, V.; Stopka, P.; Trefil, L.; Racek, J.; Rokyta, R. Does exogenous melatonin influence the free radicals metabolism and pain sensation in rat? Physiol. Res. 2001, 50, 595–602. [Google Scholar]
- Withyachumnarnkul, B.; Wongprapairot, P.; Trakulrungsi, W. Dynamic uptake of radioactive substance in rat salivary gland following 3H-melatonin administration. J. Pineal Res. 1987, 4, 169–175. [Google Scholar] [CrossRef]
- Tan, D.X.; Manchester, L.C.; Reiter, R.J.; Qi, W.B.; Karbownik, M.; Calvo, J.R. Significance of melatonin in antioxidative defense system: Reactions and products. Biol. Signals Recept 2000, 9, 137–159. [Google Scholar] [CrossRef]


| Material | Composition |
|---|---|
| Pro-Root MTA | Calcium oxide, silicone dioxide, aluminum oxide, bismuth oxide, purified water. |
| Melatonin | Melatonin 5 mg, corn starch 245 mg, distilled water. |
| Histological Parameters | Scores |
|---|---|
| Inflammation | 0—absence of inflammation |
| 1—mild inflammation | |
| 2—moderate inflammation | |
| 3—severe inflammation | |
| 4—abscess | |
| Necrosis | 0—absence |
| 1—presence | |
| Dentinal bridge formation and reparative dentin | 0—presence |
| 1—absence | |
| Odontoblastic layer | 0—regular |
| 1—irregular | |
| 2—absence | |
| Fibrotic tissue | 0—absence |
| 1—presence |
| Criteria | Degree | MTA | Melatonin | MTA + Melatonin p.o. | Melatonin + Melatonin p.o. |
|---|---|---|---|---|---|
| Inflammation | 0 | 100% | 100% | 100% | 87.5% |
| 1 | |||||
| 2 | 12.5% | ||||
| 3 | |||||
| 4 | |||||
| Necrosis | 0 | 100% | 100% | 100% | 87.5% |
| 1 | 12.5% | ||||
| Dentinal-bridge formation and reparative dentin | 0 | 87.5% | 75% | 81.25% | 50% |
| 1 | 12.5% | 25% | 18.75% | 50% | |
| Odontoblastic layer | 0 | 100% | 81.25% | 87.5% | 87.5% |
| 1 | 12.5% | ||||
| 2 | 18.75% | 12.5% | |||
| Fibrotic tissue | 0 | 18.75% | 12.5% | ||
| 1 | 100% | 81.25% | 100% | 87.5% |
© 2020 by the authors. Licensee MDPI, Basel, Switzerland. This article is an open access article distributed under the terms and conditions of the Creative Commons Attribution (CC BY) license (http://creativecommons.org/licenses/by/4.0/).
Share and Cite
Guerrero-Gironés, J.; Alcaina-Lorente, A.; Ortiz-Ruiz, C.; Ortiz-Ruiz, E.; Pecci-Lloret, M.P.; Rodríguez-Lozano, F.J.; Martínez, C.M.; Ortiz-Ruiz, A.J. Melatonin as an Agent for Direct Pulp-Capping Treatment. Int. J. Environ. Res. Public Health 2020, 17, 1043. https://doi.org/10.3390/ijerph17031043
Guerrero-Gironés J, Alcaina-Lorente A, Ortiz-Ruiz C, Ortiz-Ruiz E, Pecci-Lloret MP, Rodríguez-Lozano FJ, Martínez CM, Ortiz-Ruiz AJ. Melatonin as an Agent for Direct Pulp-Capping Treatment. International Journal of Environmental Research and Public Health. 2020; 17(3):1043. https://doi.org/10.3390/ijerph17031043
Chicago/Turabian StyleGuerrero-Gironés, Julia, Antonia Alcaina-Lorente, Clara Ortiz-Ruiz, Eduardo Ortiz-Ruiz, María P. Pecci-Lloret, Francisco Javier Rodríguez-Lozano, Carlos M. Martínez, and Antonio José Ortiz-Ruiz. 2020. "Melatonin as an Agent for Direct Pulp-Capping Treatment" International Journal of Environmental Research and Public Health 17, no. 3: 1043. https://doi.org/10.3390/ijerph17031043
APA StyleGuerrero-Gironés, J., Alcaina-Lorente, A., Ortiz-Ruiz, C., Ortiz-Ruiz, E., Pecci-Lloret, M. P., Rodríguez-Lozano, F. J., Martínez, C. M., & Ortiz-Ruiz, A. J. (2020). Melatonin as an Agent for Direct Pulp-Capping Treatment. International Journal of Environmental Research and Public Health, 17(3), 1043. https://doi.org/10.3390/ijerph17031043

