Ambulance Transport of Patients with Mild Conditions in Hokkaido, Japan
Abstract
1. Introduction
2. Materials and Methods
2.1. Study Population
2.2. Ambulance Transport Data
2.3. Additional Statistical Variables
2.4. Outcome Measurement and Descriptive Analysis
2.5. Statistical Analysis
2.6. Ethical Considerations
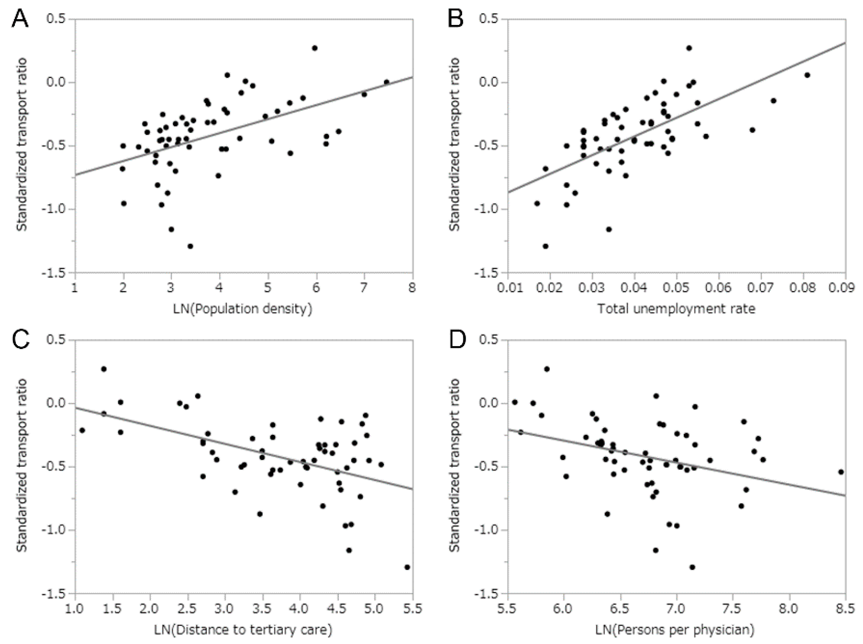
3. Results
4. Discussion
5. Conclusions
Author Contributions
Funding
Acknowledgments
Conflicts of Interest
References
- Overview of the 2018 White Paper on Fire Service. Available online: https://www.fdma.go.jp/publication/hakusho/h30/chapter2/section4/38607.html (accessed on 20 December 2019).
- Squire, B.T.; Tamayo, A.; Tamayo-Sarver, J.H. At-Risk Populations and the Critically Ill Rely Disproportionately on Ambulance Transport to Emergency Departments. Ann. Emerg. Med. 2010, 56, 341–347. [Google Scholar] [CrossRef] [PubMed]
- Tokuda, Y.; Abe, T.; Ishimatsu, S.; Hinohara, S. Ambulance Transport of the Oldest Old in Tokyo: A Population-Based Study. J. Epidemiol. 2010, 20, 468–472. [Google Scholar] [CrossRef] [PubMed]
- Huang, C.C.; Chen, W.L.; Hsu, C.C.; Lin, H.J.; Su, S.B.; G, H.R.; Chen, P.C. Elderly and Nonelderly Use of a Dedicated Ambulance Corps’ Emergency Medical Services in Taiwan. BioMed. Res. Int. 2016, 2016, 1506436. [Google Scholar] [CrossRef] [PubMed]
- Horibata, K.; Takemura, Y. Inappropriate Use of Ambulance Services by Elderly Patients with Less Urgent Medical Needs. Tohoku J. Exp. 2015, 235, 89–95. [Google Scholar] [CrossRef] [PubMed]
- Dinh, M.M.; Russell, S.B.; Bein, K.J.; Chalkley, D.R.; Muscatello, D.; Paoloni, R.; Ivers, R. Statewide retrospective study of low acuity emergency presentations in New South Wales, Australia: who, what, where and why? BMJ Open 2016, 6, e010964. [Google Scholar] [CrossRef] [PubMed]
- Morley, C.; Stankovich, J.; Peterson, G.; Kinsman, L. Planning for the future: Emergency department presentation patterns in Tasmania, Australia. Int. Emerg. Nurs. 2018, 38, 34–40. [Google Scholar] [CrossRef] [PubMed]
- Unwin, M.; Crisp, E.; Rigby, S.; Kinsman, L. Investigating the referral of patients with non-urgent conditions to a regional Australian emergency department: a study protocol. BMC Health Serv. Res. 2018, 18, 647. [Google Scholar] [CrossRef] [PubMed]
- Durant, E.; Fahimi, J. Factors Associated with Ambulance Use Among Patients with Low-Acuity Conditions. Prehosp. Emerg. Care 2012, 16, 329–337. [Google Scholar] [CrossRef] [PubMed]
- Unwin, M.; Kinsman, L.; Rigby, S. Why are we waiting? Patients’ perspectives for accessing emergency department services with non-urgent complaints. Int. Emerg. Nurs. 2016, 29, 3–8. [Google Scholar] [CrossRef] [PubMed]
- Japanese government. Population Census. 2015. Available online: https://www.e-stat.go.jp/en/stat-search/files?page=1&query=national%20census%202015&layout=dataset&metadata=1&data=1 (accessed on 25 December 2019).
- Hokkaido prefecture. Population Distribution by 5-year age-group for each Municipality in Hokkaido 2016. Available online: http://www.pref.hokkaido.lg.jp/ss/tuk/900brr/index2.htm#jump1 (accessed on 25 December 2019).
- Overview of Implementation of Public Assistance in Hokkaido 2017. Available online: http://www.pref.hokkaido.lg.jp/hf/feg/h29gaiyou03_1.pdf (accessed on 25 December 2019).
- Japanese Government. e-Stat. Available online: https://www.e-stat.go.jp/regional-statistics/ssdsview/municipality (accessed on 25 December 2019).
- Google Maps. Available online: https://www.google.co.jp/maps (accessed on 25 December 2019).
- Ministry of Health, Labour and Welfare, Japan. Survey of Physicians, Dentists and Pharmacists. 2016. Available online: https://www.e-stat.go.jp/stat-search/files?page=1&layout=datalist&toukei=00450026&tstat=000001030962&cycle=7&year=20160&month=0&tclass1=000001109395&tclass2=000001110555 (accessed on 25 December 2019).
- The List of Primary and Secondary Care Hospitals in Hokkaido. 2016. Available online: https://www.city.sapporo.jp/hokenjo/f4imuyaku/f77tuuti/tuutilistimu/documents/07list.pdf (accessed on 25 December 2019).
- Report of hospital and medical service functions in Hokkaido. 2016. Available online: http://www.pref.hokkaido.lg.jp/hf/iyk/iry/imu/byousyoukinou.htm (accessed on 25 December 2019).
- Fire and Disaster Management Agency, Japan. Handbook of National Fire Department. 2017. Available online: https://www.fdma.go.jp/publication/handbook/assets/handbook001_03_h25.pdf (accessed on 25 December 2019).
- Geographic Information Analysis Support System MANDARA10. Available online: http://ktgis.net/mandara/ (accessed on 25 December 2019).
- Barratt, H.; Rojas-G, A.; Clarke, K.; Moore, A.; Whittington, C.; Stockton, S.; Thomas, J.; Pilling, S.; Raine, R. Epidemiology of Mental Health Attendances at Emergency Departments: Systemic Review and Meta-Analysis. PLoS ONE 2016, 11, e0154449. [Google Scholar] [CrossRef] [PubMed]
- Nagamine, K.; Nishinaka, T.; Onda, J. On the correlation between ambulance call contents and severity. 2012. Available online: https://www.kitakyu-cho.jp/yahata/2019/07/seishinkanja_kyukyuhanso_bassui.pdf (accessed on 26 January 2020).
- Rucker, D.W.; Edwards, R.A.; Burstin, H.R.; O’Neil, A.C.; Brennan, T.A. Patient-specific predictors of ambulance use. Ann. Emerg. Med. 1997, 29, 484–491. [Google Scholar] [CrossRef]
- Sepehrvand, N.; Alemayehu, W.; Kaul, P.; Pelletier, R.; Bello, A.K.; Welsh, R.C.; Armstrong, P.W.; Ezekowitz, J.A. Ambulance use, distance and outcomes in patients with suspected cardiovascular disease: a registry based geographic information system study. Eur. Heart J. Acute Cardiovasc. Care. 2020, in press. [Google Scholar] [CrossRef] [PubMed]
- Kawakami, C.; Ohshige, K.; Kubota, K.; Tochikubo, O. Influence of socioeconomic factors on medically unnecessary ambulance calls. BMC Health Serv. Res. 2007, 7, 120. [Google Scholar] [CrossRef] [PubMed]
- Tadros, A.; Layman, S.M.; Brewer, M.P.; Davis, S.M. A 5-year of ED visits by homeless and nonhomeless patients. Am. J. Emerg. Med. 2016, 34, 805–808. [Google Scholar] [CrossRef] [PubMed]
- Tyler, J.V. Explanation in Causal Inference: Methods for Mediation and Interaction; Oxford University Press: New York, NY, USA, 2015; pp. 1–706. [Google Scholar]




| All Transport and Severity | All Transport Classified As Mild | Brain and Neurology | Heart Diseases | Gastrointestinal Disorders | Respiratory Diseases | Psychiatric Disorders | Sensory Organ Disorders | Urinary Tract Disorders | Neoplasms | |
|---|---|---|---|---|---|---|---|---|---|---|
| Population density † | 0.42 (<0.01) ‡ | 0.50 (<0.01) ‡ | 0.04 (0.74) | 0.33 (0.01) ‡ | 0.40 (<0.01) ‡ | 0.44 (<0.01) ‡ | 0.45 (<0.01) ‡ | 0.01 (0.95) | 0.41 (<0.01) ‡ | 0.25 (0.06) |
| Proportion of working-age adults | 0.00 (0.98) | 0.10 (0.45) | −0.11 (0.41) | 0.02 (0.89) | 0.17 (0.20) | 0.07 (0.62) | 0.34 (<0.01) ‡ | −0.00 (0.98) | 0.12 (0.36) | 0.46 (<0.01) ‡ |
| Rate of public assistance | 0.46 (<0.01) ‡ | 0.41 (<0.01) ‡ | 0.02 (0.86) | 0.32 (0.02) ‡ | 0.25 (0.06) | 0.26 (0.05) | 0.21 (0.11) | 0.18 (0.18) | 0.12 (0.38) | 0.10 (0.45) |
| Total unemployment rate | 0.66 (<0.01) ‡ | 0.66 (<0.01) ‡ | 0.13 (0.35) | 0.51 (<0.01) ‡ | 0.43 (<0.01) ‡ | 0.48 (<0.01) ‡ | 0.31 (0.02) ‡ | 0.23 (0.09) | 0.50 (<0.01) ‡ | 0.09 (0.50) |
| Proportion of one-person household | −0.01 (0.94) | 0.02 (0.91) | −0.19 (0.16) | −0.02 (0.87) | −0.13 (0.32) | 0.13 (0.32) | 0.13 (0.34) | −0.01 (0.95) | −0.19 (0.16) | −0.14 (0.28) |
| Distance to tertiary care † | -0.50 (<0.01) ‡ | -0.52 (<0.01) ‡ | −0.11 (0.41) | −0.24 (0.07) | -0.33 (0.01) ‡ | -0.40 (<0.01) ‡ | -0.32 (0.01) ‡ | −0.16 (0.23) | -0.49 (<0.01) ‡ | −0.15 (0.26) |
| Persons per physician † | −0.24 (0.06) | -0.35 (0.01) ‡ | 0.02 (0.88) | −0.09 (0.50) | −0.20 (0.13) | -0.42 (<0.01) ‡ | -0.56 (<0.01) ‡ | 0.02 (0.89) | −0.22 (0.11) | −0.19 (0.15) |
| Persons per hospital bed † | −0.16 (0.22) | −0.13 (0.33) | −0.01 (0.93) | −0.13 (0.33) | −0.08 (0.56) | −0.06 (0.65) | 0.15 (0.25) | −0.19 (0.15) | −0.02 (0.89) | 0.19 (0.15) |
| Variables | Correlation Coefficient | p-Value | |
|---|---|---|---|
| All transport and severity | Rate of public assistance | 2.67 | 0.12 |
| (R2=0.54) | Total unemployment rate | 6.31 | <0.01 |
| Distance to tertiary care † | −0.06 | <0.01 | |
| All transport classified as mild | Total unemployment rate | 12.45 | <0.01 |
| (R2=0.53) | Distance to tertiary care † | −0.10 | <0.01 |
| Heart Disease | Total unemployment rate | 15.49 | <0.01 |
| (R2=0.25) | |||
| Gastrointestinal Disorders | Population density † | 0.07 | 0.23 |
| (R2=0.21) | Total unemployment rate | 11.17 | 0.06 |
| Distance to tertiary care † | −0.09 | 0.18 | |
| Respiratory Diseases | Total unemployment rate | 13.50 | <0.01 |
| (R2=0.31) | Distance to tertiary care † | −0.09 | 0.15 |
| Persons per physician † | −0.20 | 0.06 | |
| Psychiatric disorders | Proportion of working adults | 1.21 | 0.01 |
| (R2=0.38) | Total unemployment rate | 2.99 | 0.03 |
| Persons per physician † | −0.11 | <0.01 | |
| Urinary tract disorders | Total unemployment rate | 16.58 | <0.01 |
| (R2=0.36) | Distance to tertiary care † | −0.19 | <0.01 |
| Neoplasms | Proportion of working adults | 3.77 | <0.01 |
| (R2=0.32) |
© 2020 by the authors. Licensee MDPI, Basel, Switzerland. This article is an open access article distributed under the terms and conditions of the Creative Commons Attribution (CC BY) license (http://creativecommons.org/licenses/by/4.0/).
Share and Cite
Yazaki, H.; Nishiura, H. Ambulance Transport of Patients with Mild Conditions in Hokkaido, Japan. Int. J. Environ. Res. Public Health 2020, 17, 919. https://doi.org/10.3390/ijerph17030919
Yazaki H, Nishiura H. Ambulance Transport of Patients with Mild Conditions in Hokkaido, Japan. International Journal of Environmental Research and Public Health. 2020; 17(3):919. https://doi.org/10.3390/ijerph17030919
Chicago/Turabian StyleYazaki, Hiroshi, and Hiroshi Nishiura. 2020. "Ambulance Transport of Patients with Mild Conditions in Hokkaido, Japan" International Journal of Environmental Research and Public Health 17, no. 3: 919. https://doi.org/10.3390/ijerph17030919
APA StyleYazaki, H., & Nishiura, H. (2020). Ambulance Transport of Patients with Mild Conditions in Hokkaido, Japan. International Journal of Environmental Research and Public Health, 17(3), 919. https://doi.org/10.3390/ijerph17030919

