The Influence of Different Forest Characteristics on Non-point Source Pollution: A Case Study at Chaohu Basin, China
Abstract
1. Introduction
2. Materials and Methods
2.1. Study Area
2.2. Nitrogen and Phosphorus Output Simulation
2.2.1. The Model of SWAT
2.2.2. The SWAT Datasets
2.2.3. SWAT Model Setup
2.2.4. Calibration and Validation of SWAT
2.3. Characteristics of The Forest
3. Results
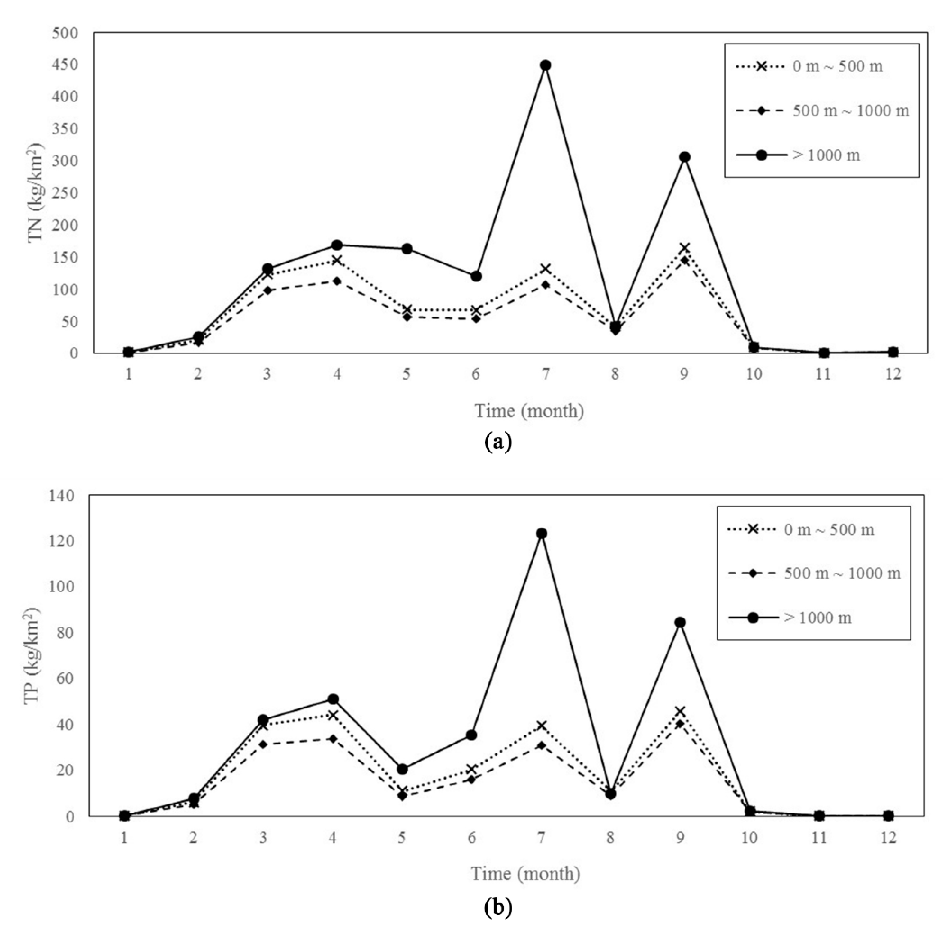
3.1. The Output of TN and TP
3.2. Impact of FLTs on TN and TP Output
3.3. Impact of WFC on TN and TP Output
3.4. Impact of DFR on TN and TP Output
4. Discussion
4.1. The Response of Forest Characteristics to TN and TP
4.2. Optimized Allocation of Forestland
4.3. Research Issues and Prospects
5. Conclusions
- (1)
- SWAT was able to simulate the monthly nutrients outputs after the calibration with great performance in HB, and the TN total and TP showed similar output characteristics.
- (2)
- Among the three forest feature selections of FLTs, WFC and DFR, the effects of WFC and DFR on nutrient output in the basin are greater than FLTs. The FRST had lowest watershed nutrients outputs (TN and TP), the WFC had negative correction with watershed nutrients outputs, higher of the WFC, the lower of outputs, DFR had an uncertain effect on the TN and TP output of the basin.
- (3)
- Based on FLTs, WFC, DFR, the optimal allocation model of forestland is proposed. High coverage forest near the river are recommended for planting in the mountain area, and the forest zone within 500 m of the river was advised in the plain area, which will provide a scheme for basin surface source pollution prevention and control.
Author Contributions
Funding
Acknowledgments
Conflicts of Interest
References
- Himanshu, S.K.; Pandey, A.; Yadav, B.; Gupta, A. Evaluation of best management practices for sediment and nutrient loss control using SWAT model. Soil Tillage Res. 2019, 192, 42–58. [Google Scholar] [CrossRef]
- Lin, C.; Ma, R.; Xiong, J. Can the watershed non-point phosphorus pollution be interpreted by critical soil properties? A new insight of different soil P states. Sci. Total Environ. 2018, 628–629, 870–881. [Google Scholar] [CrossRef] [PubMed]
- Liu, L.; Dong, Y.; Kong, M.; Zhou, J.; Zhao, H.; Tang, Z.; Zhang, M.; Wang, Z. Insights into the long-term pollution trends and sources contributions in Lake Taihu, China using multi-statistic analyses models. Chemosphere 2020, 242, 125272. [Google Scholar] [CrossRef] [PubMed]
- Ongley, E.D.; Xiaolan, Z.; Tao, Y. Current status of agricultural and rural non-point source Pollution assessment in China. Env. Pollut. 2010, 158, 1159–1168. [Google Scholar] [CrossRef]
- Tong, S.T.Y.; Chen, W. Modeling the relationship between land use and surface water quality. J. Environ. Manag. 2002, 66, 377–393. [Google Scholar] [CrossRef]
- Zhao, T.; Xu, H.; He, Y.; Tai, C.; Meng, H.; Zeng, F.; Xing, M. Agricultural non-point nitrogen pollution control function of different vegetation types in riparian wetlands: A case study in the Yellow River wetland in China. J. Environ. Sci. 2009, 21, 933–939. [Google Scholar] [CrossRef]
- Wang, Q.; Liu, R.; Men, C.; Guo, L. Application of genetic algorithm to land use optimization for non-point source pollution control based on CLUE-S and SWAT. J. Hydrol. 2018, 560, 86–96. [Google Scholar] [CrossRef]
- Shi, P.; Zhang, Y.; Li, Z.; Li, P.; Xu, G. Influence of land use and land cover patterns on seasonal water quality at multi-spatial scales. Catena 2017, 151, 182–190. [Google Scholar] [CrossRef]
- Wang, G.; Li, J.; Sun, W.; Xue, B.A.Y.; Liu, T. Non-point source pollution risks in a drinking water protection zone based on remote sensing data embedded within a nutrient budget model. Water Res. 2019, 157, 238–246. [Google Scholar] [CrossRef]
- Leone, A.; Ripa, M.N.; Uricchio, V.; Deák, J.; Vargay, Z. Vulnerability and risk evaluation of agricultural nitrogen pollution for Hungary’s main aquifer using DRASTIC and GLEAMS models. J. Environ. Manag. 2009, 90, 2969–2978. [Google Scholar] [CrossRef]
- Wang, J.; Zhao, J.; Lei, X.; Wang, H. An effective method for point pollution source identification in rivers with performance-improved ensemble Kalman filter. J. Hydrol. 2019, 577, 123991. [Google Scholar] [CrossRef]
- Bauwe, A.; Eckhardt, K.-U.; Lennartz, B. Predicting dissolved reactive phosphorus in tile-drained catchments using a modified SWAT model. Ecohydrol. Hydrobiol. 2019, 19, 198–209. [Google Scholar] [CrossRef]
- Shen, Z.-Y.; Hong, Q.; Yu, H.; Niu, J.-F. Parameter uncertainty analysis of non-point source pollution from different land use types. Sci. Total Environ. 2010, 408, 1971–1978. [Google Scholar] [CrossRef] [PubMed]
- Ouyang, W.; Jiao, W.; Li, X.; Giubilato, E.; Critto, A. Long-term agricultural non-point source pollution loading dynamics and correlation with outlet sediment geochemistry. J. Hydrol. 2016, 540, 379–385. [Google Scholar] [CrossRef]
- Guo, W.; Fu, Y.; Ruan, B.; Ge, H.; Zhao, N. Agricultural non-point source pollution in the Yongding River Basin. Ecol. Indic. 2014, 36, 254–261. [Google Scholar] [CrossRef]
- Bender, M.A.; dos Santos, D.R.; Tiecher, T.; Minella, J.P.G.; de Barros, C.A.P.; Ramon, R. Phosphorus dynamics during storm events in a subtropical rural catchment in southern Brazil. Agric. Ecosyst. Environ. 2018, 261, 93–102. [Google Scholar] [CrossRef]
- Han, L.-X.; Fei, H.; Sun, J. Method for calculating non-point source pollution distribution in plain rivers. Water Sci. Eng. 2011, 4, 83–91. [Google Scholar] [CrossRef]
- Zhang, H.; Huang, G.H. Assessment of non-point source pollution using a spatial multicriteria analysis approach. Ecol. Model. 2011, 222, 313–321. [Google Scholar] [CrossRef]
- Ouyang, W.; Huang, H.; Hao, F.; Shan, Y.; Guo, B. Evaluating spatial interaction of soil property with non-point source pollution at watershed scale: The phosphorus indicator in Northeast China. Sci. Total Environ. 2012, 432, 412–421. [Google Scholar] [CrossRef]
- Mello, K.D.; Valente, R.A.; Randhir, T.O.; dos Santos, A.C.A.; Vettorazzi, C.A. Effects of land use and land cover on water quality of low-order streams in Southeastern Brazil: Watershed versus riparian zone. Catena 2018, 167, 130–138. [Google Scholar] [CrossRef]
- Wu, J.; Lu, J. Landscape patterns regulate non-point source nutrient pollution in an agricultural watershed. Sci. Total Environ. 2019, 669, 377–388. [Google Scholar] [CrossRef] [PubMed]
- Lee, S.-W.; Hwang, S.-J.; Lee, S.-B.; Hwang, H.-S.; Sung, H.-C. Landscape ecological approach to the relationships of land use patterns in watersheds to water quality characteristics. Landsc. Urban Plan. 2009, 92, 80–89. [Google Scholar] [CrossRef]
- Zhou, Y.; Xu, J.F.; Yin, W.; Ai, L.; Fang, N.F.; Tan, W.F.; Yan, F.L.; Shi, Z.H. Hydrological and environmental controls of the stream nitrate concentration and flux in a small agricultural watershed. J. Hydrol. 2017, 545, 355–366. [Google Scholar] [CrossRef]
- Billy, C.; Birgand, F.; Ansart, P.; Peschard, J.; Sebilo, M.; Tournebize, J. Factors controlling nitrate concentrations in surface waters of an artificially drained agricultural watershed. Landsc. Ecol. 2013, 28, 665–684. [Google Scholar] [CrossRef]
- Jiang, R.; Hatano, R.; Zhao, Y.; Kuramochi, K.; Hayakawa, A.; Woli, K.P.; Shimizu, M. Factors controlling nitrogen and dissolved organic carbon exports across timescales in two watersheds with different land uses. Hydrol. Process. 2014, 28, 5105–5121. [Google Scholar] [CrossRef]
- Liu, R.; Zhang, P.; Wang, X.; Chen, Y.; Shen, Z. Assessment of effects of best management practices on agricultural non-point source pollution in Xiangxi River watershed. Agric. Water Manag. 2013, 117, 9–18. [Google Scholar] [CrossRef]
- Bonnesoeur, V.; Locatelli, B.; Guariguata, M.R.; Ochoa-Tocachi, B.F.; Vanacker, V.; Mao, Z.; Stokes, A.; Mathez-Stiefel, S.-L. Impacts of forests and forestation on hydrological services in the Andes: A systematic review. For. Ecol. Manag. 2019, 433, 569–584. [Google Scholar] [CrossRef]
- White, M.D.; Greer, K.A. The effects of watershed urbanization on the stream hydrology and riparian vegetation of Los Peñasquitos Creek, California. Landsc. Urban Plan. 2006, 74, 125–138. [Google Scholar] [CrossRef]
- Neary, D.G.; Ice, G.G.; Jackson, C.R. Linkages between forest soils and water quality and quantity. For. Ecol. Manag. 2009, 258, 2269–2281. [Google Scholar] [CrossRef]
- Blainski, É.; Porras, E.A.A.; Garbossa, L.H.P.; Pinheiro, A. Simulation of land use scenarios in the Camboriú River Basin using the SWAT model. RBRH 2017, 22. [Google Scholar] [CrossRef]
- Xu, K.; Wang, Y.; Su, H.; Yang, J.; Li, L.; Liu, C. Effect of land-use changes on nonpoint source pollution in the Xizhi River watershed, Guangdong, China. Hydrol. Process. 2013, 27, 2557–2566. [Google Scholar] [CrossRef]
- Brookshire, E.N.J.; Hedin, L.O.; Newbold, J.D.; Sigman, D.M.; Jackson, J.K. Sustained losses of bioavailable nitrogen from montane tropical forests. Nat. Geosci. 2012, 5, 123–126. [Google Scholar] [CrossRef]
- Brown, A.E.; Western, A.W.; McMahon, T.A.; Zhang, L. Impact of forest cover changes on annual streamflow and flow duration curves. J. Hydrol. 2013, 483, 39–50. [Google Scholar] [CrossRef]
- Zhang, X.; Zhang, L.; Zhao, J.; Rustomji, P.; Hairsine, P. Responses of streamflow to changes in climate and land use/cover in the Loess Plateau, China. Water Resour. Res. 2008, 44. [Google Scholar] [CrossRef]
- Cecílio, R.A.; Pimentel, S.M.; Zanetti, S.S. Modeling the influence of forest cover on streamflows by different approaches. Catena 2019, 178, 49–58. [Google Scholar] [CrossRef]
- Blair, N.E.; Aller, R.C. The fate of terrestrial organic carbon in the marine environment. Ann. Rev. Mar. Sci. 2012, 4, 401–423. [Google Scholar] [CrossRef]
- Bechmann, M.; Stalnacke, P.; Kvaerno, S.; Eggestad, H.O.; Oygarden, L. Integrated tool for risk assessment in agricultural management of soil erosion and losses of phosphorus and nitrogen. Sci. Total Environ. 2009, 407, 749–759. [Google Scholar] [CrossRef]
- Wei, C.; Hu, C.; Chen, J.; Song, X. Application of SWAT model and realization of hydrological adjusting function of forests on different slopes. J. Hydroelectr. Eng. 2014, 33, 98–111. [Google Scholar]
- Yang, Q.; Almendinger, J.E.; Zhang, X.; Huang, M.; Chen, X.; Leng, G.; Zhou, Y.; Zhao, K.; Asrar, G.R.; Srinivasan, R.; et al. Enhancing SWAT simulation of forest ecosystems for water resource assessment: A case study in the St. Croix River basin. Ecol. Eng. 2018, 120, 422–431. [Google Scholar] [CrossRef]
- Lin, C.; Huang, C.; Ma, R.; Ma, Y. Can the watershed non-point source phosphorus flux amount be reflected by lake sediment? Ecol. Indic. 2019, 102, 118–130. [Google Scholar] [CrossRef]
- Xu, X.; Sun, C.; Huang, G.; Mohanty, B.P. Global sensitivity analysis and calibration of parameters for a physically-based agro-hydrological model. Environ. Model. Softw. 2016, 83, 88–102. [Google Scholar] [CrossRef]
- Xu, G.; Li, P.; Lu, K.; Tantai, Z.; Zhang, J.; Ren, Z.; Wang, X.; Yu, K.; Shi, P.; Cheng, Y. Seasonal changes in water quality and its main influencing factors in the Dan River basin. Catena 2019, 173, 131–140. [Google Scholar] [CrossRef]
- Aponte, C.; García, L.V.; Marañón, T. Tree species effects on nutrient cycling and soil biota: A feedback mechanism favouring species coexistence. For. Ecol. Manag. 2013, 309, 36–46. [Google Scholar] [CrossRef]
- Bhatta, B.; Shrestha, S.; Shrestha, P.K.; Talchabhadel, R. Evaluation and application of a SWAT model to assess the climate change impact on the hydrology of the Himalayan River Basin. Catena 2019, 181, 104082. [Google Scholar] [CrossRef]
- Yao, Y.; Liang, S.; Cheng, J.; Lin, Y.; Jia, K.; Liu, M. Impacts of Deforestation and Climate Variability on Terrestrial Evapotranspiration in Subarctic China. Forests 2014, 5, 2542. [Google Scholar] [CrossRef]
- Gu, C.; Wilson, S.; Margenot, A. Lithological and bioclimatic impacts on soil phosphatase activities in California temperate forests. Soil Biol. Biochem. 2019, 141, 107633. [Google Scholar] [CrossRef]
- Wilson, S.G. Influence of Climate and Lithology on Soil Phosphorus. Available online: https://ui.adsabs.harvard.edu/abs/2016AGUFM.B54E..04W/abstract (accessed on 27 February 2020).
- Sprenger, M.; Oelmann, Y.; Weihermüller, L.; Wolf, S.; Wilcke, W.; Potvin, C. Tree species and diversity effects on soil water seepage in a tropical plantation. For. Ecol. Manag. 2013, 309, 76–86. [Google Scholar] [CrossRef]
- Liu, Y.; Tao, Y.; Wan, K.Y.; Zhang, G.S.; Liu, D.B.; Xiong, G.Y.; Chen, F. Runoff and nutrient losses in citrus orchards on sloping land subjected to different surface mulching practices in the Danjiangkou Reservoir area of China. Agric. Water Manag. 2012, 110, 34–40. [Google Scholar] [CrossRef]
- Li, H.; Wu, F.; Yang, W.; Xu, L.; Ni, X.; He, J.; Tan, B.; Hu, Y. Effects of Forest Gaps on Litter Lignin and Cellulose Dynamics Vary Seasonally in an Alpine Forest. Forests 2016, 7, 27. [Google Scholar] [CrossRef]
- Mendes, N.G.d.S.; Cecílio, R.A.; Zanetti, S.S. Forest Coverage and Streamflow of Watersheds in the Tropical Atlantic Rainforest. Rev. Árvore 2018, 42. [Google Scholar] [CrossRef]
- Zhang, M.; Liu, N.; Harper, R.; Li, Q.; Liu, K.; Wei, X.; Ning, D.; Hou, Y.; Liu, S. A global review on hydrological responses to forest change across multiple spatial scales: Importance of scale, climate, forest type and hydrological regime. J. Hydrol. 2017, 546, 44–59. [Google Scholar] [CrossRef]
- Li, C.H.; Wang, Y.K.; Ye, C.; Wei, W.W.; Zheng, B.H.; Xu, B. A proposed delineation method for lake buffer zones in watersheds dominated by non-point source pollution. Sci. Total Environ. 2019, 660, 32–39. [Google Scholar] [CrossRef] [PubMed]
- Fortier, J.; Truax, B.; Gagnon, D.; Lambert, F. Potential for Hybrid Poplar Riparian Buffers to Provide Ecosystem Services in Three Watersheds with Contrasting Agricultural Land Use. Forests 2016, 7, 37. [Google Scholar] [CrossRef]
- Vilmin, L.; Mogollón, J.M.; Beusen, A.H.W.; Bouwman, A.F. Forms and subannual variability of nitrogen and phosphorus loading to global river networks over the 20 th century. Glob. Planet. Chang. 2018, 163, 19. [Google Scholar] [CrossRef]
- Gorsevski, P.V.; Boll, J.; Gomezdelcampo, E.; Brooks, E.S. Dynamic riparian buffer widths from potential non-point source pollution areas in forested watersheds. For. Ecol. Manag. 2008, 256, 664–673. [Google Scholar] [CrossRef]
- Zhang, P.; Liu, Y.; Pan, Y.; Yu, Z. Land use pattern optimization based on CLUE-S and SWAT models for agricultural non-point source pollution control. Math. Comput. Model. 2013, 58, 588–595. [Google Scholar] [CrossRef]
- Chang, H. Spatial analysis of water quality trends in the Han River basin, South Korea. Water Res. 2008, 42, 3285–3304. [Google Scholar] [CrossRef]
- Sliva, L.; Williams, D.D. Buffer zone versus whole catchment approaches to studying land use impact on river water quality. Water Res. 2001, 35, 3462–3472. [Google Scholar] [CrossRef]
- Bu, H.; Meng, W.; Zhang, Y.; Wan, J. Relationships between land use patterns and water quality in the Taizi River basin, China. Ecol. Indic. 2014, 41, 187–197. [Google Scholar] [CrossRef]
- Giri, S.; Qiu, Z. Understanding the relationship of land uses and water quality in Twenty First Century: A review. J. Environ. Manag. 2016, 173, 41–48. [Google Scholar] [CrossRef]









| Data | Time | Resolution | Source |
|---|---|---|---|
| Digital elevation model | 90 m | Shuttle Radar Topography Mission (SRTM). The data was obtained from United States Geological Survey (USGS). | |
| Land use | 2015 | 30 m | Data Center for Geography and Limnology Science, Chinese Academy of Science, CAS (http://lake.geodata.cn). |
| Soil properties | 1987–2004 | 1 km | Harmonized World Soil Database (HWSD), which was built by The Food and Agriculture Organization of the United Nations (FAO) and the Vienna International Institute for Applied Systems (IIASA). |
| Climate data | 2007–2016 | 1/4 degree Day by day | The China Meteorological Assimilation Driving Datasets for the SWAT model (CMADS) The data set is provided by Cold and Arid Regions Sciences Data Center at Lanzhou (http://westdc.westgis.ac.cn) |
| Hydrological data | 2008–2011, 2012–2013 | Month by month | The database including Taoxi and Xiaotian hydrological monitoring station measured stream data (2008–2011) and Xinhe monitoring station measured monthly water quality data (2012–2013). |
| Runoff Parameter | Description | The Range of Values |
|---|---|---|
| CN2 | SCS runoff curve coefficient | −0.2~0.2 |
| ALPHA_BF | Base flow alpha coefficient | 0~1 |
| GW_DELAY | Groundwater lag time | 30~450 |
| GWQMN | Shallow depth of water | 0~2 |
| GW_REVAP | Groundwater evaporation coefficient | 0~0.2 |
| ESCO | Plant absorption compensation coefficient | 0.8~1.0 |
| CH_N2 | River Manning coefficient | 0~0.3 |
| CH_K2 | Effective channel conductivity | 5~130 |
| SOL_AWC | Soil available water | −0.2~0.4 |
| SOL_K | Soil saturated hydraulic conductivity | −0.8~0.8 |
| Parameter | Description | FRSD | FRSE | FRST |
|---|---|---|---|---|
| FRGW1 | Fraction of total potential heat units corresponding to the 1st point on the optimal leaf area development curve (dimensionless) | 0.05 | 0.15 | 0.05 |
| FRGW2 | Fraction of total potential heat units corresponding to the 2nd point on the optimal leaf area development curve (dimensionless) | 0.4 | 0.25 | 0.4 |
| LAIMX1 | Fraction of the maximum leaf area index corresponding to the 1st point on the optimal leaf area development curve (dimensionless) | 0.05 | 0.7 | 0.05 |
| LAIMX2 | Fraction of the maximum leaf area index corresponding to the 2nd point on the optimal leaf area development curve (dimensionless) | 0.95 | 0.99 | 0.95 |
| MAT-YRS | Number of years required for tree species to reach full development (years) | 10 | 30 | 50 |
| T-BASE | Base temperature for plant growth (°C) | 10 | 0 | 10 |
| CHTMX | Maximum canopy height (m) | 6 | 10 | 6 |
| WYSE | Lower limit of receiving index | 0.01 | 0.6 | 0.01 |
| CN2A | Initial SCS runoff curve number for moisture condition II n soil hydrological unit A of HRUs | 45 | 25 | 36 |
| CN2B | Initial SCS runoff curve number for moisture condition II n soil hydrological unit B of HRUs | 66 | 55 | 60 |
| CN2C | Initial SCS runoff curve number for moisture condition II n soil hydrological unit C of HRUs | 77 | 70 | 73 |
| CN2D | Initial SCS runoff curve number for moisture condition II n soil hydrological unit D of HRUs | 83 | 77 | 79 |
| Nutrients | Max (kg/km2) | Mean (kg/km2) | Min (kg/km2) |
|---|---|---|---|
| TN | 3095.83 | 1405.08 | 14.78 |
| TP | 70.37 | 394.08 | 0.002 |
| Type of Forest | TN (kg/km2) | TP (kg/km2) |
|---|---|---|
| FRST | 1244.73 | 341.39 |
| FRSE | 1458.68 | 407.36 |
| FRSD | 1513.98 | 423.78 |
| WFC (%) | TN (kg/km2) | TP (kg/km2) |
|---|---|---|
| 0–25 | 1827.23 | 507.92 |
| 25–50 | 1224.09 | 345.52 |
| 50–75 | 1251.43 | 377.80 |
| 75–100 | 791.26 | 236.39 |
| Region | Nutrients | Allocation of Forest Land | Output Intensity (kg/km2) | Number of Sub-Basins |
|---|---|---|---|---|
| Mountain area | TN | FRST + WFC D + DFR A | 14.47–433.04 | 5 |
| FRST + WFC A + DFR B | 41.76 | 1 | ||
| TP | FRST + WFC D + DFR A | 0.03~215.83 | 8 | |
| FRST + WFC A + DFR B | 7.79 | 1 | ||
| Plain area | TN | FRST + WFC A + DFR A | 241.34–1035.10 | 7 |
| FRST + WFC A + DFR B | 421.58–584.32 | 3 | ||
| FRST + WFC A + DFR C | 323.68–1213.65 | 6 | ||
| FRST + WFC B + DFR A | 460.05 | 1 | ||
| TP | FRST + WFC A + DFR A | 36.46–262.37 | 7 | |
| FRST + WFC A + DFR B | 94.62–147.28 | 2 | ||
| FRST + WFC A + DFR C | 63.39–297.31 | 7 | ||
| FRST + WFC B + DFR A | 121.47 | 1 |
© 2020 by the authors. Licensee MDPI, Basel, Switzerland. This article is an open access article distributed under the terms and conditions of the Creative Commons Attribution (CC BY) license (http://creativecommons.org/licenses/by/4.0/).
Share and Cite
Cheng, H.; Lin, C.; Wang, L.; Xiong, J.; Peng, L.; Zhu, C. The Influence of Different Forest Characteristics on Non-point Source Pollution: A Case Study at Chaohu Basin, China. Int. J. Environ. Res. Public Health 2020, 17, 1790. https://doi.org/10.3390/ijerph17051790
Cheng H, Lin C, Wang L, Xiong J, Peng L, Zhu C. The Influence of Different Forest Characteristics on Non-point Source Pollution: A Case Study at Chaohu Basin, China. International Journal of Environmental Research and Public Health. 2020; 17(5):1790. https://doi.org/10.3390/ijerph17051790
Chicago/Turabian StyleCheng, Hao, Chen Lin, Liangjie Wang, Junfeng Xiong, Lingyun Peng, and Chenxi Zhu. 2020. "The Influence of Different Forest Characteristics on Non-point Source Pollution: A Case Study at Chaohu Basin, China" International Journal of Environmental Research and Public Health 17, no. 5: 1790. https://doi.org/10.3390/ijerph17051790
APA StyleCheng, H., Lin, C., Wang, L., Xiong, J., Peng, L., & Zhu, C. (2020). The Influence of Different Forest Characteristics on Non-point Source Pollution: A Case Study at Chaohu Basin, China. International Journal of Environmental Research and Public Health, 17(5), 1790. https://doi.org/10.3390/ijerph17051790

