Postural Stability in Athletes during Special Hurdle Tests without a Definite Dominant Leg
Abstract
1. Introduction
1.1. Purpose
1.2. Research Questions
1.3. Hypotheses
2. Materials and Methods
2.1. Participants
2.2. Functional Test of the Dominant Leg
2.3. Postural Control Apparatus
2.4. Study Procedures for Postural Control Measurements
2.5. Statistical Methods
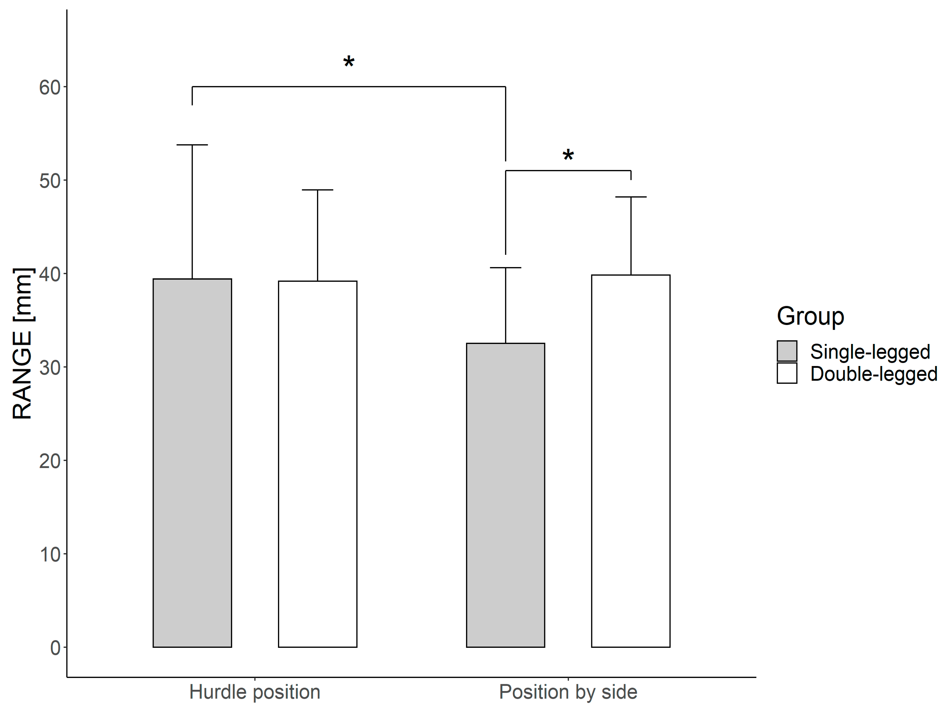
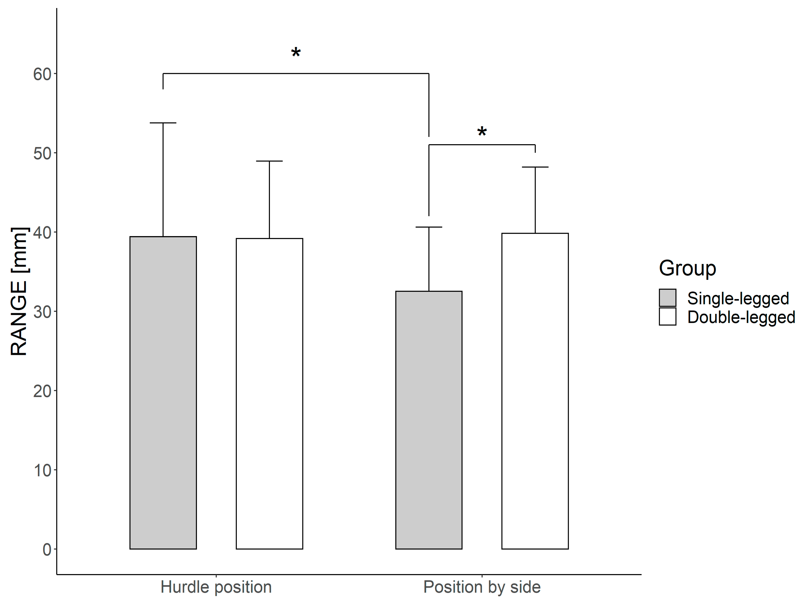
3. Results
4. Discussion
Limitations
5. Conclusions
Author Contributions
Funding
Institutional Review Board Statement
Informed Consent Statement
Data Availability Statement
Acknowledgments
Conflicts of Interest
References
- Bieć, E.; Kuczyński, M. Postural control in 13-year-old soccer players. Eur. J. Appl. Physiol. 2010, 110, 703–708. [Google Scholar] [CrossRef] [PubMed]
- Marcolin, G.; Rizzato, A.; Zuanon, J.; Bosco, G.; Paoli, A. Expertise level influences postural balance control in young gymnasts. J. Sports Med. Phys. Fit. 2019, 59, 593–599. [Google Scholar] [CrossRef] [PubMed]
- Kurz, E.; Faude, O.; Roth, R.; Zahner, L.; Donath, L. Ankle muscle activity modulation during single-leg stance differs between children, young adults and seniors. Eur. J. Appl. Physiol. 2018, 118, 239–247. [Google Scholar] [CrossRef] [PubMed]
- Zemková, E. Balance Readjustment after Different Forms of Exercise: A review. Int. J. Appl. Sports Sci. 2009, 21, 45–60. [Google Scholar]
- Paillard, T.; Noé, F. Techniques and Methods for Testing the Postural Function in Healthy and Pathological Subjects. Hindawi Publishing Corporation. BioMed Res. Int. 2015. [Google Scholar] [CrossRef]
- Boyd, R. Some fact about the 400 m hurdles. In The Hurdles: Contemporary Theory, Technique and Training, 4th ed.; Jarver, J., Ed.; Tafnews Press: Mountain View, CA, USA, 2004; pp. 115–118. [Google Scholar]
- Iskra, J.; Cóh, M. Biomechanical studies on running the 400 m hurdles. Hum. Mov. 2011, 12, 315–323. [Google Scholar] [CrossRef]
- Ozaki, Y.; Ueda, T.; Fukuda, T.; Inai, T.; Kido, E.; Narisako, D. Regulation of stride length during the approach run in the 400-m hurdles. J. Hum. Kinet. 2019, 69, 59–67. [Google Scholar] [CrossRef]
- Donker, S.F.; Roerdink, M.; Greven, A.J.; Beek, P.J. Regularity of center-of-pressure trajectories depends on the amount of attention invested in postural control. Exp. Brain Res. 2007, 181, 1–11. [Google Scholar] [CrossRef]
- Hildebrandt, C.; Müller, L.; ·Zisch, B.; Huber, R.; Fink, C.; Raschner, C. Functional assessments for decision‑making regarding return to sports following ACL reconstruction. Part I: Development of a new test battery. Knee Surg. Sports Traumatol. Arthrosc. 2015, 23, 1273–1281. [Google Scholar] [CrossRef]
- Iskra, J. Athlete Typology and Training Strategy in the 400 m Hurdles. Coach. Pract. New Stud. Athl. 2012, 27, 27–37. [Google Scholar]
- Iskra, J.; Marcinów, R.; Wojciechowska-Maszkowska, B.; Otsuka, M. Functional Laterality of the Lower Limbs Accompanying Special Exercises in the Context of Hurdling. Int. J. Environ. Res. Public Health 2019, 16, 4355. [Google Scholar] [CrossRef] [PubMed]
- Mkaouer, B.; Jemni, M.; Hammoudi-Nassib, S.; Amara, S.; Chaabene, H. Kinematic analysis of postural control in gymnasts vs. athletes practicing different sports. Sport Sci. Health 2017, 13, 573–581. [Google Scholar] [CrossRef]
- Koyama, K.; Yamauchi, J. Altered postural sway following fatiguing foot muscle exercises. PLoS ONE 2017, 12, e0189184. [Google Scholar] [CrossRef] [PubMed]
- McFarlane, B. The Science of Hurdling and Speed; Athletics Canada: Ottawa, ON, Canada, 2000; pp. 106–109. [Google Scholar]
- Guex, K. Kinematic analysis of the women’s 400m hurdles. New Stud. Athl. 2012, 29, 41–51. [Google Scholar]
- Mann, R.V.; Murphy, A. The Mechanics of Sprinting and Hurdling; CreateSpace Independent Publishing Platform: Las Vegas, NV, USA, 2018; pp. 308–310. [Google Scholar]
- Hyjek, K.; Piechota, K.; Iskra, J.; Pietrzak, M. The EMG analysis of hurdlers’ upper limb muscles in the period of specialized exercises. Sci. Rev. Phys. Cult. 2017, 2, 190–196. [Google Scholar]
- Ditroilo, M.; Marini, M. Analysis of the race distribution for male 400 m hurdles competing at the 2000 Sydney Olympic Games. New Stud. Athl. 2000, 16, 15–30. [Google Scholar]
- Iskra, J.; Walaszczyk, A. Types of stride pattern and time distribution in elite 400-m hurdlers. Motor Control 2007, 11, 185–186. [Google Scholar]
- Thompson, P. Introduction to Coaching: The Official IAAF Guide to Coaching Athletics; International Association of Athletics Federation: Monaco-Ville, Monaco, 2009. [Google Scholar]
- Iskra, J. Advanced Training in the Hurdles; Polish Athletic Association: Warsaw, Poland; Opole University of Technology: Opole, Poland, 2013; pp. 39–51. [Google Scholar]
- Winter, D.A. Human balance and posture control during standing and walking. Gait Posture 1995, 3, 193–214. [Google Scholar] [CrossRef]
- Winter, D.A.; Patla, A.E.; Prince, F.; Ishac, M.; Gielo-Perczak, K. Stiffness control of balance in quiet standing. J. Neurophysiol. 1998, 80, 1211–1221. [Google Scholar] [CrossRef]
- Paillard, T.; Noe, F. Does monopedal postural balance differ between the dominant leg and non-dominant leg: A review. Hum. Mov. Sci. 2020, 74. [Google Scholar] [CrossRef]
- Barone, R.; Macaluso, F.; Traina, M.; Leonardi, V.; Farina, F.; Di Felice, V. Soccer players have a better standing balance in nondominant one-legged stance. J. Sports Med. 2011, 2, 1–6. [Google Scholar] [CrossRef] [PubMed]
- Fransz, D.P.; Huurnink, A.; Kingma, I.; van Dieën, J.H. How does postural stability following a single leg drop jump landing task relate to postural stability during a single leg stance balance task? J. Biomech. 2014, 47, 3248–3253. [Google Scholar] [CrossRef] [PubMed]
- Michalska, J.; Kamieniarz, A.; Fredyk, A.; Bacik, B.; Juras, G.; Słomka, K.J. Effect of expertise in ballet dance on static and functional balance. Gait Posture 2018, 64, 68–74. [Google Scholar] [CrossRef] [PubMed]
- Ibuki, A.; Mani, H.; Takeda, K.; Hasegawa, N.; Yamamoto, K.; Maejima, H.; Asaka, T. Characteristic Relationship between the Centre of Pressure and the Centre of Mass During Quiet Standing in Female Ballet Dancers. Int. Phys. Med. Rehab. J. 2017, 1, 00009. [Google Scholar] [CrossRef]
- Zauhal, H.; Jabbour, G.; Jacob, C.; Duvigneau, D.; Botcazou, M.; Abderrahman, A.; Prioux, J.; Moussa, E. Anaerobic and Aerobic Energy System Contribution to 400-m Flat and 400-m Hurdles Track Running. J. Strength Cond. Res. 2010, 24, 2309–2315. [Google Scholar] [CrossRef]
- Prado, J.; Castanharo, R.; Vilela, M.; Duarte, M. Are We Asymmetric in Body Weight Distribution During Natural Standing? In Proceedings of the Congress XXIII, ISB 2011, Brussels, Belgium, 3–7 July 2011. [Google Scholar]
- Iskra, J. Changes of stride pattern of World class 400-m hurdlers—reasons and consequences. In International Convention on Science, Education and Medicine in Sport; People’s Sports Publishing House: Beijing, China, 2008; Volume 1, p. 159. [Google Scholar]
- Otsuka, M.; Isaka, T. Intra-athlete and inter-group comparisons: Running pace and step characteristics of elite athletes in the 400-m hurdles. PLoS ONE 2019, 14, e0204185. [Google Scholar] [CrossRef]
- Adkin, A.L.; Frank, J.S.; Carpenter, M.G.; Peysar, G.W. Postural control is scaled to level of postural threat. Gait Posture 2000, 12, 87–93. [Google Scholar] [CrossRef]
- Quinn, M.D. External effects in the 400-m hurdles race. J. Appl. Biomech. 2010, 26, 171–179. [Google Scholar] [CrossRef]
- Hyung-Seung, A. Effects of Balance and Kinematic Factors on Archery Score during Archery Shooting. J. Korea Converg. Soc. 2018, 9, 239–246. [Google Scholar] [CrossRef]
- Serrien, B.; Witterzeel, E.; Baeyens, J.P. The Uncontrolled Manifold Concept Reveals That the Structure of Postural Control in Recurve Archery Shooting Is Related to Accuracy. J. Funct. Morphol. Kinesiol. 2018, 3, 48. [Google Scholar] [CrossRef]
- Lee, S.-Y.; Seo, T.-H.; Jeong, Y.-W. The Effects of Trunk Stabilization Training Emphasizing Transverse Abdominis Contraction on Static Balance and Game Records for Archers. PNF Mov. 2019, 17, 283–291. [Google Scholar] [CrossRef]
- Mon, D.; Zakynthinaki, M.S.; Calero, S. Connection between performance and body sway/morphology in juvenile Olympic shooters. J. Hum. Sport Exerc. 2018, in press. [Google Scholar] [CrossRef]
- Rosker, J.; Markovic, G.; Sarabon, N. Effects of vertical center of mass redistribution on body sway parameters during quiet standing. Gait Posture 2011, 33, 452–456. [Google Scholar] [CrossRef] [PubMed]
- Roerdink, M.; Hlavackova, P.; Vuillerme, N. Center-of-pressure regularity as a marker for attentional investment in postural control: A comparison between sitting and standing postures. Hum. Mov. Sci. 2011, 30, 203–212. [Google Scholar] [CrossRef] [PubMed]
- Hiserman, J. The Art of Long Hurdling; SpeedEndurance: London, UK, 2011; pp. 11–13. [Google Scholar]



| Participant Characteristics (Groups) | Age (Years) | Height (cm) | Weight (kg) | ||||
|---|---|---|---|---|---|---|---|
| N | M | SD | M | SD | M | SD | |
| Single-legged | 15 | 23.80 | 1.21 | 176.87 | 10.90 | 74.25 | 11.41 |
| Double-legged | 13 | 23.69 | 1.11 | 175.38 | 8.23 | 71.85 | 14.53 |
| COP Parameters | Direction | Leg | Arms | Groups | |||
|---|---|---|---|---|---|---|---|
| Single-Legged (n = 15) | Double-Legged (n = 13) | ||||||
| M | SD | M | SD | ||||
| SD (mm) | ML | A | H1 | 7.02 | 2.02 | 7.30 | 2.09 |
| H2 | 7.11 | 2.02 | 7.36 | 1.73 | |||
| B | H1 | 5.98 | 1.73 | 6.91 | 2.14 | ||
| H2 | 6.80 | 1.96 | 7.59 | 1.25 | |||
| AP | A | H1 | 7.26 | 1.63 | 6.90 | 1.59 | |
| H2 | 7.12 | 2.22 | 7.69 | 1.93 | |||
| B | H1 | 7.03 | 1.93 | 8.40 | 1.72 | ||
| H2 | 8.07 | 2.48 | 7.83 | 2.01 | |||
| RA (mm) | ML | A | H1 | 30.10 | 6.52 | 33.41 | 7.60 |
| H2 | 31.82 | 8.33 | 33.40 | 7.05 | |||
| B | H1 | 27.61 | 7.40 | 31.26 | 8.11 | ||
| H2 | 30.79 | 7.85 | 34.02 | 5.95 | |||
| AP | A | H1 | 34.97 | 8.05 | 34.12 | 9.37 | |
| H2 | 34.73 | 11.62 | 40.61 | 10.69 | |||
| B | H1 | 32.52 | 8.09 | 39.83 | 8.36 | ||
| H2 | 39.39 | 14.38 | 39.16 | 9.80 | |||
| MV (mm/s) | ML | A | H1 | 35.20 | 9.39 | 36.48 | 9.99 |
| H2 | 41.97 | 13.45 | 39.27 | 9.85 | |||
| B | H1 | 33.87 | 9.02 | 35.94 | 13.72 | ||
| H2 | 37.97 | 13.35 | 39.54 | 8.39 | |||
| AP | A | H1 | 35.55 | 8.55 | 34.82 | 9.50 | |
| H2 | 43.69 | 13.38 | 42.61 | 12.87 | |||
| B | H1 | 32.47 | 8.41 | 36.07 | 12.60 | ||
| H2 | 40.61 | 14.04 | 42.03 | 12.81 | |||
| FM (Hz) | ML | A | H1 | 0.80 | 0.26 | 0.79 | 0.23 |
| H2 | 0.93 | 0.23 | 0.89 | 0.33 | |||
| B | H1 | 0.89 | 0.22 | 0.83 | 0.29 | ||
| H2 | 0.88 | 0.26 | 0.78 | 0.20 | |||
| AP | A | H1 | 0.72 | 0.25 | 0.71 | 0.22 | |
| H2 | 0.84 | 0.17 | 0.80 | 0.28 | |||
| B | H1 | 0.64 | 0.22 | 0.67 | 0.32 | ||
| H2 | 0.67 | 0.21 | 0.81 | 0.27 | |||
| SE (-) | ML | A | H1 | 0.75 | 0.16 | 0.74 | 0.16 |
| H2 | 0.80 | 0.14 | 0.80 | 0.17 | |||
| B | H1 | 0.79 | 0.14 | 0.75 | 0.19 | ||
| H2 | 0.78 | 0.14 | 0.73 | 0.09 | |||
| AP | A | H1 | 0.99 | 0.18 | 1.06 | 0.23 | |
| H2 | 1.19 | 0.16 | 1.10 | 0.21 | |||
| B | H1 | 1.01 | 0.20 | 0.91 | 0.27 | ||
| H2 | 1.07 | 0.28 | 1.01 | 0.14 | |||
| Effect | ANOVA | ||||||||||||||
|---|---|---|---|---|---|---|---|---|---|---|---|---|---|---|---|
| RA (mm) | SD (mm) | MV (mm/s) | SE (-) | FM (Hz) | |||||||||||
| F (1.26) | p | ηp2 | F (1.26) | P | ηp2 | F (1.26) | p | ηp2 | F (1.26) | p | ηp2 | F (1.26) | p | ηp2 | |
| Group | 1.91 | 0.18 | 0.07 | 0.91 | 0.35 | 0.03 | 0.03 | 0.86 | 0.00 | 0.51 | 0.48 | 0.02 | 0.04 | 0.84 | 0.00 |
| Arm | 4.79 | 0.04 | 0.16 | 2.09 | 0.16 | 0.07 | 20.84 | 0.0001 | 0.44 | 8.46 | 0.01 | 0.25 | 4.57 | 0.04 | 0.15 |
| Leg | 0.03 | 0.87 | 0.00 | 0.23 | 0.64 | 0.01 | 1.95 | 0.17 | 0.07 | 4.90 | 0.04 | 0.16 | 1.31 | 0.26 | 0.05 |
| Direction | 26.67 | <0.01 | 0.51 | 9.77 | <0.01 | 0.27 | 1.40 | 0.25 | 0.05 | 193.81 | 0.00 | 0.88 | 16.48 | <0.01 | 0.39 |
| Interaction | ANOVA | ||||||||||||||
|---|---|---|---|---|---|---|---|---|---|---|---|---|---|---|---|
| RA (mm) | SD (mm) | MV (mm/s) | SE (-) | FM (Hz) | |||||||||||
| F (1.26) | p | ηp2 | F (1.26) | P | ηp2 | F (1.26) | p | ηp2 | F (1.26) | p | ηp2 | F (1.26) | p | ηp2 | |
| Arms × Group | 0.10 | 0.75 | 0.00 | 0.19 | 0.67 | 0.01 | 0.46 | 0.50 | 0.02 | 0.46 | 0.51 | 0.02 | 0.01 | 0.94 | 0.00 |
| Leg × Group | 0.24 | 0.63 | 0.01 | 1.39 | 0.25 | 0.05 | 2.23 | 0.15 | 0.08 | 1.78 | 0.19 | 0.06 | 0.11 | 0.74 | 0.00 |
| Direction × Group | 0.00 | 0.97 | 0.00 | 0.46 | 0.50 | 0.02 | 0.02 | 0.88 | 0.00 | 0.21 | 0.65 | 0.01 | 2.13 | 0.16 | 0.08 |
| Arms × Leg | 0.17 | 0.69 | 0.01 | 0.24 | 0.63 | 0.01 | 0.19 | 0.67 | 0.01 | 1.43 | 0.24 | 0.05 | 1.41 | 0.25 | 0.05 |
| Arms × Leg × Group | 1.61 | 0.22 | 0.06 | 1.25 | 0.27 | 0.05 | 0.04 | 0.85 | 0.00 | 0.90 | 0.35 | 0.03 | 0.18 | 0.68 | 0.01 |
| Arms × Direction | 0.63 | 0.44 | 0.02 | 0.16 | 0.70 | 0.01 | 6.14 | 0.02 | 0.19 | 8.66 | 0.01 | 0.25 | 0.84 | 0.37 | 0.03 |
| Arms × Plane × Group | 0.05 | 0.83 | 0.00 | 0.16 | 0.69 | 0.01 | 0.14 | 0.71 | 0.01 | 0.75 | 0.39 | 0.03 | 0.42 | 0.52 | 0.02 |
| Leg × Direction | 2.56 | 0.12 | 0.09 | 5.91 | 0.02 | 0.19 | 0.00 | 0.97 | 0.00 | 4.11 | 0.05 | 0.14 | 1.64 | 0.21 | 0.06 |
| Leg × Direction × Group | 0.00 | 0.99 | 0.00 | 0.03 | 0.87 | 0.00 | 0.31 | 0.58 | 0.01 | 0.05 | 0.83 | 0.00 | 2.97 | 0.10 | 0.10 |
| Arms × Leg × Direction | 0.75 | 0.40 | 0.03 | 1.41 | 0.25 | 0.05 | 0.00 | 0.99 | 0.00 | 0.23 | 0.64 | 0.01 | 1.64 | 0.21 | 0.06 |
| Arms × Leg × Direction × Group | 9.87 | <0.01 | 0.28 | 3.49 | 0.07 | 0.12 | 2.34 | 0.14 | 0.08 | 2.68 | 0.11 | 0.09 | 0.67 | 0.42 | 0.03 |
Publisher’s Note: MDPI stays neutral with regard to jurisdictional claims in published maps and institutional affiliations. |
© 2020 by the authors. Licensee MDPI, Basel, Switzerland. This article is an open access article distributed under the terms and conditions of the Creative Commons Attribution (CC BY) license (http://creativecommons.org/licenses/by/4.0/).
Share and Cite
Wojciechowska-Maszkowska, B.; Marcinów, R.; Iskra, J.; Tataruch, R. Postural Stability in Athletes during Special Hurdle Tests without a Definite Dominant Leg. Int. J. Environ. Res. Public Health 2021, 18, 172. https://doi.org/10.3390/ijerph18010172
Wojciechowska-Maszkowska B, Marcinów R, Iskra J, Tataruch R. Postural Stability in Athletes during Special Hurdle Tests without a Definite Dominant Leg. International Journal of Environmental Research and Public Health. 2021; 18(1):172. https://doi.org/10.3390/ijerph18010172
Chicago/Turabian StyleWojciechowska-Maszkowska, Bożena, Ryszard Marcinów, Janusz Iskra, and Rafał Tataruch. 2021. "Postural Stability in Athletes during Special Hurdle Tests without a Definite Dominant Leg" International Journal of Environmental Research and Public Health 18, no. 1: 172. https://doi.org/10.3390/ijerph18010172
APA StyleWojciechowska-Maszkowska, B., Marcinów, R., Iskra, J., & Tataruch, R. (2021). Postural Stability in Athletes during Special Hurdle Tests without a Definite Dominant Leg. International Journal of Environmental Research and Public Health, 18(1), 172. https://doi.org/10.3390/ijerph18010172

