Statistical Analysis of the Axillary Temperatures Measured by a Predictive Electronic Thermometer in Healthy Japanese Adults
Abstract
1. Introduction
2. Materials and Methods
2.1. Ethics
2.2. Research Subjects
2.3. Measurement Method of Body Temperature
2.4. Statistical Analysis
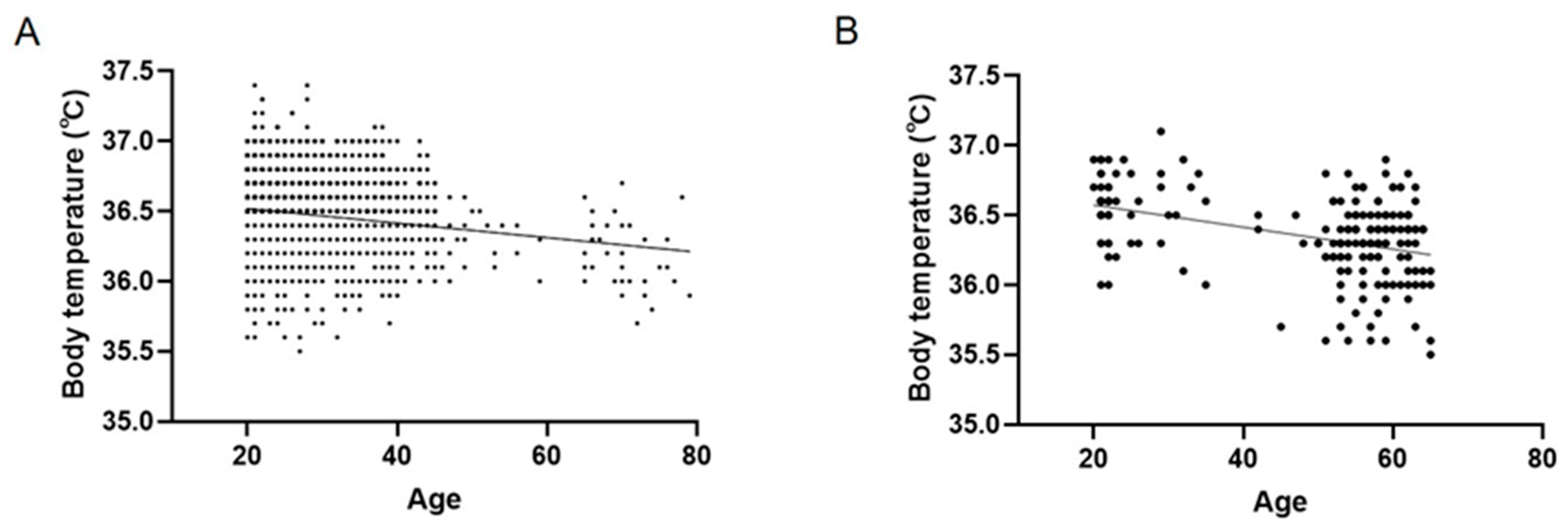
3. Results
4. Discussion
Strengths and Limitations of the Study
5. Conclusions
Author Contributions
Funding
Institutional Review Board Statement
Informed Consent Statement
Data Availability Statement
Conflicts of Interest
References
- Obermeyer, Z.; Samra, J.K.; Mullainathan, S. Individual differences in normal body temperature: Longitudinal big data analysis of patient records. BMJ 2017, 359, 1–8. [Google Scholar] [CrossRef] [PubMed]
- Mackowiak, P.A.; Wasserman, S.S.; Levine, M.M. A critical appraisal of 98.6 degrees F, the upper limit of the normal body temperature, and other legacies of Carl Reinhold August Wunderlich. JAMA 1992, 268, 1578–1580. [Google Scholar] [CrossRef] [PubMed]
- Protsiv, M.; Ley, C.; Lankester, J.; Hastie, T.; Parsonnet, J. Decreasing human body temperature in the United States since the industrial revolution. Elife 2020, 9, e49555. [Google Scholar] [CrossRef] [PubMed]
- Singh, V.; Sharma, A.; Khandelwal, R.; Kothari, K. Variation of axillary temperature and its correlation with oral temperature. J. Assoc. Physicians India 2000, 48, 898–900. [Google Scholar] [PubMed]
- Wood, D.; Heitschmidt, M.; Fogg, L. Comparison of oral and axillary temperatures in intubated pediatric patients. J. Pediatr. Nurs. 2018, 41, 131–134. [Google Scholar] [CrossRef] [PubMed]
- Iriki, M.; Tsuchiya, K.; Kaneno, I.; Kinji, U.; Kawashima, Y. The oral temperature of healthy Japanese (in Japanese). Jpn. J. Biometeorol. 1988, 25, 163–171. [Google Scholar]
- Aihara, M.; Iriki, M. A comparative study of human axillary and oral thermometry (in Japanese). Jpn. J. Biometeorol. 1993, 30, 159–168. [Google Scholar]
- Geneva, I.I.; Cuzzo, B.; Fazili, T.; Javaid, W. Normal body temperature: A systematic review. Open Forum Infect. Dis. 2019, 6, 1–7. [Google Scholar] [CrossRef] [PubMed]
- Marui, S.; Misawa, A.; Tanaka, Y.; Nagashima, K. Assessment of axillary temperature for the evaluation of normal body temperature of healthy young adults at rest in a thermoneutral environment. J. Physiol. Anthr. 2017, 36, 18. [Google Scholar] [CrossRef] [PubMed]
- Tasaka, S.; Yoshitoshi, Y.; Takidouchi, H.; Tomiie, T.; Togawa, K.; Machino, R.; Shinoura, A.; Honda, N.; Iriki, M. A report on the axillar temperature of the healthy Japanese people (in Japanese). Nisshin Igaku 1957, 44, 633–638. [Google Scholar]
- Terumo Corporation Terumo Electric Thermometer C230/C231 Instruction (in Japanese). Available online: https://www.terumo.co.jp/consumer/products/healthcare/thermometer/pdf/c230_manual.pdf (accessed on 8 March 2021).
- Scales, W.E.; Vander, A.J.; Brown, M.B.; Kluger, M.J. Human circadian rhythms in temperature, trace metals, and blood variables. J. Appl. Physiol. 1988, 65, 1840–1846. [Google Scholar] [CrossRef] [PubMed]
- Duffy, J.F.; Dijk, D.J.; Klerman, E.B.; Czeisler, C.A. Later endogenous circadian temperature nadir relative to an earlier wake time in older people. Am. J. Physiol. 1998, 275, R1478–R1487. [Google Scholar] [CrossRef] [PubMed]
- Kresch, M.J. Axillary temperature as a screening test for fever in children. J. Pediatr. 1984, 104, 596–599. [Google Scholar] [CrossRef]
- Güneş, U.Y.; Zaybak, A. Does the body temperature change in older people? J. Clin. Nurs. 2008, 17, 2284–2287. [Google Scholar] [CrossRef] [PubMed]
- Enomoto, H.; Kubo, H.; Isoda, N.; Yanase, T. Difference of physiological and psychological response of thermal environment by aging. Human influence of the temperature and the air flow in the summer. Jpn. J. Erg. 1995, 31, 161–168. [Google Scholar] [CrossRef][Green Version]
- Waalen, J.; Buxbaum, J.N. Is older colder or colder older? The association of age with body temperature in 18,630 individuals. J. Gerontol. A Biol. Sci. Med. Sci. 2011, 66, 487–492. [Google Scholar] [CrossRef] [PubMed]
- Mcgann, K.P.; Marion, G.S.; Camp, D.L.; Spangler, J.G. The influence of gender and race on mean body temperature in a population of healthy older adults. Arch. Fam. Med. 1993, 2, 1265–1267. [Google Scholar] [CrossRef] [PubMed]
- Wu, C.; Ma, S.A. A selective review of robust variable selection with applications in bioinformatics. Brief. Bioinform. 2015, 16, 873–883. [Google Scholar] [CrossRef] [PubMed]
- Ren, J.; Du, Y.; Li, S.; Ma, S.; Jiang, Y.; Wu, C. Robust network-based regularization and variable selection for high-dimensional genomic data in cancer prognosis. Genet. Epidemiol. 2019, 43, 276–291. [Google Scholar] [CrossRef] [PubMed]


| Characteristics | All | Male | Female | p-Value 1 |
|---|---|---|---|---|
| n | 2454 | 2258 | 196 | |
| Mean age (SD), years | 29.1 (11.1) | 27.5 (8.9) | 47.6 (15.9) | <0.001 |
| Age range, years | 20–79 | 20–79 | 20–65 | |
| Mean body temperature (SD), °C | 36.47 (0.28) | 36.48 (0.27) | 36.35 (0.31) | <0.001 |
| Body temperature range, °C | 35.5–37.4 | 35.5–37.4 | 35.5–37.1 | |
| Mean body temperature in A.M. (SD), °C | 36.42 (0.27) | 36.44 (0.26) | 36.29 (0.30) | |
| Mean body temperature in P.M. (SD), °C | 36.54 (0.28) | 36.54 (0.28) | 36.55 (0.26) | |
| p-value 2 | <0.001 | <0.001 | <0.001 |
| Age Group (Years) | Male | Female | ||||||
|---|---|---|---|---|---|---|---|---|
| n | mBT (SD) °C | ≥37 °C % 1 | ≥37 °C (P.M.) % 2 | n | mBT (SD) °C | ≥37 °C % 1 | ≥37 °C (P.M.) % 2 | |
| 20–29 | 1595 | 36.50 (0.27) | 4.6 | 8.1 | 49 | 36.56 (0.25) | 2.0 | 2.3 |
| 30–39 | 490 | 36.46 (0.28) | 4.7 | 7.4 | 8 | 36.51 (0.32) | 0 | 0 |
| 40–49 | 123 | 36.43 (0.24) | 1.6 | 1.7 | 5 | 36.26 (0.38) | 0 | - |
| 50–59 | 12 | 36.30 (0.15) | 0 | 0 | 88 | 36.28 (0.29) | 0 | - |
| 60–69 | 13 | 36.28 (0.20) | 0 | 0 | 46 | 36.27 (0.30) | 0 | - |
| 70–79 | 25 | 36.15 (0.25) | 0 | 0 | - | - | - | - |
| p value 3 | 0.64 | 0.55 | 0.55 | 0.92 | ||||
| Characteristics | Regression Coefficient (95% Confidence Interval) | |||
|---|---|---|---|---|
| Univariable Linear Regression | p-Value | Multivariable Linear Regression | p-Value | |
| Age (years) | −0.006 (−0.007 to −0.005) | <0.001 | −0.005 (−0.007 to −0.004) | <0.001 |
| Sex (female) | −0.06 (−0.08 to −0.04) | <0.001 | −0.003 (−0.03 to 0.02) | 0.78 |
| BMI (kg/m2) | −0.003 (−0.009 to 0.002) | 0.22 | 0.005 (−0.0005 to 0.01) | 0.08 |
| SBP (mmHg) | −2.8 × 10−5 (−0.001 to 0.001) | 0.96 | 0.002 (0.0003 to 0.003) | 0.01 |
| DBP (mmHg) | −0.003 (−0.004 to −0.001) | <0.001 | −0.003 (−0.004 to −0.0009) | 0.003 |
| Pulse rate (beats per min) | 0.006 (0.005 to 0.007) | <0.001 | 0.005 (0.004 to 0.006) | <0.001 |
| Seasons | ||||
| Winter | Reference | Reference | ||
| Spring | 0.03 (0.01 to 0.05) | 0.002 | 0.01 (−0.007 to 0.03) | 0.23 |
| Summer | −0.02 (−0.03 to 0.003) | 0.10 | 0.01 (−0.005 to 0.03) | 0.15 |
| Autumn | −0.02 (−0.04 to 0.001) | 0.07 | −0.007 (−0.03 to 0.01) | 0.44 |
| Measurement time (P.M.) | 0.06 (0.05 to 0.07) | <0.001 | 0.04 (0.03 to 0.05) | <0.001 |
| adjusted R2 | 0.13 | |||
Publisher’s Note: MDPI stays neutral with regard to jurisdictional claims in published maps and institutional affiliations. |
© 2021 by the authors. Licensee MDPI, Basel, Switzerland. This article is an open access article distributed under the terms and conditions of the Creative Commons Attribution (CC BY) license (https://creativecommons.org/licenses/by/4.0/).
Share and Cite
Yoshihara, T.; Zaitsu, M.; Ito, K.; Chung, E.; Matsumoto, M.; Manabe, J.; Sakamoto, T.; Tsukikawa, H.; Nakagawa, M.; Shingu, M.; et al. Statistical Analysis of the Axillary Temperatures Measured by a Predictive Electronic Thermometer in Healthy Japanese Adults. Int. J. Environ. Res. Public Health 2021, 18, 5096. https://doi.org/10.3390/ijerph18105096
Yoshihara T, Zaitsu M, Ito K, Chung E, Matsumoto M, Manabe J, Sakamoto T, Tsukikawa H, Nakagawa M, Shingu M, et al. Statistical Analysis of the Axillary Temperatures Measured by a Predictive Electronic Thermometer in Healthy Japanese Adults. International Journal of Environmental Research and Public Health. 2021; 18(10):5096. https://doi.org/10.3390/ijerph18105096
Chicago/Turabian StyleYoshihara, Tatsuya, Masayoshi Zaitsu, Kazuya Ito, Eunhee Chung, Mayumi Matsumoto, Junko Manabe, Takashi Sakamoto, Hiroshi Tsukikawa, Misato Nakagawa, Masami Shingu, and et al. 2021. "Statistical Analysis of the Axillary Temperatures Measured by a Predictive Electronic Thermometer in Healthy Japanese Adults" International Journal of Environmental Research and Public Health 18, no. 10: 5096. https://doi.org/10.3390/ijerph18105096
APA StyleYoshihara, T., Zaitsu, M., Ito, K., Chung, E., Matsumoto, M., Manabe, J., Sakamoto, T., Tsukikawa, H., Nakagawa, M., Shingu, M., Matsuki, S., & Irie, S. (2021). Statistical Analysis of the Axillary Temperatures Measured by a Predictive Electronic Thermometer in Healthy Japanese Adults. International Journal of Environmental Research and Public Health, 18(10), 5096. https://doi.org/10.3390/ijerph18105096

