Effectiveness of Soft versus Rigid Back-Support Exoskeletons during a Lifting Task
Abstract
:1. Introduction
2. Materials and Methods
2.1. Participants
2.2. Experimental Design
2.3. Exoskeletons
2.4. Data Acquisition and Analyses
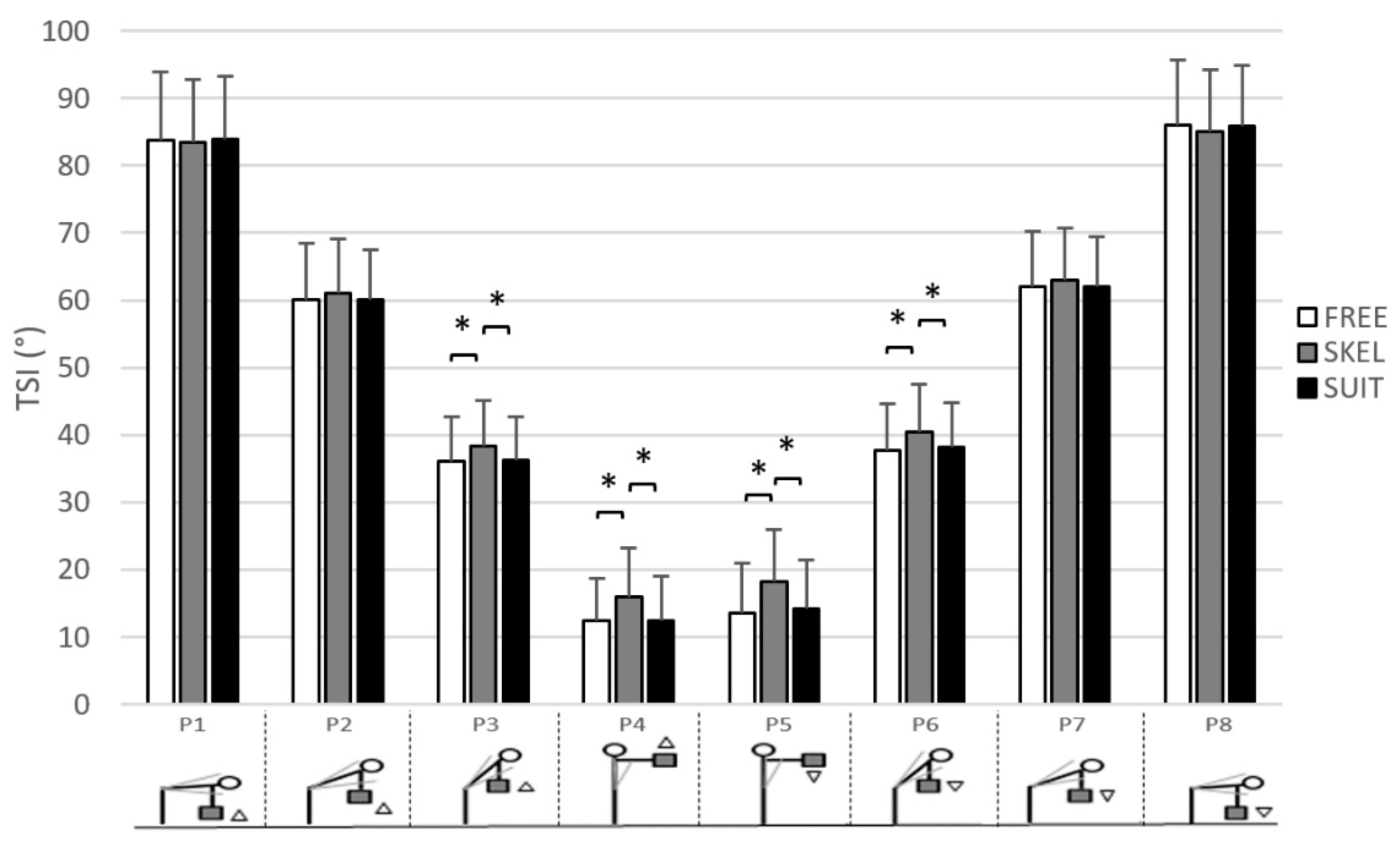
2.4.1. Trunk Sagittal Inclination (TSI)
2.4.2. Electromyography (EMG)
2.5. Statistical Analysis
3. Results
3.1. Main Effect
3.1.1. Exoskeleton Effect
3.1.2. Gender Effect
3.1.3. TSI Part Effect
3.2. Interaction Effect
3.2.1. Exoskeleton × TSI Part Interaction
3.2.2. Exoskeleton × Gender
3.2.3. Gender × TSI Part
4. Discussion
4.1. Exoskeletons Design and TSI Effects
4.2. Gender Effects
4.3. Limitations
5. Conclusions
Author Contributions
Funding
Institutional Review Board Statement
Informed Consent Statement
Data Availability Statement
Acknowledgments
Conflicts of Interest
References
- De Looze, M.P.; Bosch, T.; Krause, F.; Stadler, K.S.; O’Sullivan, L.W. Exoskeletons for industrial application and their potential effects on physical work load. Ergonomics 2016, 59, 671–681. [Google Scholar] [CrossRef] [Green Version]
- Theurel, J.; Desbrosses, K. Occupational Exoskeletons: Overview of Their Benefits and Limitations in Preventing Work-Related Musculoskeletal Disorders. IISE Trans. Occup. Ergon. Hum. Factors 2019, 1–17. [Google Scholar] [CrossRef]
- Kermavnar, T.; de Vries, A.W.; de Looze, M.P.; O’Sullivan, L.W. Effects of industrial back-support exoskeletons on body loading and user experience: An updated systematic review. Ergonomics 2021, 64, 685–711. [Google Scholar] [CrossRef] [PubMed]
- Frost, D.M.; Abdoli, E.M.; Stevenson, J.M. PLAD (personal lift assistive device) stiffness affects the lumbar flexion/extension moment and the posterior chain EMG during symmetrical lifting tasks. J. Electromyogr. Kinesiol. Off. J. Int. Soc. Electrophysiol. Kinesiol. 2009, 19, e403–e412. [Google Scholar] [CrossRef] [PubMed]
- Ulrey, B.L.; Fathallah, F.A. Effect of a personal weight transfer device on muscle activities and joint flexions in the stooped posture. J. Electromyogr. Kinesiol. Off. J. Int. Soc. Electrophysiol. Kinesiol. 2013, 23, 195–205. [Google Scholar] [CrossRef] [PubMed]
- Alemi, M.M.; Madinei, S.; Kim, S.; Srinivasan, D.; Nussbaum, M.A. Effects of Two Passive Back-Support Exoskeletons on Muscle Activity, Energy Expenditure, and Subjective Assessments During Repetitive Lifting. Hum. Factors 2020, 18720819897669. [Google Scholar] [CrossRef] [PubMed]
- Koopman, A.S.; Kingma, I.; Faber, G.S.; de Looze, M.P.; van Dieen, J.H. Effects of a passive exoskeleton on the mechanical loading of the low back in static holding tasks. J. Biomech. 2019, 83, 97–103. [Google Scholar] [CrossRef] [Green Version]
- Graham, R.B.; Agnew, M.J.; Stevenson, J.M. Effectiveness of an on-body lifting aid at reducing low back physical demands during an automotive assembly task: Assessment of EMG response and user acceptability. Appl. Ergon. 2009, 40, 936–942. [Google Scholar] [CrossRef] [Green Version]
- Madinei, S.; Alemi, M.M.; Kim, S.; Srinivasan, D.; Nussbaum, M.A. Biomechanical assessment of two back-support exoskeletons in symmetric and asymmetric repetitive lifting with moderate postural demands. Appl. Ergon. 2020, 88, 103156. [Google Scholar] [CrossRef]
- Toxiri, S.; Näf, M.B.; Lazzaroni, M.; Fernández, J.; Sposito, M.; Poliero, T.; Monica, L.; Anastasi, S.; Caldwell, D.G.; Ortiz, J. Back-Support Exoskeletons for Occupational Use: An Overview of Technological Advances and Trends. IISE Trans. Occup. Ergon. Hum. Factors 2019, 1–13. [Google Scholar] [CrossRef] [Green Version]
- Bosch, T.; van Eck, J.; Knitel, K.; de Looze, M. The effects of a passive exoskeleton on muscle activity, discomfort and endurance time in forward bending work. Appl. Ergon. 2016, 54, 212–217. [Google Scholar] [CrossRef]
- Sadler, E.M.; Graham, R.B.; Stevenson, J.M. The personal lift-assist device and lifting technique: A principal component analysis. Ergonomics 2011, 54, 392–402. [Google Scholar] [CrossRef] [PubMed]
- Abdoli, E.M.; Agnew, M.J.; Stevenson, J.M. An on-body personal lift augmentation device (PLAD) reduces EMG amplitude of erector spinae during lifting tasks. Clin. Biomech. 2006, 21, 456–465. [Google Scholar] [CrossRef] [PubMed]
- Lamers, E.P.; Yang, A.J.; Zelik, K.E. Feasibility of a Biomechanically-Assistive Garment to Reduce Low Back Loading During Leaning and Lifting. IEEE Trans. Biomed. Eng. 2018, 65, 1674–1680. [Google Scholar] [CrossRef]
- Zhang, H.H.; Kadrolkar, A.; Sup, F.C. Design and Preliminary Evaluation of a Passive Spine Exoskeleton. J. Med. Devices 2016, 10. [Google Scholar] [CrossRef]
- So, B.C.L.; Cheung, H.H.; Liu, S.L.; Tang, C.I.; Tsoi, T.Y.; Wu, C.H. The effects of a passive exoskeleton on trunk muscle activity and perceived exertion for experienced auxiliary medical service providers in cardiopulmonary resuscitation chest compression. Int. J. Ind. Ergon. 2020, 76. [Google Scholar] [CrossRef]
- Hermens, H.J.; Freriks, B. SENIAM 5—The State of the Art on Sensors and Sensor Placement Procedures for Surface Electromyography: A Proposal for Sensor Placement Procedures; Roessingh Research and Development b.v: Enschede, The Netherlands, 1997. [Google Scholar]
- Drake, J.D.M.; Callaghan, J.P. Elimination of electrocardiogram contamination from electromyogram signals: An evaluation of currently used removal techniques. J. Electromyogr. Kines 2006, 16, 175–187. [Google Scholar] [CrossRef]
- Abdoli, E.M.; Stevenson, J.M. The effect of on-body lift assistive device on the lumbar 3D dynamic moments and EMG during asymmetric freestyle lifting. Clin. Biomech. 2008, 23, 372–380. [Google Scholar] [CrossRef]
- Godwin, A.A.; Stevenson, J.M.; Agnew, M.J.; Twiddy, A.L.; Abdoli-Eramaki, M.; Lotz, C.A. Testing the efficacy of an ergonomic lifting aid at diminishing muscular fatigue in women over a prolonged period of lifting. Int. J. Ind. Ergon. 2009, 39, 121–126. [Google Scholar] [CrossRef]
- Lotz, C.A.; Agnew, M.J.; Godwin, A.A.; Stevenson, J.M. The effect of an on-body personal lift assist device (PLAD) on fatigue during a repetitive lifting task. J. Electromyogr. Kinesiol. Off. J. Int. Soc. Electrophysiol. Kinesiol. 2009, 19, 331–340. [Google Scholar] [CrossRef]
- Whitfield, B.H.; Costigan, P.A.; Stevenson, J.M.; Smallman, C.L. Effect of an on-body ergonomic aid on oxygen consumption during a repetitive lifting task. Int. J. Ind. Ergon. 2014, 44, 39–44. [Google Scholar] [CrossRef]
- Baltrusch, S.J.; van Dieen, J.H.; van Bennekom, C.A.M.; Houdijk, H. The effect of a passive trunk exoskeleton on functional performance in healthy individuals. Appl. Ergon. 2018, 72, 94–106. [Google Scholar] [CrossRef] [PubMed] [Green Version]
- Pan, F.; Firouzabadi, A.; Zander, T.; Schmidt, H. Sex-dependent differences in lumbo-pelvic coordination for different lifting tasks: A study on asymptomatic adults. J. Biomech 2020, 102, 109505. [Google Scholar] [CrossRef] [PubMed]
- Kim, S.; Madinei, S.; Alemi, M.M.; Srinivasan, D.; Nussbaum, M.A. Assessing the potential for “undesired” effects of passive back-support exoskeleton use during a simulated manual assembly task: Muscle activity, posture, balance, discomfort, and usability. Appl. Ergon. 2020, 89, 103194. [Google Scholar] [CrossRef] [PubMed]
- Kozinc, Z.; Babic, J.; Sarabon, N. Human pressure tolerance and effects of different padding materials with implications for development of exoskeletons and similar devices. Appl. Ergon. 2021, 93, 103379. [Google Scholar] [CrossRef] [PubMed]





| TSI | ES Muscles Activity | ||||
|---|---|---|---|---|---|
| Main Effects | DoF | F | p | F | p |
| Exoskeleton | 2 | 18.88 | <0.001 | 16.60 | <0.001 |
| Gender | 1 | 2.71 | 0.1 | 121.24 | <0.001 |
| TSI part | 7 | 6528.25 | <0.001 | 519 | <0.001 |
| Interaction effects | DoF | F | p | F | p |
| Exoskeleton x TSI part | 14 | 3.16 | <0.001 | 5.39 | <0.001 |
| Exoskeleton x Gender | 2 | 16.63 | <0.001 | 1.96 | 0.14 |
| Gender x TSI part | 7 | 1.17 | 0.31 | 6.72 | <0.001 |
| Exoskeleton x Gender x TSI part | 14 | 0.21 | 1 | 1.41 | 0.14 |
Publisher’s Note: MDPI stays neutral with regard to jurisdictional claims in published maps and institutional affiliations. |
© 2021 by the authors. Licensee MDPI, Basel, Switzerland. This article is an open access article distributed under the terms and conditions of the Creative Commons Attribution (CC BY) license (https://creativecommons.org/licenses/by/4.0/).
Share and Cite
Schwartz, M.; Theurel, J.; Desbrosses, K. Effectiveness of Soft versus Rigid Back-Support Exoskeletons during a Lifting Task. Int. J. Environ. Res. Public Health 2021, 18, 8062. https://doi.org/10.3390/ijerph18158062
Schwartz M, Theurel J, Desbrosses K. Effectiveness of Soft versus Rigid Back-Support Exoskeletons during a Lifting Task. International Journal of Environmental Research and Public Health. 2021; 18(15):8062. https://doi.org/10.3390/ijerph18158062
Chicago/Turabian StyleSchwartz, Mathilde, Jean Theurel, and Kévin Desbrosses. 2021. "Effectiveness of Soft versus Rigid Back-Support Exoskeletons during a Lifting Task" International Journal of Environmental Research and Public Health 18, no. 15: 8062. https://doi.org/10.3390/ijerph18158062
APA StyleSchwartz, M., Theurel, J., & Desbrosses, K. (2021). Effectiveness of Soft versus Rigid Back-Support Exoskeletons during a Lifting Task. International Journal of Environmental Research and Public Health, 18(15), 8062. https://doi.org/10.3390/ijerph18158062

