The Effect of Differential Repeated Sprint Training on Physical Performance in Female Basketball Players: A Pilot Study
Abstract
1. Introduction
2. Materials and Methods
2.1. Participants
2.2. Procedures
2.3. Training Program
2.4. Measurements
2.5. Statistical Analyses
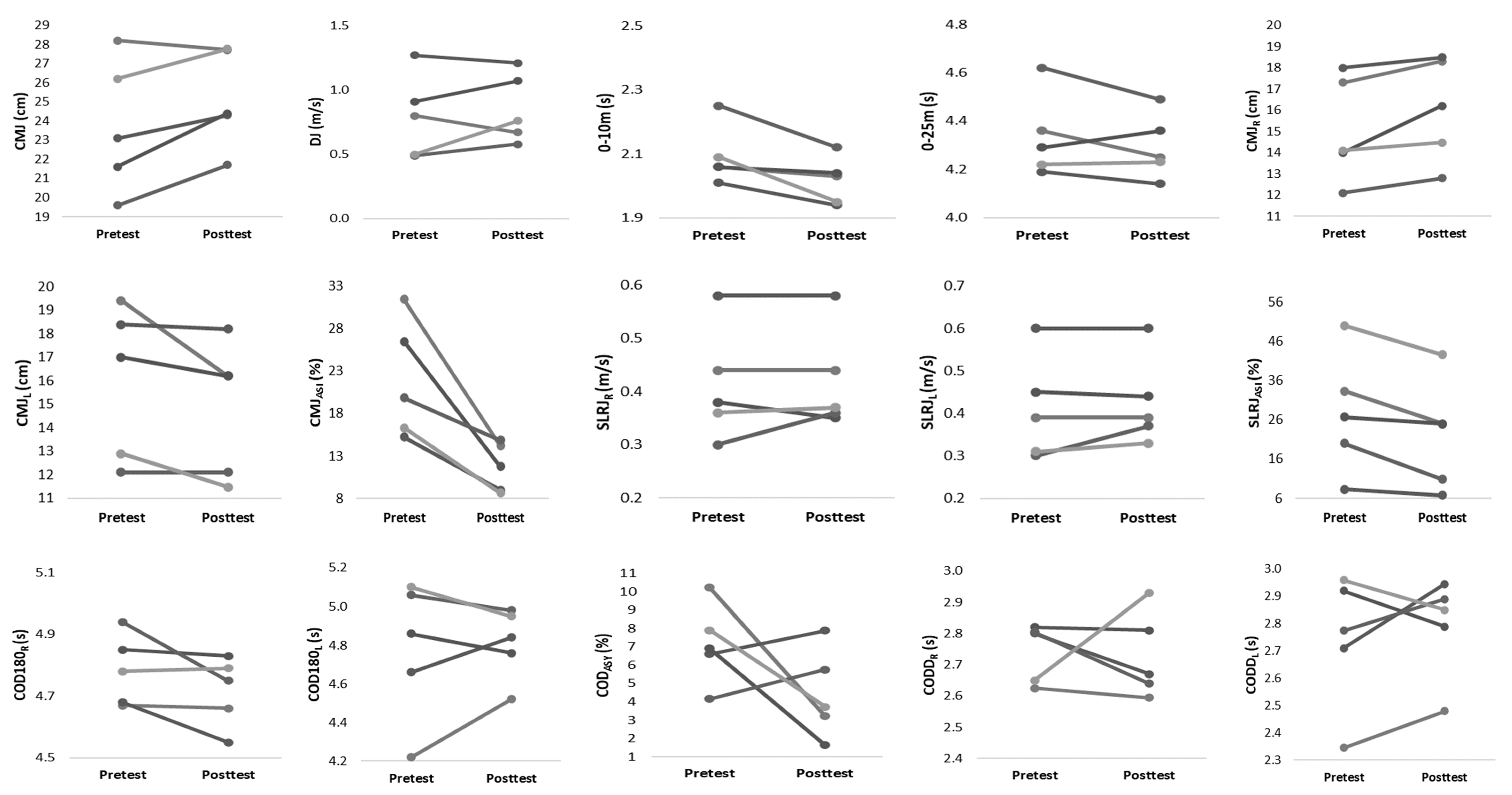
3. Results
3.1. Sample
3.2. Tests Reliability
3.3. Tests Outcomes
4. Discussion
5. Conclusions
Author Contributions
Funding
Institutional Review Board Statement
Informed Consent Statement
Data Availability Statement
Conflicts of Interest
References
- Ziv, G.; Lidor, R. Physical Attributes, Physiological Characteristics, On-Court Performances and Nutritional Strategies of Female and Male Basketball Players. Sport Med. 2016, 39, 547–568. [Google Scholar] [CrossRef] [PubMed]
- Rampinini, E.; Bishop, D.; Marcora, S.M.; Ferrari Bravo, D.; Sassi, R.; Impellizzeri, F.M. Validity of simple field tests as indicators of match-related physical performance in top-level professional soccer players. Int. J. Sports Med. 2007, 28, 228–235. [Google Scholar] [CrossRef] [PubMed]
- Castagna, C.; Manzi, V.; D’Ottavio, S.; Annino, G.; Padua, E.; Bishop, D. Relation between maximal aerobic power and the ability to repeat sprints in young basketball players. J. Strength Cond. Res. 2007, 21, 1172–1176. [Google Scholar] [PubMed]
- Gabbett, T.; King, T.; Jenkins, D. Applied physiology of rugby league. Sport Med. 2008, 38, 119–138. [Google Scholar] [CrossRef] [PubMed]
- Conte, D.; Favero, T.G.; Lupo, C.; Francioni, F.M.; Capranica, L.; Tessitore, A. Time-motion analysis of Italian elite women’s basketball games: Individual and team analyses. J. Strength Cond. Res. 2015, 29, 144–150. [Google Scholar] [CrossRef]
- Stojanović, E.; Stojiljković, N.; Scanlan, A.T.; Dalbo, V.J.; Berkelmans, D.M.; Milanović, Z. The Activity Demands and Physiological Responses Encountered During Basketball Match-Play: A Systematic Review. Sport Med. 2018, 48, 111–135. [Google Scholar] [CrossRef]
- Fernando, P.B.; Suarez-Arrones, L.; Rodríguez-Rosell, D.; López-Segovia, M.; Jiménez-Reyes, P.; Bachero-Mena, B.; González-Badillo, J.J. Evolution of determinant factors of repeated sprint ability. J. Hum. Kinet. 2016, 54, 115–126. [Google Scholar]
- Arede, J.; Vaz, R.; Gonzalo-Skok, O.; Balsalobre-Fernandéz, C.; Varela-Olalla, D.; Madruga-Parera, M.; Leite, N. Repetitions in reserve vs. maximum effort resistance training programs in youth female athletes. J. Sports Med. Phys. Fit. 2020, 60, 1231–1239. [Google Scholar] [CrossRef]
- Arede, J.; Gonzalo-Skok, O.; Bishop, C.; Schöllhorn, W.I.; Leite, N. Rotational flywheel training in youth female team sport athletes: Could inter-repetition movement variability be beneficial? J. Sports Med. Phys. Fit. 2020, 60, 1444–1452. [Google Scholar] [CrossRef] [PubMed]
- Arede, J.; Vaz, R.; Francheschi, A.; Gonzalo-Skok, O.; Leite, N. Effects of a combined strength and conditioning training program on physical abilities in adolescent male basketball players. J. Sports Med. Phys. Fit. 2019, 59, 1298–1305. [Google Scholar] [CrossRef]
- Beato, M.; Coratella, G.; Bianchi, M.; Costa, E.; Merlini, M. Short-Term Repeated-Sprint Training (Straight Sprint vs. Changes of Direction) in Soccer Players. J. Hum. Kinet. 2019, 70, 183–190. [Google Scholar] [CrossRef] [PubMed]
- Zamparo, P.; Zadro, I.; Lazzer, S.; Beato, M.; Sepulcri, L. Energetics of shuttle runs: The effects of distance and change of direction. Int. J. Sports Physiol. Perform. 2014, 9, 1033–1039. [Google Scholar] [CrossRef] [PubMed]
- Spencer, M.; Bishop, D.; Dawson, B.; Goodman, C. Physiological and metabolic responses of repeated-sprint activities: Specific to field-based team sports. Sport Med. 2005, 35, 1025–1044. [Google Scholar] [CrossRef]
- Bishop, D.; Girard, O.; Mendez-Villanueva, A. Repeated-sprint ability part II: Recommendations for training. Sport Med. 2011, 41, 741–756. [Google Scholar] [CrossRef]
- Schöllhorn, W. Application of system dynamic principles to technique and strength training. Acta Acad. Olymp. Est. 2000, 8, 67–85. [Google Scholar]
- Bauer, H.; Schöllhorn, W. Self-Organizing Maps for the Analysis of Complex Movement Patterns. Neural Process. Lett. 1997, 5, 193–199. [Google Scholar] [CrossRef]
- Schöllhorn, W.I.; Nigg, B.M.; Stefanyshyn, D.J.; Liu, W. Identification of individual walking patterns using time discrete and time continuous data sets. Gait Posture 2002, 15, 180–186. [Google Scholar] [CrossRef]
- Schöllhorn, W. Practical Consequences of Biomechanically Determined Individuality and Fluctuations on Motor Learning. In Proceedings of the International Society of Biomechanics, Calgary, AB, Canada, 8–13 August 1999. [Google Scholar]
- Haykin, S. Neural Network: A Comprehensive Foundation, 1st ed; McMaster University: Hamilton, ONT, Canada, 1994. [Google Scholar]
- Catalano, J.F.; Kleiner, B.M. Distant Transfer in Coincident Timing as a Function of Variability of Practice. Percept. Mot. Ski. 1984, 58, 851–856. [Google Scholar] [CrossRef]
- Janssen, D.; Schöllhorn, W.I.; Lubienetzki, J.; Fölling, K.; Kokenge, H.; Davids, K. Recognition of Emotions in Gait Patterns by Means of Artificial Neural Nets. J. Nonverbal Behav. 2008, 32, 79–92. [Google Scholar] [CrossRef]
- Janssen, D.; Schöllhorn, W.I.; Newell, K.M.; Jäger, J.M.; Rost, F.; Vehof, K. Diagnosing fatigue in gait patterns by support vector machines and self-organizing maps. Hum. Mov. Sci. 2011, 30, 966–975. [Google Scholar] [CrossRef]
- Burdack, J.; Horst, F.; Aragonés, D.; Eekhoff, A.; Schöllhorn, W.I. Fatigue-Related and Timescale-Dependent Changes in Individual Movement Patterns Identified Using Support Vector Machine. Front. Psychol. 2020, 11, 2273. [Google Scholar] [CrossRef]
- Schöllhorn, W.; Michelbrink, M.; Welminsiki, D.; Davids, K. Increasing Stochastic Perturbations Enhances Acquisition and Learning of Complex Sport Movements. In Perspectives on Cognition and Action in Sport; Nova Science Publishers: Hauppauge, NY, USA, 2009; pp. 59–73. [Google Scholar]
- Buekers, M.J.A.; Magill, R.A.; Hall, K.G. The Effect of Erroneous Knowledge of Results on Skill Acquisition when Augmented Information is Redundant. Q. J. Exp. Psychol. Sect. A 1992, 44, 105–117. [Google Scholar] [CrossRef]
- Henz, D.; John, A.; Merz, C.; Schöllhorn, W.I. Post-task Effects on EEG Brain Activity Differ for Various Differential Learning and Contextual Interference Protocols. Front. Hum. Neurosci. 2018, 12, 19. [Google Scholar] [CrossRef] [PubMed]
- Schöllhorn, W.; Horst, F. Effects of complex movements on the brain as a result of increased decision-making. J. Complex. Health Sci. 2020, 2, 40–45. [Google Scholar]
- Schöllhorn, W.I.; Beckmann, H.; Michelbrink, M.; Sechelmann, M.; Trockel, M.; Davids, K. Does noise provide a basis for the unification of motor learning theories? Int. J. Sport Psychol. 2006, 37, 186–206. [Google Scholar]
- Schöllhorn, W.; Röber, F.; Jaitner, T.; Hellstem, W.; Käubler, W. Discrete and continuous effects of traditional and differencial sprint training. In Proceedings of the 6th Annual Congress of the European College of Sport Science, Cologne, Germany, 24–28 July 2001. [Google Scholar]
- Feest, U. Why Replication Is Overrated. Philos. Sci. 2019, 86, 895–905. [Google Scholar] [CrossRef]
- Davids, K.; Glazier, P.; Araújo, D.; Bartlett, R. Movement systems as dynamical systems: The functional role of variability and its implications for sports medicine. Sport Med. 2003, 33, 245–260. [Google Scholar] [CrossRef]
- Gaspar, A.; Santos, S.; Coutinho, D.; Gonçalves, B.; Sampaio, J.; Leite, N. Acute effects of differential learning on football kicking performance and in countermovement jump. PLoS ONE 2019, 14, e0224280. [Google Scholar] [CrossRef]
- Fuchs, P.X.; Fusco, A.; Bell, J.W.; von Duvillard, S.P.; Cortis, C.; Wagner, H. Effect of differential training on female volleyball spike-jump technique and performance. Int. J. Sports Physiol. Perform. 2020, 15, 1019–1025. [Google Scholar] [CrossRef]
- Fuchs, P.X.; Fusco, A.; Cortis, C.; Wagner, H. Effects of Differential Jump Training on Balance Performance in Female Volleyball Players. Appl. Sci. 2020, 10, 5921. [Google Scholar] [CrossRef]
- Coutinho, D.; Santos, S.; Gonçalves, B.; Travassos, B.; Wong, P.; Schöllhorn, W.; Sampaio, J. The effects of an enrichment training program for youth football attackers. PLoS ONE 2018, 13, e0199008. [Google Scholar] [CrossRef]
- National Strength and Conditioning Association. Essentials of Strength Training and Conditioning, 4th ed.; Haff, G., Triplett, T., Eds.; Human Kinetics: Champaign, IL, USA, 2016. [Google Scholar]
- Schöllhorn, W. The Nonlinear Nature of Learning-A Differential Learning Approach. Open Sports Sci. J. 2012, 5, 100–112. [Google Scholar] [CrossRef]
- Kunugi, S.; Masunari, A.; Koumura, T.; Fujimoto, A. Altered lower limb kinematics and muscle activities in soccer players with chronic ankle instability. Phys. Ther. Sport 2018, 34, 28–35. [Google Scholar] [CrossRef] [PubMed]
- Nimphius, S.; Callaghan, S.J.; Spiteri, T.; Lockie, R.G. Change of Direction Deficit: A More Isolated Measure of Change of Direction Performance Than Total 505 Time. J. Strength Cond. Res. 2016, 30, 3024–3032. [Google Scholar] [CrossRef] [PubMed]
- Bishop, C.; Read, P.; Lake, J.; Chavda, S.; Turner, A. Inter-limb asymmetries: Understanding how to calculate differences from bilateral and unilateral tests. Strength Cond. J. 2018, 40, 1–6. [Google Scholar] [CrossRef]
- Koo, T.K.; Li, M.Y. A Guideline of Selecting and Reporting Intraclass Correlation Coefficients for Reliability Research. J. Chiropr. Med. 2016, 15, 155–163. [Google Scholar] [CrossRef] [PubMed]
- Cormack, S.; Newton, R.U.; McGuigan, M.R.; Doyle, T.L.A. Reliability of Measures Obtained During Single and Repeated Countermovement Jumps. Int. J. Sports Physiol. Perform. 2008, 3, 131–144. [Google Scholar] [CrossRef]
- Marôco, J. Análise Estatística com o SPSS Statistics, 6a ed.; Pêro Pinheiro: Report Number: Análise e Gestão da Informacão; Edições Sílabo: Lisbon, Portugal, 2014. [Google Scholar]
- Hopkins, W.; Marshall, S.W.; Batterham, A.M.; Hanin, J. Progressive Statistics for Studies in Sports Medicine and Exercise Science. Med. Sci. Sports Exerc. 2009, 41, 3–13. [Google Scholar] [CrossRef]
- Ferguson, C.J. An Effect Size Primer: A Guide for Clinicians and Researchers. Prof. Psychol. Res. Pract. 2009, 40, 532–538. [Google Scholar] [CrossRef]
- Lakens, D. Calculating and reporting effect sizes to facilitate cumulative science: A practical primer for t -tests and ANOVAs. Front Psychol. 2013, 4, 1–12. [Google Scholar] [CrossRef]
- Schöllhorn, W.I. Individualität—Ein vernachlässigter Parameter? Leistungssport 1999, 29, 5–12. [Google Scholar]
- Horst, F.; Janssen, D.; Beckmann, H.; Schöllhorn, W.I. Can Individual Movement Characteristics Across Different Throwing Disciplines Be Identified in High-Performance Decathletes? Front. Psychol. 2020, 11, 2262. [Google Scholar] [CrossRef]
- Schöllhorn, W. Biomechanische Einzelfallanalyse im Diskuswur. Leistungssport 1993, 23, 55–58. [Google Scholar]
- Henz, D.; Schöllhorn, W.I. Differential Training Facilitates Early Consolidation in Motor Learning. Front. Hum. Neurosci. 2016, 10, 199. [Google Scholar] [CrossRef]
- Pickering, C.; Kiely, J. Do Non-Responders to Exercise Exist—and If So, What Should We Do About Them? Sport Med. 2019, 49, 1–7. [Google Scholar] [CrossRef] [PubMed]
- Kulakowski, E.; Lockie, R.G.; Johnson, Q.R.; Lindsay, K.G.; Dawes, J.J. Relationships of Lower-body Power Measures to Sprint and Change of Direction Speed among NCAA Division II Women’s Lacrosse Players: An Exploratory Study. Int. J. Exerc. Sci. 2020, 13, 1667–1676. [Google Scholar] [PubMed]
- Horst, F.; Rupprecht, C.; Schmitt, M.; Hegen, P.; Schöllhorn, W.I. Muscular Activity in Conventional and Differential Back Squat Exercise. In Book of Abstracts 20th Annual Congress of the European College of Sport Science, Malmö, Sweden, 24–27 June 2015; European College of Sport Science: Malmö, Sweden, 2016. [Google Scholar]
- Shea, C.H.; Kohl, R.M. Specificity and variability of practice. Res. Q. Exerc. Sport 1990, 61, 169–177. [Google Scholar] [CrossRef]
- Michelbrink, M.; Schöllhorn, W. Differencial learning and random walk analysis in human posture. Gait Posture 2005, 21, 148–149. [Google Scholar] [CrossRef]
- Barbieri, F.A.; Rodrigues, S.T.; Polastri, P.F.; Barbieri, R.A.; de Paula, P.H.A.; Milioni, F.; Redkva, P.E.; Zagatto, A.M. High intensity repeated sprints impair postural control, but with no effects on free throwing accuracy, in under-19 basketball players. Hum. Mov. Sci. 2017, 54, 191–196. [Google Scholar] [CrossRef][Green Version]
- Schöllhorn, W.I. Invited commentary: Differential learning is different from contextual interference learning. Hum. Mov. Sci. 2016, 47, 240–245. [Google Scholar] [CrossRef]
- Soria-Grila, M.; Chirosa, I.J.; Bautista, I.J.; Baena, S.; Chirosa, L.J. Effects of variable resistance training on maximal strength: A meta-analysis. J. Strength Cond. Res. 2015, 29, 3260–3270. [Google Scholar] [CrossRef]
- Dos’Santos, T.; Thomas, C.; Jones, P.; Comfort, P. Mechanical determinants of faster change of direction speed perforamance in male athletes. J. Strength Cond. Res. 2017, 31, 696–705. [Google Scholar] [CrossRef] [PubMed]
- Spiteri, T.; Newton, R.U.; Binetti, M.; Hart, N.; Sheppard, J.M.; Nimphius, S. Mechanical determinants of faster change of direction and agility performance in female basketball athletes. J. Strength Cond. Res. 2015, 29, 2205–2214. [Google Scholar] [CrossRef] [PubMed]
- Stevinson, C.; Plateau, C.R.; Plunkett, S.; Fitzpatrick, E.J.; Ojo, M.; Moran, M.; Clemes, S.A. Adherence and Health-Related Outcomes of Beginner Running Programs: A 10-Week Observational Study. Res. Q. Exerc. Sport 2020, 1–9. [Google Scholar] [CrossRef] [PubMed]
- Santos, S.; Coutinho, D.; Gonçalves, B.; Schöllhorn, W.; Sampaio, J.; Leite, N. Differential Learning as a Key Training Approach to Improve Creative and Tactical Behavior in Soccer. Res. Q. Exerc. Sport 2018, 89, 11–24. [Google Scholar] [CrossRef]
- John, A.; Schöllhorn, W.I. Acute Effects of Instructed and Self-Created Variable Rope Skipping on EEG Brain Activity and Heart Rate Variability. Front. Behav. Neurosci. 2018, 12, 311. [Google Scholar] [CrossRef] [PubMed]
- Henz, D.; Schöllhorn, W.I. Dynamic Office Environments Improve Brain Activity and Attentional Performance Mediated by Increased Motor Activity. Front. Hum. Neurosci. 2019, 13, 121. [Google Scholar] [CrossRef]
- Neyman, J.; Pearson, E.S. On the Problem of the Most Efficient Tests of Statistical Hypotheses. In Breakthroughs in Statistics; Kotz, S., Johnson, N.L., Eds.; Springer: New York, NY, USA, 1992; pp. 73–108. [Google Scholar]
- Nuzzo, R. Scientific method: Statistical errors. Nature 2014, 506, 150–152. [Google Scholar] [CrossRef]
- Mosston, M.; Ashworth, S.; Block, B. Teaching Physical Education, 5th ed.; Benjamin Cummings: Boston, MA, USA, 2008. [Google Scholar]




| # | Body Part | Fluctuations | # | Body Part | Fluctuations |
|---|---|---|---|---|---|
| 1 | Head | Head back | 29 | Trunk | Trunk rotation to the left |
| 2 | Head forward | 30 | Trunk rotation to the right | ||
| 3 | Head back and forth | 31 | Trunk tilted laterally to the left | ||
| 4 | Head rotated to the left | 32 | Trunk angled laterally to the right | ||
| 5 | Head rotated to the right | 33 | Torso tilted back | ||
| 6 | Head rotated left and right | 34 | Trunk tilted forward | ||
| 7 | Head tilted to the left | 35 | Hands | Hands on hip | |
| 8 | Head tilted to the right | 36 | Right hand on hip | ||
| 9 | Eyes | Closed right eye | 37 | Left hands on hip | |
| 10 | Left eye closed | 38 | Hands behind head | ||
| 11 | Blinking eyes | 39 | Hands on forehead | ||
| 12 | Look to the right | 40 | Right hand behind head | ||
| 13 | Look left | 41 | Left hand behind head | ||
| 14 | Arms | Two arms up | 42 | Hands behind back | |
| 15 | Two arms close to the torso | 43 | Right hand behind back | ||
| 16 | Arm rotation forward | 44 | Left hand behind back | ||
| 17 | Arm rotation back | 45 | Clapping ahead | ||
| 18 | Alternate forward arm rotation | 46 | Clap behind back | ||
| 19 | Alternate backward arm rotation | 47 | Clap front and back | ||
| 20 | Arms open to the side | ||||
| 21 | Arms open down | ||||
| 22 | Crossed arms | ||||
| 23 | Arms stretched forward | ||||
| 24 | Arms stretched back | ||||
| 25 | Right arm up + left arm down | ||||
| 26 | Left arm up + right arm down | ||||
| 27 | Left arm up + right arm to the side | ||||
| 28 | Right arm up + left arm to the side | ||||
| Test Variables | ICC (95% CL) | CV (%) (95% CL) |
|---|---|---|
| CMJ (cm) | 0.89 (0.66; 0.97) | 5.13 (2.87; 7.64) |
| DJ (m/s) | 0.93 (0.76; 0.98) | 16.70 (12.48; 20.84) |
| 0–10 m (s) | 0.81 (−0.07; 0.96) | 2.63 (1.14; 4.32) |
| 0–25 m (s) | 0.84 (0.06; 0.97) | 1.28 (0.46; 2.46) |
| CMJR (cm) | 0.77 (0.19; 0.96) | 10.67 (6.76; 15.07) |
| CMJL (cm) | 0.95 (0.72; 0.99) | 7.23 (4.30; 10.23) |
| SLRJR (m/s) | 0.93 (0.63; 0.99) | 14.89 (9.44; 19.37) |
| SLRJL (m/s) | 0.95 (0.82; 0.99) | 15.04 (9.43; 21.64) |
| COD180R (s) | 0.54 (−0.24; 0.89) | 2.47 (1.39; 3.63) |
| COD180L (s) | 0.86 (−0.12; 0.97) | 2.71 (1.35; 4.18) |
| Variables | Pretest, Mean ± SD | Postest, Mean ± SD | p | Within-Group Effect Size | Between-Groups Pretest Differences (p) | Between-Group Effect Size | |
|---|---|---|---|---|---|---|---|
| CMJ (cm) | NCOD | 23.74 ± 3.47 | 25.17 ± 2.58 | 0.061 | 1.16 | 0.530 | 0.44 |
| COD | 22.55 ± 0.90 | 24.53 ± 1.19 | 0.095 | 1.21 | |||
| DJ (m/s) | NCOD | 0.79 ± 0.32 | 0.86 ± 0.27 | 0.418 | 0.40 | 0.340 | 0.67 |
| COD | 0.61 ± 0.18 | 0.63 ± 0.14 | 0.686 | 0.22 | |||
| 0–10 m (s) | NCOD | 2.09 ± 0.09 | 2.02 ± 0.07 | 0.035 * | −1.25 | 0.730 | −0.24 |
| COD | 2.12 ± 0.10 | 2.06 ± 0.07 | 0.132 | −1.03 | |||
| 0–25 m (s) | NCOD | 4.34 ± 0.17 | 4.29 ± 0.13 | 0.322 | −0.61 | 0.266 | −0.81 |
| COD | 4.46 ± 0.10 | 4.37 ± 0.14 | 0.183 | −0.86 | |||
| CMJR (cm) | NCOD | 15.10 ± 2.47 | 16.05 ± 2.45 | 0.044 * | 1.30 | 0.110 | 1.22 |
| COD | 12.70 ± 0.87 | 14.90 ± 2.04 | 0.202 | 0.82 | |||
| CMJL (cm) | NCOD | 15.96 ± 3.28 | 14.84 ± 2.91 | 0.122 | −0.87 | 0.074 | 1.41 |
| COD | 11.83 ± 2.38 | 14.61 ± 2.53 | 0.073 | 1.36 | |||
| CMJASI (%) | NCOD | 21.86 ± 6.93 | 11.68 ± 2.87 | 0.014 * | −1.86 | 0.881 | −0.10 |
| COD | 22.43 ± 2.50 | 20.30 ± 7.25 | 0.691 | 0.22 | |||
| SLRJR (m/s) | NCOD | 0.43 ± 0.12 | 0.42 ± 0.10 | 0.672 | −0.20 | 0.123 | 1.18 |
| COD | 0.32 ± 0.06 | 0.31 ± 0.03 | 0.847 | 0.11 | |||
| SLRJL (m/s) | NCOD | 0.42 ± 0.12 | 0.43 ± 0.10 | 0.859 | 0.09 | 0.063 | 1.48 |
| COD | 0.32 ± 0.06 | 0.31 ± 0.03 | 0.073 | −0.10 | |||
| SLRJASI (%) | NCOD | 27.67 ± 15.53 | 22.01 ± 14.10 | 0.028 * | −1.50 | 0.262 | −0.82 |
| COD | 39.19 ± 11.92 | 31.80 ± 8.03 | 0.405 | −0.48 | |||
| COD180R (s) | NCOD | 4.78 ± 0.11 | 4.76 ± 0.17 | 0.703 | −0.18 | 0.361 | −1.00 |
| COD | 4.86 ± 0.13 | 5.00 ± 0.11 | 0.131 | 1.03 | |||
| COD180L (s) | NCOD | 4.78 ± 0.36 | 4.80 ± 0.18 | 0.824 | 0.10 | 0.550 | −0.42 |
| COD | 4.91 ± 0.21 | 4.93 ± 0.18 | 0.690 | 0.22 | |||
| CODASY (%) | NCOD | 7.16 ± 2.19 | 4.44 ± 2.43 | 0.196 | −0.69 | 0.336 | 0.69 |
| COD | 5.38 ± 3.02 | 2.77 ± 0.92 | 0.190 | −0.85 | |||
| CODDR (s) | NCOD | 2.74 ± 0.09 | 2.73 ± 0.14 | 0.895 | −0.06 | 0.176 | −1.01 |
| COD | 2.82 ± 0.05 | 2.98 ± 0.06 | 0.009 ** | 3.06 | |||
| CODDL (s) | NCOD | 2.74 ± 0.24 | 2.79 ± 0.18 | 0.533 | 0.30 | 0.515 | −0.46 |
| COD | 2.84 ± 0.16 | 2.90 ± 0.14 | 0.074 | 1.35 | |||
Publisher’s Note: MDPI stays neutral with regard to jurisdictional claims in published maps and institutional affiliations. |
© 2021 by the authors. Licensee MDPI, Basel, Switzerland. This article is an open access article distributed under the terms and conditions of the Creative Commons Attribution (CC BY) license (https://creativecommons.org/licenses/by/4.0/).
Share and Cite
Arede, J.; Poureghbali, S.; Freitas, T.; Fernandes, J.; Schöllhorn, W.I.; Leite, N. The Effect of Differential Repeated Sprint Training on Physical Performance in Female Basketball Players: A Pilot Study. Int. J. Environ. Res. Public Health 2021, 18, 12616. https://doi.org/10.3390/ijerph182312616
Arede J, Poureghbali S, Freitas T, Fernandes J, Schöllhorn WI, Leite N. The Effect of Differential Repeated Sprint Training on Physical Performance in Female Basketball Players: A Pilot Study. International Journal of Environmental Research and Public Health. 2021; 18(23):12616. https://doi.org/10.3390/ijerph182312616
Chicago/Turabian StyleArede, Jorge, Sogand Poureghbali, Tomás Freitas, John Fernandes, Wolfgang I. Schöllhorn, and Nuno Leite. 2021. "The Effect of Differential Repeated Sprint Training on Physical Performance in Female Basketball Players: A Pilot Study" International Journal of Environmental Research and Public Health 18, no. 23: 12616. https://doi.org/10.3390/ijerph182312616
APA StyleArede, J., Poureghbali, S., Freitas, T., Fernandes, J., Schöllhorn, W. I., & Leite, N. (2021). The Effect of Differential Repeated Sprint Training on Physical Performance in Female Basketball Players: A Pilot Study. International Journal of Environmental Research and Public Health, 18(23), 12616. https://doi.org/10.3390/ijerph182312616

