The Impact of Multiple Sclerosis Disease Status and Subtype on Hematological Profile
Abstract
1. Introduction
2. Materials and Methods
2.1. Sample Population and Data Preprocessing
2.2. Statistical Methods
3. Results
3.1. Case–control Analysis
3.2. Subtype Analysis
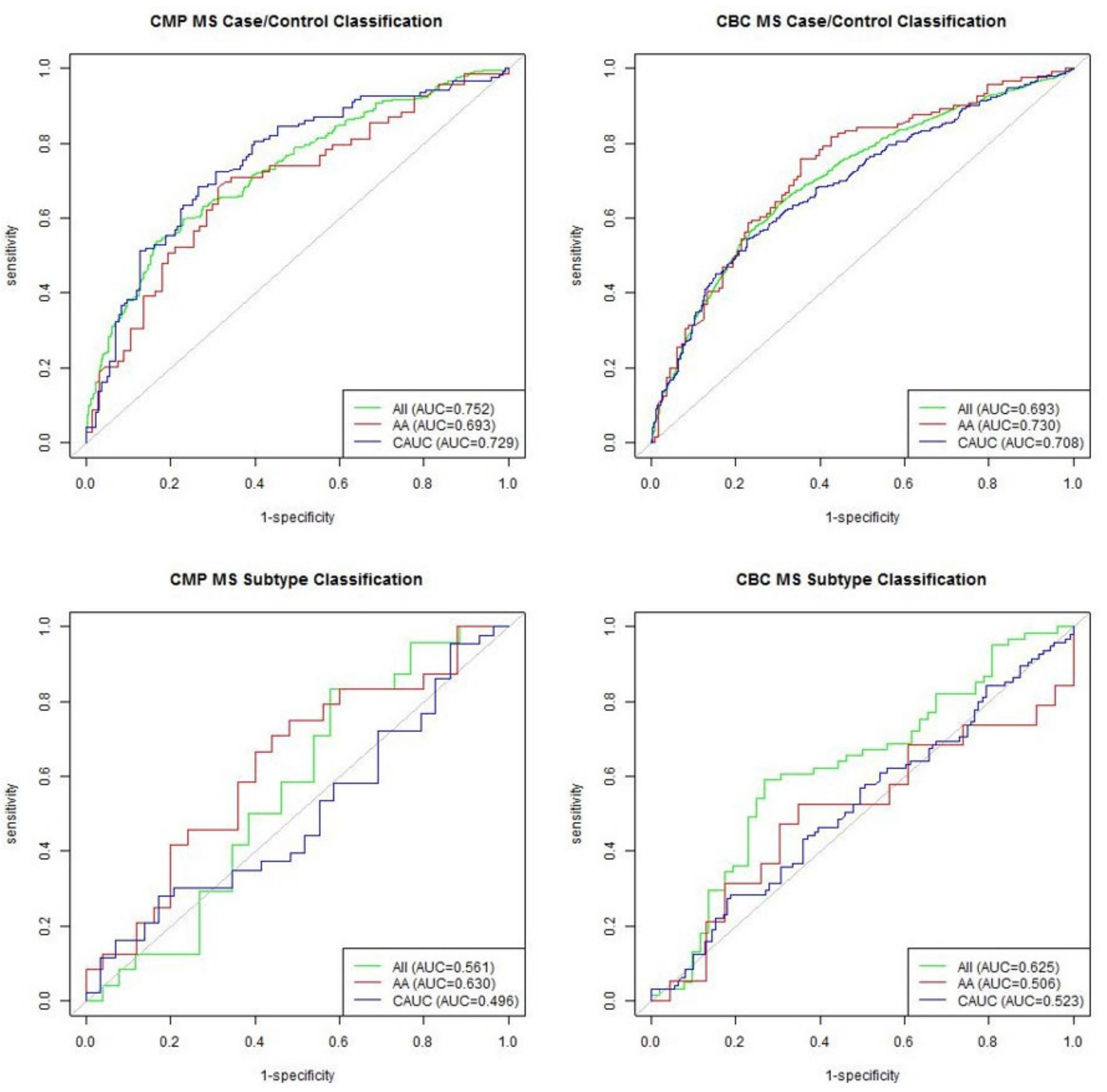
3.3. Random Forest Classification
4. Discussion
5. Conclusions
Supplementary Materials
Author Contributions
Funding
Institutional Review Board Statement
Informed Consent Statement
Data Availability Statement
Acknowledgments
Conflicts of Interest
References
- Nafee, T.; Watanabe, R.; Fregni, F. Multiple sclerosis. Neuromethods 2018, 138, 263–295. Available online: http://www.nature.com/articles/s41572-018-0041-4 (accessed on 2 January 2019).
- Kantarci, O.H.; Lebrun, C.; Siva, A.; Keegan, M.B.; Azevedo, C.J.; Inglese, M.; Tintoré, M.; Bs, B.D.N.; Durand-Dubief, F.; Amato, M.P.; et al. Primary Progressive Multiple Sclerosis Evolving from Radiologically Isolated Syndrome. Ann. Neurol. 2015, 79, 288–294. [Google Scholar] [CrossRef]
- Gebregiworgis, T.; Nielsen, H.H.; Massilamany, C.; Gangaplara, A.; Reddy, J.; Illes, Z.; Powers, R. A Urinary Metabolic Signature for Multiple Sclerosis and Neuromyelitis Optica. J. Proteome Res. 2016, 15, 659–666. [Google Scholar] [CrossRef] [PubMed]
- Abdelhak, A.; Hottenrott, T.; Mayer, C.; Hintereder, G.; Zettl, U.K.; Stich, O.; Tumani, H. CSF profile in primary progressive multiple sclerosis: Re-exploring the basics. PLoS ONE 2017, 12, e0182647. [Google Scholar] [CrossRef] [PubMed]
- Sheremata, A.W.; Jy, W.; Horstman, L.L.; Ahn, Y.S.; Alexander, J.S.; Minagar, A. Evidence of platelet activation in multiple sclerosis. J. Neuroinflamm. 2008, 5, 27. [Google Scholar] [CrossRef] [PubMed]
- Avşar, T.; Durası, I.M.; Uygunoğlu, U.; Tütüncü, M.; Demirci, N.O.; Saip, S.; Sezerman, O.U.; Siva, A.; Turanlı, E.T. CSF Proteomics Identifies Specific and Shared Pathways for Multiple Sclerosis Clinical Subtypes. PLoS ONE 2015, 10, e0122045. [Google Scholar] [CrossRef]
- Terzi, M.; Birinci, A.; Cetinkaya, E.; Onar, M.K. Cerebrospinal fluid total tau protein levels in patients with multiple sclerosis. Acta Neurol. Scand. 2007, 115, 325–330. [Google Scholar] [CrossRef]
- Kim, H.-H.; Jeong, I.H.; Hyun, J.-S.; Kong, B.S.; Kim, H.J.; Park, S.J. Metabolomic profiling of CSF in multiple sclerosis and neuromyelitis optica spectrum disorder by nuclear magnetic resonance. PLoS ONE 2017, 12, 1758. [Google Scholar] [CrossRef]
- Bartosik-Psujek, H.; Psujek, M.; Jaworski, J.; Stelmasiak, Z. Total tau and S100b proteins in different types of multiple sclerosis and during immunosuppressive treatment with mitoxantrone. Acta Neurol. Scand. 2011, 123, 252–256. [Google Scholar] [CrossRef] [PubMed]
- Peng, F.; Deng, X.; Yü, Y.; Chen, X.; Shen, L.; Zhong, X.; Qiu, W.; Jiang, Y.; Zhang, J.; Hu, X. Serum bilirubin concentrations and multiple sclerosis. J. Clin. Neurosci. 2011, 18, 1355–1359. [Google Scholar] [CrossRef]
- Amorini, A.M.; Nociti, V.; Petzold, A.; Gasperini, C.; Quartuccio, E.; Lazzarino, G.; Di Pietro, V.; Belli, A.; Signoretti, S.; Vagnozzi, R.; et al. Serum lactate as a novel potential biomarker in multiple sclerosis. Biochim. Biophys. Acta Mol. Basis Dis. 2014, 1842, 1137–1143. [Google Scholar] [CrossRef] [PubMed]
- Zoccolella, S.; Tortorella, C.; Iaffaldano, P.; DiRenzo, V.; D’Onghia, M.; Luciannatelli, E.; Paolicelli, D.; Livrea, P.; Trojano, M. Low Serum Urate Levels Are Associated to Female Gender in Multiple Sclerosis Patients. PLoS ONE 2012, 7, e40608. [Google Scholar] [CrossRef]
- Jorissen, W.; Wouters, E.; Bogie, J.F.; Vanmierlo, T.; Noben, J.-P.; Sviridov, D.; Hellings, N.; Somers, V.; Valcke, R.; Vanwijmeersch, B.; et al. Relapsing-remitting multiple sclerosis patients display an altered lipoprotein profile with dysfunctional HDL. Sci. Rep. 2017, 7, srep43410. [Google Scholar] [CrossRef] [PubMed]
- Jia, X.; Madireddy, L.; Caillier, S.; Santaniello, A.; Esposito, F.; Comi, G.; Stuve, O.; Zhou, Y.; Taylor, B.; Kilpatrick, T.; et al. Genome sequencing uncovers phenocopies in primary progressive multiple sclerosis. Ann. Neurol. 2018, 84, 51–63. [Google Scholar] [CrossRef] [PubMed]
- Khalilia, M.; Chakraborty, S.; Popescu, M. Predicting disease risks from highly imbalanced data using random forest. BMC Med. Inf. Decis. Mak. 2011, 11, 51. [Google Scholar] [CrossRef]
- Marino, S.R.; Lin, S.; Maiers, M.; Haagenson, M.; Spellman, S.; Klein, J.P.; Binkowski, T.A.; Lee, S.J.; van Besien, K. Identification by random forest method of HLA class i amino acid substitutions associated with lower survival at day 100 in unrelated donor hematopoietic cell transplantation. Bone Marrow Transplant. 2012, 47, 217–226. [Google Scholar] [CrossRef]
- Raess, P.W.; Van De Geijn, G.-J.M.; Njo, T.L.; Klop, B.; Sukhachev, D.; Wertheim, G.; McAleer, T.; Master, S.R.; Bagg, A. Automated screening for myelodysplastic syndromes through analysis of complete blood count and cell population data parameters. Am. J. Hematol. 2014, 89, 369–374. [Google Scholar] [CrossRef] [PubMed]
- Donato, L.; Scimone, C.; Alibrandi, S.; Pitruzzella, A.; Scalia, F.; D’angelo, R.; Sidoti, A. Possible a2e mutagenic effects on rpe mito-chondrial dna from innovative rna-seq bioinformatics pipeline. Antioxidants 2020, 9, 1158. [Google Scholar] [CrossRef]
- Scimone, C.; Alibrandi, S.; Scalinci, S.Z.; Battagliola, E.T.; D’angelo, R.; Sidoti, A.; Donato, L. Expression of pro-angiogenic markers is en-hanced by blue light in human rpe cells. Antioxidants 2020, 9, 1154. [Google Scholar] [CrossRef]
- Verma, S.S.; Lucas, A.M.; Lavage, D.R.; Leader, J.B.; Metpally, R.; Krishnamurthy, S.; Dewey, F.; Borecki, I.; Lopez, A.; Overton, J.; et al. Identifying Genetic Associations with Variability in Metabolic Health and Blood Count Laboratory Values: Diving into the Quantitative Traits by Leveraging Longitudinal Data From an EHR. Pac. Symp. Biocomput. Pac. Symp. Biocomput. 2016, 22, 533–544. [Google Scholar] [CrossRef]
- Ljubisavljevic, S.; Stojanovic, I.; Vojinovic, S.; Milojkovic, M.; Dunjic, O.; Stojanov, D.; Pavlovic, D. Association of serum bilirubin and uric acid levels changes during neuroinflammation in patients with initial and relapsed demyelination attacks. Metab. Brain Dis. 2013, 28, 629–638. [Google Scholar] [CrossRef] [PubMed]
- Lazzarino, G.; Amorini, A.M.; Petzold, A.; Gasperini, C.; Ruggieri, S.; Quartuccio, M.E.; Lazzarino, G.; Di Stasio, E.; Tavazzi, B. Serum Compounds of Energy Metabolism Impairment Are Related to Disability, Disease Course and Neuroimaging in Multiple Sclerosis. Mol. Neurobiol. 2016, 54, 7520–7533. [Google Scholar] [CrossRef]
- Hemond, C.C.; Glanz, B.I.; Bakshi, R.; Chitnis, T.; Healy, B.C. The neutrophil-to-lymphocyte and monocyte-to-lymphocyte ratios are independently associated with neurological disability and brain atrophy in multiple sclerosis. BMC Neurol. 2019, 19, 1–10. [Google Scholar] [CrossRef] [PubMed]
- Demirci, S.; Demirci, S.; Kutluhan, S.; Koyuncuoglu, H.R.; Yurekli, V.A. The clinical significance of the neutrophil-to-lymphocyte ratio in multiple sclerosis. Int. J. Neurosci. 2015, 126, 1–7. [Google Scholar] [CrossRef] [PubMed]
- Bisgaard, A.; Pihl-Jensen, G.; Frederiksen, J. The neutrophil-to-lymphocyte ratio as disease actvity marker in multiple sclerosis and optic neuritis. Mult. Scler. Relat. Disord. 2017, 18, 213–217. [Google Scholar] [CrossRef] [PubMed]
- Al-Hussain, F.; Alfallaj, M.M.; Alahmari, A.N.; Almazyad, A.N.; Alsaeed, T.K.; Abdurrahman, A.A.; Murtaza, G.; Bashir, S. Relationship between neu-trophiltolymphocyte ratio and stress in multiple sclerosis patients. J. Clin. Diagn. Res. 2017, 11, 1–4. Available online: www.jcdr.net (accessed on 3 September 2019).
- Hasselbalch, I.C.; Søndergaard, H.B.; Koch-Henriksen, N.; Olsson, A.; Ullum, H.; Sellebjerg, F.; Oturai, A.B. The neutrophil-to-lymphocyte ratio is associated with multiple sclerosis. Mult. Scler. J. Exp. Transl. Clin. 2018, 4. [Google Scholar] [CrossRef] [PubMed]
- Amorini, A.M.; Petzold, A.; Tavazzi, B.; Eikelenboom, J.; Keir, G.; Belli, A.; Giovannoni, G.; Di Pietro, V.; Polman, C.; D’Urso, S.; et al. Increase of uric acid and purine compounds in bio-logical fluids of multiple sclerosis patients. Clin. Biochem. 2009, 42, 1001–1006. Available online: www.sciencedirect.com (accessed on 3 September 2019). [CrossRef]
- Davis, M.F.; Sriram, S.; Bush, W.S.; Denny, J.C.; Haines, J.L. Automated extraction of clinical traits of multiple sclerosis in electronic medical records. J. Am. Med Inf. Assoc. 2013, 20, e334–e340. [Google Scholar] [CrossRef] [PubMed]
- Tavazzi, B.; Batocchi, A.P.; Amorini, A.M.; Nociti, V.; D’Urso, S.; Longo, S.; Gullotta, S.; Picardi, M.; Lazzarino, G. Serum Metabolic Profile in Multiple Sclerosis Patients. Mult. Scler. Int. 2011, 2011, 1–8. [Google Scholar] [CrossRef] [PubMed]
- Koudriavtseva, T.; Plantone, D.; Renna, R.; Mandoj, C.; Giannarelli, D.; Mainero, C. Interferon-β therapy and risk of thrombocyto-penia in multiple sclerosis patients. Neurol. Sci. 2015, 36, 2263–2268. [Google Scholar] [CrossRef] [PubMed]
- Rieckmann, P.; O’Connor, P.; Francis, G.S.; Wetherill, G.; Alteri, E. Haematological effects of interferon-β-1a (Rebif®) therapy in multiple sclerosis. Drug Saf. 2004, 27, 745–756. [Google Scholar] [CrossRef] [PubMed]
- Lim, Z.W.; Elwood, E.; Naveed, H.; Galea, I. Lymphopenia in treatment-naive relapsing multiple sclerosis: Table. Neurol. Neuroimmunol. Neuroinflamm. 2016, 3, e275. [Google Scholar] [CrossRef] [PubMed]

| RRMS/SPMS | PPMS | All MS Cases | Controls | ||
|---|---|---|---|---|---|
| Caucasian Cohort | Number of patients | 1643 | 259 | 4306 | 38,592 | 
| Average Age (years) | 47.1 | 53.6 | 56.3 | 58.2 | |
| % Female | 76.9% | 68.0% | 76.4% | 51.9% | |
| African American Cohort | Number of patients | 227 | 47 | 596 | 3425 | 
| Average Age (years) | 44.0 | 52.4 | 52.5 | 51.1 | |
| % Female | 84.1% | 68.1% | 79.8% | 61.6% | 
| Caucasian | African American | |||
|---|---|---|---|---|
| Odds Ratio (95% CI) | p-Value | Odds Ratio (95% CI) | p-Value | |
| CBC | ||||
| Hemoglobin (Hgb) | 1.15 (1.13–1.18) | 1.84 × 10−39 | 1.14 (1.08–1.21) | 1.03 × 10−5 | 
| Immature platelet fraction (IPF) | 0.99 (0.95–1.03) | 0.714 | 0.99 (0.88–1.08) | 0.763 | 
| Immature reticulocyte fraction (IRF) | 1.01 (0.99–1.03) | 0.212 | 1.02 (0.98–1.07) | 0.306 | 
| Mean corpuscular hemoglobin (MCH) | 1.03 (1.01–1.04) | 0.002 | 1.00 (0.97–1.03) | 0.981 | 
| MHC concentration (MCHC) | 1.04 (1.01–1.06) | 0.011 | 0.91 (0.84–0.98) | 0.010 | 
| Mean corpuscular volume (MCV) | 1.01 (1.00–1.01) | 0.041 | 1.01 (0.99–1.02) | 0.396 | 
| Mean platelet volume (MPV) | 1.11 (1.07–1.16) | 1.61 × 10−6 | 1.25 (1.12–1.40) | 1.05 × 10−4 | 
| Packed cell volume (PCV) | 1.06 (1.05–1.07) | 2.80 × 10−49 | 1.06 (1.04–1.09) | 9.10 × 10−9 | 
| Platelet count (PltCt) | 1.00 (1.00–1.00) | 7.46 × 10−9 | 1.00 (1.00–1.00) | 0.099 | 
| Red blood cell count (RBC) | 1.20 (1.12–1.27) | 1.38 × 10−8 | 1.44 (1.23–1.68) | 7.77 × 10−6 | 
| Red cell distribution width (RDW) | 0.95 (0.93–0.98) | 1.19 × 10−4 | 0.92 (0.88–0.97) | 0.003 | 
| RDW standard deviation (RDWSD) | 1.01 (1.00–1.01) | 0.191 | 1.00 (0.98–1.02) | 0.880 | 
| Reticulocytes absolute value (RetAbs) | 1.01 (1.00–1.02) | 0.003 | 1.01 (0.99–1.03) | 0.192 | 
| Reticulocyte Hgb equivalent (RETHE) | 0.97 (0.94–1.01) | 0.118 | 0.98 (0.91–1.04) | 0.552 | 
| Reticulocyte count (RetiCt) | 1.00 (0.92–1.08) | 0.924 | 0.98 (0.71–1.23) | 0.863 | 
| White blood cell count (WBC) | 0.95 (0.94–0.96) | 4.55 × 10−19 | 0.94 (0.91–0.97) | 1.67 × 10−4 | 
| Neutrophil absolute count (NeutAbs) | 0.93 (0.91–0.94) | 5.36 × 10−27 | ‡ | |
| Lymphocyte absolute count (LymAbs) | 0.98 (0.95–1.00) | 0.071 | ‡ | |
| Neutrophil-to-lymphocyte ratio (NLR) | 0.95 (0.94–0.96) | 4.93 × 10−16 | 0.97 (0.93–1.00) | 0.042 | 
| CMP | ||||
| Albumin (Alb) | 1.47 (1.34–1.61) | 2.88 × 10−16 | 1.68 (1.30–2.18) | 1.05 × 10−4 | 
| Alkaline phosphatase (AlkP) | 1.00 (1.00–1.00) | 0.875 | 1.00 (1.00–1.00) | 0.091 | 
| Anion gap (ANGAP) | 1.10 (1.08–1.12) | 8.11 × 10−37 | 1.11 (1.07–1.16) | 1.17 × 10−6 | 
| Blood urea nitrogen (BUN) | 1.01 (1.00–1.01) | 0.010 | 1.00 (0.99–1.02) | 0.555 | 
| Calcium (Ca) | 1.05 (0.98–1.13) | 0.148 | 1.17 (0.96–1.42) | 0.115 | 
| Chloride (Cl) | 0.96 (0.95–0.97) | 1.66 × 10−13 | 0.98 (0.95–1.01) | 0.255 | 
| Carbon dioxide (CO2) | 1.01 (0.99–1.02) | 0.375 | 1.00 (0.97–1.05) | 0.826 | 
| Creatinine (Creat) | 0.48 (0.40–0.57) | 2.32 × 10−16 | 0.79 (0.64–0.92) | 0.012 | 
| Glucose (Gluc) | 1.00 (1.00–1.00) | 7.50 × 10−5 | 1.01 (1.00–1.01) | 1.23 × 10−4 | 
| Icterus index (IctIdx) | 0.76 (0.34–1.39) | 0.447 | ‡ | |
| Potassium (K) | 1.14 (1.04–1.26) | 0.007 | 1.42 (1.10–1.83) | 0.008 | 
| Lipid index (LipIdx) | 1.01 (0.99–1.02) | 0.465 | 1.02 (1.00–1.05) | 0.079 | 
| Sodium (Na) | 1.02 (1.01–1.04) | 0.005 | 1.07 (1.03–1.12) | 0.002 | 
| Aspartate amino transferase (SGOT) | 1.00 (0.99–1.00) | 1.03 × 10−5 | 1.00 (1.00–1.00) | 0.471 | 
| Alanine amino transferase (SGPT) | 1.00 (1.00–1.00) | 0.444 | 1.00 (1.00–1.00) | 0.947 | 
| Bilirubin (TBil) | 0.19 (0.16–0.22) | 3.7 × 10−104 | 0.19 (0.13–0.29) | 1.50 × 10−14 | 
| Total protein (TProt) | 1.11 (1.04–1.19) | 0.002 | 0.99 (0.84–1.17) | 0.920 | 
| Caucasian | African American | |||
|---|---|---|---|---|
| Odds Ratio (95% CI) | p-Value | Odds Ratio (95% CI) | p-Value | |
| CBC | ||||
| Hemoglobin (Hgb) | 1.03 (0.93–1.14) | 0.579 | 1.08 (0.85–1.38) | 0.520 | 
| Immature platelet fraction (IPF) | 1.03 (0.90–1.38) | 0.769 | † | |
| Immature reticulocyte fraction (IRF) | 1.05 (0.95–1.20) | 0.433 | † | |
| Mean corpuscular hemoglobin (MCH) | 1.05 (0.97–1.12) | 0.224 | 1.05 (0.92–1.20) | 0.463 | 
| MHC concentration (MCHC) | 1.14 (0.99–1.32) | 0.070 | 0.99 (0.71–1.37) | 0.947 | 
| Mean corpuscular volume (MCV) | 1.01 (0.98–1.04) | 0.547 | 1.03 (0.97–1.08) | 0.344 | 
| Mean platelet volume (MPV) | 1.23 (1.01–1.51) | 0.046 | 1.20 (0.76–1.94) | 0.442 | 
| Packed cell volume (PCV) | 1.00 (0.97–1.04) | 0.837 | 1.03 (0.95–1.13) | 0.454 | 
| Platelet count (PltCt) | 1.00 (1.00–1.00) | 0.022 | 1.00 (0.99–1.00) | 0.435 | 
| Red blood cell count (RBC) | 1.02 (0.74–1.39) | 0.926 | 0.92 (0.47–1.83) | 0.808 | 
| Red cell distribution width (RDW) | 0.91 (0.82–1.03) | 0.129 | 0.99 (0.80–1.27) | 0.959 | 
| RDW standard deviation (RDWSD) | 0.99 (0.95–1.03) | 0.456 | 1.00 (0.91–1.10) | 0.930 | 
| Reticulocytes absolute value (RetAbs) | ‡ | † | ||
| Reticulocyte Hgb equivalent (RETHE) | 0.98 (0.78–1.18) | 0.825 | † | |
| Reticulocyte count (RetiCt) | 0.80 (0.51–1.33) | 0.358 | 0.98 (0.19–5.29) | 0.983 | 
| White blood cell count (WBC) | 0.95 (0.90–0.99) | 0.029 | 0.92 (0.81–1.06) | 0.254 | 
| Neutrophil absolute count (NeutAbs) | 0.91 (0.86–0.97) | 0.003 | 0.86 (0.72–1.03) | 0.092 | 
| Lymphocyte absolute count (LymAbs) | 0.99 (0.83–1.19) | 0.945 | 0.69 (0.45–1.07) | 0.090 | 
| Neutrophil-to-lymphocyte ratio (NLR) | 1.00 (0.96–1.06) | 0.984 | 0.93 (0.77–1.17) | 0.497 | 
| CMP | ||||
| Albumin (Alb) | 1.02 (0.68–1.50) | 0.927 | 1.88 (0.84–4.17) | 0.112 | 
| Alkaline phosphatase (AlkP) | 1.00 (0.99–1.00) | 0.738 | 0.99 (0.98–1.00) | 0.122 | 
| Anion gap (ANGAP) | 1.05 (0.97–1.14) | 0.220 | 1.40 (1.09–1.82) | 0.009 | 
| Blood urea nitrogen (BUN) | 1.01 (0.98–1.04) | 0.683 | 1.03 (0.96–1.11) | 0.487 | 
| Calcium (Ca) | 1.09 (0.81–1.45) | 0.553 | 2.58 (1.12–6.16) | 0.028 | 
| Chloride (Cl) | 1.03 (0.98–1.08) | 0.249 | 0.82 (0.70–0.96) | 0.014 | 
| Carbon dioxide (CO2) | 0.95 (0.90–1.01) | 0.123 | 1.08 (0.90–1.30) | 0.396 | 
| Creatinine (Creat) | 2.23 (1.05–5.13) | 0.051 | 4.78 (1.04–29.11) | 0.066 | 
| Glucose (Gluc) | 1.00 (1.00–1.01) | 0.714 | 1.01 (1.00–1.03) | 0.110 | 
| Icterus index (IctIdx) | 0.75 (0.19–2.63) | 0.656 | † | |
| Potassium (K) | 1.21 (0.80–1.83) | 0.376 | 1.03 (0.31–3.50) | 0.965 | 
| Lipid index (LipIdx) | 1.07 (0.99–1.22) | 0.226 | † | |
| Sodium (Na) | 1.02 (0.96–1.09) | 0.461 | 0.96 (0.79–1.16) | 0.692 | 
| Aspartate amino transferase (SGOT) | 1.01 (1.00–1.02) | 0.309 | 1.02 (1.00–1.08) | 0.422 | 
| Alanine amino transferase (SGPT) | 1.00 (1.00–1.01) | 0.353 | 1.03 (0.99–1.07) | 0.191 | 
| Bilirubin (TBil) | 0.88 (0.67–1.41) | 0.443 | 0.22 (0.05–0.83) | 0.029 | 
| Total protein (TProt) | 1.06 (0.76–1.46) | 0.730 | 1.79 (0.93–3.44) | 0.076 | 
| Publisher’s Note: MDPI stays neutral with regard to jurisdictional claims in published maps and institutional affiliations. | 
© 2021 by the authors. Licensee MDPI, Basel, Switzerland. This article is an open access article distributed under the terms and conditions of the Creative Commons Attribution (CC BY) license (http://creativecommons.org/licenses/by/4.0/).
Share and Cite
Miller, J.M.; Beales, J.T.; Montierth, M.D.; Briggs, F.B.; Frodsham, S.F.; Davis, M.F. The Impact of Multiple Sclerosis Disease Status and Subtype on Hematological Profile. Int. J. Environ. Res. Public Health 2021, 18, 3318. https://doi.org/10.3390/ijerph18063318
Miller JM, Beales JT, Montierth MD, Briggs FB, Frodsham SF, Davis MF. The Impact of Multiple Sclerosis Disease Status and Subtype on Hematological Profile. International Journal of Environmental Research and Public Health. 2021; 18(6):3318. https://doi.org/10.3390/ijerph18063318
Chicago/Turabian StyleMiller, Jacob M., Jeremy T. Beales, Matthew D. Montierth, Farren B. Briggs, Scott F. Frodsham, and Mary Feller Davis. 2021. "The Impact of Multiple Sclerosis Disease Status and Subtype on Hematological Profile" International Journal of Environmental Research and Public Health 18, no. 6: 3318. https://doi.org/10.3390/ijerph18063318
APA StyleMiller, J. M., Beales, J. T., Montierth, M. D., Briggs, F. B., Frodsham, S. F., & Davis, M. F. (2021). The Impact of Multiple Sclerosis Disease Status and Subtype on Hematological Profile. International Journal of Environmental Research and Public Health, 18(6), 3318. https://doi.org/10.3390/ijerph18063318
 
         
                                                

 
       