Bayesian Group Index Regression for Modeling Chemical Mixtures and Cancer Risk
Abstract
1. Introduction
2. Materials & Methods
2.1. Bayesian Group Index Regression
2.2. Simulation Study Design
2.3. Data Analysis
3. Results
3.1. Simulation Study
3.2. Application to Childhood Leukemia Risk Estimates
4. Discussion
5. Conclusions
Supplementary Materials
Author Contributions
Funding
Institutional Review Board Statement
Informed Consent Statement
Data Availability Statement
Acknowledgments
Conflicts of Interest
References
- Reuben, S.H. For President’s Cancer Panel. 2008–2009 Annual Report in President’s Cancer Panel. Reducing Environmental Cancer Risk: What We Can Do Now. Available online: https://deainfo.nci.nih.gov/advisory/pcp/annualReports/pcp08-09rpt/PCP_Report_08-09_508.pdf (accessed on 8 January 2021).
- Colt, J.S.; Severson, R.K.; Lubin, J.; Rothman, N.; Camann, D.; Davis, S.; Cerhan, J.R.; Cozen, W.; Hartge, P. Organochlorines in Carpet Dust and Non-Hodgkin Lymphoma. Epidemiology 2005, 16, 516–525. [Google Scholar] [CrossRef]
- Colt, J.S.; Davis, S.; Severson, R.K.; Lynch, C.F.; Cozen, W.; Camann, D.; Engels, E.A.; Blair, A.; Hartge, P. Residential Insecticide Use and Risk of Non-Hodgkin’s Lymphoma. Cancer Epidemiol. Biomark. Prev. 2006, 15, 251–257. [Google Scholar] [CrossRef]
- De Roos, A.J.; Hartge, P.; Lubin, J.H.; Colt, J.S.; Davis, S.; Cerhan, J.R.; Severson, R.K.; Cozen, W.; Patterson, D.G.; Needham, L.L.; et al. Persistent Organochlorine Chemicals in Plasma and Risk of Non-Hodgkin’s Lymphoma. Cancer Res. 2005, 65, 11214–11226. [Google Scholar] [CrossRef] [PubMed]
- Brown, L.M.; Blair, A.; Gibson, R.; Everett, G.D.; Cantor, K.P.; Schuman, L.M.; Burmeister, L.F.; Van Lier, S.F.; Dick, F. Pesticide exposures and other agricultural risk factors for leukemia among men in Iowa and Minnesota. Cancer Res. 1990, 50, 6585–6591. [Google Scholar]
- Ward, M.H.; Colt, J.S.; Metayer, C.; Gunier, R.B.; Lubin, J.; Crouse, V.; Nishioka, M.G.; Reynolds, P.; Buffler, P.A. Residential Exposure to Polychlorinated Biphenyls and Organochlorine Pesticides and Risk of Childhood Leukemia. Environ. Health Perspect. 2009, 117, 1007–1013. [Google Scholar] [CrossRef]
- Zahm, S.; Ward, M. Pesticides and childhood cancer. Environ. Health Perspect. 1998, 106, 893–908. [Google Scholar] [PubMed]
- Purdue, M.P.; Hoppin, J.A.; Blair, A.; Dosemeci, M.; Alavanja, M.C. Occupational exposure to organochlorine insecticides and cancer incidence in the Agricultural Health Study. Int. J. Cancer 2006, 120, 642–649. [Google Scholar] [CrossRef] [PubMed]
- Everett, C.J.; Mainous, A., III; Frithsen, I.L.; Player, M.S.; Matheson, E.M. Association of polychlorinated biphenyls with hypertension in the 1999–2002 National Health andNutrition Examination Survey. Environ. Res. 2008, 108, 94–97. [Google Scholar] [CrossRef]
- Patel, C.J.; Bhattacharya, J.; Butte, A.J. An Environment-Wide Association Study (EWAS) on Type 2 Diabetes Mellitus. PLoS ONE 2010, 5, e10746. [Google Scholar] [CrossRef] [PubMed]
- Patel, C.J.; Cullen, M.R.; Ioannidis, J.P.A.; Butte, A.J. Systematic evaluation of environmental factors: Persistent pollutants and nutrients correlated with serum lipid levels. Int. J. Epidemiol. 2012, 41, 828–843. [Google Scholar] [CrossRef]
- Park, S.K.; Tao, Y.; Meeker, J.D.; Harlow, S.D.; Mukherjee, B. Environmental Risk Score as a New Tool to Examine Multi-Pollutants in Epidemiologic Research: An Example from the NHANES Study Using Serum Lipid Levels. PLoS ONE 2014, 9, e98632. [Google Scholar] [CrossRef]
- Bobb, J.F.; Valeri, L.; Henn, B.C.; Christiani, D.C.; Wright, R.O.; Mazumdar, M.; Godleski, J.J.; Coull, B.A. Bayesian kernel machine regression for estimating the health effects of multi-pollutant mixtures. Biostatistics 2015, 16, 493–508. [Google Scholar] [CrossRef] [PubMed]
- Carrico, C.; Gennings, C.; Wheeler, D.C.; Factor-Litvak, P. Characterization of Weighted Quantile Sum Regression for Highly Correlated Data in a Risk Analysis Setting. J. Agric. Biol. Environ. Stat. 2015, 20, 100–120. [Google Scholar] [CrossRef] [PubMed]
- Czarnota, J.; Gennings, C.; Colt, J.S.; De Roos, A.J.; Cerhan, J.R.; Severson, R.K.; Hartge, P.; Ward, M.H.; Wheeler, D.C. Analysis of Environmental Chemical Mixtures and Non-Hodgkin Lymphoma Risk in the NCI-SEER NHL Study. Environ. Health Perspect. 2015, 123, 965–970. [Google Scholar] [CrossRef] [PubMed]
- Czarnota, J.; Gennings, C.; Wheeler, D.C. Assessment of Weighted Quantile Sum Regression for Modeling Chemical Mixtures and Cancer Risk. Cancer Inform. 2015, 14, 159–171. [Google Scholar] [CrossRef] [PubMed]
- Wheeler, D.C.; Czarnota, J. Modeling Chemical Mixture Effects with Grouped Weighted Quantile Sum Regression. In Proceedings of the 28th Annual Conference of the International Society for Environmental Epidemiology (ISEE), Rome, Italy, 1–4 September 2016. [Google Scholar]
- Wheeler, D.C.; Carli, M. groupWQS: Grouped Weighted Quantile Sum Regression. R Package Version 0.0.3. Available online: https://cran.r-project.org/web/packages/groupWQS/index.html (accessed on 8 January 2021).
- Wheeler, D.C.; Rustom, S.; Carli, M.; Whitehead, T.; Ward, M.H.; Metayer, C. Assessment of grouped weighted quantile sum regression for modeling chemical mixtures and cancer risk. Int. J. Environ. Res. Public Health 2021, 18, 504. [Google Scholar] [CrossRef]
- Wheeler, D.C.; Raman, S.; Jones, R.M.; Schootman, M.; Nelson, E.J. Bayesian deprivation index models for explaining variation in elevated blood lead levels among children in Maryland. Spat. Spatio-Temporal Epidemiol. 2019, 30, 100286. [Google Scholar] [CrossRef]
- Wheeler, D.C.; Boyle, J.; Raman, S.; Nelson, E.J. Modeling elevated blood lead level risk across the United States. Sci. Total Environ. 2021, 769, 145237. [Google Scholar] [CrossRef]
- Wheeler, D.C.; Do, E.; Hayes, R.; Fugate-Laus, K.; Fallavollita, W.; Hughes, C.; Fuemmeler, B. Neighborhood disadvantage and tobacco retail outlet and vape shop outlet rates. Int. J. Environ. Res. Public Health 2020, 17, 2864. [Google Scholar] [CrossRef]
- de Vocht, F.; Cherry, N.; Wakefield, J. A Bayesian mixture modeling approach for assessing the effects of correlated exposures in case-control studies. J. Expo. Sci. Environ. Epidemiol. 2012, 22, 352–360. [Google Scholar] [CrossRef] [PubMed]
- Wheeler, D.C.; Carli, M. BayesGWQS: Bayesian Grouped Weighted Quantile Sum Regression. 2020. R Package Version 0.0.2. Available online: https://cran.r-project.org/web/packages/BayesGWQS/index.html (accessed on 11 March 2021).
- Whitehead, T.P.; Metayer, C.; Ward, M.H.; Colt, J.S.; Gunier, R.B.; Deziel, N.C.; Rappaport, S.M.; Buffler, P.A. Persistent organic pollutants in dust from older homes: Learning from lead. Am. J. Public Health 2014, 104, 1320–1326. [Google Scholar] [CrossRef] [PubMed]
- Colt, J.S.; Gunier, R.B.; Metayer, C.; Nishioka, M.G.; Bell, E.M.; Reynolds, P.; Buffler, P.A.; Ward, M.H. Household vacuum cleaners vs. the high-volume surface sampler for collection of carpet dust samples in epidemiologic studies of children. Environ. Health 2008, 7, 1–9. [Google Scholar] [CrossRef] [PubMed]
- Madrigal, J.M.; Jones, R.R.; Gunier, R.B.; Whitehead, T.P.; Reynolds, P.; Metayer, C.; Ward, M.H. Residential exposure to carbamate, organophosphate, and pyrethroid insecticides in house dust and risk of childhood acute lymphoblastic leukemia. Environ. Res. 2021. submitted. [Google Scholar]
- Metayer, C.; Colt, J.S.; Buffler, P.A.; Reed, H.D.; Selvin, S.; Crouse, V.; Ward, M.H. Exposure to herbicides in house dust and risk of childhood acute lymphoblastic leukemia. J. Expo. Sci. Environ. Epidemiol. 2013, 23, 363–370. [Google Scholar] [CrossRef] [PubMed]




| Terms | Levels | Definitions |
|---|---|---|
| Exposure Scenario Set | A | 9 chemicals; 2 groups (5, 4); 2 important in each group; N = 1000 |
| B | 14 chemicals; 3 groups (5, 4, 5); 1 important in each group; N = 1000 | |
| C | 14 chemicals; 3 groups (5, 4, 5); (3, 2, 3) important in each group; N = 1000 | |
| D | 14 chemicals; 3 groups (5, 4, 5); (3, 2, 3) important per group; N = 500 | |
| Strength of Association | Level 1 | OR = 1.00 for all groups (Null effect scenario) |
| Level 2 | OR = (0.67, 1.50) for A; OR = (0.67, 1.50, 1.50) for B and C; OR = (0.75, 1.25, 1.25) for D | |
| Level 3 | OR = (0.67, 1.50) for A; OR = (0.50, 2.00, 2.00) for B and C; OR = (0.67, 1.50, 1.50) for D | |
| Level 4 | OR = (0.40, 2.50) for A; OR = (0.40, 2.50, 2.50) for B and C; OR = (0.57, 1.75, 1.75) for D | |
| Level 5 | OR = (0.67, 1.50) for A; OR = (0.33, 3.00, 3.00) for B and C; OR = (0.50, 2.00, 2.00) for D | |
| Chemical Correlation Structure | Weak | 0.5 within group, 0.1 across group |
| Moderate | 0.7 within group, 0.3 across group | |
| Strong | 0.9 within group, 0.5 across group |
| Parameter | Bayesian Group Index | GWQS | ||
|---|---|---|---|---|
| Weak Correlation | Estimated OR | Power | Estimated OR | Power |
| exp(β1) = 1.00 | 1.004 | 0.06 | 1.0306 | 0.1 |
| exp(β2) = 1.00 | 1.0027 | 0.07 | 1.0198 | 0.06 |
| exp(β3) = 1.00 | 0.9999 | 0.04 | 1.0313 | 0.06 |
| exp(β1) = 0.80 | 0.8364 | 0.27 | 0.868 | 0.13 |
| exp(β2) = 1.25 | 1.2438 | 0.4 | 1.2535 | 0.26 |
| exp(β3) = 1.25 | 1.2506 | 0.38 | 1.2304 | 0.21 |
| exp(β1) = 0.67 | 0.6971 | 0.77 | 0.7123 | 0.53 |
| exp(β2) = 1.50 | 1.5288 | 0.88 | 1.5117 | 0.74 |
| exp(β3) = 1.50 | 1.4756 | 0.81 | 1.4867 | 0.57 |
| exp(β1) = 0.57 | 0.5842 | 0.98 | 0.6181 | 0.8 |
| exp(β2) = 1.75 | 1.8097 | 1 | 1.7561 | 0.91 |
| exp(β3) = 1.75 | 1.6757 | 0.98 | 1.6248 | 0.78 |
| exp(β1) = 0.50 | 0.5096 | 1 | 0.5383 | 0.93 |
| exp(β2) = 2.00 | 2.0995 | 1 | 2.0609 | 0.98 |
| exp(β3) = 2.00 | 1.9448 | 1 | 1.9232 | 0.95 |
| Moderate Correlation | ||||
| exp(β1) = 1.00 | 1.001 | 0.03 | 1.014 | 0.04 |
| exp(β2) = 1.00 | 1.0059 | 0.06 | 1.0206 | 0.05 |
| exp(β3) = 1.00 | 1.0024 | 0.1 | 1.0079 | 0.07 |
| exp(β1) = 0.80 | 0.8236 | 0.44 | 0.8209 | 0.29 |
| exp(β2) = 1.25 | 1.2556 | 0.53 | 1.2713 | 0.35 |
| exp(β3) = 1.25 | 1.2339 | 0.42 | 1.2313 | 0.25 |
| exp(β1) = 0.67 | 0.6873 | 0.91 | 0.7258 | 0.62 |
| exp(β2) = 1.50 | 1.5014 | 0.94 | 1.4503 | 0.67 |
| exp(β3) = 1.50 | 1.4834 | 0.95 | 1.4836 | 0.69 |
| exp(β1) = 0.57 | 0.5748 | 1 | 0.6094 | 0.88 |
| exp(β2) = 1.75 | 1.7783 | 1 | 1.7019 | 0.93 |
| exp(β3) = 1.75 | 1.7679 | 1 | 1.7434 | 0.94 |
| exp(β1) = 0.50 | 0.5056 | 1 | 0.5369 | 0.97 |
| exp(β2) = 2.00 | 2.0673 | 1 | 2.0541 | 1 |
| exp(β3) = 2.00 | 2.0072 | 1 | 2.0196 | 1 |
| Strong Correlation | ||||
| exp(β1) = 1.00 | 1.0137 | 0.03 | 1.0198 | 0.06 |
| exp(β2) = 1.00 | 0.9879 | 0.08 | 1.0023 | 0.07 |
| exp(β3) = 1.00 | 1.0023 | 0.03 | 0.9988 | 0.06 |
| exp(β1) = 0.80 | 0.8175 | 0.48 | 0.8252 | 0.26 |
| exp(β2) = 1.25 | 1.249 | 0.52 | 1.2629 | 0.35 |
| exp(β3) = 1.25 | 1.2494 | 0.56 | 1.2621 | 0.3 |
| exp(β1) = 0.67 | 0.6705 | 0.94 | 0.6847 | 0.7 |
| exp(β2) = 1.50 | 1.4993 | 0.96 | 1.4783 | 0.71 |
| exp(β3) = 1.50 | 1.5217 | 0.99 | 1.5407 | 0.82 |
| exp(β1) = 0.57 | 0.5797 | 0.99 | 0.6078 | 0.88 |
| exp(β2) = 1.75 | 1.7978 | 1 | 1.7951 | 1 |
| exp(β3) = 1.75 | 1.7145 | 1 | 1.6813 | 0.93 |
| exp(β1) = 0.50 | 0.4987 | 1 | 0.5248 | 0.95 |
| exp(β2) = 2.00 | 2.0279 | 1 | 1.9909 | 0.98 |
| exp(β3) = 2.00 | 2.0217 | 1 | 2.0027 | 1 |
| Parameter | Bayesian Group Index | GWQS | ||
|---|---|---|---|---|
| Weak Correlation | MSE | Bias | MSE | Bias |
| exp(β1) = 1.00 | 0.0148 | −0.0034 | 0.0411 | 0.0088 |
| exp(β2) = 1.00 | 0.0146 | −0.0045 | 0.0312 | 0.0041 |
| exp(β3) = 1.00 | 0.0148 | −0.0076 | 0.0302 | 0.0155 |
| exp(β1) = 0.80 | 0.0146 | 0.0379 | 0.0354 | 0.0663 |
| exp(β2) = 1.25 | 0.0148 | −0.0123 | 0.031 | −0.0127 |
| exp(β3) = 1.25 | 0.0166 | −0.0080 | 0.0349 | −0.0327 |
| exp(β1) = 0.67 | 0.0231 | 0.0339 | 0.0348 | 0.0503 |
| exp(β2) = 1.50 | 0.0145 | 0.0119 | 0.0256 | −0.0049 |
| exp(β3) = 1.50 | 0.019 | −0.0258 | 0.0328 | −0.0257 |
| exp(β1) = 0.57 | 0.0209 | 0.0119 | 0.0421 | 0.06 |
| exp(β2) = 1.75 | 0.0142 | 0.0267 | 0.029 | −0.0113 |
| exp(β3) = 1.75 | 0.0194 | −0.0518 | 0.0459 | −0.0828 |
| exp(β1) = 0.50 | 0.0203 | 0.009 | 0.041 | 0.0546 |
| exp(β2) = 2.00 | 0.0168 | 0.041 | 0.028 | 0.0162 |
| exp(β3) = 2.00 | 0.0213 | −0.03824 | 0.0429 | −0.0598 |
| Moderate Correlation | MSE | Bias | MSE | Bias |
| exp(β1) = 1.00 | 0.0086 | −0.0033 | 0.0238 | 0.0015 |
| exp(β2) = 1.00 | 0.0118 | 0 | 0.0219 | 0.0097 |
| exp(β3) = 1.00 | 0.0111 | −0.0031 | 0.0254 | −0.0049 |
| exp(β1) = 0.80 | 0.0122 | 0.0234 | 0.0217 | 0.0151 |
| exp(β2) = 1.25 | 0.012 | −0.0016 | 0.0195 | 0.0073 |
| exp(β3) = 1.25 | 0.0107 | −0.0183 | 0.0209 | −0.0252 |
| exp(β1) = 0.67 | 0.0134 | 0.0241 | 0.0332 | 0.0706 |
| exp(β2) = 1.50 | 0.0144 | −0.0063 | 0.0244 | −0.0449 |
| exp(β3) = 1.50 | 0.0103 | −0.0161 | 0.0207 | −0.0211 |
| exp(β1) = 0.57 | 0.0161 | −0.0020 | 0.0301 | 0.0501 |
| exp(β2) = 1.75 | 0.0132 | 0.0095 | 0.0228 | −0.0384 |
| exp(β3) = 1.75 | 0.0151 | 0.0026 | 0.0244 | −0.0158 |
| exp(β1) = 0.50 | 0.0192 | 0.0016 | 0.0402 | 0.0525 |
| exp(β2) = 2.00 | 0.0166 | 0.025 | 0.0288 | 0.0122 |
| exp(β3) = 2.00 | 0.0174 | −0.0052 | 0.0372 | −0.0091 |
| Strong Correlation | MSE | Bias | MSE | Bias |
| exp(β1) = 1.00 | 0.0089 | 0.0091 | 0.0228 | 0.0084 |
| exp(β2) = 1.00 | 0.0133 | −0.0187 | 0.0268 | −0.0112 |
| exp(β3) = 1.00 | 0.009 | −0.0022 | 0.0258 | −0.0142 |
| exp(β1) = 0.80 | 0.0118 | 0.016 | 0.0253 | 0.0188 |
| exp(β2) = 1.25 | 0.0114 | −0.0065 | 0.0252 | −0.0023 |
| exp(β3) = 1.25 | 0.0102 | −0.0055 | 0.0228 | −0.0019 |
| exp(β1) = 0.67 | 0.0131 | −0.0007 | 0.0241 | 0.0148 |
| exp(β2) = 1.50 | 0.0105 | −0.0058 | 0.023 | −0.0258 |
| exp(β3) = 1.50 | 0.0092 | 0.0098 | 0.0198 | 0.0168 |
| exp(β1) = 0.57 | 0.0123 | 0.0083 | 0.0301 | 0.0477 |
| exp(β2) = 1.75 | 0.0126 | 0.0208 | 0.0245 | 0.013 |
| exp(β3)= 1.75 | 0.013 | −0.0266 | 0.0267 | −0.0522 |
| exp(β1) = 0.50 | 0.0151 | −0.0102 | 0.0327 | 0.0323 |
| exp(β2) = 2.00 | 0.0132 | 0.0073 | 0.032 | −0.0204 |
| exp(β3) = 2.00 | 0.0141 | 0.0036 | 0.0258 | 0.0118 |
| Bayesian Group Index | GWQS | ||||
|---|---|---|---|---|---|
| Effect Size | Correlation | Sensitivity | Specificity | Sensitivity | Specificity |
| OR = 1.00 | Weak | 0.381 | 0.62 | 0.419 | 0.618 |
| Moderate | 0.423 | 0.627 | 0.4 | 0.637 | |
| Strong | 0.425 | 0.542 | 0.38 | 0.605 | |
| OR = 1.50 | Weak | 0.523 | 0.793 | 0.493 | 0.697 |
| Moderate | 0.504 | 0.727 | 0.43 | 0.695 | |
| Strong | 0.496 | 0.677 | 0.429 | 0.693 | |
| OR = 2.00 | Weak | 0.625 | 0.903 | 0.618 | 0.827 |
| Moderate | 0.581 | 0.835 | 0.521 | 0.76 | |
| Strong | 0.525 | 0.753 | 0.47 | 0.718 | |
| OR = 2.50 | Weak | 0.685 | 0.945 | 0.698 | 0.873 |
| Moderate | 0.606 | 0.89 | 0.574 | 0.775 | |
| Strong | 0.543 | 0.813 | 0.523 | 0.753 | |
| OR = 3.00 | Weak | 0.729 | 0.963 | 0.739 | 0.907 |
| Moderate | 0.673 | 0.933 | 0.638 | 0.842 | |
| Strong | 0.583 | 0.853 | 0.534 | 0.757 | |
| Variable | Controls | Cases |
|---|---|---|
| Child’s age, Mean (SD) | 3.84 (1.90) | 3.77 (1.81) |
| Female, N (%) | 110 (41.0) | 121 (40.9) |
| Child’s Ethnicity, N (%) | 130 (43.9) | 119 (44.4) |
| White Non-Hispanic | ||
| Hispanic | 101 (34.1) | 87 (32.4) |
| Other Non-Hispanic | 65 (22.0) | 62 (23.1) |
| Household Income, N (%) | 6 (2.0) | 37 (13.8) |
| Less than USD 15,000 | ||
| USD 15,000–29,999 | 37 (12.5) | 27 (10.1) |
| USD 30,000–44,999 | 36 (12.2) | 44 (16.4) |
| USD 45,000–59,999 | 29 (9.8) | 33 (12.3) |
| USD 60,000–74,999 | 29 (9.8) | 20 (7.5) |
| USD 75,000 or more | 159 (53.7) | 107 (39.9) |
| Mother’s education, N (%) | 14 (4.7) | 16 (6.0) |
| Less than high school | ||
| High school | 60 (20.3) | 68 (25.4) |
| Some college | 87 (29.4) | 79 (29.5) |
| Bachelor’s or higher | 135 (45.6) | 105 (39.2) |
| Mother’s age, mean (SD) | 30.42 (6.30) | 30.89 (5.80) |
| Lived at residence since birth, N (%) | 159 (53.7) | 120 (44.8) |
| Variable | Odds Ratio | 2.5% CI | 97.5% CI |
|---|---|---|---|
| PCBs | 1.15 | 0.91 | 1.45 |
| Insecticides | 0.64 | 0.40 | 0.99 |
| Herbicides | 1.19 | 0.87 | 1.67 |
| Metals | 0.89 | 0.68 | 1.15 |
| PAHs | 1.16 | 0.94 | 1.44 |
| Tobacco | 0.85 | 0.69 | 1.03 |
| Child’s age | 1.01 | 0.92 | 1.11 |
| Female | 1.00 | 0.71 | 1.41 |
| Child’s Ethnicity | |||
| Hispanic vs. White Non-Hispanic | 1.22 | 0.79 | 1.96 |
| Other Non-Hispanic vs. White Non-Hispanic | 1.36 | 0.88 | 2.18 |
| Household Income | |||
| USD 15,000–29,999 vs. Less than USD 15,000 | 0.93 | 0.42 | 1.94 |
| USD 30,000–44,999 vs. Less than USD 15,000 | 0.77 | 0.35 | 1.56 |
| USD 45,000–59,999 vs. Less than USD 15,000 | 0.71 | 0.30 | 1.51 |
| USD 60,000–74,999 vs. Less than USD 15,000 | 0.42 | 0.17 | 1.02 |
| USD 75,000 or more vs. Less than USD 15,000 | 0.36 | 0.16 | 0.77 |
| Mother’s education | |||
| High school vs. Less than high school | 1.23 | 0.61 | 2.73 |
| Some college vs. Less than high school | 1.20 | 0.58 | 2.73 |
| Bachelor’s or higher vs. Less than high school | 1.21 | 0.57 | 2.87 |
| Mother’s age | 1.02 | 0.98 | 1.05 |
| Lived at residence since birth | 0.69 | 0.47 | 1.01 |
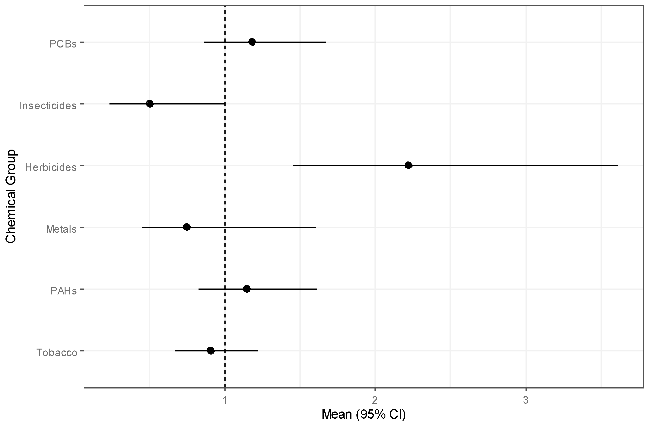
| Variable | Odds Ratio | 2.5% CI | 97.5% CI |
|---|---|---|---|
| PCBs | 1.19 | 0.86 | 1.67 |
| Insecticides | 0.50 | 0.23 | 0.99 |
| Herbicides | 2.22 | 1.45 | 3.61 |
| Metals | 0.75 | 0.45 | 1.61 |
| PAHs | 1.15 | 0.83 | 1.61 |
| Tobacco | 0.91 | 0.67 | 1.22 |
| Child’s age | 0.87 | 0.74 | 1.02 |
| Female | 0.99 | 0.57 | 1.71 |
| Child’s Ethnicity | |||
| Hispanic vs. White Non-Hispanic | 1.27 | 0.63 | 2.69 |
| Other Non-Hispanic vs. White Non-Hispanic | 1.62 | 0.84 | 3.33 |
| Household Income | |||
| USD 15,000–29,999 vs. Less than USD 15,000 | 1.59 | 0.48 | 5.81 |
| USD 30,000–44,999 vs. Less than USD 15,000 | 0.87 | 0.26 | 2.70 |
| USD 45,000–59,999 vs. Less than USD 15,000 | 0.99 | 0.28 | 3.26 |
| USD 60,000–74,999 vs. Less than USD 15,000 | 0.87 | 0.23 | 3.13 |
| USD 75,000 or more vs. Less than USD 15,000 | 0.37 | 0.11 | 1.14 |
| Mother’s education | |||
| High school vs. Less than high school | 2.13 | 0.71 | 7.96 |
| Some college vs. Less than high school | 2.25 | 0.73 | 8.79 |
| Bachelor’s or higher vs. Less than high school | 1.66 | 0.51 | 6.76 |
| Mother’s age | 1.04 | 0.99 | 1.10 |
Publisher’s Note: MDPI stays neutral with regard to jurisdictional claims in published maps and institutional affiliations. |
© 2021 by the authors. Licensee MDPI, Basel, Switzerland. This article is an open access article distributed under the terms and conditions of the Creative Commons Attribution (CC BY) license (http://creativecommons.org/licenses/by/4.0/).
Share and Cite
Wheeler, D.C.; Rustom, S.; Carli, M.; Whitehead, T.P.; Ward, M.H.; Metayer, C. Bayesian Group Index Regression for Modeling Chemical Mixtures and Cancer Risk. Int. J. Environ. Res. Public Health 2021, 18, 3486. https://doi.org/10.3390/ijerph18073486
Wheeler DC, Rustom S, Carli M, Whitehead TP, Ward MH, Metayer C. Bayesian Group Index Regression for Modeling Chemical Mixtures and Cancer Risk. International Journal of Environmental Research and Public Health. 2021; 18(7):3486. https://doi.org/10.3390/ijerph18073486
Chicago/Turabian StyleWheeler, David C., Salem Rustom, Matthew Carli, Todd P. Whitehead, Mary H. Ward, and Catherine Metayer. 2021. "Bayesian Group Index Regression for Modeling Chemical Mixtures and Cancer Risk" International Journal of Environmental Research and Public Health 18, no. 7: 3486. https://doi.org/10.3390/ijerph18073486
APA StyleWheeler, D. C., Rustom, S., Carli, M., Whitehead, T. P., Ward, M. H., & Metayer, C. (2021). Bayesian Group Index Regression for Modeling Chemical Mixtures and Cancer Risk. International Journal of Environmental Research and Public Health, 18(7), 3486. https://doi.org/10.3390/ijerph18073486

