Spatial Distribution of Soil Heavy Metals and Associated Environmental Risks near Major Roads in Southern Tibet, China
Abstract
1. Introduction
2. Materials and Methods
2.1. Study Area
2.2. Field Sampling and Sample Preparation
2.3. Geoaccumulation Index
2.4. Ecological Risk Model
2.5. Human Health Risk Model
3. Results
3.1. Heavy Metal Distributions
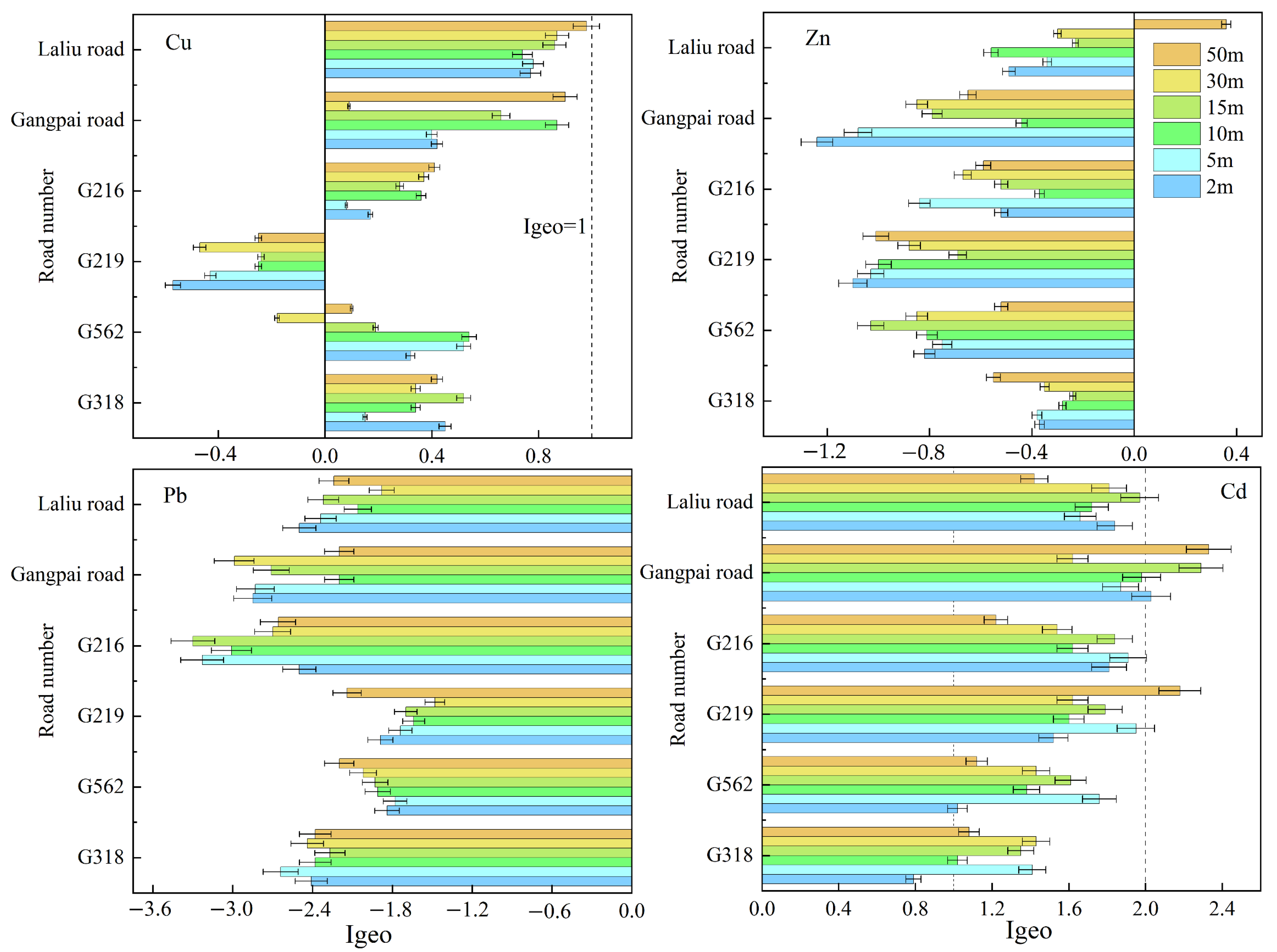
3.2. Degree of Heavy Metal Pollution
3.3. Ecological Risk Assessment
3.4. Human Health Risk Assessment
4. Discussion
5. Conclusions
Supplementary Materials
Author Contributions
Funding
Institutional Review Board Statement
Informed Consent Statement
Data Availability Statement
Conflicts of Interest
References
- Jiang, Y.; Chao, S.; Liu, J.; Yang, Y.; Chen, Y.; Zhang, A.; Cao, H. Source apportionment and health risk assessment of heavy metals in soil for a township in Jiangsu Province, China. Chemosphere 2017, 168, 1658–1668. [Google Scholar] [CrossRef] [PubMed]
- Zhang, J. Current status of soil pollution by heavy metals and application of remediation technology. Int. Core J. Eng. 2021, 7, 69–75. [Google Scholar] [CrossRef]
- Mahar, A.; Wang, P.; Ali, A.; Awasthi, M.K.; Lahori, A.H.; Wang, Q.; Li, R.; Zhang, Z. Challenges and opportunities in the phytoremediation of heavy metals contaminated soils: A review. Ecotoxicol. Environ. Saf. 2016, 126, 111–121. [Google Scholar] [CrossRef] [PubMed]
- Ministry of Environmental Protection China. National Soil Pollution Survey Bulletin; Ministry of Environmental Protection China: Beijing, China, 2014; pp. 1–5. (In Chinese)
- Luo, Y.; Teng, Y. Regional differences of soil pollution in China and zoning treatment and remediation strategies. Proc. Chin. Acad. Sci. 2018, 33, 145–152. [Google Scholar] [CrossRef]
- Guo, S.; Wu, B.; Li, B.; Zhang, L.; Jing, G. Draft of soil environmental quality regionalization of China. Acta Sci. Circumstantiae 2017, 37, 3127–3138. [Google Scholar] [CrossRef]
- Yu, T.; Jiang, T.; Liu, X.; Ma, X.; Yang, Z.; Hou, Q.; Xia, X.; Li, F. Research progress in current status of soil heavy metal pollution and analysis technology. Geol. China 2021, 48, 460–476. [Google Scholar] [CrossRef]
- Heidari, M.; Darijani, T.; Alipour, V. Heavy metal pollution of road dust in a city and its highly polluted suburb; quantitative source apportionment and source-specific ecological and health risk assessment. Chemosphere 2021, 273, 129656. [Google Scholar] [CrossRef] [PubMed]
- Li, R.; Yuan, Y.; Li, C.; Sun, W.; Yang, M.; Wang, X. Environmental health and ecological risk assessment of soil heavy metal pollution in the coastal cities of estuarine bay—A case study of Hangzhou Bay, China. Toxics 2020, 8, 75. [Google Scholar] [CrossRef] [PubMed]
- Fakayode, S.O.; Olu-Owolabi, B. Heavy metal contamination of roadside topsoil in Osogbo, Nigeria: Its relationship to traffic density and proximity to highways. Environ. Geol. 2003, 44, 150–157. [Google Scholar] [CrossRef]
- Yassoglou, N.; Kosmas, C.; Asimakopoulos, J.; Kallianou, C. Heavy metal contamination of roadside soils in the Greater Athens area. Environ. Pollut. 1987, 47, 293–304. [Google Scholar] [CrossRef]
- Pan, H.; Lu, X.; Lei, K. A comprehensive analysis of heavy metals in urban road dust of Xi’an, China: Contamination, source apportionment and spatial distribution. Sci. Total Environ. 2017, 609, 1361–1369. [Google Scholar] [CrossRef] [PubMed]
- Ma, J.; Gu, L.; Li, W. Accumulation and potential risk of heavy metals in roadside soils along the section of Zhengzhou-Shangqiu, Lianyungang-Huoerguosi highway. Environ. Sci. 2009, 30, 894–899. [Google Scholar] [CrossRef]
- Swaileh, K.M.; Hussein, R.M.; Abu-Elhaj, S. Assessment of heavy metal contamination in roadside surface soil and vegetation from the West Bank. Arch. Environ. Contam. Toxicol. 2004, 47, 23–30. [Google Scholar] [CrossRef]
- Liu, K.; Li, G.; Zhang, Z.; Shang, R.; Zhang, S.; Fu, J. Heavy metal pollution and the ecological hazard in urban soils of side roads in Tai’an. Environ. Sci. Technol. 2008, 31, 124–127. [Google Scholar] [CrossRef]
- Zhang, S.; Wang, C.; Liu, J.; Xing, Y.; Liu, Q.; Yang, J.; He, F. Assessment of heavy metal pollution in soils of the southwestern Xiong’an district and its ecological risk. Earth Sci. Front. 2021, 28, 238–249. [Google Scholar] [CrossRef]
- Wu, S.; Sun, H.; Zhou, Y.; Zhou, L. Heavy metal pollution in urban soil and environment quality in Yinin. Arid. Zone Res. 2019, 36, 752–760. [Google Scholar] [CrossRef]
- Wei, Z.; Wang, D.; Zhou, H.; Qi, Z. Assessment of soil heavy metal pollution with principal component analysis and geoaccumulation index. Procedia Environ. Sci. 2011, 10, 1946–1952. [Google Scholar] [CrossRef]
- He, J.; Yang, Y.; Christakos, G.; Liu, Y.; Yang, X. Assessment of soil heavy metal pollution using stochastic site indicators. Geoderma 2019, 337, 359–367. [Google Scholar] [CrossRef]
- Yesilkanat, C.M.; Kobya, Y. Spatial characteristics of ecological and health risks of toxic heavy metal pollution from road dust in the Black Sea coast of Turkey. Geoderma Reg. 2021, 25, e00388. [Google Scholar] [CrossRef]
- Shahab, A.; Zhang, H.; Ullah, H.; Rashid, A.; Rad, S.; Li, J.; Xiao, H. Pollution characteristics and toxicity of potentially toxic elements in road dust of a tourist city, Guilin, China: Ecological and health risk assessment. Environ. Pollut. 2020, 266, 115419. [Google Scholar] [CrossRef] [PubMed]
- Muller, G. Index of geoaccumulation in sediments of the Rhine River. Geojournal 1969, 2, 108–118. [Google Scholar]
- Du, H.; Wang, Y.; Wang, J.; Yao, Y.; Zhou, Y.; Liu, X.; Lu, Y. Distribution characteristics and ecological risk assessment of soil heavy metals in typical watersheds of the Qinghai-Tibet Plateau. Environ. Sci. 2021, 42, 4422–4431. [Google Scholar] [CrossRef]
- Zhao, Q.; Xu, Q.; Yang, K. Application of potential ecological hazard index method in the evaluation of soil pollution in typical polluted industries. J. East China Norm. Univ. 2005, 2005, 111–116. [Google Scholar] [CrossRef]
- Hakanson, L. An ecological risk index for aquatic pollution control. A sedimentological approach. Water Res. 1980, 14, 975–1001. [Google Scholar] [CrossRef]
- Men, C.; Wang, Y.; Liu, R.; Wang, Q.; Miao, Y.; Jiao, L.; Shoaib, M.; Shen, Z. Temporal variations of levels and sources of health risk associated with heavy metals in road dust in Beijing from May 2016 to April 2018. Chemosphere 2021, 270, 129434. [Google Scholar] [CrossRef] [PubMed]
- Dong, R.; Xu, Z.; Yang, C. Research on road engineering and its ecological environment in Qinghai-Tibet Plateau. Ecol. Nat. Conserv. 2000, 8, 31–33. [Google Scholar] [CrossRef]
- Yang, A.; Wang, Y.; Hu, J.; Liu, X.; Li, J. Evaluation and source of heavy metal pollution in surface soil of Qinghai-Tibet plateau. Environ. Sci. 2020, 41, 886–894. [Google Scholar] [CrossRef]
- Dai, L.; Wang, L.; Liang, T.; Zhang, Y.; Li, J.; Xiao, J.; Dong, L.; Zhang, H. Geostatistical analyses and co-occurrence correlations of heavy metals distribution with various types of land use within a watershed in eastern QingHai-Tibet Plateau, China. Sci. Total Environ. 2019, 653, 849–859. [Google Scholar] [CrossRef]
- Liu, H. Assessment of Heavy Metal Pollution in the Surface Soil along the Main Road in the Area around the Qinghai Lake. Master’s Thesis, Qinghai Normal University, Qinghai, China, 2016. (In Chinese). [Google Scholar]
- Wang, G.; Yan, X.; Zhang, F.; Zeng, C.; Gao, D. Influencing factors of heavy metal concentration in roadside-soil of Qinghai-Tibet Plateau. Acta Sci. Circumstantiae 2014, 34, 431–438. [Google Scholar] [CrossRef]
- Hou, L.; Li, W. Distribution and the potential ecological risk assessment of the heavy metal contaminants in the roadside-soil in the fragile alpine ecological area in the Tibet Plateau. J. Saf. Environ. 2021, 21, 1832–1838. [Google Scholar] [CrossRef]
- Gao, D. Study on Distribution Patterns of Heavy Metals Concentrations in Roadside Soils and Plants in Qinghai-Tibet Plateau. Master’s Thesis, Beijing Jiaotong University, Beijing, China, 2013. (In Chinese). [Google Scholar]
- Centre for Nutrition, Exercise and Metabolism. Soil and Sediment—Determination of Copper, Zinc, Lead, Nickel and Chromium—Flame Atomic Absorption Spectrophotometry; HJ 491-2019; Centre for Nutrition, Exercise and Metabolism: Bath, UK, 2019. [Google Scholar]
- Centre for Nutrition, Exercise and Metabolism. Soil and Sediment—Digestion of Total Metal Elements—Microwave Assisted Acid Digestion Method; HJ 832-2017; Centre for Nutrition, Exercise and Metabolism: Bath, UK, 2017. [Google Scholar]
- Centre for Nutrition, Exercise and Metabolism. Soil Quality-Determination of Lead, Cadmium-Graphite Furnace Atomic Absorption Spectrophotometry; GB/T17141–1997; Centre for Nutrition, Exercise and Metabolism: Bath, UK, 1997. [Google Scholar]
- Mazurek, R.; Kowalska, J.; Gasiorek, M.; Zadrozny, P.; Jozefowska, A.; Zaleski, T.; Kepka, W.; Tymczuk, M.; Orlowska, K. Assessment of heavy metals contamination in surface layers of Roztocze National Park forest soils (SE Poland) by indices of pollution. Chemosphere 2017, 168, 839–850. [Google Scholar] [CrossRef]
- Men, C.; Liu, R.; Xu, F.; Wang, Q.; Guo, L.; Shen, Z. Pollution characteristics, risk assessment, and source apportionment of heavy metals in road dust in Beijing, China. Sci. Total Environ. 2018, 612, 138–147. [Google Scholar] [CrossRef] [PubMed]
- Center, C.N.E.M. The Background Values of Chinese Soil Elements in China; China Environmental Science Press: Beijing, China, 1990. (In Chinese) [Google Scholar]
- Chen, R.; Chen, H.; Song, L.; Yao, Z.; Meng, F.; Teng, Y. Characterization and source apportionment of heavy metals in the sediments of Lake Tai (China) and its surrounding soils. Sci. Total Environ. 2019, 694, 133819. [Google Scholar] [CrossRef] [PubMed]
- Liu, J.; Liu, Y.J.; Liu, Y.; Liu, Z.; Zhang, A.N. Quantitative contributions of the major sources of heavy metals in soils to ecosystem and human health risks: A case study of Yulin, China. Ecotoxicol. Environ. Saf. 2018, 164, 261–269. [Google Scholar] [CrossRef]
- Milad, M.A.; Mohammed, B.; Rouhollah, M.; Farzad, M.A.; Hamideh, H.; Amin, H. The ecological risk, source identification, and pollution assessment of heavy metals in road dust: A case study in Rafsanjan, SE Iran. Environ. Sci. Pollut. Res. Int. 2018, 25, 13382–13395. [Google Scholar] [CrossRef]
- Xu, Z.; Li, S.; Tuo, X.; Zhang, C. Calculation of heavy metals’ toxicity coefficient in the evaluation of potential ecological risk index. Environ. Sci. Technol. 2008, 31, 124–127. [Google Scholar] [CrossRef]
- Jianhua, M.H.C.; Yuling, J. Some problems in the application of potential ecological risk index. Geogr. Res. 2020, 39, 1233–1241. [Google Scholar] [CrossRef]
- USEPA. Child-specific exposure factors handbook (EPA-600-P-00e002B). In National Center for Environmental Assessment; United State Environmental Protection Agency: Washington, DC, USA, 2002. [Google Scholar]
- Nanting, L.; Hongyan, L.; Pan, W.; Guangfei, L.; Xuexian, L. Accumulation characteristics and environmental risk assessment of heavy metals in typical karst soils. J. Agric. Resour. Environ. 2021, 38, 797–809. [Google Scholar] [CrossRef]
- USEPA. Guidelines for the Health Risk Assessment of Chemical Mixtures; United State Environmental Protection Agency: Washington, DC, USA, 1986.
- Mingshi, W.; Qiao, H.; Chenlu, G.; Jingli, C.; Yanping, L.; Xiangdong, H.; Yuchuan, H. Differences in the risk assessment of soil heavy metals between newly built and original parks in Jiaozuo, Henan Province, China. Sci. Total Environ. 2019, 676, 1–10. [Google Scholar] [CrossRef]
- USEPA. Risk Assessment Guidance for Superfund: Human Health Evaluation Manual, Supplemental Guidance: Standard Default Exposure Factors (Interim Final); Office of Emergency and Remedial Response, US Environmental Protection Agency: Washington, DC, USA, 1991; Volume 1.
- USEPA. Guidance for Evaluating the Oral Bioavailability of Metals in Soils for Use in Human Health Risk Assessment; Office of Emergency and Remedial Response, US Environmental Protection Agency: Washington, DC, USA, 2007.
- David, H.; Bo, B.; Agneta, H. New metal emission patterns in road traffic environments. Environ. Monit. Assess. 2006, 117, 85–98. [Google Scholar] [CrossRef]
- Chen, X.; Lu, X.; Yang, G. Sources identification of heavy metals in urban topsoil from inside the Xi’an Second Ringroad, NW China using multivariate statistical methods. Catena 2012, 98, 73–78. [Google Scholar] [CrossRef]
- Li, X.; Poon, C.S.; Liu, P.S. Heavy metal contamination of urban soils and street dusts in Hong Kong. Appl. Geochem. 2001, 16, 1361–1368. [Google Scholar] [CrossRef]
- Wang, M.; Zhang, H. Accumulation of heavy metals in roadside soil in urban area and the related impacting factors. Int. J. Environ. Res. Public Health 2018, 15, 1064. [Google Scholar] [CrossRef] [PubMed]
- Chen, X.; Xia, X.; Zhao, Y.; Zhang, P. Heavy metal concentrations in roadside soils and correlation with urban traffic in Beijing, China. J. Hazard. Mater. 2010, 181, 640–646. [Google Scholar] [CrossRef]
- Duong, T.T.T.; Lee, B.-K. Determining contamination level of heavy metals in road dust from busy traffic areas with different characteristics. J. Environ. Manag. 2011, 92, 554–562. [Google Scholar] [CrossRef]
- Laschober, C.; Limbeck, A.; Rendl, J.; Puxbaum, H. Particulate emissions from on-road vehicles in the Kaisermuhlen-tunnel (Vienna, Austria). Atmos. Environ. 2004, 38, 2187–2195. [Google Scholar] [CrossRef]
- Garcia, R.; Millan, E. Assessment of Cd, Pb and Zn contamination in roadside soils and grasses from Gipuzkoa (Spain). Chemosphere 1998, 37, 1615–1625. [Google Scholar] [CrossRef]
- Zhang, H.; Zhang, Y.; Wang, Z.; Ding, M. Heavy metal enrichment in the soil along the Delhi–Ulan section of the Qinghai–Tibet railway in China. Environ. Monit. Assess. 2012, 185, 5435–5447. [Google Scholar] [CrossRef]
- Kubier, A.; Wilkin, R.T.; Pichler, T. Cadmium in soils and groundwater: A review. Appl. Geochem. 2019, 108, 104388. [Google Scholar] [CrossRef]
- Zhu, M.; Tang, L.; Liu, D. Monitor and risk assessment of heavy metals in the soils along the main road—A Review. Environ. Monit. China 2015, 31, 84–91. [Google Scholar] [CrossRef]
- Yu, X.; Li, F.; Fu, G.; Feng, H.; Xiong, F. The spatial-temporal distribution characteristics and contamination assessments of heavy metals in the road dusts of Beijing. Geoscience 2019, 33, 169–175. [Google Scholar] [CrossRef]
- Loranger, S.; Zayed, J. Manganese and lead concentrations in ambient air and emission rates from unleaded and leaded gasoline between 1981 and 1992 in Canada: A comparative study. Atmos. Environ. 1994, 28, 1645–1651. [Google Scholar] [CrossRef]
- Waroszewski, J.A.; Kabala, C.; Szopka, K. Trace elements in soils of upper zone of spruce forest on Szrenica Mount and the Kowarski Grzbiet range in the Karkonosze Mountains. J. Elem. 2009, 14, 805–814. [Google Scholar] [CrossRef][Green Version]
- Li, Z.; Ma, Z.; van der Kuijp, T.J.; Yuan, Z.; Huang, L. A review of soil heavy metal pollution from mines in China: Pollution and health risk assessment. Sci. Total Environ. 2014, 468, 843–853. [Google Scholar] [CrossRef] [PubMed]
- Wu, J.; Lu, J.; Li, L.; Min, X.; Luo, Y. Pollution, ecological-health risks, and sources of heavy metals in soil of the northeastern Qinghai-Tibet Plateau. Chemosphere 2018, 201, 234–242. [Google Scholar] [CrossRef]
- Jiang, H.; Cai, L.; Wen, H.; Hu, G.; Chen, L.; Luo, J. An integrated approach to quantifying ecological and human health risks from different sources of soil heavy metals. Sci. Total Environ. 2020, 701, 134466. [Google Scholar] [CrossRef]
- Han, Q.; Wang, M.; Cao, J.; Gui, C.; Liu, Y.; He, X.; He, Y.; Liu, Y. Health risk assessment and bioaccessibilities of heavy metals for children in soil and dust from urban parks and schools of Jiaozuo, China. Ecotoxicol. Environ. Saf. 2020, 191, 110157. [Google Scholar] [CrossRef]









| RI | Class of Ecological Risk | |
|---|---|---|
| < 30 | RI < 50 | Low potential ecological risk | 
| < 60 | 100 ≤ RI < 200 | Moderate potential risk | 
| < 120 | 200 ≤ RI < 400 | Considerable potential risk | 
| < 240 | 400 ≤ RI < 800 | High potential risk | 
| ≥ 240 | RI ≥ 800 | Very high potential risk | 
| Evaluation Parameters | Physical Meaning | Unit | Value | |
|---|---|---|---|---|
| Adult | Child | |||
| BW | Body weight | kg | 70 | 15 | 
| CF | Conversion factor | kg·mg−1 | 10−6 | 10−6 | 
| IR1 | Ingestion rate | mg·d−1 | 100 | 200 | 
| IR2 | Inhalation rate | mg·d−1 | 20 | 7.65 | 
| ED | Exposure duration | a | 24 | 6 | 
| EF | Exposure frequency | d·a−1 | 350 | 350 | 
| SA | Skin surface area | cm | 5700 | 2800 | 
| AF | Soil adherence factor | mg·cm−1·d−1 | 7 × 10−2 | 2 × 10−1 | 
| ABS | Dermal absorption factor | dimensionless | 10−3 | 10−3 | 
| PEF | Particle emission factor | m3·kg−1 | 1.36 × 109 | 1.36 × 109 | 
| AT | Average time | d | ED × 365 (non-carcinogenic) | ED × 365 (non-carcinogenic) | 
| 70 × 365 (carcinogenic) | 70 × 365 (carcinogenic) | |||
| mg·kg-day−1 | Average daily intake by ingestion | |||
| mg·kg-day−1 | Average daily intake by dermal absorption | |||
| mg·kg-day−1 | Average daily intake by inhalation | |||
| Heavy Metal | RFD (mg·kg−1·d−1) | SF (mg·kg−1·d−1) | ||||
|---|---|---|---|---|---|---|
| Oral Ingestion | Dermal Absorption | Inhalation | Oral Ingestion | Dermal Absorption | Inhalation | |
| Cu | 4 × 10−2 | 1.2 × 10−2 | 4 × 10−2 | - | - | - | 
| Zn | 0.3 | 0.06 | 0.3 | - | - | - | 
| Pb | 3.5 × 10−3 | 5.25 × 10−4 | 3.52 × 10−3 | - | 8.5 × 10−3 | - | 
| Cd | 10−3 | 10−5 | 10−5 | 6.3 | - | 6.3 | 
| Cu | Zn | Pb | Cd | |
|---|---|---|---|---|
| Background values [39] | 21.90 | 74.00 | 29.10 | 0.08 | 
| ± σ (total) | 41.40 ± 1.79 | 74.02 ± 2.29 | 9.34 ± 0.35 | 0.35 ± 0.02 | 
| CV | 0.40 | 0.28 | 0.34 | 0.46 | 
| Exceed multiple | 1.89 | 1.00 | 0.32 | 4.36 | 
| national highways | 38.41 ± 1.94 | 74.14 ± 2.46 | 9.71 ± 0.41 | 0.32 ± 0.17 | 
| CV | 0.41 | 0.27 | 0.34 | 0.43 | 
| Exceed multiple | 1.75 | 1.00 | 0.33 | 3.99 | 
| non-national highways | 52.34 ± 3.38 | 73.59 ± 5.90 | 7.97 ± 0.58 | 0.46 ± 0.05 | 
| CV | 0.27 | 0.34 | 0.31 | 0.43 | 
| Exceed multiple | 2.39 | 0.99 | 0.27 | 5.72 | 
| Road Type | Road Number | Elements | Max (mg·kg−1) | Min (mg·kg−1) | Fold Difference | ||
|---|---|---|---|---|---|---|---|
| National highway | G318 | Cu | 82.46 | 14.78 | 43.92 ± 17.72 | 0.40 | 2.01 | 
| Zn | 123.67 | 53.20 | 85.70 ± 18.02 | 0.21 | 1.16 | ||
| Pb | 14.10 | 5.13 | 8.03 ± 2.28 | 0.28 | 0.28 | ||
| Cd | 0.51 | 0.05 | 0.27 ± 0.14 | 0.50 | 3.37 | ||
| G562 | Cu | 75.16 | 17.31 | 38.93 ± 16.97 | 0.44 | 1.78 | |
| Zn | 96.91 | 31.14 | 65.00 ± 15.77 | 0.24 | 0.88 | ||
| Pb | 16.42 | 7.67 | 11.20 ± 2.57 | 0.23 | 0.38 | ||
| Cd | 0.59 | 0.09 | 0.33 ± 0.13 | 0.39 | 4.09 | ||
| G219 | Cu | 35.65 | 17.81 | 25.71 ± 6.24 | 0.24 | 1.17 | |
| Zn | 76.97 | 33.44 | 58.00 ± 13.50 | 0.23 | 0.78 | ||
| Pb | 17.99 | 5.49 | 12.42 ± 3.57 | 0.29 | 0.43 | ||
| Cd | 0.62 | 0.23 | 0.39 ± 0.14 | 0.35 | 4.85 | ||
| G216 | Cu | 44.72 | 34.61 | 40.62 ± 3.72 | 0.09 | 1.85 | |
| Zn | 86.12 | 62.01 | 75.07 ± 7.64 | 0.10 | 1.01 | ||
| Pb | 7.73 | 4.44 | 6.00 ± 1.22 | 0.20 | 0.21 | ||
| Cd | 0.45 | 0.28 | 0.39 ± 0.06 | 0.15 | 4.80 | ||
| Non-national highway | Gangpai Road | Cu | 70.70 | 23.70 | 49.18 ± 16.69 | 0.34 | 2.25 | 
| Zn | 96.45 | 32.89 | 62.96 ± 18.24 | 0.29 | 0.85 | ||
| Pb | 9.73 | 3.50 | 7.23 ± 2.55 | 0.35 | 0.25 | ||
| Cd | 0.82 | 0.13 | 0.49 ± 0.24 | 0.48 | 6.10 | ||
| Laliu Road | Cu | 65.02 | 54.78 | 58.65 ± 3.78 | 0.06 | 2.71 | |
| Zn | 142.12 | 75.48 | 94.84 ± 24.23 | 0.26 | 1.33 | ||
| Pb | 11.85 | 7.73 | 9.45 ± 1.48 | 0.16 | 0.32 | ||
| Cd | 0.47 | 0.32 | 0.40 ± 0.05 | 0.13 | 4.99 | 
| Publisher’s Note: MDPI stays neutral with regard to jurisdictional claims in published maps and institutional affiliations. | 
© 2022 by the authors. Licensee MDPI, Basel, Switzerland. This article is an open access article distributed under the terms and conditions of the Creative Commons Attribution (CC BY) license (https://creativecommons.org/licenses/by/4.0/).
Share and Cite
She, W.; Guo, L.; Gao, J.; Zhang, C.; Wu, S.; Jiao, Y.; Zhu, G. Spatial Distribution of Soil Heavy Metals and Associated Environmental Risks near Major Roads in Southern Tibet, China. Int. J. Environ. Res. Public Health 2022, 19, 8380. https://doi.org/10.3390/ijerph19148380
She W, Guo L, Gao J, Zhang C, Wu S, Jiao Y, Zhu G. Spatial Distribution of Soil Heavy Metals and Associated Environmental Risks near Major Roads in Southern Tibet, China. International Journal of Environmental Research and Public Health. 2022; 19(14):8380. https://doi.org/10.3390/ijerph19148380
Chicago/Turabian StyleShe, Wanjiang, Linghui Guo, Jiangbo Gao, Chi Zhang, Shaohong Wu, Yuanmei Jiao, and Gaoru Zhu. 2022. "Spatial Distribution of Soil Heavy Metals and Associated Environmental Risks near Major Roads in Southern Tibet, China" International Journal of Environmental Research and Public Health 19, no. 14: 8380. https://doi.org/10.3390/ijerph19148380
APA StyleShe, W., Guo, L., Gao, J., Zhang, C., Wu, S., Jiao, Y., & Zhu, G. (2022). Spatial Distribution of Soil Heavy Metals and Associated Environmental Risks near Major Roads in Southern Tibet, China. International Journal of Environmental Research and Public Health, 19(14), 8380. https://doi.org/10.3390/ijerph19148380
 
         
                                                





 
       