Refined Zoning of Landslide Susceptibility: A Case Study in Enshi County, Hubei, China
Abstract
:1. Introduction
2. Materials
2.1. Study Area
2.2. Technical Route
2.3. Assessment Indicators
3. Methods
3.1. AHP Model
3.2. IV Model
3.3. AHP-IV Model
4. Results and Analysis
4.1. Landslide Susceptibility Map
4.2. Model Validation
4.3. Integrate Landslide Susceptibility
5. Discussion
5.1. Distribution of Landslide Susceptibility
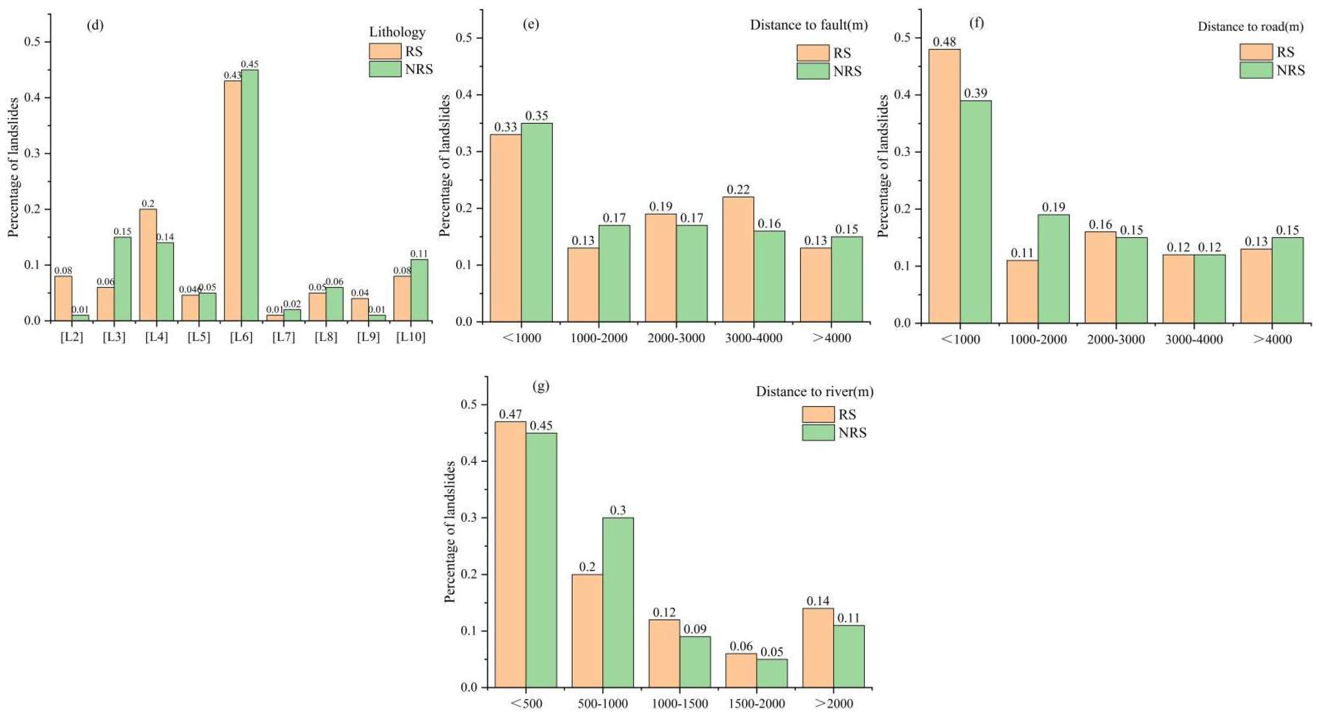
5.2. Analysis of Assessment Indicators
5.3. Validation of Test Points
5.4. Prevention and Suggestions
6. Conclusions
Supplementary Materials
Author Contributions
Funding
Data Availability Statement
Acknowledgments
Conflicts of Interest
References
- Assilzadeh, H.; Levy, J.K.; Wang, X. Landslide Catastrophes and Disaster Risk Reduction: A GIS Framework for Landslide Prevention and Management. Remote Sens. 2010, 2, 2259–2273. [Google Scholar] [CrossRef] [Green Version]
- Froude, M.J.; Petley, D.N. Global fatal landslide occurrence from 2004 to 2016. Nat. Hazards Earth Sys. 2018, 18, 2161–2181. [Google Scholar] [CrossRef] [Green Version]
- Lee, S. Current and future status of GIS-based landslide susceptibility mapping: A literature review. Korean J. Remote Sens. 2019, 35, 179–193. [Google Scholar] [CrossRef]
- Ahmed, B. Landslide susceptibility mapping using multi-criteria evaluation techniques in Chittagong Metropolitan Area, Bangladesh. Landslides 2015, 12, 1077–1095. [Google Scholar] [CrossRef] [Green Version]
- Tseng, C.; Song, C.; Wang, S.; Chen, Y.; Tu, J.; Yang, C.; Chuang, C. Application of High-Resolution Radar Rain Data to the Predictive Analysis of Landslide Susceptibility under Climate Change in the Laonong Watershed, Taiwan. Remote Sens. 2020, 12, 3855. [Google Scholar] [CrossRef]
- Emberson, R.; Kirschbaum, D.B.; Amatya, P.; Tanyas, H.; Marc, O. Insights from the topographic characteristics of a large global catalog of rainfall-induced landslide event inventories. Nat. Hazards Earth Sys. 2022, 22, 1129–1149. [Google Scholar] [CrossRef]
- Modugno, S.; Johnson, S.C.M.; Borrelli, P.; Alam, E.; Bezak, N.; Balzter, H. Analysis of human exposure to landslides with a GIS multiscale approach. Nat. Hazards 2022, 112, 387–412. [Google Scholar] [CrossRef]
- Hepdeniz, K. Using the analytic hierarchy process and frequency ratio methods for landslide susceptibility mapping in Isparta-Antalya highway (D-685). Turk. Arab. J. Geosci. 2020, 13, 795. [Google Scholar] [CrossRef]
- Yang, S.-R. Assessment of Rainfall-Induced Landslide Susceptibility Using GIS-Based Slope Unit Approach. J. Perform. Constr. Facil. 2017, 31, 04017026. [Google Scholar] [CrossRef]
- Koley, B.; Nath, A.; Saraswati, S.; Chatterjee, U.; Bandyopadhyay, K.; Bhatta, B.; Ray, B.C. Assessment of spatial distribution of rain-induced and earthquake-triggered landslides using geospatial techniques along North Sikkim Road Corridor in Sikkim Himalayas, India. GeoJournal 2022. [Google Scholar] [CrossRef]
- Chen, X.; Pei, Z.; Wang, F. GIS-based risk assessment of rainfall-induced geohazards in poor areas: The case of Enshi Prefecture, Hubei Province. J. Geoinf. Sci. 2016, 18, 343–352. [Google Scholar] [CrossRef]
- Dai, Q.; Zhang, Q.; Zhou, P.; Wu, X. Research on the development pattern of geological hazards and prevention measures in Enshi City. Resour. Environ. Eng. 2012, 26, 28–30. [Google Scholar] [CrossRef]
- Xiao, W.; Chen, J.; Wu, Y.; Zhao, N.; Huang, Y. An analysis of the relationship between rainfall and landslides in Enshi West area, China. In Proceedings of the 9th National Engineering Geology Conference (6), Qingdao, China, 21–24 October 2012; (Reprinted). Available online: http://cpfd.cnki.com.cn/Article/CPFDTOTAL-GCDZ201210001100.htm (accessed on 23 June 2022). (In Chinese).
- Yong, C.; Jinlong, D.; Fei, G.; Bin, T.; Tao, Z.; Hao, F.; Li, W.; Qinghua, Z. Review of landslide susceptibility assessment based on knowledge mapping. Stoch. Environ. Res. Risk Assess. 2022. [Google Scholar] [CrossRef]
- Wang, X.; Wu, J.; Hu, K. Causes and stability analysis of a landslide in Enshi. Geod. Geodyn. 2013, 33, 140–142. [Google Scholar] [CrossRef]
- Zeng, B.; Chen, X. Assessment of shallow landslide susceptibility using an artificial neural network. Arab. J. Geosci. 2021, 14, 499. [Google Scholar] [CrossRef]
- Yan, W. Research on Regional Landslide Hazard Susceptibility Prediction Based on Rough Set-Neural Network (MSc): China University of Geosciences. 2010. Available online: http://cdmd.cnki.com.cn/Article/CDMD-10491-2010250680.htm (accessed on 23 June 2022). (In Chinese).
- Fan, L.; Hu, R.; Zeng, F.; Wang, S.; Zhang, X. Application of weighted information quantity model in the evaluation of landslide susceptibility: An example from Enshi City, Hubei Province. J. Eng. Geol. 2012, 20, 508–513. Available online: http://www.cnki.com.cn/Article/CJFDTOTAL-GCDZ201204005.htm (accessed on 23 June 2022). (In Chinese).
- Miao, F.; Wu, Y.; Li, L.; Liao, K.; Zhang, L. Risk assessment of snowmelt-induced landslides based on GIS and an effective snowmelt model. Nat. Hazards 2019, 97, 1151–1173. [Google Scholar] [CrossRef]
- Zou, Y.; Zheng, C. A Scientometric Analysis of Predicting Methods for Identifying the Environmental Risks Caused by Landslides. Appl. Sci. 2022, 12, 4333. [Google Scholar] [CrossRef]
- Peng, L.; Wu, Y.; Wang, F.; Li, Y. Landslide hazard generation pattern in Enshi area, Hubei. Chin. J. Geol. Hazards Prev. 2017, 28, 1–9. [Google Scholar] [CrossRef]
- Hou, T.; Duan, X.; Liu, H. Study on stability of exit slope of Chenjiapo tunnel under condition of long-term rainfall. Environ. Earth Sci. 2021, 80, 590. [Google Scholar] [CrossRef]
- Chen, J.; Wang, H.; Dai, Q. Risk evaluation of landslide hazards caused by rainfall in Enshi City, Hubei Province. Chin. J. Geol. Hazards Prev. 2016, 27, 15–21. [Google Scholar] [CrossRef]
- Roccati, A.; Paliaga, G.; Luino, F.; Faccini, F.; Turconi, L. GIS-Based Landslide Susceptibility Mapping for Land Use Planning and Risk Assessment. Land 2021, 10, 162. [Google Scholar] [CrossRef]
- Yalcin, A.; Reis, S.; Aydinoglu, A.C.; Yomralioglu, T. A GIS-based comparative study of frequency ratio, analytical hierarchy process, bivariate statistics and logistics regression methods for landslide susceptibility mapping in Trabzon, NE Turkey. Catena 2011, 85, 274–287. [Google Scholar] [CrossRef]
- Du, G.; Zhang, Y.; Iqbal, J.; Yang, Z.; Yao, X. Landslide susceptibility mapping using an integrated model of information value method and logistic regression in the Bailongjiang watershed, Gansu Province, China. J. Mt. Sci.-Engl. 2017, 14, 249–268. [Google Scholar] [CrossRef]
- Abay, A.; Barbieri, G.; Woldearegay, K. GIS-based Landslide Susceptibility Evaluation Using Analytical Hierarchy Process (AHP) Approach: The Case of Tarmaber District, Ethiopia. Momona Ethiop. J. Sci. 2019, 11, 14–36. [Google Scholar] [CrossRef] [Green Version]
- Wu, Y.; Li, W.; Liu, P.; Bai, H.; Wang, Q.; He, J.; Liu, Y.; Sun, S. Application of analytic hierarchy process model for landslide susceptibility mapping in the Gangu County, Gansu Province, China. Environ. Earth Sci. 2016, 75, 422. [Google Scholar] [CrossRef]
- Ba, Q.; Chen, Y.; Deng, S.; Wu, Q.; Yang, J.; Zhang, J. An Improved Information Value Model Based on Gray Clustering for Landslide Susceptibility Mapping. ISPRS Int. J. Geo-Inf. 2017, 6, 18. [Google Scholar] [CrossRef]
- Basu, T.; Pal, S. A GIS-based factor clustering and landslide susceptibility analysis using AHP for Gish River Basin, India. Environ. Dev. Sustain. 2020, 22, 4787–4819. [Google Scholar] [CrossRef]
- Wubalem, A. Landslide susceptibility mapping using statistical methods in Uatzau catchment area, northwestern Ethiopia. Geoenviron. Disasters 2021, 8, 1. [Google Scholar] [CrossRef]
- Reichenbach, P.; Rossi, M.; Malamud, B.D.; Mihir, M.; Guzzetti, F. A review of statistically-based landslide susceptibility models. Earth-Sci. Rev. 2018, 180, 60–91. [Google Scholar] [CrossRef]
- Chen, W.; Li, W.; Chai, H.; Hou, E.; Li, X.; Ding, X. GIS-based landslide susceptibility mapping using analytical hierarchy process (AHP) and certainty factor (CF) models for the Baozhong region of Baoji City, China. Environ. Earth Sci. 2016, 75, 63. [Google Scholar] [CrossRef]
- Pourghasemi, H.R.; Teimoori Yansari, Z.; Panagos, P.; Pradhan, B. Analysis and evaluation of landslide susceptibility: A review on articles published during 2005–2016 (periods of 2005–2012 and 2013–2016). Arab. J. Geosci. 2018, 11, 193. [Google Scholar] [CrossRef]
- Abuzied, S.; Ibrahim, S.; Kaiser, M. Geospatial susceptibility mapping of earthquake-induced landslides in Nuweiba area, Gulf of Aqaba, Egypt. J. Mt. Sci. 2016, 13, 1286–1303. [Google Scholar] [CrossRef]
- Li, S.; Ni, Z.; Zhao, Y.; Hu, W.; Long, Z.; Ma, H.; Zhou, G.; Luo, Y.; Geng, C. Susceptibility Analysis of Geohazards in the Longmen Mountain Region after the Wenchuan Earthquake. Int. J. Environ. Res. Public Health 2022, 19, 3229. [Google Scholar] [CrossRef] [PubMed]
- Thanh, L.N.; De Smedt, F. Application of an analytical hierarchical process approach for landslide susceptibility mapping in A Luoi district, Thua Thien Hue Province, Vietnam. Environ. Earth Sci. 2012, 66, 1739–1752. [Google Scholar] [CrossRef]
- Dragićević, S.; Lai, T.; Balram, S. GIS-based multicriteria evaluation with multiscale analysis to characterize urban landslide susceptibility in data-scarce environments. Habitat Int. 2015, 45, 114–125. [Google Scholar] [CrossRef]
- Zhang, T.; Cai, Q.; Han, L.; Shu, J.; Zhou, W. 3D stability analysis method of concave slope based on the Bishop method. Int. J. Min. Sci. Technol. 2017, 27, 365–370. [Google Scholar] [CrossRef]
- Dong, L.; Yang, L. Causal mechanism and evaluation of landslide hazards in Enshizhou. J. Shanxi Norm. Univ. (Nat. Sci. Ed.) 2017, 31, 94–99. [Google Scholar] [CrossRef]
- Shit, P.K.; Bhunia, G.S.; Maiti, R. Potential landslide susceptibility mapping using weighted overlay model (WOM). Modeling Earth Syst. Environ. 2016, 2, 21. [Google Scholar] [CrossRef] [Green Version]
- Shi, J. Key Technology Research on Landslide Risk Assessment Based on Remote Sensing and GIS: Chinese Academy of Geological Sciences. 2008. Available online: http://cdmd.cnki.com.cn/Article/CDMD-82501-2008177381.htm (accessed on 23 June 2022). (In Chinese).
- Liu, H.; Wang, B. Study on the mechanism of landslide disaster occurrence in Enshizhou. Anhui Agric. Sci. 2006, 10, 2233–2234. Available online: http://www.cnki.com.cn/Article/CJFDTOTAL-AHNY200610108.htm (accessed on 23 June 2022). (In Chinese).
- Wang, Y.; Sun, D.; Wen, H.; Zhang, H.; Zhang, F. Comparison of Random Forest Model and Frequency Ratio Model for Landslide Susceptibility Mapping (LSM) in Yunyang County (Chongqing, China). Int. J. Environ. Res. Public Health 2020, 17, 4206. [Google Scholar] [CrossRef] [PubMed]
- Wang, Q.; Guo, Y.; Li, W.; He, J.; Wu, Z. Predictive modeling of landslide hazards in Wen County, northwestern China based on information value, weights-of-evidence, and certainty factor. Geomat. Nat. Hazards Risk 2019, 10, 820–835. [Google Scholar] [CrossRef] [Green Version]
- Anis, Z.; Wissem, G.; Vali, V.; Smida, H.; Mohamed Essghaier, G. GIS-based landslide susceptibility mapping using bivariate statistical methods in North-western Tunisia. Open Geosci. 2019, 11, 708–726. [Google Scholar] [CrossRef]
- Shahabi, H.; Khezri, S.; Ahmad, B.B.; Hashim, M. RETRACTED: Landslide susceptibility mapping at central Zab basin, Iran: A comparison between analytical hierarchy process, frequency ratio and logistic regression models. Catena 2014, 115, 55–70. [Google Scholar] [CrossRef]
- Nie, J.; Lian, J.; Hu, Z. Analysis of spatial characteristics changes of landslides in Wenchuan earthquake area. Geogr. Res. 2014, 33, 214–224. Available online: http://www.cnki.com.cn/Article/CJFDTOTAL-DLYJ201402003.htm (accessed on 23 June 2022). (In Chinese).
- Saaty, T.L. The Analytical Hierarchy Process; McGraw-Hill: New York, NY, USA, 1980. [Google Scholar]
- Ma, C.; Yan, Z.; Huang, P.; Gao, L. Evaluation of landslide susceptibility based on the occurrence mechanism of landslide: A case study in Yuan’an county, China. Environ. Earth Sci. 2021, 80, 94. [Google Scholar] [CrossRef]
- Li, W.; Fan, X.; Huang, F.; Chen, W.; Hong, H.; Huang, J.; Guo, Z. Uncertainties Analysis of Collapse Susceptibility Prediction Based on Remote Sensing and GIS: Influences of Different Data-Based Models and Connections between Collapses and Environmental Factors. Remote Sens. 2020, 12, 4134. [Google Scholar] [CrossRef]
- Senouci, R.; Taibi, N.; Teodoro, A.C.; Duarte, L.; Mansour, H.; Yahia Meddah, R. GIS-Based Expert Knowledge for Landslide Susceptibility Mapping (LSM): Case of Mostaganem Coast District, West of Algeria. Sustainability 2021, 13, 630. [Google Scholar] [CrossRef]
- Najafi, Z.; Pourghasemi, H.R.; Ghanbarian, G.; Fallah Shamsi, S.R. Land-subsidence susceptibility zonation using remote sensing, GIS, and probability models in a Google Earth Engine platform. Environ. Earth Sci. 2020, 79, 491. [Google Scholar] [CrossRef]
- Ye, R.; Deng, Q.; Wang, H. Landslide Identification and Feature Extraction Based on Image Classification Method—An Example of Old Town Landslide in Guizhou geohazards. J. Eng. Geophys. 2007, 574–577. Available online: http://www.cnki.com.cn/Article/CJFDTOTAL-GCDQ200706015.htm (accessed on 23 June 2022). (In Chinese).
- Qi, W.; Xu, Q.; Liu, C.; Zhang, B.; Liang, N.; Dong, L. Geological background and spatial development pattern of secondary slope hazards in the extremely hard-hit areas of Wenchuan earthquake. Landslide Identification and Feature Extraction Based on Image Classification Method—An Example of Old Town Landslide in Guizhou. J. Eng. Geol. 2009, 17, 39–49. Available online: http://www.cnki.com.cn/Article/CJFDTOTAL-GCDZ200901006.htm (accessed on 23 June 2022). (In Chinese).
- Xu, C.; Xu, X.; Wu, Y.; Dai, F.; Yao, X.; Yao, Q. Detailed cataloging of landslides in the 2008 Wenchuan earthquake and analysis of their spatial distribution patterns. J. Eng. Geol. 2013, 21, 25–44. Available online: http://www.cnki.com.cn/Article/CJFDTOTAL-GCDZ201301005.htm (accessed on 23 June 2022). (In Chinese).
- Cui, P.; Chen, X.; Zhu, Y.; Su, F.; Wei, F.; Han, Y.; Liu, H.; Zhuang, J. The Wenchuan Earthquake (12 May 2008), Sichuan Province, China, and resulting geohazards. Nat. Hazards 2011, 56, 19–36. [Google Scholar] [CrossRef]
- Arabameri, A.; Pourghasemi, H.R.; Yamani, M. Applying different scenarios for landslide spatial modeling using computational intelligence methods. Environ. Earth Sci. 2017, 76, 832. [Google Scholar] [CrossRef]
- Cao, J.; Zhang, Z.; Wang, C.; Liu, J.; Zhang, L. Susceptibility assessment of landslides triggered by earthquakes in the Western Sichuan Plateau. Catena 2019, 175, 63–76. [Google Scholar] [CrossRef]
- Dou, J.; Yunus, A.P.; Tien Bui, D.; Merghadi, A.; Sahana, M.; Zhu, Z.; Chen, C.; Khosravi, K.; Yang, Y.; Pham, B.T. Assessment of advanced random forest and decision tree algorithms for modeling rainfall-induced landslide susceptibility in the Izu-Oshima Volcanic Island, Japan. Sci. Total Environ. 2019, 662, 332–346. [Google Scholar] [CrossRef]
- Zhou, X.; Wu, W.; Qin, Y.; Fu, X. Geoinformation-based landslide susceptibility mapping in subtropical area. Sci. Rep.-UK 2021, 11, 24325. [Google Scholar] [CrossRef]
- Sun, D.; Wen, H.; Wang, D.; Xu, J. A random forest model of landslide susceptibility mapping based on hyperparameter optimization using Bayes algorithm. Geomorphology 2020, 362, 107201. [Google Scholar] [CrossRef]
- Shen, D.; Shi, Z.; Peng, M.; Zhang, L.; Zhu, Y. Preliminary analysis of a rainfall-induced landslide hazard chain in Enshi City, Hubei Province, China in July 2020. Landslides 2021, 18, 509–512. [Google Scholar] [CrossRef]
- Jiang, Y.; Yang, Y.; Chen, M.; Chen, C. Characteristics and control measures of the large landslide in Baozha, Enshi City, Hubei Province. Resour. Environ. Eng. 2015, 29, 454–458. [Google Scholar] [CrossRef]
- Sun, X. Study on the Formation Mechanism of Xintang Landslide in Enshi, Hubei Province (M.S.): China University of Geosciences (Beijing). 2012. Available online: http://cdmd.cnki.com.cn/Article/CDMD-11415-1017282906.htm (accessed on 23 June 2022). (In Chinese).
- Ou, X.; Jin, Z.; Xiang, W.; Fang, H.; Chang, X. Study on the Stability Evaluation of the Fujiapo Landslide on the Hulong National Highway in Enshi. Earth Environ. (S1) 2005, 403–407. Available online: http://www.cnki.com.cn/Article/CJFDTOTAL-DZDQ2005S1085.htm (accessed on 23 June 2022). (In Chinese).









| Categories of Lithology | Category Code | Lithology | 
|---|---|---|
| Loose soil category | [L1] | Loose soil | 
| Layered clastic rocks category | [L2] | Weak mass–thick layered sandstone with shale and conglomerate | 
| [L3] | Hard–weak layered siltstone, quartz sandstone, mudstone | |
| [L4] | Hard–weak and thin–medium thick layered shale, siltstone, mudstone | |
| Layered Carbonate Rocks interspersed with clastic rocks category | [L5] | Hard–relatively hard thick layered quartz sandstone, shale | 
| [L6] | Hard–relatively harder, limestone, siliceous shale, carbon shale | |
| [L7] | Hard–relatively hard and thin-thick layered shale, limestone | |
| Layered carbonate rocks category | [L8] | Hard thick layered limestone, dolomite, breccia | 
| [L9] | Hard block–thick layered limestone | |
| [L10] | Hard thick layer–medium thick layered limestone, siliceous limestone, bioclastic limestone, dolomite | 
| Scale | Meaning | 
|---|---|
| 1 | Equal important | 
| 3 | The one is slightly more important than the other | 
| 5 | The one is more important than the other | 
| 7 | The one is significantly more important than the other | 
| 9 | The one is extremely more important than the other | 
| 2, 4, 6, 8 | The median value of the above two adjacent judgments | 
| Assessment Indicators | Judgement Matrix | Pi | |||||||||
|---|---|---|---|---|---|---|---|---|---|---|---|
| E (m) | |||||||||||
| <700 | 1 | 1 | 4/3 | 2 | 4 | 0.286 | |||||
| 700–1000 | 1 | 4/3 | 2 | 4 | 0.286 | ||||||
| 1000–1300 | 1 | 3/2 | 3 | 0.214 | |||||||
| 1300–1600 | 1 | 2 | 0.143 | ||||||||
| >1600 | 1 | 0.071 | |||||||||
| S (°) | |||||||||||
| <10 | 1 | 1/2 | 1/3 | 1/2 | 1 | 0.111 | |||||
| 10–18 | 1 | 3/2 | 1 | 2 | 0.222 | ||||||
| 18–26 | 1 | 3/2 | 3 | 0.333 | |||||||
| 26–36 | 1 | 2 | 0.222 | ||||||||
| >36 | 1 | 0.111 | |||||||||
| A | |||||||||||
| Flat | 1 | 1/4 | 1/4 | 1/3 | 1/2 | 1/2 | 1/4 | 1/3 | 1/3 | 0.039 | |
| North | 1 | 1 | 4/3 | 2 | 2 | 1 | 4/3 | 4/3 | 0.154 | ||
| Northeast | 1 | 4/3 | 2 | 2 | 1 | 4/3 | 4/3 | 0.154 | |||
| East | 1 | 3/2 | 3/2 | 3/4 | 1 | 1 | 0.116 | ||||
| Southeast | 1 | 1 | 1/2 | 2/3 | 2/3 | 0.077 | |||||
| South | 1 | 1/2 | 2/3 | 2/3 | 0.077 | ||||||
| Southwest | 1 | 4/3 | 4/3 | 0.154 | |||||||
| West | 1 | 1 | 0.115 | ||||||||
| Northwest | 1 | 0.115 | |||||||||
| DF (m) | |||||||||||
| <1000 | 1 | 5/4 | 5/3 | 5/2 | 5 | 0.333 | |||||
| 1000–2000 | 1 | 4/3 | 2 | 4 | 0.267 | ||||||
| 2000–3000 | 1 | 3/2 | 3 | 0.200 | |||||||
| 3000–4000 | 1 | 2 | 0.133 | ||||||||
| >4000 | 1 | 0.067 | |||||||||
| DRo (m) | |||||||||||
| <1000 | 1 | 5/4 | 5/3 | 5/2 | 5 | 0.333 | |||||
| 1000–2000 | 1 | 4/3 | 2 | 4 | 0.267 | ||||||
| 2000–3000 | 1 | 3/2 | 3 | 0.200 | |||||||
| 3000–4000 | 1 | 2 | 0.133 | ||||||||
| >4000 | 1 | 0.067 | |||||||||
| Rainfall in RS (mm) | |||||||||||
| <224 | 1 | 5/4 | 5/3 | 5/2 | 5 | 0.067 | |||||
| 224–239 | 1 | 4/3 | 2 | 4 | 0.133 | ||||||
| 239–254 | 1 | 3/2 | 3 | 0.200 | |||||||
| 254–269 | 1 | 2 | 0.267 | ||||||||
| >269 | 1 | 0.333 | |||||||||
| Rainfall in NRS (mm) | |||||||||||
| <91 | 1 | 5/4 | 5/3 | 5/2 | 5 | 0.067 | |||||
| 91–99 | 1 | 4/3 | 2 | 4 | 0.133 | ||||||
| 99–107 | 1 | 3/2 | 3 | 0.200 | |||||||
| 107–116 | 1 | 2 | 0.267 | ||||||||
| >116 | 1 | 0.333 | |||||||||
| L | |||||||||||
| L10 | 1 | 1/5 | 1/4 | 1/4 | 1/3 | 1/3 | 1/3 | 1/2 | 1 | 1/2 | 0.035 | 
| L1 | 1 | 1 | 5/4 | 5/3 | 5/3 | 5/3 | 5/2 | 5 | 5/2 | 0.172 | |
| L2 | 1 | 5/4 | 5/3 | 5/3 | 5/3 | 5/2 | 5 | 5/2 | 0.172 | ||
| L3 | 1 | 4/3 | 4/3 | 4/3 | 2 | 4 | 2 | 0.138 | |||
| L4 | 1 | 1 | 1 | 3/2 | 3 | 3/2 | 0.103 | ||||
| L5 | 1 | 1 | 3/2 | 3 | 3/2 | 0.103 | |||||
| L6 | 1 | 3/2 | 3 | 3/2 | 0.103 | ||||||
| L7 | 1 | 2 | 1 | 0.069 | |||||||
| L8 | 1 | 2/1 | 0.035 | ||||||||
| L9 | 1 | 0.069 | |||||||||
| DRi (m) | |||||||||||
| <500 | 1 | 5/4 | 5/3 | 5/2 | 5 | 0.333 | |||||
| 500–1000 | 1 | 4/3 | 2 | 4 | 0.267 | ||||||
| 1000–1500 | 1 | 3/2 | 3 | 0.200 | |||||||
| 1500–2000 | 1 | 2 | 0.133 | ||||||||
| >2000 | 1 | 0.067 | |||||||||
| Assessment Indicators | E | S | A | DF | DRi | Rainfall in NRS | DRo | L | 
|---|---|---|---|---|---|---|---|---|
| E | 1 | 5/2 | 5/3 | 5 | 1 | 5/4 | 5/2 | 5/6 | 
| S | 1 | 2/3 | 2 | 2/5 | 1/2 | 1 | 1/3 | |
| A | 1 | 3 | 3/5 | 3/4 | 3/2 | 1/2 | ||
| DF | 1 | 1/5 | 1/4 | 1/2 | 1/6 | |||
| DRi | 1 | 5/4 | 5/2 | 5/6 | ||||
| Rainfall in NRS | 1 | 2 | 2/3 | |||||
| DRo | 1 | 1/3 | ||||||
| L | 1 | |||||||
| Wi | 0.177 | 0.071 | 0.107 | 0.036 | 0.179 | 0.143 | 0.071 | 0.214 | 
| Assessment Indicators | E | D | S | DF | DRi | Rainfall in RS | DRo | L | 
|---|---|---|---|---|---|---|---|---|
| E | 1 | 3 | 3/4 | 3 | 1 | 3 | 3/2 | 1/2 | 
| S | 1 | 1/4 | 1 | 1/3 | 1 | 1/2 | 1/6 | |
| A | 1 | 4 | 4/3 | 4 | 2 | 2/3 | ||
| DF | 1 | 1/3 | 1 | 1/2 | 1/6 | |||
| DRi | 1 | 3 | 3/2 | 1/2 | ||||
| Rainfall in RS | 1 | 1/2 | 1/6 | |||||
| DRo | 1 | 1/3 | ||||||
| L | 1 | |||||||
| Wi | 0.143 | 0.048 | 0.191 | 0.048 | 0.143 | 0.048 | 0.095 | 0.286 | 
| Assessment Indicators | Nj (NRS) | Nj/N (NRS) | Nj (RS) | Nj/N (RS) | Sj | Sj/S | Iij (NRS) | Iij (RS) | 
|---|---|---|---|---|---|---|---|---|
| E (m) | ||||||||
| <700 | 59 | 0.358 | 33 | 0.333 | 100,655 | 0.205 | 0.556 | 0.486 | 
| 700–1000 | 60 | 0.364 | 33 | 0.333 | 140,040 | 0.285 | 0.243 | 0.156 | 
| 1000–1300 | 30 | 0.182 | 22 | 0.222 | 117,615 | 0.240 | −0.276 | −0.075 | 
| 1300–1600 | 14 | 0.085 | 11 | 0.111 | 79,967 | 0.163 | −0.653 | −0.383 | 
| >1600 | 2 | 0.012 | 0 | 0.000 | 52,658 | 0.107 | −2.182 | 0.00 | 
| S (°) | ||||||||
| <10 | 35 | 0.212 | 23 | 0.232 | 122,805 | 0.250 | −0.165 | −0.074 | 
| 10–18 | 67 | 0.406 | 28 | 0.283 | 156,153 | 0.318 | 0.244 | −0.118 | 
| 18–26 | 37 | 0.224 | 28 | 0.283 | 114,337 | 0.233 | −0.038 | 0.194 | 
| 26–36 | 17 | 0.103 | 14 | 0.141 | 70,368 | 0.143 | −0.330 | −0.013 | 
| >36 | 9 | 0.055 | 6 | 0.061 | 27,272 | 0.056 | −0.018 | 0.088 | 
| A | ||||||||
| Flat | 0 | 0.000 | 0 | 0.000 | 590 | 0.001 | 0.000 | 0.000 | 
| North | 15 | 0.092 | 13 | 0.131 | 51,089 | 0.104 | −0.129 | 0.232 | 
| Northeast | 16 | 0.098 | 14 | 0.141 | 53,736 | 0.110 | −0.115 | 0.256 | 
| East | 31 | 0.189 | 17 | 0.172 | 75,192 | 0.153 | 0.210 | 0.115 | 
| Southeast | 23 | 0.140 | 10 | 0.101 | 69,224 | 0.141 | −0.006 | −0.334 | 
| South | 14 | 0.085 | 7 | 0.071 | 50,082 | 0.100 | −0.178 | −0.367 | 
| Southwest | 20 | 0.122 | 14 | 0.141 | 54,518 | 0.111 | 0.095 | 0.242 | 
| West | 24 | 0.146 | 13 | 0.131 | 71,413 | 0.146 | 0.006 | −0.103 | 
| Northwest | 21 | 0.128 | 11 | 0.111 | 65,091 | 0.133 | −0.035 | −0.177 | 
| DF (m) | ||||||||
| <1000 | 42 | 0.255 | 25 | 0.232 | 7442 | 0.215 | 0.169 | 0.074 | 
| 1000–2000 | 28 | 0.170 | 12 | 0.130 | 6576 | 0.190 | −0.113 | −0.383 | 
| 2000–3000 | 28 | 0.170 | 20 | 0.185 | 5748 | 0.166 | 0.022 | 0.110 | 
| 3000–4000 | 26 | 0.158 | 24 | 0.222 | 4626 | 0.134 | 0.165 | 0.509 | 
| >4000 | 41 | 0.249 | 25 | 0.232 | 10,226 | 0.295 | −0.173 | −0.244 | 
| DRo (m) | ||||||||
| <1000 | 65 | 0.394 | 52 | 0.482 | 10,652 | 0.308 | 0.247 | 0.448 | 
| 1000–2000 | 31 | 0.188 | 12 | 0.111 | 7312 | 0.211 | −0.117 | −0.643 | 
| 2000–3000 | 25 | 0.152 | 17 | 0.157 | 5251 | 0.152 | −0.001 | 0.037 | 
| 3000–4000 | 19 | 0.115 | 13 | 0.120 | 3806 | 0.110 | 0.047 | 0.091 | 
| >4000 | 25 | 0.152 | 14 | 0.130 | 7597 | 0.220 | −0.371 | −0.527 | 
| Rainfall in RS (mm) | ||||||||
| <224 | 10 | 0.093 | 3186 | 0.092 | 0.007 | |||
| 224–239 | 50 | 0.463 | 14,198 | 0.410 | 0.121 | |||
| 239–254 | 29 | 0.269 | 10,636 | 0.307 | −0.135 | |||
| 254–269 | 18 | 0.167 | 5239 | 0.151 | 0.097 | |||
| >269 | 1 | 0.009 | 1359 | 0.039 | −1.441 | |||
| Rainfall in NRS (mm) | ||||||||
| <91 | 81 | 0.491 | 9,695 | 0.280 | 0.561 | |||
| 91–99 | 42 | 0.255 | 10,933 | 0.316 | −0.216 | |||
| 99–107 | 21 | 0.127 | 7152 | 0.207 | −0.484 | |||
| 107–116 | 20 | 0.121 | 6133 | 0.177 | −0.380 | |||
| >116 | 1 | 0.006 | 705 | 0.020 | −1.207 | |||
| L | ||||||||
| L1 | 0 | 0.000 | 0 | 0.000 | 171 | 0.005 | 0.000 | 0.000 | 
| L2 | 1 | 0.006 | 9 | 0.083 | 1327 | 0.038 | −1.837 | 0.777 | 
| L3 | 24 | 0.146 | 7 | 0.065 | 1341 | 0.039 | 1.324 | 0.516 | 
| L4 | 23 | 0.139 | 22 | 0.204 | 5270 | 0.152 | −0.088 | 0.292 | 
| L5 | 8 | 0.049 | 5 | 0.046 | 1306 | 0.038 | 0.252 | 0.206 | 
| L6 | 75 | 0.455 | 46 | 0.426 | 12,175 | 0.352 | 0.256 | 0.191 | 
| L7 | 4 | 0.024 | 1 | 0.009 | 329 | 0.010 | 0.935 | −0.021 | 
| L8 | 10 | 0.061 | 5 | 0.046 | 4553 | 0.132 | −0.775 | −1.044 | 
| L9 | 18 | 0.109 | 9 | 0.083 | 4333 | 0.125 | −0.138 | −0.408 | 
| L10 | 2 | 0.012 | 4 | 0.037 | 3813 | 0.110 | −2.208 | −1.090 | 
| DRi (m) | ||||||||
| <500 | 74 | 0.449 | 51 | 0.472 | 9011 | 0.206 | 0.544 | 0.596 | 
| 500–1000 | 50 | 0.303 | 22 | 0.204 | 7615 | 0.220 | 0.320 | −0.077 | 
| 1000–1500 | 15 | 0.091 | 13 | 0.120 | 5797 | 0.168 | −0.611 | −0.330 | 
| 1500–2000 | 8 | 0.049 | 7 | 0.065 | 4029 | 0.116 | −0.875 | −0.586 | 
| >2000 | 18 | 0.109 | 15 | 0.139 | 8166 | 0.236 | −0.771 | −0.530 | 
| Integrate Susceptibility | RS Susceptibility | NRS Susceptibility | 
|---|---|---|
| Year-round high susceptibility | High and very high susceptibility | High and very high susceptibility | 
| RS high susceptibility | High and very high susceptibility | Medium, low and very low susceptibility | 
| NRS high susceptibility | Medium, low and very low susceptibility | High and very high susceptibility | 
| Year-round low susceptibility | Low and very low susceptibility | Low and very low susceptibility | 
| Integrate Susceptibility | Prevention Measures | Suggestions | 
|---|---|---|
| Year-round high susceptibility | (1) Detailed investigation and management of landslides according to their characteristics, such as construction of retaining walls, grouting reinforcement, etc. (2) Establish monitoring stations for landslides that may produce hazards and monitor the landslides at times. | (1) Follow the principle of prevention as the main focus, and combine it with management. (2) Vigorously promote the knowledge of landslides prevention and control to enhance the ability of the whole society to resist hazards. (3) Improve landslides monitoring network system construction, according to the year-round high susceptibility > NRS high susceptibility > RS high susceptibility > year-round low susceptibility gradually improved. (4) Protect the local vegetation, actively plant trees and prohibit indiscriminate logging. (5) Strictly implement the principle of safe construction and conduct safety assessment before carrying out human engineering activities. | 
| RS high susceptibility | (1) Survey landslides in the region before the RS and provide early warning to nearby residents. (2) Increasing investment in landslides management during the RS and monitoring or managing landslides that may produce hazards. (3) Surface and underground drains are constructed in the area to reduce infiltration of atmospheric precipitation and recharge of groundwater. | |
| NRS high susceptibility | (1) Reminding the residents to pay attention to the landslides deformation and report any problems in time. (2) Monitor or manage landslides in the region that may produce hazards. | |
| Year-round low susceptibility | / | 
| Publisher’s Note: MDPI stays neutral with regard to jurisdictional claims in published maps and institutional affiliations. | 
© 2022 by the authors. Licensee MDPI, Basel, Switzerland. This article is an open access article distributed under the terms and conditions of the Creative Commons Attribution (CC BY) license (https://creativecommons.org/licenses/by/4.0/).
Share and Cite
Wang, Z.; Ma, C.; Qiu, Y.; Xiong, H.; Li, M. Refined Zoning of Landslide Susceptibility: A Case Study in Enshi County, Hubei, China. Int. J. Environ. Res. Public Health 2022, 19, 9412. https://doi.org/10.3390/ijerph19159412
Wang Z, Ma C, Qiu Y, Xiong H, Li M. Refined Zoning of Landslide Susceptibility: A Case Study in Enshi County, Hubei, China. International Journal of Environmental Research and Public Health. 2022; 19(15):9412. https://doi.org/10.3390/ijerph19159412
Chicago/Turabian StyleWang, Zhiye, Chuanming Ma, Yang Qiu, Hanxiang Xiong, and Minghong Li. 2022. "Refined Zoning of Landslide Susceptibility: A Case Study in Enshi County, Hubei, China" International Journal of Environmental Research and Public Health 19, no. 15: 9412. https://doi.org/10.3390/ijerph19159412
APA StyleWang, Z., Ma, C., Qiu, Y., Xiong, H., & Li, M. (2022). Refined Zoning of Landslide Susceptibility: A Case Study in Enshi County, Hubei, China. International Journal of Environmental Research and Public Health, 19(15), 9412. https://doi.org/10.3390/ijerph19159412
 
         
                                                
 
       