Emergency Relief Chain for Natural Disaster Response Based on Government-Enterprise Coordination
Abstract
:1. Introduction
2. Problem Description
3. Bi-Level Coordination Model of Prepositioning, Procurement and Allocation
3.1. Procurement Activities between the Government and Enterprises
3.2. Multi-Objective Location Model under Coordination Coverage
- The decision between emergency rescue stations and potential disaster sites is based on the principle of “multiple rescue stations to multiple disaster sites”;
- Only the coordination relationship between government warehouses and contract enterprises is considered, not the coordination within government warehouses and within enterprises;
- The weight of the disaster site is considered as follows:
- 4.
- Within the scope of coordination, disaster sites that are covered by government warehouses and contract enterprises with rescue capabilities are considered to be effectively covered.
- Sets.
- : Set of government warehouses, indexed by
- : Set of contract enterprises, indexed by
- : Set of disaster sites, indexed by
- : Set of emergency disaster type, indexed by
- Parameters.
- : Transportation distance from contract enterprise to government warehouse
- : Transportation distance from government warehouse to disaster site
- : Transportation distance from contract enterprise to disaster site
- The occurrence of potential disaster type at disaster site
- The rescue capacity of government warehouse for disaster type
- The rescue capacity of contract enterprise for disaster type
- The rescue radius of government warehouse for potential disaster type
- The rescue radius of contract enterprise for potential disaster type
- The coordinated rescue scope between government warehouse and contract enterprise for the potential disaster type
- : Area of disaster site
- : Covered area of disaster site by rescue stations
- Rescue situation for potential disaster type at disaster site
- The potential disaster type at disaster site 𝑖 is supported by government warehouse
- The potential disaster type at disaster site 𝑖 is supported by contract enterprise
- Variables.
- 1, if government warehouse is activated; otherwise, 0
- 1, if enterprise is contracted and put into emergency; otherwise, 0
3.3. Phased Allocation Model with Quantity Discount Contract
- The layout of government warehouses and contract enterprises is based on the results of the location model;
- Quantity procurement contracts are negotiated between the government and enterprises to ensure access to supply services before and after disasters;
- Procurement activities are subject to the price mechanism related to order quantity and lead time;
- The coordinated supply is composed of reliable enterprises that are not negatively affected by possible disasters in terms of production capacity and emergency response capability;
- Corresponding penalty costs are incurred due to unmet demand and the residual value of unused inventory is calculated.
- Sets.
- : Set of government warehouses, indexed by
- : Set of contract enterprises, indexed by
- Set of rescue stations containing government warehouses and contract enterprises, indexed by
- : Set of disaster sites, indexed by
- : Set of emergency resource types, indexed by
- : Set of gradients for procurement quantity, indexed by
- : Set of phases for post-disaster resource allocation, indexed by
- Parameters.
- : Demand for emergency resource of disaster site at phase
- : Reserve capacity of government warehouse
- : Production capacity of contract enterprise at phase
- : The -th rescue station that transport emergency resources to disaster site
- : Transportation distance from contract enterprise to government warehouse
- : Transportation distance from rescue station to disaster site
- : The maximum available distance of disaster site
- Fixed activation cost for government warehouse
- : Unit procurement cost of emergency resource at order level from contract enterprise in phase
- : Unit inventory holding cost for government warehouse
- : Unit transportation cost for emergency resource from contract enterprise to government warehouse
- Unit transportation cost for emergency resource from rescue station to disaster site
- : Unit penalty cost of unmet demand for emergency resource at disaster site
- : Unit salvage value of emergency resource
- Variables.
- 1, if government warehouse is activated at phase ; otherwise,
- : 1, if contract enterprise is put into production and relief at phase ; otherwise,
- : Distribution quantity of emergency resource ordered from contract enterprise to government warehouse before the disaster
- : Distribution quantity of emergency resource supplied from relief station to disaster site at phase (containing and )
4. Multi-Objective Cellular Genetic Algorithm
4.1. Population Code
4.2. Fitness Assessment
4.3. Genetic Operation
5. Numerical Study
5.1. Study Area
5.2. Calculation and Analysis of Location
5.2.1. Multi-Objective Based Location
5.2.2. Coverage Based Location
5.3. Calculation and Analysis of Allocation
5.3.1. Allocation in Government-Enterprise Coordination
5.3.2. Strategy Comparison
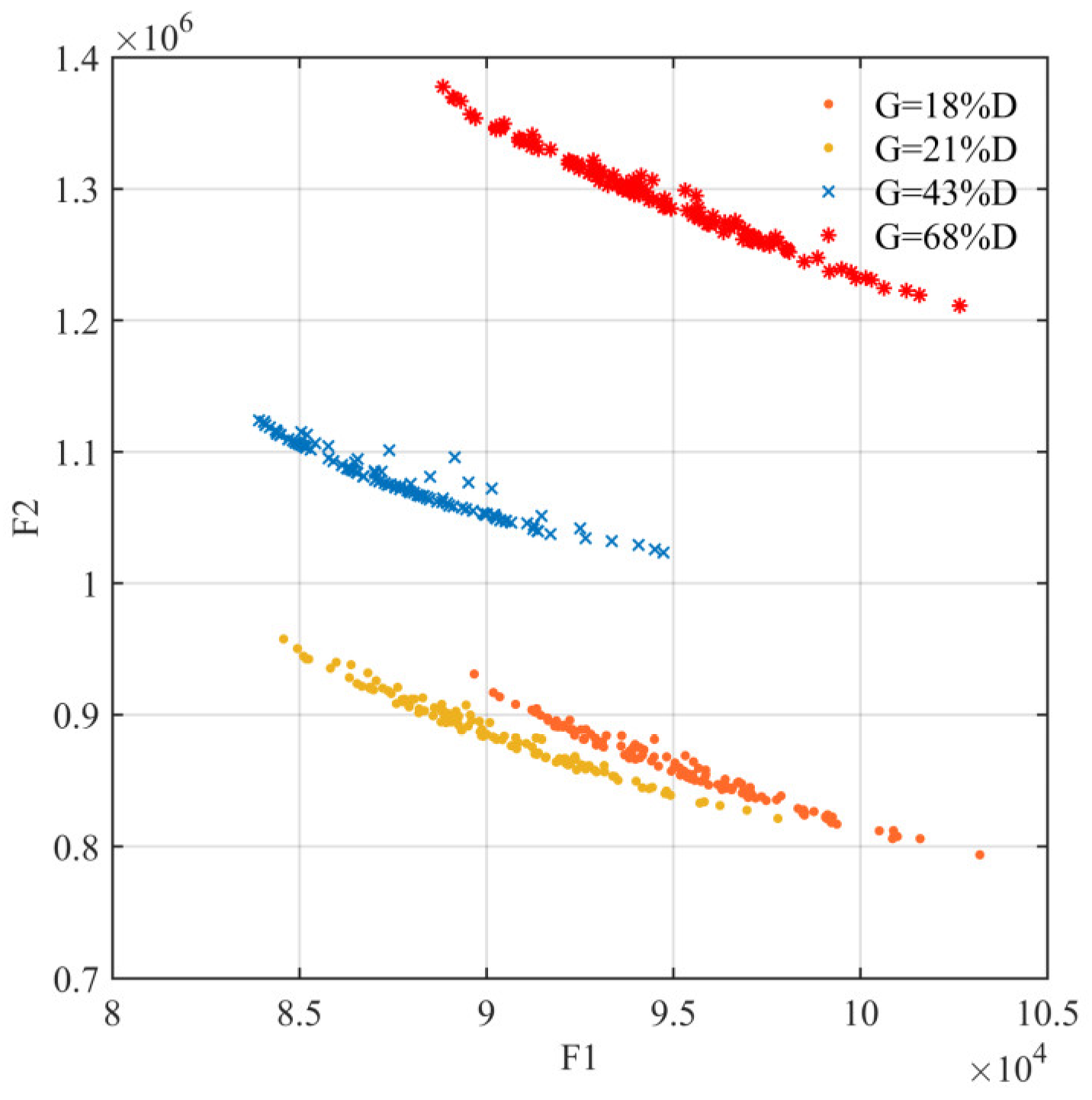
5.3.3. Sensitivity Analysis
5.4. Management Insights
6. Conclusions
Author Contributions
Funding
Institutional Review Board Statement
Informed Consent Statement
Data Availability Statement
Conflicts of Interest
References
- Mavhura, E. Learning from the tropical cyclones that ravaged Zimbabwe: Policy implications for effective disaster preparedness. Nat. Hazards 2020, 104, 2261–2275. [Google Scholar] [CrossRef]
- UNDRR. Disasters Displace More People than Conflict and Violence. Available online: https://www.undrr.org/news/disasters-displace-more-people-conflict-and-violence (accessed on 3 August 2022).
- Ergun, Ö.; Gui, L.; Heier Stamm, J.L.; Keskinocak, P.; Swann, J. Improving humanitarian operations through technology-enabled collaboration. Prod. Oper. Manag. 2014, 23, 1002–1014. [Google Scholar] [CrossRef]
- Horney, J.; Nguyen, M.; Salvesen, D.; Tomasco, O.; Berke, P. Engaging the public in planning for disaster recovery. Int. J. Disaster Risk Reduct. 2016, 17, 33–37. [Google Scholar] [CrossRef]
- UNDRR. Sendai Framework for Disaster Risk Reduction 2015–2030. Available online: https://www.undrr.org/implementing-sendai-framework/what-sendai-framework (accessed on 1 September 2022).
- Goniewicz, K.; Burkle, F.M., Jr. Challenges in Implementing Sendai Framework for Disaster Risk Reduction in Poland. Int. J. Environ. Res. Public Health 2019, 16, 2574. [Google Scholar] [CrossRef]
- Paton, D.; Buergelt, P. Risk, Transformation and Adaptation: Ideas for Reframing Approaches to Disaster Risk Reduction. Int. J. Environ. Res. Public Health 2019, 16, 2594. [Google Scholar] [CrossRef]
- General Office, the People’s Government of Shandong Province. On the Issuance of Emergency Material Reserve System Construction Plan of Shandong Province (2020–2030). Available online: http://www.shandong.gov.cn/art/2020/12/29/art_107851_109947.html (accessed on 3 August 2022).
- Curnin, S.; Owen, C.; Paton, D.; Brooks, B. A theoretical framework for negotiating the path of emergency management multi-agency coordination. Appl. Ergon. 2015, 47, 300–307. [Google Scholar] [CrossRef]
- Nohrstedt, D. Explaining Mobilization and Performance of Collaborations in Routine Emergency Management. Adm. Soc. 2016, 48, 135–162. [Google Scholar] [CrossRef]
- Ritchie, B.W.; Jiang, Y. A review of research on tourism risk, crisis and disaster management: Launching the annals of tourism research curated collection on tourism risk, crisis and disaster management. Ann. Tour. Res. 2019, 79, 102812. [Google Scholar] [CrossRef]
- Mojtahedi, M.; Oo, B.L. Critical attributes for proactive engagement of stakeholders in disaster risk management. Int. J. Disaster Risk Reduct. 2017, 21, 35–43. [Google Scholar] [CrossRef]
- Erbeyoğlu, G.; Bilge, Ü. A robust disaster preparedness model for effective and fair disaster response. Eur. J. Oper. Res. 2020, 280, 479–494. [Google Scholar] [CrossRef]
- Himes-Cornell, A.; Ormond, C.; Hoelting, K.; Ban, N.C.; Zachary Koehn, J.; Allison, E.H.; Larson, E.R.; Monson, D.; Huntington, H.P.; Okey, T.A. Factors affecting disaster preparedness, response, and recovery using the community capitals framework. Coast Manag. 2018, 46, 335–358. [Google Scholar] [CrossRef]
- Zhou, L.; Wu, X.; Xu, Z.; Fujita, H. Emergency decision making for natural disasters: An overview. Int. J. Disaster Risk Reduct. 2018, 27, 567–576. [Google Scholar] [CrossRef]
- Liu, J.; Dong, C.; An, S.; Guo, Y. Research on the natural hazard emergency cooperation behavior between governments and social organizations based on the hybrid mechanism of incentive and linkage in China. Int. J. Environ. Res. Public Health 2021, 18, 13064. [Google Scholar] [CrossRef]
- Liu, J.; Guo, Y.; An, S.; Lian, C. A Study on the Mechanism and Strategy of Cross-Regional Emergency Cooperation for Natural Disasters in China—Based on the Perspective of Evolutionary Game Theory. Int. J. Environ. Res. Public Health 2021, 18, 11624. [Google Scholar] [CrossRef]
- Coles, J.B.; Zhang, J.; Zhuang, J. Partner selection in disaster relief: Partnership formation in the presence of incompatible agencies. Int. J. Disaster Risk Reduct. 2018, 27, 94–104. [Google Scholar] [CrossRef]
- Zhang, L. Emergency supplies reserve allocation within government-private cooperation: A study from capacity and response perspectives. Comput. Ind. Eng. 2021, 154, 107171. [Google Scholar] [CrossRef]
- Awasthy, P.; Gopakumar, K.V.; Gouda, S.K.; Haldar, T. Trust in humanitarian operations: A content analytic approach for an Indian NGO. Int. J. Prod. Res. 2019, 57, 2626–2641. [Google Scholar] [CrossRef]
- Celik, E.; Gumus, A.T. An outranking approach based on interval type-2 fuzzy sets to evaluate preparedness and response ability of non-governmental humanitarian relief organizations. Comput. Ind. Eng. 2016, 101, 21–34. [Google Scholar] [CrossRef]
- Balcik, B.; Beamon, B.M.; Krejci, C.C.; Muramatsu, K.M.; Ramirez, M. Coordination in humanitarian relief chains: Practices, challenges and opportunities. Int. J. Prod. Econ. 2010, 126, 22–34. [Google Scholar] [CrossRef]
- Yu, L.; Zhang, C.; Yang, H.; Miao, L. Novel methods for resource allocation in humanitarian logistics considering human suffering. Comput. Ind. Eng. 2018, 119, 1–20. [Google Scholar] [CrossRef]
- Sarma, D.; Bera, U.K.; Das, A. A mathematical model for resource allocation in emergency situations with the co-operation of NGOs under uncertainty. Comput. Ind. Eng. 2019, 137, 106000. [Google Scholar] [CrossRef]
- Meng, Y.P. The optimization and coordination of multi-layer recruitment network for social emergency resources. Comput. Ind. Eng. 2019, 130, 50–61. [Google Scholar] [CrossRef]
- Nikkhoo, F.; Bozorgi-Amiri, A.; Heydari, J. Coordination of relief items procurement in humanitarian logistic based on quantity flexibility contract. Int. J. Disaster Risk Reduct. 2018, 31, 331–340. [Google Scholar] [CrossRef]
- Torabi, S.A.; Shokr, I.; Tofighi, S.; Heydari, J. Integrated relief pre-positioning and procurement planning in humanitarian supply chains. Transp. Res. Part E Logist. Transp. Rev. 2018, 113, 123–146. [Google Scholar] [CrossRef]
- Shokr, I.; Jolai, F.; Bozorgi-Amiri, A. A novel humanitarian and private sector relief chain network design model for disaster response. Int. J. Disaster Risk Reduct. 2021, 65, 102522. [Google Scholar] [CrossRef]
- Roh, S.Y.; Jang, H.M.; Han, C.H. Warehouse location decision factors in humanitarian relief logistics. Asian J. Shipp. Logist. 2013, 29, 103–120. [Google Scholar] [CrossRef]
- Roh, S.Y.; Shin, Y.R.; Seo, Y.J. The Pre-positioned warehouse location selection for international humanitarian relief logistics. Asian J. Shipp. Logist. 2018, 34, 297–307. [Google Scholar] [CrossRef]
- Wang, W.; Wu, S.; Wang, S.; Zhen, L.; Qu, X. Emergency facility location problems in logistics: Status and perspectives. Transp. Res. Part E Logist. Transp. Rev. 2021, 154, 102465. [Google Scholar] [CrossRef]
- Rahman, M.; Chen, N.; Islam, M.M.; Dewan, A.; Pourghasemi, H.R.; Washakh, R.M.A.; Nepal, N.; Tiana, S.; Faiz, H.; Alam, M.; et al. Location-allocation modeling for emergency evacuation planning with GIS and remote sensing: A case study of Northeast Bangladesh. Geosci. Front. 2021, 12, 101095. [Google Scholar] [CrossRef]
- Li, X.; Ramshani, M.; Huang, Y. Cooperative maximal covering models for humanitarian relief chain management. Comput. Ind. Eng. 2018, 119, 301–308. [Google Scholar] [CrossRef]
- Zhao, X.; Xu, W.; Ma, Y.; Qin, L.; Zhang, J.; Wang, Y. Relationships between evacuation population size, earthquake emergency shelter capacity, and evacuation time. Int. J. Disaster Risk Sci. 2017, 8, 457–470. [Google Scholar] [CrossRef]
- Peng, D.; Ye, C.; Wan, M. A multi-objective improved novel discrete particle swarm optimization for emergency resource center location problem. Eng. Appl. Artif. Intell. 2022, 111, 104725. [Google Scholar] [CrossRef]
- Berman, O.; Drezner, Z.; Krass, D. The multiple gradual cover location problem. J. Oper. Res. Soc. 2019, 70, 931–940. [Google Scholar] [CrossRef]
- Shen, L.; Tao, F.; Shi, Y.; Qin, R. Optimization of location-routing problem in emergency logistics considering carbon emissions. Int. J. Environ. Res. Public Health 2019, 16, 2982. [Google Scholar] [CrossRef]
- Chen, W.; Zhai, G.; Ren, C.; Shi, Y.; Zhang, J. Urban resources selection and allocation for emergency shelters: In a multi-hazard environment. Int. J. Environ. Res. Public Health 2018, 15, 1261. [Google Scholar] [CrossRef]
- He, L.; Xie, Z. Optimization of Urban Shelter Locations Using Bi-Level Multi-Objective Location-Allocation Model. Int. J. Environ. Res. Public Health 2022, 19, 4401. [Google Scholar] [CrossRef]
- Yu, W. Pre-disaster location and storage model for emergency commodities considering both randomness and uncertainty. Saf. Sci. 2021, 141, 105330. [Google Scholar] [CrossRef]
- Wang, B.C.; Qian, Q.Y.; Gao, J.J.; Tan, Z.Y.; Zhou, Y. The optimization of warehouse location and resources distribution for emergency rescue under uncertainty. Adv. Eng. Inf. 2021, 48, 101278. [Google Scholar] [CrossRef]
- Guo, J.; Du, Q.; He, Z. A method to improve the resilience of multimodal transport network: Location selection strategy of emergency rescue facilities. Comput. Ind. Eng. 2021, 161, 107678. [Google Scholar] [CrossRef]
- Klibi, W.; Ichoua, S.; Martel, A. Prepositioning Emergency Supplies to Support Disaster Relief: A Stochastic Programming Approach; CIRRELT: Montreal, Canada, 2013; Volume 19, pp. 1–35. [Google Scholar]
- Wang, X.; Li, F.; Liang, L.; Huang, Z.; Ashley, A. Pre-purchasing with option contract and coordination in a relief supply chain. Int. J. Prod. Econ. 2015, 167, 170–176. [Google Scholar] [CrossRef]
- Hernantes, J.; Maraña, P.; Gimenez, R.; Sarriegi, J.M.; Labaka, L. Towards resilient cities: A maturity model for operationalizing resilience. Cities 2019, 84, 96–103. [Google Scholar] [CrossRef]
- Weichselgartner, J.; Pigeon, P. The role of knowledge in disaster risk reduction. Int. J. Disaster Risk Sci. 2015, 6, 107–116. [Google Scholar] [CrossRef]
- Wang, F.; Xie, Z.; Liu, H.; Pei, Z.; Liu, D. Multiobjective emergency resource allocation under the natural disaster chain with path planning. Int. J. Environ. Res. Public Health 2022, 19, 7876. [Google Scholar] [CrossRef]
- Balcik, B.; Ak, D. Supplier selection for framework agreements in humanitarian relief. Product. Operat. Manag. 2014, 23, 1028–1041. [Google Scholar] [CrossRef]
- Wu, S.; Li, Q. Emergency quantity discount contract with suppliers risk aversion under stochastic price. Mathematics 2021, 9, 1791. [Google Scholar] [CrossRef]
- Heydari, J. Supply chain coordination using time-based temporary price discounts. Comput. Ind. Eng. 2014, 75, 96–101. [Google Scholar] [CrossRef]
- Tofighi, S.; Torabi, S.A.; Mansouri, S.A. Humanitarian logistics network design under mixed uncertainty. Euro. J. Operat. Res. 2016, 250, 239–250. [Google Scholar] [CrossRef]
- Birnbaum, M.; Daily, E.; O’Rourke, A. Research and Evaluations of the Health Aspects of Disasters, Part III: Framework for the Temporal Phases of Disasters. Prehosp Disaster Med. 2015, 30, 628–632. [Google Scholar] [CrossRef]
- Hamza, M.F.; Yap, H.J.; Choudhury, I.A. Recent advances on the use of meta-heuristic optimization algorithms to optimize the type-2 fuzzy logic systems in intelligent control. Neural Comput. Appl. 2017, 28, 979–999. [Google Scholar] [CrossRef]
- Ma, X.; Cui, K.; Matta, N.; He, Z. Interacting with VDL-based structured icons on crisis map for emergency coordination: Interactive design and experimental demonstration. Displays 2021, 70, 102059. [Google Scholar] [CrossRef]
- Bempah, S.A.; Øyhus, A.O. The role of social perception in disaster risk reduction: Beliefs, perception, and attitudes regarding flood disasters in communities along the Volta River, Ghana. Int. J. Disaster Risk Reduct. 2017, 23, 104–108. [Google Scholar] [CrossRef]
- Deng, Y.; Su, G.; Gao, N.; Sun, L. Perceptions of earthquake emergency response and rescue in China: A comparison between experts and local practitioners. Nat. Hazards 2019, 97, 643–664. [Google Scholar] [CrossRef]
















| Sites | Rainfall/mm | Population/Thousand | Damage Degree | Demand Level | |
|---|---|---|---|---|---|
| A. Rucheng | 617.9 | 360.0 | Ⅰ | Ⅲ | (1) |
| B. Tongdao | 566.4 | 239.8 | Ⅲ | Ⅱ | (3) |
| C. Luxi | 450.0 | 320.0 | Ⅲ | Ⅲ | (8) |
| D. Daweishan | 438.5 | 155.0 | Ⅱ | Ⅱ | (9) |
| E. Taojiang | 432.9 | 68.56 | Ⅱ | Ⅲ | (5) |
| F. Shuangpai | 416.6 | 49.67 | Ⅰ | Ⅲ | (6) |
| G. Hengyang | 411.5 | 79.81 | Ⅲ | Ⅰ | (2) |
| H. Jianghua | 367.3 | 44.82 | Ⅰ | Ⅱ | (7) |
| I. Xiangxiang | 343.3 | 90.96 | Ⅱ | Ⅰ | (4) |
| Item | Government Physical Reserves | Enterprise Production Reserves | ||||||
|---|---|---|---|---|---|---|---|---|
| = 3 | = 4 | = 5 | = 6 | = 7 | = 8 | = 9 | ||
| ) | = 1 | 12.43 | 12.51 | 12.09 | 12.35 | 12.00 | 11.81 | 11.59 |
| = 2 | 13.46 | 13.24 | 12.97 | 13.24 | 12.31 | 12.73 | 12.52 | |
| = 3 | 13.20 | 12.69 | 12.97 | 13.14 | 13.40 | 12.74 | 12.55 | |
| = 4 | 7.97 | 9.06 | 10.07 | 8.80 | 7.05 | 9.29 | 9.56 | |
| = 5 | 4.38 | 4.73 | 5.95 | 5.70 | 6.81 | 7.12 | 7.13 | |
| = 6 | 3.91 | 4.12 | 4.44 | 4.62 | 4.47 | 6.28 | 5.16 | |
| ) | = 1 | 20.22 | 20.64 | 20.64 | 21.10 | 21.10 | 21.10 | 21.10 |
| = 2 | 18.25 | 19.62 | 21.71 | 21.10 | 21.71 | 21.73 | 21.10 | |
| = 3 | 18.25 | 17.84 | 18.68 | 20.09 | 20.35 | 20.878 | 19.82 | |
| = 4 | 18.25 | 17.93 | 17.11 | 19.09 | 18.65 | 18.93 | 19.20 | |
| = 5 | 10.03 | 11.40 | 12.38 | 16.31 | 17.32 | 16.94 | 18.34 | |
| = 6 | 10.10 | 10.44 | 11.28 | 9.80 | 14.82 | 15.84 | 15.45 | |
| Disaster Sites | Coordinates | ||||||
|---|---|---|---|---|---|---|---|
| (76,17) | 26 | 90 | 60 | 32 | 40 | 0 | |
| (16,28) | 17 | 60 | 40 | 22 | 27 | 0 | |
| (21,64) | 23 | 0 | 54 | 0 | 36 | 0 | |
| (80,68) | 11 | 0 | 26 | 0 | 17 | 0 | |
| (51,69) | 48 | 172 | 114 | 62 | 76 | 0 | |
| (43,20) | 35 | 0 | 83 | 0 | 55 | 0 | |
| (59,41) | 57 | 0 | 133 | 72 | 88 | 0 | |
| (49,7) | 32 | 112 | 75 | 41 | 49 | 0 | |
| (57,55) | 65 | 0 | 152 | 0 | 101 | 0 | |
| Quantity | Pre-Disaster | Emergency | Recovery |
|---|---|---|---|
| 0–40 | 20 | 35 | 26 |
| 40–100 | 17 | 28 | 21 |
| 100– | 15 | 25 | 16 |
| Phases | A | B | C | D | E | F | G | H | I | ||||||||||
|---|---|---|---|---|---|---|---|---|---|---|---|---|---|---|---|---|---|---|---|
| Phase 1 | 26 | 90 | 17 | 60 | 23 | 0 | 4 | 0 | 35 | 172 | 34 | 0 | 56 | 0 | 9 | 108 | 65 | 0 | |
| – | – | – | – | – | – | – | – | – | – | – | – | – | – | – | – | – | – | ||
| Rate | 100% | 100% | 100% | 36.4% | 94.1% | 97.1% | 98.2% | 81.3% | 100% | ||||||||||
| Phase 2 | 0 | 30 | 0 | 22 | 0 | 0 | 0 | 0 | 0 | 62 | 0 | 0 | 0 | 72 | 0 | 44 | 0 | 0 | |
| 60 | 0 | 40 | 0 | 54 | 0 | 33 | 0 | 127 | 0 | 84 | 0 | 134 | 0 | 98 | 0 | 152 | 0 | ||
| Rate | 97.8% | 100% | 100% | 100% | 100% | 100% | 100% | 99.3% | 100% | ||||||||||
| Phase 3 | – | – | – | – | – | – | – | – | – | – | – | – | – | – | – | – | – | – | |
| 40 | 0 | 27 | 0 | 36 | 0 | 17 | 0 | 76 | 0 | 55 | 0 | 88 | 0 | 49 | 0 | 101 | 0 | ||
| Rate | 100% | 100% | 100% | 100% | 100% | 100% | 100% | 100% | 100% | ||||||||||
| Coordination Level | Delay Loss (×104) | Rescue Cost (×105) | Economic Index |
|---|---|---|---|
| G = 18%D | 8.97 | 9.31 | 629.0 |
| G = 21%D | 8.46 | 9.58 | 629.5 |
| G = 43%D | 6.03 | 9.28 | 611.0 |
| G = 68%D | 8.88 | 13.8 | 903.4 |
Publisher’s Note: MDPI stays neutral with regard to jurisdictional claims in published maps and institutional affiliations. |
© 2022 by the authors. Licensee MDPI, Basel, Switzerland. This article is an open access article distributed under the terms and conditions of the Creative Commons Attribution (CC BY) license (https://creativecommons.org/licenses/by/4.0/).
Share and Cite
Wang, F.; Xie, Z.; Pei, Z.; Liu, D. Emergency Relief Chain for Natural Disaster Response Based on Government-Enterprise Coordination. Int. J. Environ. Res. Public Health 2022, 19, 11255. https://doi.org/10.3390/ijerph191811255
Wang F, Xie Z, Pei Z, Liu D. Emergency Relief Chain for Natural Disaster Response Based on Government-Enterprise Coordination. International Journal of Environmental Research and Public Health. 2022; 19(18):11255. https://doi.org/10.3390/ijerph191811255
Chicago/Turabian StyleWang, Feiyue, Ziling Xie, Zhongwei Pei, and Dingli Liu. 2022. "Emergency Relief Chain for Natural Disaster Response Based on Government-Enterprise Coordination" International Journal of Environmental Research and Public Health 19, no. 18: 11255. https://doi.org/10.3390/ijerph191811255
APA StyleWang, F., Xie, Z., Pei, Z., & Liu, D. (2022). Emergency Relief Chain for Natural Disaster Response Based on Government-Enterprise Coordination. International Journal of Environmental Research and Public Health, 19(18), 11255. https://doi.org/10.3390/ijerph191811255

