Potential Risk, Spatial Distribution, and Soil Identification of Potentially Toxic Elements in Lycium barbarum L. (Wolfberry) Fruits and Soil System in Ningxia, China
Abstract
1. Introduction
2. Materials and Methods
2.1. Study Area and Sampling Methodology
2.2. Laboratory Analysis
2.3. Bioconcentration Factor
2.4. Multiple Linear Regression
2.5. Potential Ecological Risk Index (RI)
2.6. Enrichment Factor (EF)
2.7. Human Health Risk Assessment of PTEs
2.8. Spatial Distribution of PTEs
2.9. Source Identification
2.10. Statistical Analyses
3. Results
3.1. PTEs in Soil and Wolfberries
3.2. Potential Ecological Risk in Soil
3.3. Potential Health Risk in Wolfberries
3.4. Spatial Distribution of PTEs in Soil and Wolfberries
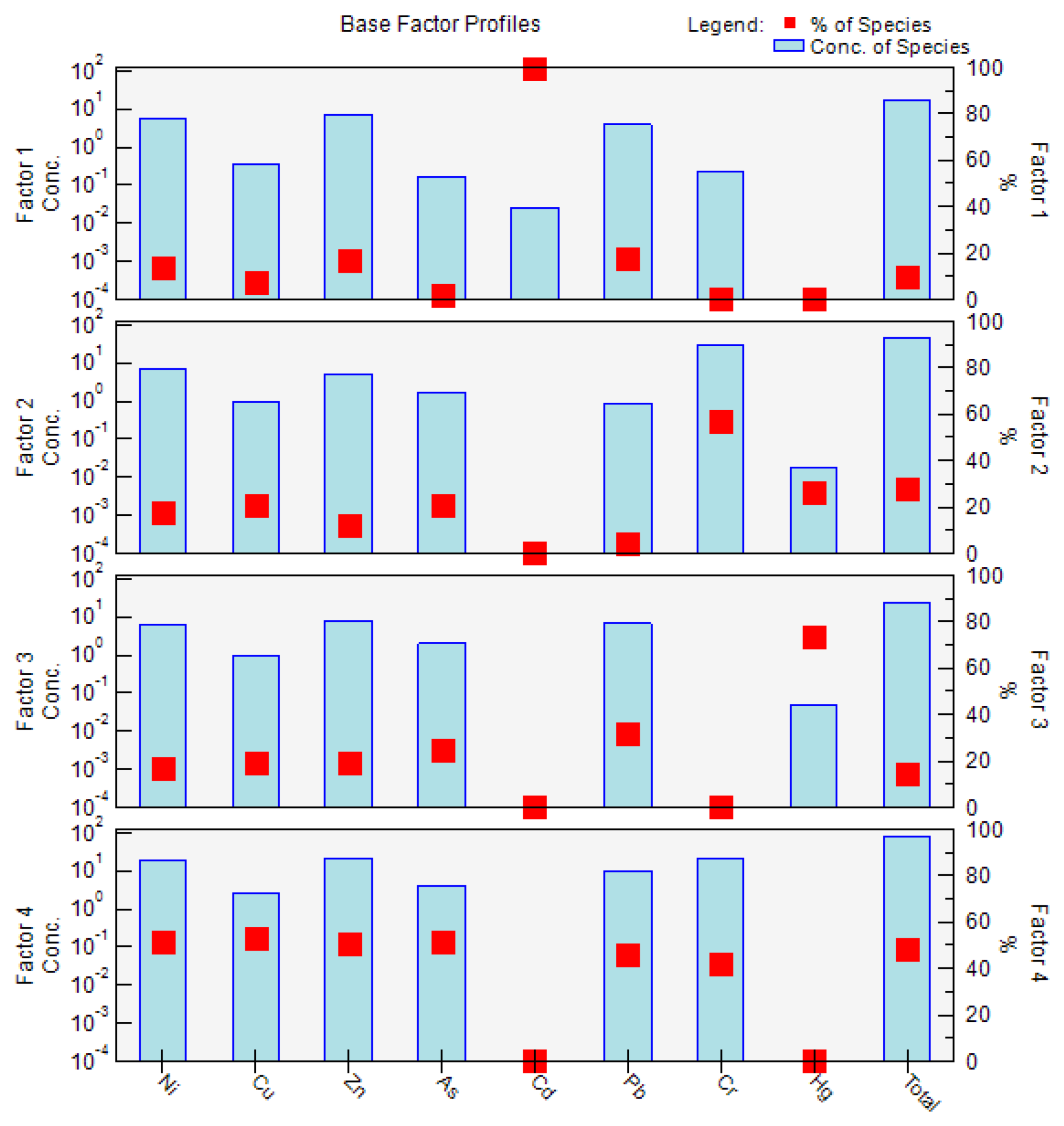
3.5. PMF Source Identification
4. Discussion
5. Conclusions
Supplementary Materials
Author Contributions
Funding
Institutional Review Board Statement
Informed Consent Statement
Data Availability Statement
Acknowledgments
Conflicts of Interest
References
- Barsova, N.; Yakimenko, O.; Tolpeshta, I.; Motuzova, G. Current state and dynamics of heavy metal soil pollution in Russian Federation-A review. Environ. Pollut. 2019, 249, 200–207. [Google Scholar] [CrossRef] [PubMed]
- Liu, P.; Zhang, Y.; Feng, N.; Zhu, M.; Tian, J. Potentially toxic element (PTE) levels in maize, soil, and irrigation water and health risks through maize consumption in northern Ningxia, China. BMC Public Health 2020, 20, 1729. [Google Scholar] [CrossRef] [PubMed]
- Granero, S.; Domingo, J.L. Levels of metals in soils of Alcalá de Henares, Spain: Human health risks. Environ. Int. 2002, 28, 159–164. [Google Scholar] [CrossRef] [PubMed]
- Bhandari, G.; Atreya, K.; Scheepers, P.T.J.; Geissen, V. Concentration and distribution of pesticide residues in soil: Non-dietary human health risk assessment. Chemosphere 2020, 253, 126594. [Google Scholar] [CrossRef] [PubMed]
- Zhang, Q.; Wang, C. Natural and Human Factors Affect the Distribution of Soil Heavy Metal Pollution: A Review. Water Air Soil Pollut. Int. J. Environ. Pollution. 2020, 231, 7. [Google Scholar] [CrossRef]
- Li, H.W.; Shang, E.P.; Zhang, H.Q.; Xu, E.Q. Comparative research on spatio-temporal variability of PTE pollution in cultivated soils—A case study of HuangHuai-Hai Plain and middle reaches of the Yangtze River and Jianghuai Region. China Environ. Sci. 2018, 38, 3464–3473. [Google Scholar]
- Abbas, M.H.H.; Bassouny, M.A. Implications of long term irrigation with wastewater on the contents and retention kinetics of potentially toxic elements in Typic Torripsamment soils. Egypt. J. Soil Sci. 2018, 58, 337–357. [Google Scholar] [CrossRef]
- Chen, H.; Yuan, X.; Li, T.; Hu, S.; Ji, J.; Wang, C. Characteristics of heavy metal transfer and their influencing factors in different soil-crop systems of the industrialization region, China. Ecotoxicol. Environ. Saf. 2016, 126, 193–201. [Google Scholar] [CrossRef]
- Keshavarzi, A.; Kumar, V. Spatial distribution and potential ecological risk assessment of heavy metals in agricultural soils of Northeastern Iran. Geol. Ecol. Landsc. 2019, 4, 103–187. [Google Scholar] [CrossRef]
- Sajid, M.; Xiukang, W.; Waqas, A.; Muhammad, I.; Allah, D.; Muhammad, R.; Sana, I.; Saqib, B.; Qudsia, S.; Adnan, M.; et al. Removal Mechanisms of Slag against Potentially Toxic Elements in Soil and Plants for Sustainable Agriculture Development: A Critical Review. Sustainability 2021, 13, 5255. [Google Scholar]
- Kowalska, J.; Mazurek, R.; Gąsiorek, M.; Setlak, M.; Zaleski, T.; Waroszewski, J. Soil pollution indices conditioned by medieval metallurgical activity—A case study from Krakow (Poland). Environ. Pollut. 2016, 218, 1023–1036. [Google Scholar] [CrossRef] [PubMed]
- Mazurek, R.; Kowalska, J.B.; Gąsiorek, M.; Zadrożny, P.; Wieczorek, J. Pollution indices as comprehensive tools for evaluation of the accumulation and provenance of potentially toxic elements in soils in Ojców National Park. J. Geochem. Explor. 2019, 201, 13–30. [Google Scholar] [CrossRef]
- Zhao, Y.; Deng, Q.; Lin, Q.; Zeng, C.; Zhong, C. Cadmium source identification in soils and high-risk regions predicted by geographical detector method. Environ. Pollut. 2020, 263 Pt A, 114338. [Google Scholar] [CrossRef] [PubMed]
- Guan, Q.; Wang, F.; Xu, C.; Pan, N.; Lin, J.; Zhao, R.; Yang, Y.; Luo, H. Source apportionment of heavy metals in agricultural soil based on PMF: A case study in Hexi Corridor, northwest China. Chemosphere 2018, 193, 189–197. [Google Scholar] [CrossRef] [PubMed]
- Haghnazar, H.; Johannesson, K.H.; González-Pinzón, R.; Pourakbar, M.; Aghayani, E.; Rajabi, A.; Hashemi, A.A. Groundwater geochemistry, quality, and pollution of the largest lake basin in the Middle East: Comparison of PMF and PCA-MLR receptor models and application of the source-oriented HHRA approach. Chemosphere 2022, 288 Pt 1, 132489. [Google Scholar] [CrossRef] [PubMed]
- Shao, C.C.; Deng, Y.X.; Yang, B.B.; Sun, R.; Fu, X.F.; Yu, Y.Y.; Han, W. The nutritional value and health function of Lycium barbarum and its application progress. J. Anhui Agric. Sci. 2020, 26, 39–41+163. [Google Scholar]
- Grosso, N.L.M.; Roberta, T.C.; Medeiros, F.E.; da Silva de Avó, L.R.; Batista, F.J.; Antonio, P.N.; Regina, C.M. Lycium barbarum polysaccharide fraction associated with photobiomodulation protects from epithelium thickness and collagen fragmentation in a model of cutaneous photodamage. Lasers Med. Sci. 2021, 36, 863–870. [Google Scholar]
- Yang, M.; So, K.-F.; Lo, A.C.Y.; Lam, W.C. The Effect of Lycium barbarum Polysaccharides on Pyroptosis-Associated Amyloid β1-40 Oligomers-Induced Adult Retinal Pigment Epithelium 19 Cell Damage. Int. J. Mol. Sci. 2020, 21, 4658. [Google Scholar] [CrossRef]
- Peng, Q.Z. Determination of five metal elements in Meldar and assessment on its health risk. China Med. Pharm. 2014, 4, 121–123. [Google Scholar]
- Qi, G.L.; Zheng, G.Q.; Zhang, L.; Wang, J.; Wang, C.Y.; Zhang, Y. Comparative study on heavy mental elements in soil and fruit of Lycium bararum L. in different regions. North. Horiculture 2014, 15, 161–164. [Google Scholar]
- Song, Z.; Xiao, Y.L.; Di, W. Heavy metal and health risk assessment of six edible traditional Chinese Herbal medicine. J. Guizhou Norm. Univ. Nat. Sci. 2020, 38, 33–38. [Google Scholar]
- Li, Y.X.; Ke, Y.; Luo, J.H.; Chen, X.Q.; Zhang, X.J. Evaluation and present situation of soil environmental quality in the major Wolfberry production areas of Ningxia. Soil Fertil. Sci. China 2016, 2, 21–26. [Google Scholar]
- Ander, E.L.; Johnson, C.C.; Cave, M.R.; Palumbo-Roe, B.; Nathanail, C.P.; Lark, R.M. Methodology for the determination of normal background concentrations of contaminants in English soil. Sci. Total Environ. 2013, 454–455, 604–618. [Google Scholar] [CrossRef] [PubMed]
- Petrik, A.; Thiombane, M.; Albanese, S.; Lima, A.; Vivo, B.D. Source patterns of Zn, Pb, Cr and Ni potentially toxic elements (PTEs) through a compositional discrimination analysis: A case study on the Campanian topsoil data. Geoderma 2018, 331, 87–99. [Google Scholar] [CrossRef]
- Vasu, D.; Singh, S.K.; Sahu, N.; Tiwary, P.; Chandran, P.; Duraisami, V.P.; Ramamurthy, V.; Lalitha, M.; Kalaiselvi, B. Assessment of spatial variability of soil properties using geospatial techniques for farm level nutrient management. Soil Tillage Res. 2017, 169, 25–34. [Google Scholar] [CrossRef]
- Malczewski, J. GIS-based land-use suitability analysis: A critical overview. Prog. Plan. 2003, 62, 3–65. [Google Scholar] [CrossRef]
- Xiao, L.P.; Ting, T.C.; Lan, L. Determination of heavy metals and harmful elements in homologous food by ICP-MS. Sci. Technol. Food Ind. 2019, 40, 280–285. [Google Scholar]
- Miransari, M.; Maleki, T.G.; Besahrati, H.; Sadaghiani, M.H.R.; Tavassoli, A. Using pseudomonas spp. and arbuscular mycorrhizal fungi to alleviate the stress of zinc pollution by corn (Zea mays L.) plant. J. Plant Nutr. 2013, 36, 2061–2069. [Google Scholar] [CrossRef]
- Vardhan, K.H.; Kumar, P.S.; Panda, R.C. A review on heavy metal pollution, toxicity and remedial measures: Current trends and future perspectives. J. Mol. Liq. 2019, 290, 111197. [Google Scholar]
- Ara, A.; Usmani, J.A. Lead toxicity: A review. Interdiscip. Toxicol. 2015, 8, 55–64. [Google Scholar]
- Godt, J.; Scheidig, F.; Grosse-Siestrup, C.; Esche, V.; Brandenburg, P.; Reich, A.; Groneberg, D.A. The toxicity of cadmium and resulting hazards for human health. J. Occup. Med. Toxicol. 2006, 1, 22. [Google Scholar] [CrossRef] [PubMed]
- Ratnaike, R.N. Acute and chronic arsenic toxicity. Postgrad. Med. J. 2003, 79, 391–396. [Google Scholar] [CrossRef] [PubMed]
- Ilyas, S.; Srivastava, R.R.; Kim, H.; Ilyas, N. Biotechnological recycling of hazardous waste PCBs using Sulfobacillus thermosulfidooxidans through pretreatment of toxicant metals: Process optimization and kinetic studies. Chemosphere 2022, 286, 131978. [Google Scholar] [CrossRef] [PubMed]
- Ilyas, N.; Ilyas, S.; Sajjad-ur-Rahman, S.U.; Yousaf, S.; Zia, A.; Sattar, S. Removal of copper from an electroplating industrial effluent using the native and modified spirogyra. Water Sci. Technol. 2018, 78, 147–155. [Google Scholar] [CrossRef]
- Ishfaq, A.; Ilyas, S.; Yaseen, A.; Farhan, M. Hydrometallurgical valorization of chromium, iron, and zinc from an electroplating effluent. Sep. Purif. Technol. 2019, 209, 964–971. [Google Scholar] [CrossRef]
- Zahir, F.; Rizwi, S.J.; Haq, S.K.; Khan, R.H. Low dose mercury toxicity and human health. Environ. Toxicol. Pharmacol. 2005, 20, 351–360. [Google Scholar] [CrossRef]
- Ministry of Agriculture of China. Technical Rules for Monitoring of Environmental Quality Monitoring of Farmland Soil; Ministry of Agriculture of China: Beijing, China, 2012; 395p.
- Chinese Pharmacopoeia Commission. Chinese Pharmacopoeia; Chinese Pharmacopoeia Commission: Beijing, China, 2015.
- Yue, F.F. Problems and countermeasures of apple and Wolfberry industry development in Shapotou District of Zhongwei city. Ningxia Agric. For. Sci. Technol. 2019, 60, 30–31. [Google Scholar]
- Dang, Z.L.; Wang, L.J.; Mao, W.Z. Analysis on Meteorological conditions of Lycium barbarum planting in Zhongwei City. Shaanxi J. Agric. Sci. 2019, 65, 86–89. [Google Scholar]
- Huo, H.L.; Liu, P.X.; Zhang, K.X. Spatio-Temporal change of sunshine hour in Ningxia during the past 50 years. J. Desert Res. 2011, 31, 521–524. [Google Scholar]
- Fang, F.D.; Hong, F.D. Quality control and evaluation methods for environmental monitoring of soil pollution. Shanxi Chem. Ind. 2021, 41, 198–199+211. [Google Scholar]
- Wang, Y.X.; Zhao, J.; Zhao, G.H. Analysis and evaluation of PTE content of vegetable garden soil in Anning District of Lanzhou city. J. Anhui Agric. Sci. 2007, 19, 5804–5805+5898. [Google Scholar]
- Zhao, G.; Li, X.; Zhu, J.; Zhao, X.; Zhang, J.; Zhai, J. Pollution Assessment of Potentially Toxic Elements (PTEs) in Soils around the Yanzhuang Gold Mine Tailings Pond, Pinggu County, Beijing, China. Int. J. Environ. Res. Public Health 2021, 18, 7240. [Google Scholar] [CrossRef] [PubMed]
- Petukhov, A.S.; Kremleva, T.; Petukhova, G.A.; Khritokhin, N.A. Translocation of Heavy Metals in Herbs under Urban Anthropogenic Pollution Conditions. Environ. Process. 2020, 7, 1173–1196. [Google Scholar] [CrossRef]
- Sun, Z.Q.; Xu, Y.Y. Medical Statistics, 4th ed.; People’s Medical Publishing House: Beijing, China, 2014. [Google Scholar]
- Hakanson, L. An ecological risk index foe aquatic pollution control–A sedimentological approach. Water Res. 1980, 14, 975–1001. [Google Scholar] [CrossRef]
- GB 15618-2018; Soil Environmental Quality—Risk Control Standard for Soil Contamination of Agricultural Land. Department of the Environmental Protection: Beijing, China, 2018.
- Liu, M.; Deng, W.; Zhao, L.Y.; Hu, Y.; Huang, H.W.; Gao, F. Distribution Characteristics and Sources of Heavy Metals in Surface Sediments and Bank Soils of Major Rivers in Source Region of Yangtze River. J. Yangtze River Sci. Res. Inst. 2021, 38, 143–149+154. [Google Scholar]
- Cui, B.; Zhu, M.; Jiang, Y.; Jiang, Y.; Cao, H. Identification of the sources of metals and arsenic in river sediments by multivariate analysis and geochemical approaches. J. Soil Sediments 2014, 14, 1456–1468. [Google Scholar] [CrossRef]
- China Environmental Monitoring Station. The Background of Soil Elements in China; China Environmental Science Press: Beijing, China, 1995. [Google Scholar]
- Toh, D.W.K.; Xia, X.; Sutanto, C.N.; Low, J.H.M.; Poh, K.K.; Wang, J.W.; Foo, R.S.Y.; Kim, J.E. Enhancing the cardiovascular protective effects of a healthy dietary pattern with wolfberry (Lycium barbarum): A randomized controlled trial. Am. J. Clin. Nutr. 2021, 114, 80–89. [Google Scholar] [CrossRef]
- De Souza Zanchet, M.Z.; Nardi, G.M.; de Oliveira Souza Bratti, L.; Filippin-Monteiro, F.B.; Locatelli, C. Lycium barbarum reduces abdominal fat and improves lipid profile and antioxidant status in patients with metabolic syndrome. Oxid. Med. Cell. Longev. 2017, 2017, 9763210. [Google Scholar] [CrossRef]
- Alam, M.; Khan, M.; Khan, A.; Zeb, S.; Khan, M.A.; Amin, N.U.; Sajid, M.; Khattak, A.M. Concentrations, dietary exposure, and human health risk assessment of heavy metals in market vegetables of Peshawar, Pakistan. Environ. Monit. Assess. 2018, 190, 505. [Google Scholar] [CrossRef]
- Chen, H.; Yang, X.; Wang, P.; Wang, Z.; Li, M.; Zhao, F.J. Dietary cadmium intake from rice and vegetables and potential health risk: A case study in Xiangtan, southern China. Sci. Total Environ. 2018, 639, 271–277. [Google Scholar] [CrossRef]
- USEPA. Guidelines for Carcinogen Risk Assessment; NCEA-F-0644; US Environmental Protection Agency: Washington, DC, USA, 2005.
- National Bureau of Statistics of China. China Statistical Yearbook 2019 (Life Expectancy at Birth); China Statistics Publishing House: Beijing, China, 2019.
- Chen, Y.F.; Zhou, J.L.; Zeng, Y.Y.; Wang, S.T.; Du, J.Y.; Sun, Y.; Gu, S.B. Spatial Distribution of Soil Arsenic and Arsenic Enrichment in Crops in the Oasis Region of the Southeastern Tarim Basin. Environ. Sci. 2020, 41, 438–448. [Google Scholar]
- Yang, H.; Chen, J.; Wen, J.; Tian, H.; Liu, X. Composition and sources of PM2.5 around the heating periods of 2013 and 2014 in Beijing: Implications for efficient mitigation measures. Atmos. Environ. 2016, 124, 378–386. [Google Scholar] [CrossRef]
- Chai, L.; Wang, X.; Ma, L.; Cheng, Z.X.; Su, L.M.; Wang, Y.H. Sources appointment of heavy metals in cultivated soils of Lanzhou based on PMF models. China Environ. Sci. 2020, 40, 3919–3929. [Google Scholar]
- Pardyjak, E.R.; Speckart, S.O.; Yin, F.; Veranth, J.M. Near source deposition of vehicle generated fugitive dust on vegetation and buildings: Model development and theory. Atmos. Environ. 2008, 42, 6442–6452. [Google Scholar] [CrossRef]
- Yu, L.S.; Wan, F.; Fan, H.Y.; Kang, G.L.; Liu, H.; Wang, D.P.; Xu, J. Spatial Distribution, Source Apportionment, and Ecological Risk Assessment of Soil Heavy Metals in Jianghugongmi Producing Area, Shandong Province. Environ. Sci. 2022, 43, 4199–4211. [Google Scholar]
- Giersz, J.; Bartosiak, M.; Jankowski, K. Sensitive determination of Hg together with Mn, Fe, Cu by combined photochemical vapor generation and pneumatic nebulization in the programmable temperature spray chamber and inductively coupled plasma optical emission spectrometry. Talanta 2017, 167, 279–285. [Google Scholar] [CrossRef]
- Kai, J.R.; Wang, C.Y.; Zhao, D.Q.; Li, C.H.; Wang, X.J. A comparative study of 49 inorganic elements in red, black and yellow Lycium barbarum. Food Ferment. Ind. 2020, 46, 152–157. [Google Scholar]
- Xiao, J.W.; Tian, T.Z. On the problems and countermeasures of quality and safety of Wolfberry. Food Saf. Guide 2018, 24, 13–14. [Google Scholar]
- Xiao, M.; Yang, W.J.; Zhang, Z.; Lv, X.; Chi, D.Z. Cadmium accumulation in soil and risk prediction in the Qaidam Basin. J. Plant Nutr. Fertil. 2014, 20, 1271–1279. [Google Scholar]
- Eid, E.M.; Shaltout, K.H.; Alamri, S.A.; Alrumman, S.A.; Hussain, A.A.; Sewelam, N.; El-Bebany, A.F.; Alfarhan, A.H.; Picó, Y.; Barcelo, D. Prediction models based on soil properties for evaluating the uptake of eight heavy metals by tomato plant (Lycopersicon esculentum Mill.) grown in agricultural soils amended with sewage sludge. J. Environ. Chem. Eng. 2021, 9, 105977. [Google Scholar] [CrossRef]
- Lee, C.S.; Nzioka, A.M.; Kim, Y.J.; Sakong, J. Evaluation of bioconcentration factors of metals and non-metals in crops and soil from abandoned mines in Korea. Contemp. Probl. Ecol. 2017, 10, 583–590. [Google Scholar] [CrossRef]
- McBride, M.B. Cadmium uptake by crops estimated from soil total Cd and pH. Soil Sci. 2002, 167, 62–67. [Google Scholar] [CrossRef]
- Zhu, M.; Jiang, Y.; Cui, B.; Jiang, Y.; Cao, H.; Zhang, W. Cadmium accumulation in Panax notoginseng: Levels, affecting factors and the non-carcinogenic health risk. Environ. Geochem. Health 2016, 38, 423–435. [Google Scholar] [CrossRef] [PubMed]
- Xiang, L.; Liu, P.; Jiang, X.; Chen, P. Health risk assessment and spatial distribution characteristics of heavy metal pollution in rice samples from a surrounding hydrometallurgy plant area in No. 721 uranium mining, East China. J. Geochem. Explor. 2019, 20, 106360. [Google Scholar] [CrossRef]
- Mehmood, A.; Raza, W.; Kim, K.H.; Raza, W.; Raza, A.N.; Lee, S.S.; Zhang, M.; Lee, J.H.; Sarfraz, M. Spatial distribution of heavy metals in crops in a wastewater irrigated zone and health risk assessment. Environ. Res. 2019, 168, 382–388. [Google Scholar] [CrossRef]
- Isaaks, E.H.; Srivastava, R.M. Spatial continuity measures for probabilistic and deterministic geostatistics. Math. Geol. 1988, 20, 313–341. [Google Scholar] [CrossRef]

means the main planting area for wolfberries.
means the main planting area for wolfberries.
means the main planting area for wolfberries.
means the main planting area for wolfberries.

| Ni | Cu | Zn | As | Cd | Pb | Cr | Hg | |
|---|---|---|---|---|---|---|---|---|
| Detection rate (%) | 100 | 100 | 100 | 100 | 94.6 | 100 | 100 | 100 |
| Mean ± SD (mg·kg−1) | 41.0 ± 9.42 | 5.27 ± 1.61 | 42.5 ± 6.21 | 8.36 ± 1.59 | 0.0260 ± 0.0240 | 23.0 ± 9.00 | 52.9 ± 20.5 | 0.0690 ± 0.0360 |
| Min (mg·kg−1) | 21.0 | 3.00 | 30.0 | 4.73 | 0 | 14.0 | 28.0 | 0.0108 |
| Max (mg·kg−1) | 60.0 | 10.0 | 55.0 | 11.2 | 0.130 | 53.0 | 114 | 0.241 |
| Coefficient of variation (%) | 23.0 | 30.6 | 14.6 | 19.1 | 92.7 | 39.1 | 38.7 | 52.0 |
| a Background value (mg·kg−1) | 36.6 | 22.1 | 58.8 | 11.9 | 0.112 | 20.6 | 60.0 | 0.0200 |
| a Limited standard value (mg·kg−1) | 190 | 200 | 300 | 20.0 | 0.800 | 240 | 350 | 1.00 |
| Ni | Cu | Zn | As | Cd | Pb | Cr | Hg | |
|---|---|---|---|---|---|---|---|---|
| Mean ± SD (mg·kg−1) | 0.880 ± 0.440 | 8.70 ± 2.70 | 19.6 ± 6.41 | 0.200 ± 0.230 | 0.100 ± 0.0700 | 0.350 ± 0.270 | 2.62 ± 1.20 | e u |
| Max (mg·kg−1) | 2.52 | 14.5 | 35.4 | 0.810 | 0.350 | 0.960 | 5.32 | u |
| Min (mg·kg−1) | 0.210 | 2.29 | 11.0 | 0 | 0.0300 | 0 | 0.170 | u |
| Detection rate (%) | 100 | 100 | 100 | 59.5 | 100 | 92.0 | 100 | u |
| a Limited standard A (mg·kg−1) | f - | 20.0 | - | 2.00 | 0.300 | 5.00 | - | 0.20 |
| b Limited standard B (mg·kg−1) | - | - | - | - | 0.300 | 10.0 | - | - |
| c Limited standard C (mg·kg−1) | - | - | - | - | 1.00 | 5.00 | - | 0.100 |
| d Limited standard D (mg·kg−1) | - | - | - | 4.00 | 2.00 | 10.0 | - | 3.00 |
| Bioconcentration factor | 0.0230 | 1.76 | 0.475 | 0.0260 | 5.82 | 0.0170 | 0.0560 | u |
| a Regression Equation | F | P | r | |
|---|---|---|---|---|
| Ni | −0.271 + 0.028 OM + 0.072 CAs | entry 0.15 removal 0.2 | 0.048 | 0.405 |
| Cu | −13.978 + 1.496 CEC + 0.545 CCu + 0.15 OM + 0.486 CAs | entry 0.15 removal 0.2 | 0.002 | 0.629 |
| Zn | −17.283 + 3.505 CEC + 0.349 OM | entry 0.15 removal 0.2 | 0.028 | 0.436 |
| As | 0.041 + 0.012 OM +0.007 CNi − 0.009 CZn | entry 0.15 removal 0.2 | 0.053 | 0.453 |
| Cd | −0.413 + 0.066 pH | entry 0.2 removal 0.25 | 0.186 | 0.222 |
| Pb | −3.393 + 0.556 pH − 0.012 CNi − 1.869 CHg | entry 0.15 removal 0.2 | 0.002 | 0.598 |
| Cr | 1.879 + 10.664 CHg | entry 0.15 removal 0.2 | 0.053 | 0.320 |
| Ni | Cu | Zn | As | Cd | Pb | Cr | Hg | Total | |
|---|---|---|---|---|---|---|---|---|---|
| Potential ecological risk | 5.33 | 1.19 | 0.722 | 7.02 | 7.02 | 5.58 | 1.76 | a 139 | b 167 |
| Enrichment factor | 2.04 | 0.436 | 1.32 | 1.28 | 0.428 | 2.04 | 1.61 | 6.33 | - |
| a Regression Equation | F | P | r | |
|---|---|---|---|---|
| Ni | −0.271 + 0.028 OM + 0.072 CAs | entry 0.15 removal 0.2 | 0.048 | 0.405 |
| Cu | −13.978 + 1.496 CEC + 0.545 CCu + 0.15 OM + 0.486 CAs | entry 0.15 removal 0.2 | 0.002 | 0.629 |
| Zn | −17.283 + 3.505 CEC + 0.349 OM | entry 0.15 removal 0.2 | 0.028 | 0.436 |
| As | 0.041 + 0.012 OM +0.007 CNi − 0.009 CZn | entry 0.15 removal 0.2 | 0.053 | 0.453 |
| Cd | −0.413 + 0.066 pH | entry 0.2 removal 0.25 | 0.186 | 0.222 |
| Pb | −3.393 + 0.556 pH − 0.012 CNi − 1.869 CHg | entry 0.15 removal 0.2 | 0.002 | 0.598 |
| Cr | 1.879 + 10.664 CHg | entry 0.15 removal 0.2 | 0.053 | 0.320 |
Publisher’s Note: MDPI stays neutral with regard to jurisdictional claims in published maps and institutional affiliations. |
© 2022 by the authors. Licensee MDPI, Basel, Switzerland. This article is an open access article distributed under the terms and conditions of the Creative Commons Attribution (CC BY) license (https://creativecommons.org/licenses/by/4.0/).
Share and Cite
Zhou, T.; Wang, Y.; Qin, J.; Zhao, S.; Cao, D.; Zhu, M.; Jiang, Y. Potential Risk, Spatial Distribution, and Soil Identification of Potentially Toxic Elements in Lycium barbarum L. (Wolfberry) Fruits and Soil System in Ningxia, China. Int. J. Environ. Res. Public Health 2022, 19, 16186. https://doi.org/10.3390/ijerph192316186
Zhou T, Wang Y, Qin J, Zhao S, Cao D, Zhu M, Jiang Y. Potential Risk, Spatial Distribution, and Soil Identification of Potentially Toxic Elements in Lycium barbarum L. (Wolfberry) Fruits and Soil System in Ningxia, China. International Journal of Environmental Research and Public Health. 2022; 19(23):16186. https://doi.org/10.3390/ijerph192316186
Chicago/Turabian StyleZhou, Tongning, Yan Wang, Jiaqi Qin, Siyuan Zhao, Deyan Cao, Meilin Zhu, and Yanxue Jiang. 2022. "Potential Risk, Spatial Distribution, and Soil Identification of Potentially Toxic Elements in Lycium barbarum L. (Wolfberry) Fruits and Soil System in Ningxia, China" International Journal of Environmental Research and Public Health 19, no. 23: 16186. https://doi.org/10.3390/ijerph192316186
APA StyleZhou, T., Wang, Y., Qin, J., Zhao, S., Cao, D., Zhu, M., & Jiang, Y. (2022). Potential Risk, Spatial Distribution, and Soil Identification of Potentially Toxic Elements in Lycium barbarum L. (Wolfberry) Fruits and Soil System in Ningxia, China. International Journal of Environmental Research and Public Health, 19(23), 16186. https://doi.org/10.3390/ijerph192316186
