Does Back Squat Exercise Lead to Regional Hypertrophy among Quadriceps Femoris Muscles?
Abstract
1. Introduction
2. Materials and Methods
2.1. Experimental Design
2.2. Subjects
2.3. Testing
2.4. Squat Training
2.5. Statistics
3. Results
4. Discussion
5. Conclusions
Author Contributions
Funding
Institutional Review Board Statement
Informed Consent Statement
Data Availability Statement
Conflicts of Interest
Appendix A

References
- Escamilla, R.F. Knee biomechanics of the dynamic squat exercise. Med. Sci. Sports Exerc. 2001, 33, 127–141. [Google Scholar] [CrossRef] [PubMed]
- Schoenfeld, B.J. Squatting kinematics and kinetics and their application to exercise performance. J. Strength Cond. Res. 2010, 24, 3497–3506. [Google Scholar] [CrossRef] [PubMed]
- Slater, L.V.; Hart, J.M. Muscle activation patterns during different squat techniques. J. Strength Cond. Res. 2017, 31, 667–676. [Google Scholar] [CrossRef]
- Robertson, D.; Wilson, J.-M.J.; Pierre, T.A.S. Lower extremity muscle functions during full squats. J. Appl. Biomech. 2008, 24, 333–339. [Google Scholar] [CrossRef]
- Ema, R.; Sakaguchi, M.; Akagi, R.; Kawakami, Y. Unique activation of the quadriceps femoris during single-and multi-joint exercises. Eur. J. Appl. Physiol. 2016, 116, 1031–1041. [Google Scholar] [CrossRef]
- Mangine, G.T.; Redd, M.J.; Gonzalez, A.M.; Townsend, J.R.; Wells, A.J.; Jajtner, A.R.; Beyer, K.S.; Boone, C.H.; La Monica, M.B.; Stout, J.R. Resistance training does not induce uniform adaptations to quadriceps. PLoS ONE 2018, 13, e0198304. [Google Scholar] [CrossRef]
- Miyamoto, N.; Wakahara, T.; Kawakami, Y. Task-dependent inhomogeneous muscle activities within the bi-articular human rectus femoris muscle. PLoS ONE 2012, 7, e34269. [Google Scholar] [CrossRef]
- Stensdotter, A.-K.; Hodges, P.; Mellor, R.; Sundelin, G.; Häger-Ross, C. Quadriceps activation in closed and in open kinetic chain exercise. Med. Sci. Sports Exerc. 2003, 35, 2043–2047. [Google Scholar] [CrossRef] [PubMed]
- Yavuz, H.U.; Erdağ, D.; Amca, A.M.; Aritan, S. Kinematic and EMG activities during front and back squat variations in maximum loads. J. Sports Sci. 2015, 33, 1058–1066. [Google Scholar] [CrossRef]
- Kojic, F.; Ðurić, S.; Ranisavljev, I.; Stojiljkovic, S.; Ilic, V. Quadriceps femoris cross-sectional area and specific leg strength: Relationship between different muscles and squat variations. PeerJ 2021, 9, e12435. [Google Scholar] [CrossRef]
- Kubo, K.; Ikebukuro, T.; Yata, H. Effects of squat training with different depths on lower limb muscle volumes. Eur. J. Appl. Physiol. 2019, 119, 1933–1942. [Google Scholar] [CrossRef] [PubMed]
- Earp, J.E.; Newton, R.U.; Cormie, P.; Blazevich, A.J. Inhomogeneous quadriceps femoris hypertrophy in response to strength and power training. Med. Sci. Sports Exerc. 2015, 47, 2389–2397. [Google Scholar] [CrossRef] [PubMed]
- Zabaleta-Korta, A.; Fernández-Peña, E.; Torres-Unda, J.; Garbisu-Hualde, A.; Santos-Concejero, J. The role of exercise selection in regional Muscle Hypertrophy: A randomized controlled trial. J. Sports Sci. 2021, 39, 2298–2304. [Google Scholar] [CrossRef] [PubMed]
- Maeo, S.; Shan, X.; Otsuka, S.; Kanehisa, H.; Kawakami, Y. Single-joint eccentric knee extension training preferentially trains the rectus femoris within the quadriceps muscles. Transl. Sports Med. 2018, 1, 212–220. [Google Scholar] [CrossRef]
- Bjørnsen, T.; Wernbom, M.; Kirketeig, A.; Paulsen, G.; Samnøy, L.E.; Bækken, L.V.; Cameron-Smith, D.; Berntsen, S.; Raastad, T. Type 1 Muscle Fiber Hypertrophy after Blood Flow–restricted Training in Powerlifter. Med. Sci. Sports Exerc. 2018, 51, 288–298. [Google Scholar] [CrossRef]
- Wilson, M.T.; Ryan, A.M.; Vallance, S.R.; Dias-Dougan, A.; Dugdale, J.H.; Hunter, A.M.; Hamilton, D.L.; Macgregor, L.J. Tensiomyography derived parameters reflect skeletal muscle architectural adaptations following 6-weeks of lower body resistance training. Front. Physiol. 2019, 10, 1493. [Google Scholar] [CrossRef] [PubMed]
- Akagi, R.; Sato, S.; Hirata, N.; Imaizumi, N.; Tanimoto, H.; Ando, R.; Ema, R.; Hirata, K. Eight-week low-intensity squat training at slow speed simultaneously improves knee and hip flexion and extension strength. Front. Physiol. 2020, 11, 893. [Google Scholar] [CrossRef]
- Fonseca, R.M.; Roschel, H.; Tricoli, V.; de Souza, E.O.; Wilson, J.M.; Laurentino, G.C.; Aihara, A.Y.; de Souza Leão, A.R.; Ugrinowitsch, C. Changes in exercises are more effective than in loading schemes to improve muscle strength. J. Strength Cond. Res. 2014, 28, 3085–3092. [Google Scholar] [CrossRef]
- Baechle, T.R.; Earle, R.W. Essentials of Strength Training and Conditioning; Human Kinetics: Champaign, IL, USA, 2008. [Google Scholar]
- Kojić, F.; Mandić, D.; Ilić, V. Resistance training induces similar adaptations of upper and lower-body muscles between sexes. Sci. Rep. 2021, 11, 23449. [Google Scholar] [CrossRef]
- Rhea, M.R. Determining the magnitude of treatment effects in strength training research through the use of the effect size. J. Strength Cond. Res. 2004, 18, 918–920. [Google Scholar]
- Hopkins, W.; Marshall, S.; Batterham, A.; Hanin, J. Progressive statistics for studies in sports medicine and exercise science. Med. Sci. Sports Exerc. 2009, 41, 3. [Google Scholar] [CrossRef]
- Vigotsky, A.D.; Beardsley, C.; Contreras, B.; Steele, J.; Ogborn, D.; Phillips, S.M. Greater electromyographic responses do not imply greater motor unit recruitment and ‘hypertrophic potential’ cannot be inferred. J. Strength Cond. Res. 2017, 31, e1–e4. [Google Scholar] [CrossRef]
- Murawa, M.; Fryzowicz, A.; Kabacinski, J.; Jurga, J.; Gorwa, J.; Galli, M.; Zago, M. Muscle activation varies between high-bar and low-bar back squat. PeerJ 2020, 8, e9256. [Google Scholar] [CrossRef]
- Van den Tillaar, R.; Knutli, T.R.; Larsen, S. The effects of barbell placement on kinematics and muscle activation around the sticking region in squats. Front. Sports Act. Living 2020, 172, 604177. [Google Scholar] [CrossRef] [PubMed]
- Glassbrook, D.J.; Helms, E.R.; Brown, S.R.; Storey, A.G. A review of the biomechanical differences between the high-bar and low-bar back-squat. J. Strength Cond. Res. 2017, 31, 2618–2634. [Google Scholar] [CrossRef] [PubMed]
- Suchomel, T.J.; Stone, M.H. The relationships between hip and knee extensor cross-sectional area, strength, power, and potentiation characteristics. Sports 2017, 5, 66. [Google Scholar] [CrossRef]
- Vigotsky, A.D.; Schoenfeld, B.J.; Than, C.; Brown, J.M. Methods matter: The relationship between strength and hypertrophy depends on methods of measurement and analysis. PeerJ 2018, 6, e5071. [Google Scholar] [CrossRef]
- Wells, A.J.; Fukuda, D.H.; Hoffman, J.R.; Gonzalez, A.M.; Jajtner, A.R.; Townsend, J.R.; Mangine, G.T.; Fragala, M.S.; Stout, J.R. Vastus Lateralis exhibits non-homogenous adaptation to resistance training. Muscle Nerve 2014, 50, 785–793. [Google Scholar] [CrossRef]
- Ema, R.; Wakahara, T.; Miyamoto, N.; Kanehisa, H.; Kawakami, Y. Inhomogeneous architectural changes of the quadriceps femoris induced by resistance training. Eur. J. Appl. Physiol. 2013, 113, 2691–2703. [Google Scholar] [CrossRef]
- Blazevich, A.J.; Gill, N.D.; Bronks, R.; Newton, R.U. Training-specific muscle architecture adaptation after 5-wk training in athletes. Med. Sci. Sports Exerc. 2003, 35, 2013–2022. [Google Scholar] [CrossRef] [PubMed]
- Wakahara, T.; Ema, R.; Miyamoto, N.; Kawakami, Y. Increase in vastus lateralis aponeurosis width induced by resistance training: Implications for a hypertrophic model of pennate muscle. Eur. J. Appl. Physiol. 2015, 115, 309–316. [Google Scholar] [CrossRef] [PubMed]
- Folland, J.P.; Williams, A.G. Morphological and neurological contributions to increased strength. Sports Med. 2007, 37, 145–168. [Google Scholar] [CrossRef] [PubMed]
- Loenneke, J.P.; Buckner, S.L.; Dankel, S.J.; Abe, T. Exercise-induced changes in muscle size do not contribute to exercise-induced changes in muscle strength. Sports Med. 2019, 49, 987–991. [Google Scholar] [CrossRef] [PubMed]



| Variable | Pre | Post | p | ES |
|---|---|---|---|---|
| 1RM (kg) | 95.55 ± 24.00 | 103.89 ± 26.98 | <0.001 | 1.25 |
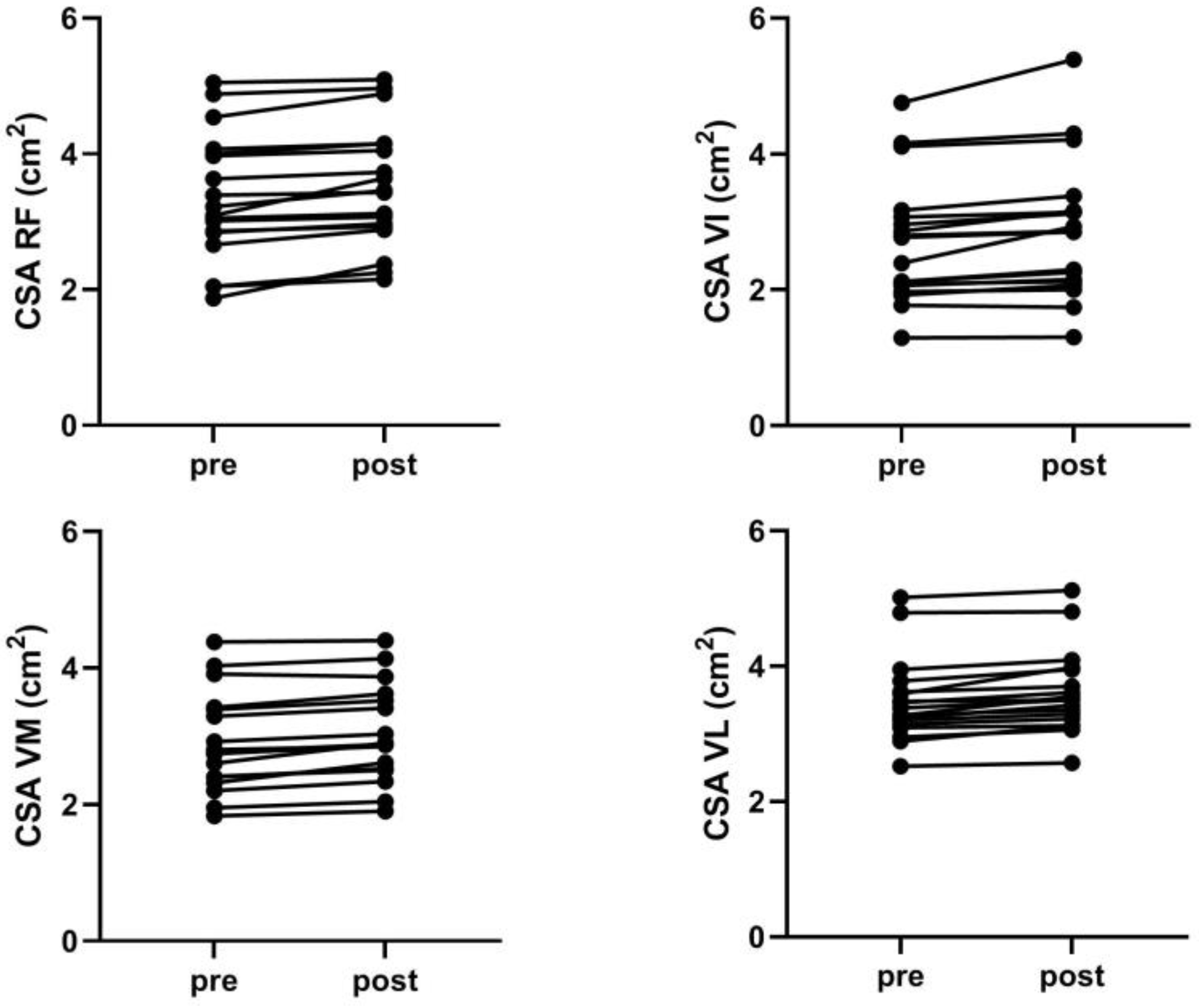
| RF CSA (cm2) | 3.35 ± 0.93 | 3.50 ± 0.90 | <0.001 | 1.13 |
| VI CSA (cm2) | 2.69 ± 0.92 | 2.84 ± 1.02 | =0.001 | 0.89 |
| VM CSA (cm2) | 2.89 ± 0.71 | 3.01 ± 0.69 | <0.001 | 1.50 |
| VL CSA (cm2) | 3.48 ± 0.62 | 3.62 ± 0.62 | <0.001 | 2.11 |
Publisher’s Note: MDPI stays neutral with regard to jurisdictional claims in published maps and institutional affiliations. |
© 2022 by the authors. Licensee MDPI, Basel, Switzerland. This article is an open access article distributed under the terms and conditions of the Creative Commons Attribution (CC BY) license (https://creativecommons.org/licenses/by/4.0/).
Share and Cite
Kojic, F.; Ranisavljev, I.; Obradovic, M.; Mandic, D.; Pelemis, V.; Paloc, M.; Duric, S. Does Back Squat Exercise Lead to Regional Hypertrophy among Quadriceps Femoris Muscles? Int. J. Environ. Res. Public Health 2022, 19, 16226. https://doi.org/10.3390/ijerph192316226
Kojic F, Ranisavljev I, Obradovic M, Mandic D, Pelemis V, Paloc M, Duric S. Does Back Squat Exercise Lead to Regional Hypertrophy among Quadriceps Femoris Muscles? International Journal of Environmental Research and Public Health. 2022; 19(23):16226. https://doi.org/10.3390/ijerph192316226
Chicago/Turabian StyleKojic, Filip, Igor Ranisavljev, Milos Obradovic, Danimir Mandic, Vladan Pelemis, Milos Paloc, and Sasa Duric. 2022. "Does Back Squat Exercise Lead to Regional Hypertrophy among Quadriceps Femoris Muscles?" International Journal of Environmental Research and Public Health 19, no. 23: 16226. https://doi.org/10.3390/ijerph192316226
APA StyleKojic, F., Ranisavljev, I., Obradovic, M., Mandic, D., Pelemis, V., Paloc, M., & Duric, S. (2022). Does Back Squat Exercise Lead to Regional Hypertrophy among Quadriceps Femoris Muscles? International Journal of Environmental Research and Public Health, 19(23), 16226. https://doi.org/10.3390/ijerph192316226

